Развитие творческого мышления в практике обучения

  • Вид работы:
    Курсовая работа (п)
  • Предмет:
    Педагогика
  • Язык:
    Русский
    ,
    Формат файла:
    MS Word
    558,62 kb
  • Опубликовано:
    2007-02-14
Вы можете узнать стоимость помощи в написании студенческой работы.
Помощь в написании работы, которую точно примут!

Развитие творческого мышления в практике обучения

Введение

Данная работа посвящена использованию модульно-рейтинговой системы в учебном процессе.

Актуальность темы состоит в том, сейчас кардинально изменяется цель учебы. Если ранее учеба ставила целью добыть определенную сумму знаний, умений и навыков, то сейчас это не становится самоцелью. Ведь с каждым годом объем информации почти в каждой отрасли науки удваивается, а то и утраивается, и дальнейший рост за предвидениями ученых будет идти в геометрической прогрессии. То есть, человек не в состоянии иметь полный объем знаний из того или другого предмета. Потому на первое место выступает не получение суммы знаний, а развитие личности.

Специальные исследования показали, что учеба может не только способствовать продвижению вперед, но и замедлять развитие личности. Если учеба основывается не на осознании и осмыслении, а преимущественно на запоминании, то оно может на определенном этапе тормозить развитие ученика. Достижение нужного обществу уровня образованности и развития личности невозможно без систематического самостоятельного труда, готовность к которой закладывается в школьном возрасте. В связи с этим в концепции школьного химического образования большое внимание уделяется самостоятельной учебной деятельности учеников в процессе учебы.

Метод самостоятельной работы учеников постоянно в центре внимания педагогов и психологов, которые проводят исследование из разных аспектов развивающей учебы. Доказано, что самостоятельная работа играет большую роль в формировании и развитии учебных умений, воспитании воли, познавательного интереса, навыков коллективного труда. В ней оказывается индивидуальность каждого ученика, формируется их интеллект и характер. Все это способствует усвоению глубоких и прочных знаний.

Цель данной работы - анализ использования модульно-рейтинговых систем в процессе обучения. Задачи работы соответственно этой цели могут быть поставлены следующие.

Определение модульно-рейтингового метода как основы построения названных педагогических систем.

Детальная характеристика педагогических возможностей модульно-рейтинговых систем и направлений их применения.

Работа состоит из трёх глав. Первая глава представляет собой обзор теоретического материала по модульно рейтинговым системам, собственно - по моделям и методам, лежащим в основе их построения. Остальные две главы целиком посвящены практическому применению модульно-рейтинговых систем - в процессе преподавания (вторая глава) и при постановке педагогического эксперимента (третья глава). В качестве примера для модульно-рейтинговой системы выбрано преподавание курса «Органическая химия», раздел «Предельные углеводороды (алканы)» в 10 классе общеобразовательной школы. Выбор сделан в связи с тем, что использование информационных технологий при изучении дисциплин естественнонаучного цикла (химия, физика, биология) затруднительно; в частности, применение информационной технологии в процессе обучения химии по традиционным программам возможно лишь эпизодически, при изучении отдельных тем. А, следовательно, данный выбор затрагивает попутно ещё один актуальный вопрос: для более полного и систематического применения информационной технологии в процессе обучения химии необходимо переработать школьные программы в соответствии с учетом возможностей информационно-компьютерных технологий.

Для написания работы использованы следующие источники: «Современные технологии в образовании» (автор В.И. Чупрасова); «Современные информационные технологии» (автор - Селевко Г.К) «Современные информационные технологии в образовании: дидактические проблемы; перспективы использования» (автор И. Роберт); «Информационные технологии в преподавании естественнонаучных дисциплин» (автор - Малахоткина И.Е.); «Компьютерные технологии в преподавании химии в школе» (авторы - Безрукова Н.П., Козлова Л.Я., Изместьева Н.Д.); публикации: «Oprosnik-2 - программа-оболочка для создания компьютерных тестов по химии и биологии» (авторы - Безруков Р.А., Тищенко Н.В., Безрукова Н.П.); «Организация изучения темы "Химическая связь" с использованием компьютерных технологий в 8 и 11 классах», «Компьютерные технологии в преподавании химии в школе» (авторы обеих - Безрукова Н.П. и Изместьева Н.Д.).

Глава 1. Модели и методы оценки знаний, применяемые при построении модульно-рейтинговых систем

Определение и оценка знаний представляет собой задачу распознавания, основанную на обучении. Решение проблемы оценивания состоит из трех этапов (рис. 1):

определение параметров контроля (обучение), выполняемое до начала КЗ;

сбор, анализ и/или преобразование данных, получаемых в процессе контроля (распознавание);

выставление оценки за контрольную работу по завершении контроля (распознавание).

Рис. 1 - Модель оценивания знаний при контроле

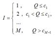
На первом этапе по результатам контрольного эксперимента определяются метаданные заданий (трудность, значимость и т.д.) и устанавливаются параметры КЗ (число вопросов, время на ответ и др.). Метаданные и параметры помещаются в репозиторий системы и используются на последующих этапах. На втором этапе при выполнении контрольных заданий осуществляется сбор, анализ и, возможно, предварительная обработка полученных данных. На последнем этапе выставляется общая оценка за работу. В большинстве методов оценивания предусматривается вычисление некоторой величины, которая затем сравнивается с предварительно заданными граничными значениями. То есть оценка определяется по формуле:

 (1)

где I - оценка за контрольную работу; {c1, c2, …, cм} - вектор граничных значений; M - максимальная возможная оценка (например, при пятибалльной шкале M = 5).

Методы оценивания в основном используются на втором и третьем этапе, хотя существует ряд методов, которые применяются для выставления оценки только на последнем этапе.

Методы оценки знаний можно разделить на два основных класса: математические методы и классификационные методы.

К математическим моделям, которые лучше использовать для оценки знаний относятся:

Простейшая модель. Данная модель является самой простой и самой распространенной. Ответ на каждое задание оценивается по двухбалльной (правильно или неправильно) или многобалльной (например, пятибалльной) шкале. Оценка выставляется путем вычисления значения R:


где Ri - правильный ответ обучаемого на i -е задание; k - количество правильных ответов из n предложенных (k n), которое затем обычно округляется по правилам математики. К достоинствам данной модели следует отнести простоту ее реализации. Недостатком модели является ее зависимость от единственного параметра (количества правильных ответов), т.е. она не учитывает не полностью точные ответы и характеристики заданий. Простейшая модель имеет самую низкую надежность, т.к. не позволяет объективно оценить знания учащегося.

Модели, учитывающие параметры заданий. В этих моделях при выставлении оценки используются характеристики контрольных вопросов. Существуют различные модификации данного типа моделей.

Модель, учитывающая время выполнения задания и/или общее время контрольной работы. Для правильных ответов рассчитывается значение Ri по формуле:

,

где t - время выполнения задания; tmax - время, отведенное для выполнения задания.

Далее итоговая оценка вычисляется аналогично “Простейшей модели”.

Модель на основе уровней усвоения. В этой модели характеристикой задания является уровень усвоения, для проверки которого оно предназначено. Таким образом, задания разделяются на пять групп, соответствующих уровням усвоения: понимание, опознание, воспроизведение, применение, творческая деятельность [Соловов, 1995]. Для каждого задания определяется набор существенных операций. Под существенными понимают те операции, которые выполняются на проверяемом уровне. Операции, принадлежащие к более низким уровням, в число существенных не входят. Для выставления оценки используется коэффициент Кa:


где Р1 - количество правильно выполненных существенных операций в процессе контроля;

Р2 - общее количество существенных операций в контрольной работе;= 0, 1, 2, 3, 4 - соответствуют уровням усвоения.

Оценка выставляется на основе заданных граничных значений по соотношениям, которые выбираются в зависимости от сложности тематики. Один из вариантов: более 0.9 - отлично; 0.7 - 0.9 - хорошо, 0.5 - 0.7 - удовлетворительно. При меньшем значении - неудовлетворительно.

Таким образом, для оценивания знаний применяются разные модели и алгоритмы, начиная с самых простых, учитывающих лишь процент правильно выполненых заданий при двухбалльной системе оценки отдельного вопроса, и заканчивая сложными составными, в которых используются всевозможные параметры контроля и многобалльная система оценки как отдельных заданий, так и работы в целом.

Перейдём теперь к методам оценивания знаний. Все методы оценивания предусматривают в процессе КЗ сбор данных о ходе контроля. Ниже приводятся примеры методов, представляющих интерес для тематики работы.

Контроль на основе модели учебного материала (УМ). В данном методе формирование набора заданий для КЗ происходит на основе модели учебного материала (курса, темы, раздела темы), которая представляет собой ориентированный граф: множество вершин графа соответствует объектам изучения, а множество ребер - связям между ними. Изучение УМ, равно как и организация контроля, осуществляется в соответствии с оптимальной последовательностью изложения учебного материала, которая обычно есть ничто иное, как линейная последовательность объектов изучения. Таким образом, сначала генерируется задание для проверки знаний первого учебного объекта, затем - второго и т.д., т.е. последовательность выдачи заданий аналогична последовательности изучения учебного материала по модели УМ. При этом, если планируется проверить и знания, и умения, то одному учебному объекту могут соответствовать несколько вопросов. Такой подход используется в системе ”Эксперт-ТС”, в которой модель УМ представлена в виде семантической сети. Возможна модификация данного метода, предусматривающая генерацию контрольных заданий с учетом уровня подготовленности ученика.

Модульно-рейтинговый метод. Этот метод во многом аналогичен предыдущему. Учебный материал разделяется на отдельные составляющие - модули, для каждого из которых заранее подготавливается комплект контрольных заданий. В процессе КЗ ученику сначала предлагается вопрос из первого модуля. При этом после каждого ответа ученика вычисляется его рейтинг. Переход к вопросам следующего модуля осуществляется при достижении определенного, заранее установленного рейтинга, причем ученик с целью повышения своего рейтинга, а, следовательно, и оценки, может продолжить выполнение заданий текущего модуля и лишь затем перейти к следующему. Данный метод ранее использовался в АСО ЭКСТЕРН, применяется и в настоящее время.

Ниже рассматривается практическая реализация данного метода в общеобразовательной школе.

Глава 2. Практика применения модульно-рейтинговых систем в учебном процессе

Существующая традиционная технология обучения в школах, которая построена на пассивных информационных смысловые и методах обучения, не стимулирует систематическую самостоятельную учебную деятельность учеников. Потому учебный процесс должен быть организован так, чтобы ученик без принуждения стремился к систематическому активному овладению знаниями. При этом он должен самостоятельно оценивать свой уровень подготовки, выбирать и определять уровень усвоения знаний, чувствовать удовольствие от обучения.

Поиск новых технологий обучения привел к созданию так называемых альтернативных технологий. Одной из таких является технология модульно-рейтингового оценивания обучения. Под технологией модульно-рейтингового оценивания мы понимаем такую технологию организации учебно-воспитательного процесса, что базируется на индивидуализации и дифференциации обучения, обеспечивает стимулирующую и развивающие функции полученных знаний, их самостоятельность и мобильность в процессе индивидуально-ориентированного обучения. Методическую основу технологии модульно-рейтинговой обучения составляет модульное построение курса и рейтинговый контроль знаний, к числу которых можно отнести: системность построения курса и его гибкость; эффективный контроль качеств усвоения знаний. А также, на системный анализ содержания курса влияет методическое и программное обеспечение аудиторной самостоятельной работы учеников.

Основное достоинство новой технологии обучения в том, что в ней главным ценностным ориентиром выступает - личность ученика во всем разнообразии ее духовных, физических, интеллектуальных возможностей и способностей.

Все содержание учебного предмета разделяется на отдельные модули. Модуль - это логично завершенная часть учебного материала из отдельного предмета. Разбивая определенный курс на модуле и оценивая любые действия ученика в познавательном процессе определенным количеством баллов, мы делаем самостоятельную работу ученика более организованной. Виды работ могут быть разными: и традиционные ответы на занятии, семинары, экспресс-контроль, и нетрадиционные элементы деятельности - составление короткого самостоятельного конспекта, обзор литературы, участие в олимпиадах, конференциях и тому подобное. Всю традиционную и нетрадиционную самостоятельную работу стимулируют соответствующим количеством баллов. В конце каждого модуля ученики пишут контрольную работу. В итоге ученик набирает сумму баллов, которая обусловливает его рейтинг.

Рейтинг - это порядковая позиция ученика среди учеников класса из определенной дисциплины. Рейтинг, также, является средством стимулирования активной учебно-познавательной деятельности учеников.

Такая оценка требует определенного методического обеспечения. Каждый модуль обеспечивается методическими материалами, состав которых определяется особенностями конкретной дисциплины.

Обязательными компонентами методического обеспечения является комментированный перечень литературы, который дает ученику ориентир в имеющейся учебной и научной литературе; комплект методических разработок к самостоятельной работе учеников; банк заданий для индивидуальной работы, итоговые задания проблемного характера, выполнения которых требует комплексного использования теоретических знаний и практических умений и навыков, приобретенных при усвоении материала данного модуля.

То есть в модульно-рейтинговой технологии обучения основное внимание переносится на самостоятельную работу учеников. Ведь рейтинг ученика, который потом будет переведен в оценку, состоит из баллов, полученных преимущественно за самостоятельную работу ученика. Для перевода рейтинга ученика в оценку пользуются такой шкалой.

Оценка

2

3

4

5

% набранных баллов

<50%

51-69%

70-89%

90-100%


Например, модуль “Алканы (предельные углеводороды) ”. Здесь максимальная разбалловка будет такой:

 Мини-модуль 1

Мини-модуль 2

Мини-модуль 3

Мини-модуль 4

Всего

Экспресс контроль

Самостоятельная работа

Контрольная работа

Призовой фонд

Экспресс контроль

Самостоятельная работа

Контрольная работа

Призовой фонд Обязательные (диф.)

Дополнительные занятие

Экспресс контроль

Самостоятельная работа

Контрольная работа

Призовой фонд

Дополнительные занятие

Экспресс контроль

Самостоятельная работа

Контрольная работа

Призовой фонд

Дополнительные занятие






Обязательные (диф.)

Самостоятельные





Обязательные (диф.)

Самостоятельные





Обязательные (диф.)

Самостоятельные





Обязательные (диф.)

Самостоятельные


10

20

30

5

А-20, В-15, С-10

30

10

20

30

5

А-20, В-15, С-10

30

10

20

30

5

А-20, В-15, С-10

30

10

20

30

5

А-20, В-15, С-10

30

460


Мини-модуль 1. Метан, его строение.

Вопрос для самоконтроля:

Элементарное строение атома углерода, s и p- электроны, формы электронных облаков. Основной и возбужденный состояния углерода.

Метан - самое простое органическое соединение, его состав.

Тетраэдричное строение молекулы, характер химических связей sp3 - гибридизация.

Физические свойства и распространения в природе.

Мини-модуль 2. Строение и номенклатура углеводородов ряда метана.

Вопрос для самоконтроля:

Гомологический ряд насыщенных углеводородов на примере гомологов метана.

Общая формула парафина.

Молекулярные и структурные формулы гомологов, их физические свойства, распространения в природе.

Пространственное строение насыщенных углеводородов.

Мини-модуль 3. Химические свойства насыщенных углеводородов.

Вопрос для самоконтроля:

Химические свойства насыщенных углеводородов: горение, термическое расписание, хлорирование, изомеризация.

Отношение насыщенных углеводородов к растворам кислот, щелочей, перманганата калия.

Применение метана и его галогенопроизводных.

Добывание метана.

Мини-модуль 4. Циклопарафины.

Вопрос для самоконтроля:

Состав циклопарафинов.

Химическое строение.

Практическое применение.

Задание для контрольной работы.

Вариант А.

Напишите структурную формулу газообразного алкана, если масса 5,6л (н.у.) его составляет 11г.

Закончить уравнение реакций:

; ;

;

Назвать вещества, которые образовались.

Написать структурные формулы: а) 3-этил-4,4-диметилгептана; бы) 2,4-диетилгексана; в) 2-метил-3-этилгексана; г) 3,3-диметилпентана.

Вариант В.

Вычислите плотность по водороду и по воздуху алкана, который стоит четвертым в гомологическом ряду.

Назвать в соответствии с международной номенклатурой углеводороды, которые имеют следующее строение:

 


Как осуществить такие превращения:®C®CH4CH3Cl?

Вариант С.

Написать структурные формулы алканов, которые имеют такой элементный состав: C - 82,76%, H - 17,24%.

Написать структурные формулы углеводородов: а) 2-метилбутана; б) 2,2-диметилбутана.

Отметить тип гибридизации орбиталей каждого из атомов углерода в молекуле пентану CH3 - CH2 - CH2 - CH2 - CH3.

Решения заданий для контрольной работы.

моль


Задана формула алканов CnH2n+2. Составляем уравнение: 12n + 2n +2 = 44; n=3 (C3H8)

 а.е.м

.

.Общая формула алкана CnH2n+2

. Отсюда 5n = 4n + 4n = 4.

Формула алкана C4H10. Структурные формулы:

СН3 - СН2 - СН2 - СН2 - СН3; ;


Контрольные задания.

Творческие.

Почему атомы углерода могут соединяться между собой, образовывая цепи? Обосновать ответ.

Из электронного строения атома углерода выходит, что в соединениях он должен быть всегда двухвалентный (наличие двух неспаренных р-электронов). В молекуле же метана углерод четырехвалентный. Как объяснить это противоречие?

Какой объем кислорода нужный для сжигания 40л смеси метана с этаном, густота которой за водородом 13,25?

Определите общую формулу соотношения суммарного объема алкана и кислорода, необходимого для полного сгорания, к суммарному его объему продуктов реакции. Для какого насыщенного углеводороду это соотношение равняется 1?

Обязательные.

Вариант А.

Составьте структурные формулы таких соединений: а) 4-этил-2-метилгексана; бы) 2,2,3-триметилбутана.

Насыщенный углеводород имеет относительную густоту пары за воздухом 4,414. Определите молекулярную формулу углеводороду.

Вариант В.

Назовите за систематической номенклатурой насыщенный углеводород, главную цепь которого имеет четыре атома углерода, а относительная молекулярная масса равняется 114.

Изомерами являются: а) 2-метилгексан и 3-этилгесан; бы) 3-этилгексан и 2,3-диметилгептан; в) 2,3-диметилгептан и 3-этил-3-метилгексан; г) 3-этил-3-метилгексан и 2-метилгексан.

Какую пространственную форму имеют молекулы насыщенных углеводородов: а) зигзаговидную; бы) линейную; в) плоскостную?

Вариант С.

В чем суть sp3-гибридизации?

Какая длина связи С - С; валентный угол в молекулах алканов: а) 0,140нм; бы) 0,154нм, 109є28’; в) 0,120нм, 180є; г) 0,134нм, 120є?

Напишите сокращенную структурную формулу 3-етил-2-метилпентана.

Решения творческих заданий.

Молекулярная масса смеси  если метана в смеси х литров, то его молярная масса , а этана . Тогда:, ; отсюда х = 10.

СH4 + 2O2 ® CO2 + 2H2O

C2H6 + 7O2 ® 4CO2 + 6H2O.

Для горения метана нужно 20л кислороду, а этана - 105л. общее количество кислорода - 135л.

СnH2n+2 + [n + (n + 1) / 2]O2 ® nCO2 + (n + 1)H2O

Общее соотношение алканов и кислорода:

Общая формула:

- это метан.

Разумеется, что возможны и иные варианты использования модульно-рейтинговых систем.

Глава 3. Проведение педагогических экспериментов с использованием модульно-рейтинговых систем

В качестве подтверждения актуальности применения модульно-рейтинговых систем был проведён педагогический эксперимент. Его заданием было обнаружить преимущества технологии модульно-рейтинговой обучения над существующей традиционной технологией, которая построена на пассивных информационных смысловые и методах обучения и не стимулирует систематическую самостоятельную учебную деятельность учеников.

Поставив целью формирование самостоятельности, как центральной черты личности ученика, в результате экспериментальной работы было установлено, что для достижения этой цели необходимое оптимальное сочетание разных форм самостоятельной работы: индивидуальных, групповых и фронтальных, то есть достижение их гармонизации. Под гармонизацией мы понимаем педагогически целесообразное соотношение разных форм самостоятельной работы: фронтальной, групповой и индивидуальной, что обеспечивают индивидуализацию обучения, которая создает предпосылки для развития интересов и способностей личности, сохранения и последующего воспитания творческой индивидуальности.

Фронтальная деятельность заключается в выполнении всеми учениками под непосредственным руководством учителя общих заданий (контролирующих). Хотя задание ставит для всех учеников, но в условиях модульно-рейтиногового обучения каждый имеет возможность работать за индивидуальным стилем деятельности, собственными темпами.

Групповую учебная деятельность рассматривают как совокупную учебную деятельность небольших за составом групп учеников. Достижение общей цели групповой деятельности происходит благодаря совместным усилиям отдельных членов группы. Общей чертой групповой деятельности является возможность учиться не только с учебником и у преподавателя, но и друг у друга.

Индивидуальная учебная деятельность - это единоличное решение учениками учебных задач, полная самостоятельность в получении знаний. Эта форма учебной деятельности наиболее полно учитывает индивидуальные особенности учеников, дает возможность выбору способов, приемов, темпа обучения, которые учитывают уровень развития, умственных способностей, особенности высшей нервной деятельности отдельной личности, способствует формированию и сохранению неповторимой индивидуальной личности каждого ученика.

Для педагогического эксперимента были взяты два класса: 10-А класс (экспериментальный) и 10-Б класс (контрольный). Перед внедрением модульно-рейтинговой технологии обучения в обоих классах были сделанные срезы знаний.

Результаты статистического анализа даны в таблицах.

Уровень качеств знаний учеников перед экспериментом.

10-А

10-Б

Количество учеников

%

Количество учеников

%

5

3

10,7

2

6,9

4

7

25

4

13,8

3

16

57,1

20

6,9

2

2

7,2

3

10,3

Уровень качеств знаний учеников после эксперимента.

модульный рейтинговый учебный процесс

Оценка

10-А

10-Б


Количество учеников

%

Количество учеников

%

5

6

21,4

4

13,8

4

15

53,6

14

48,3

3

7

25

11

37,9

2

-

-

-

-

В экспериментальном классе уроки химии были “спаренными”.

Урок начинался с изложения нового материала, на какой учитель отводил 20-25 минут. Дальше проводится самостоятельная работа учеников с учебником, дополнительной литературой. Ученики несколько конспектируют, дают ответы на вопрос в конце параграфа, изучают рисунки, схемы.

Следующим этапом является выполнение контролирующих заданий (25-30 минут), во время их выполнения ученики могут пользоваться собственным конспектом и учебником. Каждый ученик при этом может выбирать дорогой уровень сложности.

Да, вариант А - высокий уровень сложности. Задания этого варианта оцениваются 3 баллами.

Вариант В - средний уровень сложности. Задания оцениваются 2 баллами.

Вариант С - невысокий уровень сложности. Задания оцениваются 1 баллом.

Следующий этап - выполнение контрольных (обязательных) заданий (20-25 минут.).

В нашем варианте контрольное задание - это задание для самостоятельной работы, которая разделяется на обязательную и творческую (по желанию и наклонами учеников).

Обязательные задания дифференцированы. Они разделяются на варианты А - производительный, В - частично-поисковый, С - репродуктивный уровень, какие ученики выбирают добровольно. Выполняя задание, ученик может получить консультации у учителя, учеников класса, но сдает выполненное задание только индивидуально.

Происходит как бы индивидуальная защита собственной творческой работы. При этом у ученика формируется умение доказательно и обоснованно отстаивать собственное мнение, вести диалог, обстоятельно объяснять целесообразность того или другого действия.

Кроме того, защищая собственную идею, ученик должен хорошо ориентироваться в научной информации, то есть, должен систематически работать с учебником, дополнительной и научной литературой.

Контрольные задания оцениваются: А - 20 баллами, В - 15 баллами, С - 10 баллами, творческое задание - 30 баллами.

Таким образом, выполняя задание из числа контрольных (проверочных), ученик прежде всего формирует такую черту своего характера как самостоятельность.

Контрольные задания тоже имеют разный уровень сложности и соответствующее количество баллов.

Завершается изучение модуля контрольной работой, которая проводится в присутствии учителя по индивидуальным заданиям.

Но после первого же индивидуального общения с учителем начинают проявлять любопытство, ведь их собственными суждениями интересуются, выслушивают предложения, критические замечания.

Ученики занимают позицию субъекта, активного участника учебного процесса, чувствуют ответственность за конечный результат - уровень подготовки к вузу, развитие себя как личности.

Описанная технология обучения позволяет индивидуализировать учебно-воспитательный процесс: содержанием обучения; темпом усвоения знаний и формирования умений; стилем деятельности; контролем и самоконтролем; характером педагогической взаимодействует учителя и учеников.

Внедрение описанной методики организации и оценивания самостоятельной работы способствует повышению самостоятельности, ответственности за результаты своего труда, что влияет на выбор будущей профессии, дает возможность создать условия для самореализации учеников, проявления их индивидуальных способностей, стимулирует творческую работу в течение четверти, индивидуализирует процесс обучения во всех формах учебной деятельности.

Заключение

Основные выводы по данной работе могут быть сделаны следующие:

Традиционная технология обучения, которая является основой в современной общеобразовательной школе и базируется на информационной модели образования, теряет свою актуальность. Ведь в эпоху научно-технической революции объем учебной информации удваивается каждые 10 лет и ставить целью усвоение всей информации становится нецелесообразным. На первое место выступает задание развития личности ученика, который становится субъектом учебно-воспитательного процесса.

Задание развития особенности ребенка призванные выполнить новые технологии обучения, основным ценностным ориентиром которых является ученик, как уникальная и неповторимая личность.

Основным методом обучения становится не передача готовой информации от учителя к ученику, а самостоятельная учебная деятельность учеников.

Под самостоятельной работой мы понимаем такую форму организации процесса обучения, которая осуществляется с целью приобретения новых знаний и умений в специально отведенное время без непосредственного участия учителя, но под его руководством.

Основными условиями эффективного применения самостоятельных работ являются: а) технологизация учебного процесса; бы) создание базы дидактичного материала для систематической самостоятельной учебно-познавательной деятельности учеников; в) гармонизация индивидуальной, групповой и фронтальной форм самостоятельной работы; г) доминирование творческих учебно-познавательных заданий над репродуктивными в процессе самостоятельной работы учеников.

В процессе экспериментальной работы обнаружено, что эффективной технологией обучения, которая ставит целью развитие личности ученика и формирования самостоятельности, как черты характера, есть технология модульно-рейтинговой обучения.

Под технологией модульно-рейтинговой обучения мы понимаем такую технологию организации учебно-воспитательного процесса, что базируется на индивидуализации и дифференциации обучения, обеспечивает стимулирующую и развивающую функции полученных знаний, их самостоятельность и мобильность в процессе индивидуально-ориентированногообучения.

Использование самостоятельной дифференцированной работы учеников в технологии модульно-рейтинговой обучения дает возможность индивидуального процесса обучения и ставит учеников в условие свободного выбора содержания химического образования, методов и темпов обучения.

Результаты педагогического эксперимента подтвердили эффективность применения технологии модульно-рейтинговой обучения, которая берет за основу самостоятельную работу учеников. Ведь 21,4% учеников экспериментального класса обнаружили знание на уровне оценки “5”, 53,6% - “4”, 25% - “3”, тогда как в традиционной технологии эти показатели составляют: 13,8% - “5”, 48,3% - “4”, 37,9 - “3”.

Список использованной литературы

1.  Безруков Р.А., Тищенко Н.В., Безрукова Н.П. "Oprosnik-2" - программа-оболочка для создания компьютерных тестов по химии и биологии //Тезисы Всероссийской научной конференции "Молодежь и химия", Красноярск, 2002, с.140-147.

2.      Безрукова Н.П., Изместьева Н.Д., Реди Е.В. Организация изучения темы "Химическая связь" с использованием компьютерных технологий в 8 и 11 классах // Материалы Менделеевских чтений, Тобольск, 2002, с. 23-24.

.        Безрукова Н.П., Козлова Л.Я., Изместьева Н.Д., Компьютерные технологии в преподавании химии в школе. Красноярск: Сибирь-Пресс, 2003 - 96 с.

.        Безрукова Н.П., Сыромятников А.А., Безруков А.А. и др. Возможности использования современных информационных технологий в преподавании тем "Химическая связь" и "Производство чугуна и стали" школьного курса химии //Материалы VIII Межд. конф.-выставки "Информационные технологии в образовании", Москва, 1998, с. 18-19.

.        Малахоткина И.Е. Информационные технологии в преподавании естественнонаучных дисциплин. СПб.: Питер, 2004 - 288 с.

.        Непогодьева А.А. Применение компьютерных моделей и информационных технологий в процессе обучения химии и биологии. М.: ИНФРА-М, 2004 - 320 с.

.        Роберт И. Современные информационные технологии в образовании: дидактические проблемы; перспективы использования.- М: Школа-Пресс, 2001 -292 с.

.        Селевко Г.К. Современные образовательные технологии.- М: Народное образование, 2002 -255 с.

Похожие работы на - Развитие творческого мышления в практике обучения

 

Не нашли материал для своей работы?
Поможем написать уникальную работу
Без плагиата!
Без нейросетей!