Моделирование и исследование многомерной системы автоматического регулирования в пространстве состояний
Содержание
Введение
. Многомерные системы управления
.1 Понятие пространства состояний
.2 Понятие матрицы передаточной
функции
.3 Понятие наблюдаемости многомерной
системы
.4 Понятие управляемости многомерной
системы
.5 Алгебраические критерии устойчивости
. Реализация и исследование
многомерной системы регулирования
.1 Постановка задачи и исходные
данные
.2 Построение математической модели
.3 Визуализация полученных
результатов средствами Mathcad
.3.1 Графическое отображение
численных результатов (методом Рунге-Кутта)
.3.2 Графическое отображение
численных результатов (методом Эйлера)
Заключение
Список использованных источников
Введение
Целью настоящей работы является на основе
моделирования исследовать особенности управления многомерной системой автоматического
регулирования с использованием математического описания этой системы в
пространстве состояний.
Метод моделирования заключается в построении
математической модели в виде системы дифференциальных уравнений,
устанавливающих взаимосвязь выходных величин с внешними воздействиями
исследуемой системы.
Получение конкретных числовых значений и анализ
искомых результатов, а так же их визуализация производится программным
средством Mathcad
15.
Поставленные цель и задачи обусловили структуру
данной работы, которая состоит из введения, двух глав, заключения и списка
использованных источников.
В первой главе рассматриваются вопросы,
связанные со знаниями о многомерных системах управления. В частности понятие
пространство состояний и линейных преобразований в нём, матрицы передаточной
функции, наблюдаемости, управляемости и устойчивости многомерных систем.
Во второй главе реализуется математическая
модель многомерной системы регулирования в соответствии с выданным вариантом
(№3) структурной схемы, производится анализ и оценка результатов моделирования.
В заключении формулируются и излагаются выводы о
проделанной работе.
1. Многомерные системы управления
1.1 Понятие пространства состояний
К многомерным системам относятся такие системы,
у которых имеется несколько управляемых и управляющих величин. Например,
системы автоматического регулирования частоты вращения двигателей переменного
тока, системы регулирования напряжения и частоты синхронного генератора,
системы управления промышленными роботами, системы управления подвижными
объектами.
При исследовании многомерных систем пользуются
методами пространства состояний. В отличие от подхода основанного на
использовании структурных схем и передаточных функций использование метода
пространства состояний основано на возможности описания поведения системы
некоторым количеством дифференциальных уравнений первого порядка относительно
переменных состояния с начальными условиями. Понятие состояния, лежащее в
основе современного подхода к описанию поведения динамических систем, было
впервые введено Тьюрингом в 1936 г. Позднее это понятие было использовано
Шенноном в его работах по теории информации.
Многомерная система предполагает наличие
многомерного объекта управления, который характеризуется входными и выходными
переменными, к которым относятся:
) входные переменные, представляющие сигналы,
генерируемые системами, внешними по отношению к исследуемой, и влияющие на ее
поведение. Входные переменные разделяются на управляющие переменные, задаваемые
вектором U:
=(u1 , u2 ,...uk )T , (1.1)
и возмущающие воздействия, задаваемые вектором f
:
=(f1 , f 2 ,... fl )T , (1.2)
) выходные или регулируемые переменные,
задаваемые вектором регулируемых величин y:
=(y1 , y2 ,...ym )T , (1.3)
) переменные (обобщенные координаты) состояния
или промежуточные переменные, задаваемые вектором обобщенных координат x
= (x1
, x2 ,...xn
)T (1.4)
Переменные многомерного объекта являются
векторными величинами, зависящими от времени, а сам объект может быть
структурой рис. 1.1.
Рис.1.1
передаточный функция многомерный
система
Согласно понятию векторного пространства
множество всех значений, которые может принять вектор управления Uв момент
времени t , образует пространство управляющих величин. Аналогично, множество всех
значений, которое могут принимать векторы возмущений f , регулируемых величин y
и обобщенных координат x в момент времени t , образуют пространство возмущающих
воздействий, пространство регулируемых величин и пространство состояний
системы.
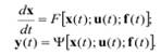
В любой момент времени t состояние системы
является функцией начального состояния x (t0) и вектора входных величин.
Вектор регулируемых величин в момент t является
также функцией начального состояния x0 (t0) и вектора входных величин U(t0 ,t)
и f(t0 ,t) и может быть записан как
(t) =Ψx(t
0 ); u(t0 ,t); f(t) (1.5)
Уравнение (1.5) называют уравнением состояния
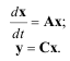
системы. Для систем, описываемых дифференциальными уравнениями, уравнения могут
быть записаны в следующем виде:
(1.6)
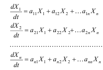
Для линейных систем уравнения состояния сводятся
к следующим:
(1.7)
Уравнение (1.6) и (1.7) устанавливает
взаимосвязь между входными (управляющими и возмущающими) и выходными (фазовыми)
координатами объекта, определяемую видом функций F[x(t);u(t);f(t)] и Ψ[x(t);u(t);f(t)],
а
также позволяет описать процесс движения системы в пространстве состояний, как
результат решения векторного дифференциального уравнения (1.6) или (1.7).
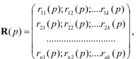
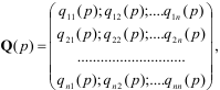
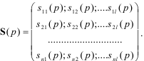
1.2 Понятие матрицы передаточной функции
Введение векторных переменных позволяет для
линейных систем использовать привычный аппарат передаточных функций и
структурных схем, однако понятие передаточной функции значительно расширяется.
Пусть имеется многомерная система управления со
структурной схемой показанной на рис. 1.2. и системой дифференциальных
уравнений, записанных в символической форме.
Рис.1.2
По аналогии с одномерными системами можно
записать:
(1.8)
где Q(p)-квадратная матрица операторных
коэффициентов размера n на n:
(p)- прямоугольная матрица операторных
коэффициентов размера n на k:
(p)- прямоугольная матрица операторных
коэффициентов размера n на l:
Для получения системы дифференциальных уравнений
необходимо перемножить прямоугольную или квадратную матрицы на матрицы -
столбцы соответствующих переменных объекта.
Взаимосвязь уравнений состояния с уравнениями
системы в виде (1.8)
определяется из следующих соотношений. Из
второго уравнения (1.7) выразим переменную x (t) через y(t):
(1.9)
и подставим это выражение в первое уравнение
(1.7):
(1.10)
Преобразовывая по Лапласу (1.10) и группируя
подобные члены, получим выражение аналогичное (1.8), которое путем
приравнивания матриц при одноименных переменных позволяет установить
взаимосвязь (1.7) с (1.8).
где I - единичная матрица,
По аналогии с одномерными системами, используя
основные правила
теории матриц, можно ввести понятие матриц
передаточной функции, временных и частотных характеристик.
Если умножить (1.8) на обратную матрицу
,
то получим:
(1.12)
Отсюда можно получить выражение для матриц
передаточных функций системы по управлению
(1.13)
и возмущению
(1.14)
Из теории матриц известно, что обратная матрица
может быть вычислена по методу неопределенных коэффициентов применительно к
выражению:
где I
- единичная матрица, что в конечном итоге приводит к решению систем линейных
алгебраических уравнений.
Второй способ вычисления обратной матрицы
задаётся выражением:
(1.15)
Если в матрице передаточной функции для каждого
элемента матрицы найти обратное преобразование Лапласа, то получится матрица
весовых функций (матрица Коши).
(1.16)
Если в момент времени t=0 на все к входов
поступают управляющие воздействия u(t), то изменение i- ой регулируемой
величины может быть найдено посредством интеграла Дюамеля на основании принципа
суперпозиции:
(1.17)
Аналогично одномерным системам, производя замену
оператора p на оператор jω для каждого
элемента матрицы передаточных функций (1.13), (1.14), получим матрицу
комплексной передаточной функции.
(1.18)
Если теперь положить, что одновременно на все
входы многомерной системы поступают гармонические сигналы одинаковой частоты ω
, то
АЧХ и ФЧХ i-ой регулируемой величины могут быть вычислены по следующим
формулам:
Т. е. сначала определяют частотную передаточную
функцию по i- ому выходу как сумму комплексных элементов j- ой строки матрицы
частотной передаточной функции всей системы, а затем АЧХ и ФЧХ находят как
модуль и аргумент этой суммы комплексных элементов.
Также как и для одномерных систем, в многомерных
системах одной и той же матрице передаточной функции может соответствовать
несколько вариантов структурных схем и уравнений состояния. Т.е. по уравнениям
состояния матрица передаточной функции может быть получена однозначно, обратное
утверждение будет неверным.
.3 Понятие наблюдаемости многомерной системы
Наблюдаемость и управляемость характеризуют
свойства многомерных систем и являются такими же важными понятиями, как
устойчивость.
Если устойчивость линейных систем однозначно
определяется по коэффициентам матрицы передаточной функции, или матрицы А, или
по коэффициентам характеристического уравнения, то для оценки наблюдаемости
необходимо наряду с матрицей А знать также матрицу наблюдаемости С. Аналогично
для оценки управляемости системы необходимо знать матрицу А и матрицу
управляемости В.
Рассмотрим вначале понятие наблюдаемости. При
автоматическом управлении предполагается, что наблюдение за системой или
процессом сопровождается измерением обобщенных (фазовых) координат Xi и в
понятие наблюдение и измерение вкладывается практически одинаковый смысл. В
отличии от тождественности понятий наблюдения и измерения понятие наблюдаемость
и измеримость в теории управления имеют различное содержание. Под измеримостью
понимается возможность прямого измерения той или иной фазовой координаты. В
этом случае речь идет о непосредственной наблюдаемости. Под наблюдаемостью же
понимается возможность как косвенного, так и прямого измерения фазовых
координат на основе прямого измерения других, как правило, регулируемых
величин.
Общая постановка задачи определения состояния
системы по наблюдениям заключается в следующем. Пусть получено посредством
наблюдения (измерения) множество Y, связанное известной функциональной
зависимостью с множеством X , например Y=CX, принадлежащему пространству
состояний системы с заданной математической моделью в форме Коши. Требуется
определить X или некоторое его подмножество Xn ⊂
X.
При свободном движении уравнения (1.7) системы
преобразуются к виду:
Продифференцируем n-1 раз второе уравнение и
подставим в полученные выражения для производных первое уравнение. В результате
получим систему из n уравнений для вычисления x .
Матрица наблюдаемости имеет вид:
а ее ранг должен быть равен порядку системы.
Это необходимое и достаточное условие
наблюдаемости Калмана.
.4 Понятие управляемости многомерной системы
Понятие управляемости связано с переводом
системы посредством
управления из одного состояния в другое. Пусть в
пространстве состояний X заданы два подмножества Γ1 ⊂
X и Γ2
⊂
X . Рассматриваемая система будет управляемой, если существует такое управление
U(t) = (U1,U2 ,...Uk )T , определенное на конечном интервале времени 0 ≤
t ≤ T , которое переводит систему в пространстве X из подмножества Г1 в
подмножество Г2.
Для линейной стационарной системы можно
записать:
где матрицы А и В постоянны.
При отсутствии ограничений в пространстве
состояний и пространстве управлений, управляемость зависит только от
коэффициентов матриц А и В.
Для управляемости системы необходимо чтобы
решение было устойчивым:
В том случае если размерность вектора u(t)
больше или равна размерности вектора x (t ), то по завершении управления, когда
вектор x(t1) = x1 система будет иметь единственное решение в то и только том
случае если ранг матрицы В равен n.
Если размерность вектора u(t) меньше размерности
вектора x (t , )то необходимое и достаточное условие полной управляемости по
Калману примет вид:
где
-
матрица управляемости.
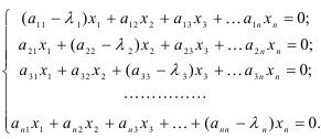
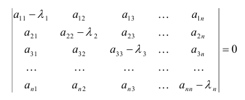
.5 Алгебраические критерии устойчивости
Для линейной системы уравнения её движения в
пространстве состояний можно представить в следующем виде:
Где
Или в развернутой форме:
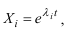
Любое частное решение однородной системы вида:
будет обращаться в тождество, где λi
произвольные числа.
Подставляем в частное решение и после очевидных
преобразований получим следующую систему линейных однородных алгебраических
уравнений из которых можно найти λi:
Решая эту систему можно найти xi. Известно, что
нетривиальное решение такой системы будет при условии равенство нулю главного
определителя системы
Это и будет характеристическое уравнение
системы, a λ ,1λ ,2....λn являются
корнями характеристического уравнения.
Получив характеристическое уравнение системы
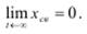
можно определить устойчивость по корням этого уравнения. Для этого запишем
общее решение системы
Для устойчивости системы необходимо и
достаточно, чтобы

2. Реализация и исследование модели многомерной
системы регулирования
.1 Постановка задачи и исходные данные
Структурная схема многомерной системы
регулирования (в соответствии с вариантом задания №3):
Рис.2.1
Для заданной многомерной системы автоматического
регулирования составить математическую модель в виде системы дифференциальных
уравнений, устанавливающих взаимосвязь выходных величин y1(t),
y2(t)
с внешними воздействиями g1(t),
g2(t) и f(t).
Решить полученные дифференциальные уравнения
относительно y1(t),
y2(t)
поочередно задаваясь ступенчатым изменением внешних воздействий. Получить
графическую иллюстрацию решения.
.2 Построение математической модели
Используя заданную структурную схему и известные
передаточные функции сначала составим математическую модель системы в
изображениях по Лапласу. В соответствии со структурной схемой рис.2.1 выпишем
уравнения связи:
1 = W11u1
- Wff;
u1 = g1 -
y1;= W21u1 + W22u2;= g2 - y2.
Подставляя величины u1
и u2 в выражения для y1
и y2 получим:
Раскроем выражения для передаточных
функций:
и избавимся от знаменателей:
(p + k1)y1 = k1g1 - k4f;
(T3p + k3)y1
+ (p + k2)y2 = (T3p + k3)g1 + k2g2.
Полученные уравнения представляют
собою уравнения общего вида:
(p)×y = B(p) ×g + C(p) ×f,
в котором
Для получения нормальной формы Коши
Характеристическое уравнение |A|=0:
p2 +(k1 + k2)p +k1k2 = 0
Для заданных числовых параметров
данное характеристическое уравнение имеет положительные вещественные корни. Из
чего следует, что решение будет неустойчивым.
Объект системы управляем и
наблюдаем, так как r=1=n, согласно
критериям Калмана.
По известным матрицам K, N, F, L, H и S составляем
описание системы регулирования в нормальной форме Коши:
Для численного решения полученной
системы воспользуемся уравнениями Эйлера:
Для последующего исследования
динамики системы воспользуемся программным средством Mathcad 15.
2.3 Визуализация полученных
результатов средствами Mathcad
.3.1 Графическое отображение
численных результатов (методом Рунге-Кутта)
2.3.2 Графическое отображение численных
результатов (методом Эйлера)
шаг
интегрирования, задающий временную сетку
пороговое
воздействие, равное единичному импульсу
начальное условие
для внешнего воздействия
параметры
передаточных функций
параметр временной
передаточной функции
Визуальная интерпретация средствами построенных
графиков средой MathCad:
Заключение
В процессе выполнения курсовой работы была
реализована математическая модель заданной системы.
Анализ математической модели позволил
исследовать исходную систему и получить следующий аналитический результат.
Данная многомерная система регулирования является неустойчивой. Однако объект
управления наблюдаем и управляем. Для того чтобы система приобрела устойчивость
необходимо увеличить численные значения параметров передаточных функций,
реализованных в усилительном звене (линейно-усилительные блоки в структуре
системы).
Целью решения полученных дифференциальных уравнений
является изучение реакции выходных величин y1(t),
y2(t)
системы автоматического регулирования на единичные ступенчатые воздействия g1(t),
g2(t),
f(t).
Для наглядного представления результатов следует рассмотреть три решения -
отдельно для каждого внешнего воздействия: g1(t)=10(t),
g2(t)=0,
f(t)=0;
g1(t)=0,
g2(t)=10(t),
f(t)=0;
g1(t)=0,
g2(t)=0,
f(t)=
10(t).
Анализ полученных графических результатов выявил
характерную особенность, присущую для многомерных систем автоматического
регулирования - существование влияния какого-либо из внешних
воздействий одновременно на несколько регулируемых величин.
Исходя из этого, при синтезе системы необходимо
обеспечить независимость управления каждой выходной величиной.
Список используемых источников
1.
Пискунов Н.С. Дифференциальное и интегральное исчисление / Н.С. Пискунов. М.:
Наука, 1972. Т.1. 429 с.
.
Пискунов Н.С. Дифференциальное и интегральное исчисление / Н..С. Пискунов. М.:
Наука, 2003. Т.2. 544 с.
.
Нетушила А.В. Теория автоматического управления / А.В. Нетушила. М.: Высш. шк.,
1972.Ч.2. 432 c.
.
Яковлева В.Б. Теория автоматического управления / В.Б. Яковлева. М.: Высш. шк.,
2003.567 c.
.
Соломенцева Ю.М. Теория автоматического управления / Ю.М. Соломенцева. М.:
Высш. шк., 2003. 268 c.
.
Гмурман В.Е. Руководство к решению задач по теории вероятностей и
математической статистике / В.Е. Гмурман. М.: Высш. шк., 2002. 404 c.
.
Вентцель Е.С. Исследование операций / Е.С. Вентцель. М.: Дрофа, 2004. 208 c.
.
Семенов М.П. Основы численных методов: учеб. пособие / М.П. Семенов, А. А.
Катрахова, В. В. Жучкова. Воронеж: ВГТУ, 1997.
.
Мышкис А.Д. Лекции по высшей математики / А.Д. Мышкис . М.: Наука, 1969. 640 c.