Капітал комерційного банку

  • Вид работы:
    Контрольная работа
  • Предмет:
    Банковское дело
  • Язык:
    Украинский
    ,
    Формат файла:
    MS Word
    40,02 Кб
  • Опубликовано:
    2012-09-07
Вы можете узнать стоимость помощи в написании студенческой работы.
Помощь в написании работы, которую точно примут!

Капітал комерційного банку














Капітал комерційного банку

1.  Склад і структура ресурсів комерційного банку. Власний капітал

Ресурси банку - сукупність коштів, які є у розпорядженні банку і використовуються для забезпечення його діяльності.

Залежно від джерел формування ресурси поділяються на власні, залучені і запозичені.

Власний (регулятивний) капітал банку, що особливо необхідний на етапі становлення банківської установи, є не тільки гарантом забезпечення довіри до банку зі сторони вкладників, а також виконує і другорядну для нього функцію - забезпечення оперативної діяльності банку. До того ж він служить основним джерелом і гарантом збереження вартості активів банківської установи поряд із залученими й запозиченими коштами.

Більшу частину ресурсів банку становлять залучені й позичені кошти і близько третини - власний капітал. До власних ресурсів, належать статутний, резервний та інші фонди, резерви на покриття різноманітних ризиків, нерозподілений прибуток поточного і минулих років. Ці фонди створюються для забезпечення фінансової сталості, комерційної і господарської діяльності банку.

Залучені кошти банку - це сукупність коштів на поточних, депозитних та інших рахунках банківських клієнтів (юридичних та фізичних осіб), на рахунках громадських організацій, різноманітних громадських фондів, які розміщуються в активи з метою отримання прибутку чи забезпечення ліквідності банку.

Основну суму залучених коштів становлять тимчасово вільні грошові кошти, що утворюються внаслідок кругообороту промислового і торгового капіталу, грошові накопичення держави, особисті грошові накопичення населення.

Позичені кошти банку - це головним чином позики на грошовому ринку, які залучаються у формі міжбанківських кредитів і кредитів НБУ, операцій з цінними паперами на вторинному фондовому ринку.

Ці кошти мають суттєве значення для підтримки поточної банківської ліквідності і тому активно використовуються комерційними банками України.

Структура ресурсів окремих комерційних банків є індивідуальною і залежить від ступеня їх спеціалізації, особливостей діяльності, стану ринку кредитних ресурсів та інших факторів. На рис. 1.1 подано класифікацію ресурсів комерційного банку.

Рис. 1.1. Класифікація ресурсів комерційного банку

Власний капітал - це грошові кошти, внесені акціонерами (засновниками банку) та пойовиками, а також кошти, сформовані в процесі подальшої діяльності банку.

У порівнянні з підприємствами інших сфер діяльності власний капітал комерційного банку займає незначну питому вагу у сукупному капіталі, приблизно 8-10 %, тоді як у промислових підприємств - 40-60 %. До того ж він має інше призначення в банках, а ніж в інших сферах підприємництва.

Регулятивний власний капітал, що використовується органами банківського нагляду в основному для обчислення економічних нормативів, складається з основного і додаткового капіталу, зваженого на ризики.

У свою чергу основний капітал банку включає сплачений і зареєстрований статутний капітал і розкриті резерви, які створені або збільшені за рахунок нерозподіленого прибутку, надбавок до курсу акцій і додаткових внесків акціонерів у капітал.

комерційний банк капітал депозитний

Рис. 1.2. Структура основного капіталу банку

Розкриті резерви також включають резервні фонди, що створені згідно із законами України, загальні резерви, прибутки минулих років та прибутки минулих років, що очікує затвердження.

Загальний розмір основного капіталу визначається з урахуванням розміру очікуваних (можливих) збитків за невиконаними зобов'язаннями контрагентів та зменшується на суму:

недосформованих резервів під можливі збитки за: кредитними операціями, операціями з цінними паперами дебіторською заборгованістю; простроченою понад 30 днів та сумнівними до отримання нарахованими доходами за активними операціями; коштами, розміщеними на кореспондентських рахунках у банках, які визнані банкрутом або ліквідовуються за рішенням уповноважених органів, або які зареєстровані в офшорних зонах;

нематеріальних кативів за мінусом суми зносу;

капітальних вкладень у нематеріальні активи;

збитків минулих років і збитків минулих років, що очікує затвердження;

збитків поточного року.

Порядок формування статутного капіталу банку такий:

. Статутний капітал банку формується відповідно до вимог законодавства України та установчих документів банку.

. Формування та збільшення статутного капіталу банку може здійснюватися виключно шляхом грошових внесків. Грошові внески для формування та збільшення статутного капіталу банку резиденти України здійснюють у гривнях, а нерезиденти - в іноземній вільно конвертованій валюті або у гривнях.

. Статутний капітал не повинен формуватися з непідтверджених джерел.

. Банк має право збільшувати статутний капітал після того, як усі учасники повністю виконали свої зобов'язання щодо сплати паїв або акцій і попередньо оголошений підписний капітал повністю оплачено.

. Банк не має права без згоди Національного банку України зменшувати розмір регулятивного капіталу нижче мінімально встановленого рівня.

Перерахування розміру статутного капіталу у гривні здійснюється за офіційним курсом гривні до іноземних валют, встановленим Національним банком України на день укладення установчого договору. За підсумками року на основі фінансової звітності банки зобов'язані коригувати розмір статутного капіталу на індекс девальвації чи ревальвації гривні за рахунок та в межах валових доходів або валових витрат банку відповідно до методики, встановленої Національним банком України.

. Банкам забороняється використовувати для формування капіталу бюджетні кошти, якщо такі кошти мають інше цільове призначення.

Порядок формування статутного фонду також залежить від форми організації банку. Якщо комерційний банк утворюється у як акціонерне товариство відкритого типу, то статутний фонд формується шляхом відкритої передплати на акції, а якщо у формі AT закритого типу - через перерозподіл усіх акцій серед засновників банку згідно з розміром їхньої частки у статутному фонді.

При утворенні банку як товариства з обмеженою відповідальністю статутний фонд поділяється на частки, розмір яких фіксується в засновницьких документах, а учасники банку несуть відповідальність за його зобов'язаннями у межах своєї частки.

Статутний фонд комерційного банку у формі AT створюється шляхом випуску та продажу двох видів іменних акцій - звичайних та привілейованих.

Власники звичайних акцій беруть участь в управлінні банку і поділяють з ним усі його доходи, збитки та ризики. Так, якщо комерційний банк не заробляє прибутку, власники звичайних акцій не отримують дивідендів, їм нічого не гарантується і у випадку ліквідації банку. Звичайні акції вільно купуються та продаються на вторинному ринку цінних паперів.

Привілейовані акції дають право їх власникам на отримання фіксованого розміру дивідендів, який не залежить від отриманого банком прибутку. Власники привілейованих акцій не беруть участі в управлінні комерційним банком.

Другою складовою основного капіталу банку є розкриті резерви, до яких слід віднести:

.Резервний фонд - це грошові ресурси, що резервуються банком для забезпечення непередбачених витрат по всіх статтях активів та позабалансових зобов'язаннях, а також виплати дивідендів по привілейованих акціях, якщо недостатньо прибутку.

Наявність коштів у резервному фонді забезпечує стійкість комерційного банку, зменшує вірогідність його банкрутства. Резервний фонд створюється у порядку, визначеному зборами акціонерів, а його розмір не може бути меншим 25 % регулятивного капіталу, а розмір щорічних відрахувань - меншим 5 % прибутку. Коли резервний фонд досягає встановленої величини, то відрахування до нього припиняються. У випадку використання коштів з резервного фонду відрахування від чистого прибутку на його формування відновлюються. У разі коли діяльність банку може створювати загрозу інтересам вкладників та інших кредиторів банку, Національний банк України має право вимагати від банку збільшення розміру резервів і щорічних відрахувань до них.

.Спеціальні фонди (фонд основних коштів, фонд переоцінки основних засобів та інші), які призначені для покриття збитків від активних операцій та для виробничого і соціального розвитку банку; їх формування здійснюється за рахунок прибутку.

Елементом резервного капіталу є загальні резерви, призначені для покриття можливих збитків за операціями банку. їх відмінність від резервного фонду полягає в тому, що вони мають більш конкретне призначення (наприклад, створюються для зниження негативних наслідків у зв'язку з неповерненням кредитів, виникненням збитків від операцій з валютою та цінними паперами, що знаходяться у розпорядженні банку). Загальні резерви формуються з чистого прибутку, що залишається у банку після сплати податків.

.Нерозподілений прибуток резерв банку, який залишається після розподілу прибутку на сплату податків, формування резерву та виплату дивідендів власникам і призначається на капіталізацію, тобто на розширення банківського бізнесу.

Оскільки розмір усіх відрахувань (крім дивідендів) завчасно визначено, то залишок нерозподіленого прибутку за минулий рік залежить головним чином від розміру дивідендів, які повинні сплачуватися акціонерам.

Основними елементами додаткового капіталу за умови його затвердження Національним банком України можуть бути (рис. 1.3):

) нерозкриті резерви (крім того факту, що такі резерви не відображаються в опублікованому балансі банку, вони повинні мати такі самі якість і природу, як і розкритий капітальний резерв);

) резерви переоцінки (основні засоби та нереалізована вартість «прихованих» резервів переоцінки в результаті довгострокового перебування у власності цінних паперів, відображених у балансі за історичною вартістю їх придбання);

) гібридні (борг/капітал) капітальні інструменти, які повинні відповідати таким критеріям:

вони є незабезпеченими, субординованими і повністю сплаченими;

капітальні інструменти не можуть бути погашені з ініціативи власника;

вони можуть вільно брати участь у покритті збитків без пред'явлення банку вимоги про припинення торгових операцій;

передбачають відстрочення обслуговування зобов'язань щодо сплати відсотків, якщо рівень прибутковості не дозволяє здійснити такі виплати;

) субординований борг - звичайні незабезпечені боргові капітальні інструменти, які за умовою контракту не можуть бути забрані з банку раніше 5 років, а у випадку банкрутства чи ліквідації повертаються інвестору після погашення претензій всіх інших кредиторів. При цьому сума таких коштів, включених у капітал, не може перевищувати 50 відсотків розміру основного капіталу зі щорічним зменшенням на 20 відсотків від його первинної вартості протягом 5 останніх років угоди.

Рис. 1.3. Структура додаткового капіталу банку

Національний банк України має право визначати своєю постановою інші статті балансу банку для включення до додаткового капіталу, а також; умови і порядок такого включення. Загальний розмір додаткового капіталу не може бути більшим 100 відсотків основного капіталу банку.

Структура капіталу банків України з року в рік змінюється.

Виходячи зі структури регулятивного капіталу банку та джерел його наповнення, можна окреслити основне коло макроекономічних умов, що сьогодні справляють вплив на процес нарощування власних ресурсів.

Так, поновлення власної капітальної бази сучасних банків залежить від загальноекономічних чинників, доходів і довіри населення до банківської системи, кількості стратегічних інвесторів, розвиненості фондового ринку (Інфраструктури) і законодавчої бази, прибутку в народному господарстві, що змінює прибуток самих банків - найпростішого і найдешевшого джерела нарощування капіталу.

Як свідчить практика, чим більший банк, тим агресивніша його кредитна політика. Тобто такий банк може дозволити встановлення вищих процентних ставок за вкладами, і нижчих - за позиками, співвідношення суми кредитів і вкладів може бути більшим, ніж в малих банках. Тому оберненою стороною процесу нарощування капіталу є запровадження антимонопольних заходів у банківській сфері, оскільки занадто велика концентрація капіталу в одному банку або групи банків пригнічує конкуренцію, що пов'язано з надмірною концентрацією влади, впливом на встановлення цін, розподілом надприбутків, володінням привілеями і та ін.

З іншого боку, пріоритетом роботи малих банків є отримання високих прибутків, що пов'язано з великими ризиками.

. Формування депозитних ресурсів

Переважна частина ресурсів банку формується за рахунок залученого капіталу.

Залучений капітал (кошти) - це кредиторська заборгованість банку, яка має бути погашена у визначений термін. Залучені кошти банків поділяються на депозитні й недепозитні (запозичені). Банки залучають вільні грошові кошти головним чином шляхом виконання депозитних операцій, у процесі яких використовуються різні види банківських рахунків.

Депозит (вклад) - це грошові кошти в національній та іноземній валюті, що передані їх власником або іншою особою за його дорученням в готівковій або безготівковій формі на рахунок власника для зберігання на певних умовах.

Під час здійснення депозитної операції виконуються такі операції: відкриття та реєстрація депозитного рахунку, залучення грошових коштів на депозит, вилучення коштів з депозиту, нарахування відсотків за депозитом та їх сплата клієнтам, повернення коштів з депозиту та закриття депозитного рахунку.

Дана операція оформляється договором банківського вкладу (депозиту) у письмовій формі, за яким банк, що прийняв від вкладника або для нього грошову суму, зобов'язується виплачувати вкладникові таку суму та проценти на неї або дохід в іншій формі на умовах та в порядку, встановлених договором.

Депозити класифікуються за такими ознаками:

)         за категоріями вкладників

• депозити суб'єктів господарської діяльності;

• депозити фізичних осіб;

• депозити банків;

)         за строками використання коштів

• депозити до запитання;

• строкові депозити.

За станом на 01.01.2007 р. депозити юридичних осіб становили 41 489 млн. грн., фізичних осіб - 41 657 млн. грн. і за рік зросли на 41,6 % і 28,5 % відповідно.

Депозити до запитання це кошти, що залучені на депозит без ви значеного строку погашення та поповнюються і використовуються власниками залежно від потреби в цих коштах.

Депозити до запитання розміщуються у банку на поточних, кореспондентських та бюджетних рахунках клієнтів і використовуються ними для здійснення поточних розрахунків.

Оскільки у будь-який час кошти з цих рахунків за вимогою клієнтів можуть бути вилучені шляхом видачі готівки, виконання платіжних доручень, сплати чеків або векселів, то можливість їх використання банком для позичкових та інвестиційних операцій обмежена. З іншого боку, клієнти банку не повною мірою використовують кошти на депозитних рахунках, в результаті чого на них постійно є стабільний залишок коштів, який комерційні банки використовують для здійснення активних операцій.

За користування залишками коштів на клієнтських рахунках банки нараховують відсотки за низькими ставками або зовсім їх не сплачують. Банк має право змінити розмір процентів, які виплачуються на вклади на вимогу.

Щоб залучити більше клієнтів і стимулювати приріст поточних внесків, банк надає їм додаткові послуги та підвищує якість обслуговування. Це, зокрема, кредитування з поточного рахунку, пільги вкладникам в одержанні кредиту, використання зручних для клієнта форм розрахунків: застосування кредитних карток, чеків, розрахунково-консультативне обслуговування тощо. До вкладів на вимогу належать також кредитові залишки за контокорентним рахунком або поточним рахунком з овердрафтом.

Строкові депозити - це кошти, які розміщені у банку на термін не менше від одного місяця і можуть бути знятими після закінчення цього строку або після попереднього повідомлення банку.

Такі строкові депозити відкриваються усім клієнтам банку: суб'єктам господарської діяльності, центральним і місцевим органам влади, бюджетним установам, комерційним банкам і приватним особам.

Строкові депозити мають такі особливості:

• чітко встановлений строк зберігання;

• оформляються депозитною угодою;

• не використовуються для здійснення поточних платежів;

• при достроковому вилученні депозиту банк застосовує штрафні санкції;

• особливість нарахування та сплати процентів.

Відсотки підлягають нарахуванню щомісяця, не пізніше, ніж в останній робочий день місяця. Відсотковий дохід виплачується вкладникові на його вимогу зі спливом кожного кварталу окремо від суми вкладу, а невитребувані у цей строк процентні суми збільшують суму депозиту, на яку нараховуються проценти.

Встановлений договором розмір процентів на строковий вклад або на вклад, внесений на умовах його повернення у разі настання визначених договором обставин, не може бути односторонньо зменшений банком.

Якщо відповідно до договору сума депозиту повертається вкладникові на його вимогу до спливу строку або до настання інших обставин, визначених договором, проценти за вкладом виплачуються у розмірі процентів за вкладами на вимогу, якщо договором не встановлений більш високий процент.

У банківській практиці використовується три методи визначення кількості днів для розрахунку відсотків:

. Метод «факт/факт» - при розрахунку суми відсотків береться фактична кількість днів у місяці та році;

. Метод «факт/360» - при розрахунку суми відсотків береться фактична кількість днів у місяці, але умовно в році - 360 днів.

. Метод «30/360» - враховується умовна кількість днів у місяці - 30 та у році - 360.

Незалежно від методу проценти на банківський вклад нараховуються від дня, наступного за днем надходження грошей у банк, до дня, який передує їх поверненню вкладникові.

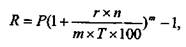
Комерційні банки можуть здійснювати нарахування процентів вкладникам як за простими, так і складними відсотками. Прості відсотки є традиційним методом нарахування процентного доходу і обчислюються за формулою:

де R - сума процентних платежів за період у n днів; Р - сума номіналу депозиту; r - річна відсоткова ставка; n - кількість днів розрахункового періоду; Т - максимальна кількість днів у році за умовами договору.

Нарощена сума депозиту розраховується таким чином:


де S - нарощена сума депозиту наприкінці розрахункового періоду n, тобто номінал депозиту плюс відсотки.

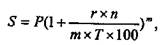
Відсотковий дохід за складними відсотками (капіталізація відсотків) визначається таким чином: після закінчення розрахункового періоду на суму вкладу нараховується відсоток і отримана величина приєднується до суми вкладу; у наступному розрахунковому періоді відсоткова ставка застосовується до нової вже збільшеної суми. Складні відсотки доцільно застосовувати у тому випадку, коли виплата відсоткового доходу здійснюється по закінченні терміну дії депозитної угоди.

Визначити нарощену суму депозиту при застосуванні складних відсотків за період не більше одного року можна за формулою:


де: S - нарощена сума депозиту наприкінці періоду n, тобто номінал депозиту плюс капіталізовані відсотки; Р - сума номіналу депозиту; r - річна відсоткова ставка, %; n - кількість днів за розрахунковий період; m - кількість періодів (разів) нарахування складного відсотку; Т - максимальна кількість днів у році за умовами договору.

Сума складних відсотків за левний розрахунковий період обчислюється за такою формулою:


де: R - сума відсотків за розрахунковий період; Р - сума номіналу депозиту; r - річна відсоткова ставка, %; n - кількість днів за розрахунковий період; m - кількість періодів (разів) нарахування складного відсотку; Т - максимальна кількість днів у році за умовами договору.

Вилучення строкових вкладів юридичних осіб відбувається тільки через перерахування коштів на поточний рахунок, а фізичних - шляхом виплати готівки або перерахування коштів на поточний рахунок. Дисірокове закриття депозитного рахунку можливе на підставі заяви або клопотання вкладника.

Строкові вклади є для банків кращим видом депозитів, оскільки вони стабільні і зручні в банківському плануванні. За ними сплачується високий процент, рівень якого диференціюється залежно від терміну, виду внеску, періоду повідомлення про вилучення, загальної динаміки ставок грошового ринку. В Україні на кінець 2004 р. середня процентна ставка за депозитами у національній та іноземній валюті становила близько 7-8 %.

Процентна ставка за депозитами також може змінюватися залежно і від інших умов:

• зовнішні ризики відкриття депозитних рахунків, зважених на рівень капіталізації банку;

• наявність конкуренції за клієнтів-вкладникІв як джерела порівняно дешевих кредитних ресурсів;

• економічна і грошово-фінансова стабільність як фактори обрання пріоритетів між видами депозитних рахунків - до запитання чи строкових - з низькою або відсутньою процентною ставкою, чи високою відповідно;

• зростання цін, пов'язане зі збільшенням грошової маси, інфляцією, зростанням податкового навантаження, що перекладається на ціну товарів і послуг;

• валютна і процентна політика центрального банку.

Процентна політика є формою грошово-кредитної політики, яку здійснює центральний банк, підвищуючи чи знижуючи процентні ставки позичкового капіталу. Вплив центрального банку на рівень і структуру процентних ставок відбувається через безпосереднє встановлення ставок по кредитах центрального банку, які є певним орієнтиром для інших ринкових ставок, у тому числі за депозитами.

• регулювання центральним банком ринку іноземних капіталів передбачає встановлення максимальних і мінімальних розмірів процентних ставок за іноземними депозитами у вітчизняних банках;

• підвищена норма резервів робить дорожчими залучені ресурси, що зумовлює банк шукати їх в іншому місці, наприклад на ринку міжбанківських кредитів.

Однією із форм строкових депозитів є сертифікати.

Сертифікат це цінний папір, що може використовуватися його власником як платіжний засіб і обертатися на вторинному ринку цінних паперів.

Сертифікати бувають депозитними та ощадними.

Депозитний сертифікат цеписьмове свідоцтво банку про внесення юридичною особою грошових коштів на депозит.

Ощадний сертифікат документ, що використовується фізичною особою для оформлення своїх заощаджень в банку.

Оформлення депозиту супроводжується видачею ощадної книжки, у якій відбиваються усі операції по рахунку.

Видача банківського вкладу, виплата процентів за ним і виконання розпоряджень вкладника про перерахування грошових коштів з рахунка за вкладом іншим особам здійснюються банком у разі пред'явлення ощадної книжки.

По ощадних вкладах банки нараховують відсотки. Такі вклади можуть не мати чітко встановленого строку зберігання і передбачають тривале перебування на рахунках стабільних залишків коштів, що використовується банками для розширення активних операцій.

Важливою умовою нарощування депозитної бази банку є врахування зовнішніх макроекономічних факторів. Стабільність депозитних вкладень визначається рівнем процентної ставки, доходів і ступенем довіри населення до банківської системи, що, у свою чергу, залежить від показника фінансової стійкості банку та інших зовнішніх для нього факторів.


Не нашли материал для своей работы?
Поможем написать уникальную работу
Без плагиата!
Без нейросетей!