Социально-экономическая статистика

  • Вид работы:
    Контрольная работа
  • Предмет:
    Социология
  • Язык:
    Русский
    ,
    Формат файла:
    MS Word
    174,88 Кб
  • Опубликовано:
    2012-10-07
Вы можете узнать стоимость помощи в написании студенческой работы.
Помощь в написании работы, которую точно примут!

Социально-экономическая статистика

Задача 1

Имеются данные по населению области за год, тыс. чел.:

а) численность

на 01.01 - 1253,2,

на 01.08 - 1256,6,

на 01.10 - 1261,4,

на 01.01 следующего года - 1262,3,

б) в течение года родилось 12,3; умерло - 8,7.

Определить: среднегодовую численность населения; коэффициенты рождаемости, смертности и естественного прироста; коэффициент механического прироста; коэффициент жизненного населения.

Решение:

) Среднегодовая численность населения(СЧН)

(Население на начало года + население на конец года)/2=(1253,2+ 1262,3)/2=1257,75 тыс. чел.

) Коэффициент рождаемости

Крожд=Р/СЧН*1000=12,3/1257,75*1000= 6,917%

) Коэффициент смертности

Ксм=У/СЧН*1000=8,7/1257,75*1000=6,917%

) Коэффициент естественного прироста

Ке.п.= Крожд - Ксм=9,779-6,917=2,862

) Коэффициент механического прироста

Км.п.=((население на конец года - население на начало года) - (Р-У))/S=((1262,3-1253,2) - (12,3-8,7))/1257,75=4,36

) Коэффициент жизненности населения

Кжизн=Р/У*100=12,3/8,7*100=141,38

Задача 2

Численность постоянного населения района на начало года составила 222 тыс. чел., на конец года - 228 тыс. чел. За год в районе родилось 5,2 тыс. чел., умерло 2 тыс. чел.

Вычислить:

) коэффициенты естественного движения населения, оборота и экономического воспроизводства;

) коэффициент жизненности населения;

) коэффициент миграции.

Покажите роль естественного прироста и миграции в формировании населения района.

Решение:

Определим:

Среднегодовая численность населения(СЧН)

(222+228)/2=225 тыс. чел.

Коэффициент рождаемости

,2/225*1000=23,111%

Коэффициент смертности

/225*1000=8,889%

) Коэффициент естественного движения населения

Ке.д.=Кр-Ксм=23,111-8,889=14,222%

2) Коэффициент оборота населения

Кобор=(Р+У)/S*1000=(5,2+2)/225*1000=32%

) Коэффициент экономического воспроизводства населения

Кэк.восп=(Р-У)/(Р+У)*1000=(5,2-2)/(5,2+2)*1000=44,44%

) Коэффициент жизненности населения

Кжизн=Р/У*100=5,2/2*100=260%

) Коэффициент миграции

Км.п.=((население на конец года - население на начало года) - (Р-У))/S=((228-222) - (5,2-2))/225=12,613%

Задача №3

рождаемость население воспроизводство смертность

По предприятию за февраль имеются следующие данные (чел.-дни):

Отработано - 2520,

Целодневные простои - 10;

Всего неявок 1070, в том числе:

в связи с праздничными и выходными днями - 960, очередными отпусками - 60. В феврале - 22 рабочих дня (в году 365 дней).

Определите:

) календарный, табельный и максимально возможный фонды рабочего времени;

) среднесписочную численность и среднее явочное число работающих;

) среднее число дней неявок в составе максимально возможного фонда рабочего времени в расчете на одного среднесписочного работника предприятия.

Решение:

)        а) календарный фонд времени

сумма явок и неявок

+10+1070=3600

б) табельный фонд времени

КФВ-выходные дни

-960=2640

в) максимально возможный фонд времени

КФВ-выходные дни-отпуска

-960-60=2580

)        а) Среднесписочная численность работников

ССЧ=КФВ/число дней в месяце


б) Среднее явочное число работающих

СЯЧ=явки/кол-во раб. дней

(2520+10)/22=115

)        среднее число дней неявок в составе максимально возможного фонда рабочего времени в расчете на одного среднесписочного работника предприятия

(1070-960-60)/129=0,3876

Задача 4

Имеются следующие данные по региону (тыс. чел.)

Среднегодовая численность населения - 286,0

Численность населения, занятого в экономике - 134,5

Численность безработных - 5,2

Определить:

. Численность и уровень экономически активного населения.

. Уровень безработицы.

Решение

)        а) Численность экономически активного населения

Эк.акт. нас.=занятые + безработные=134,5+5,2=139,7

б) Уровень экономически активного населения

Кэк.ак. н.=экон. акт. насел./СЧН=139,7/286,0*100=48,85%

)        Уровень безработицы

Кбез.=безработные/эк. акт. насел.=5,2/139,7*100= 3,72%

Задача 5

Ниже приводится макет таблицы смертности.

Возраст, лет

Число доживших до возраста х, лет

Вероятность дожить до следующего возраста

Вероятность смерти в течение года

Число живущих в возрасте х

Предстоящее число чел.-лет жизни

Средняя продолжитель-ность предстоящей жизни

Коэффициент дожития

x

lx

рx

qх

Lx

Тx

ex0

Рх


Имеются следующие данные о возрастных коэффициентах смертности:

Ксм0 = 28 ‰, Ксм1= 5 ‰, Ксм² = 3 ‰.

Условное поколение 10 000 человек. Предстоящее число человеко-лет жизни для данного

поколения составит 660 000.

Заполните таблицу. Под таблицей приведите все расчеты и формулы (по каждой колонке).

. На основе возрастных коэффициентов смертности можно определить

 

q0 = 0,028; q1 = 0,005, q2 = 0,003. Затем определим p0 = 1 - q0 = 0,972;

р1 = 1 - q1 = 0,995; p2 = 1 - q2 = 0,997.

. Определив вероятность дожития до возраста xх), рассчитаем число доживающих до возраста х (lх): l0 = 10000 (по условию):


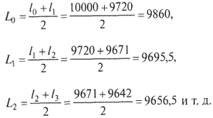
3. Число живущих в возрасте х лет (Lx) представляет собой среднюю величину из числа доживающих до возраста х и до возраста х + 1, следовательно:


4. Определим число предстоящих человеко-лет жизни для разных возрастов.

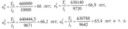
Т0 = 660000 по условию, следовательно:


5. Средняя продолжительность предстоящей жизни населения определяется как  Следовательно:


Полученные данные можно представить в виде следующей таблицы смертности

x

lx

рх

qx

Lx

Tx

ex0

Рx

0 1 2 3 - - 100

10000 9720 9671 9642 - - -

0,972 0,995 0,997 - - - -

0,028 0,005 0,003 - - - -

9860 9695,5 9656,5 - - - 660 000

66 66,9 66,2 - - - -

0,9833 0,9960 - - - - -


Задача 6

Имеются следующие данные за ноябрь:

Числа месяца

Состояло по списку

Явилось на работу

Число целодневных простоев

1

90

90


4-6

92

92


10-13

95

94

12

14-15

94

92


18-22

98

95


25-29

100

99

4


Выходные и праздничные дни: 2,3, 7, 8, 9, 16, 17,23, 24, 30.

Определите: среднюю списочную численность, среднюю явочную численность и среднее число фактически работавших лиц в ноябре.

Решение:

Численность работников в праздничные и выходные дни берем такую, какая была в предпраздничный или в предвыходной день.

) среднесписочная численность работников

*3+92*6+95*4+94*4+98*7+100*6=2864 - календарный фонд времени

/30=95 чел.

) среднее явочное число работников

*1+92*3+94*4+92*2+95*5+99*5=1896 - максимально возможный фонд времени

) 1896/20=95 чел. среднее число фактически работавших лиц в ноябре (90*1+92*3+94*4+92*2+95*5+99*5) - (12+4)=1880 - отработано ч\д 1880/20=94 чел.

Задача 7

Численность населения региона в трудоспособном возрасте на 1 декабря 2010 года составляла 680 тыс. чел. Из него 6,5 тыс. чел. являются неработающими инвалидами I группы, 15,5 тыс. чел. инвалидами II группы. В возрасте до 16 лет работали 5,6 тыс. подростков; 18,9 тыс. пенсионеров имели оплачиваемую работу. Численность занятых по найму в общей численности работающих составляла 440,7 тыс. чел. Не по найму работали 35,9 тыс. чел.; 4,3 тыс. женщин находились в оплачиваемом отпуске по уходу за ребенком до 1,5 лет. Численность официально зарегистрированных безработных на 1 декабря 2010 года составляла 19,2 тыс. чел., что составляет 46% от численности безработных по методологии МОТ.

Определите:

. Численность трудовых ресурсов;

. Численность экономически активного населения;

. Уровень экономической активности;

. Уровень безработицы по методологии МОТ;

. Уровень официально зарегистрированной безработицы.

Решение:

)        Численность трудовых ресурсов

(680-6,5-15,5+5,6+18,9=682,5 тыс. чел.

)        Численность экономически активного населения

,7+35,9+4,3+19,2+18,9+5,6=524,6 тыс. чел.

)        Уровень экономической активности населения

,6/680*100=77,15%

)        Уровень безработицы по методологии МОТ

,2/46*100=41,74 тыс. чел. По методологии МОТ

,74/524,6*100=7,95%

Задача 8

По предприятию известны данные.

Показатель

Базисный год

Отчетный год

Объем продукции, тыс. руб

20 000

21 000

Отработано рабочими, тыс. чел.-дн.

250

240


В отчетном году индекс средней фактической продолжительности рабочего дня составил 0,95, а индекс средней фактической продолжительности рабочего года (в днях) - 0,98.

Определите индексы средней часовой, средней дневной и средней годовой производительности труда.

Решение:

ПТотч.=21000000/240000=87,5

ПТбаз.=20000000/250000=80

) Индекс средней дневной производительности труда

,5/80=1,09

) Индекс средней часовой производительности труда

,09/0,95=1,15

) Индекс средней годовой производительности труда

,09*0,98=1,07

Задача 9

Планом предусмотрены следующие показатели (в руб.).

Средняя месячная выработка на одного рабочего……….2068

Средняя дневная выработка ………………………………..94

Средняя часовая выработка …………………………………12

Фактически за отчетный месяц выпуск продукции в ценах, предусмотренных планом, составил 255 600 руб., среднее списочное число рабочих - 120 чел., число отработанных рабочими чел.-дн. - 2 520, число отработанных рабочими чел.-ч - 19 404.

Определите индексы средней часовой, дневной и месячной производительности труда.

Решение

Рассчитаем среднюю месячную выработку на одного рабочего (факт.)

/120=2130

Средняя дневная выручка (факт.)

/2520=101,4

Средняя часовая выручка (факт.)

/19404=13,17

)        Индекс средней часовой производительности труда

,17/12=1,1

)        Индекс средней дневной производительности труда

,1*(101,4/94)=1,19

)        Индекс средней годовой производительности труда

,19*(2130/2068)=1,22

Похожие работы на - Социально-экономическая статистика

 

Не нашли материал для своей работы?
Поможем написать уникальную работу
Без плагиата!
Без нейросетей!