Дослідження стохастичних зв’язків

  • Вид работы:
    Курсовая работа (т)
  • Предмет:
    Социология
  • Язык:
    Украинский
    ,
    Формат файла:
    MS Word
    930,12 Кб
  • Опубликовано:
    2012-09-01
Вы можете узнать стоимость помощи в написании студенческой работы.
Помощь в написании работы, которую точно примут!

Дослідження стохастичних зв’язків












Дослідження стохастичних зв’язків

Зміст

 

Вступ

Розділ 1. Методико-теоретичнв аспекти вимірювання взаємозвязків соціологічних явищ

1.1 Зв’язки суспільних явищ. Види зв’язків

1.2 Загальні методи вивчення зв’язків

Розділ 2. Дослідження стохастичних зв’язків

2.1 Метод аналітичних груповань

2.2 Метод порівняння паралельних рядів

2.3 Кореляційний аналіз

2.4 Аналіз зв’язку між атрибутивними ознаками

Висновки

Список використаної літератури

Вступ

 

Усі соціально-економічні явища взаємозв'язані та взаємозумовлені і зв'язок (залежність) між ними носить причинно-наслідковий характер. Суть причинного зв'язку полягає в тому, що при необхідних умовах одне явище зумовлює інше і в результаті такої взаємодії виникає наслідок.

Особливу актуальність має вивчення взаємозв'язку в сучасних умовах, коли постійно відбуваються різноманітні соціальні процеси, що являють собою важливу функцію діяльності політиків, економістів, соціологів. Вивчення механізму соціальних зв'язків, взаємодії попиту і пропозиції, вплив сучасного суспільства на соціальний стан людей, формування соціальної свідомості та інших якісних показників має першорядне значення для прогнозування соціальної кон'юнктури та рішення багатьох питань.

Вивчаючи закономірності зв'язку, причини і умови, що їх характеризують, об'єднують в поняття фактор. Ознаки, що є причинами та умовами зв'язку, називаються факторними х, а ті, що змінюються під впливом факторних ознак - результативними у.

Між ознаками х та у існують різні за природою та характером види зв'язку: функціональні та стохастичні.

Зважаючи на актуальність даної проблеми, ми обрали наступну тему курсового дослідження: "Коефіцієнти зв’язку між двома показниками".

Об’єкт дослідження - соціальна статистика.

Предмет дослідження - основні коефіцієнти зв’язку між соціальними показниками.

Мета дослідження - розглянути зв’язки соціальних явищ, а також основні коефіцієнти зв’язку між явищами.

Згідно з метою і предметом дослідження було визначено такі завдання:

1)      проаналізувати методико-теоретичні аспекти вимірювання взаємозв’язків соціологічних явищ;

2)      розглянути основні види зв’язків;

)        дослідити стохастичні зв’язки;

)        проаналізувати зв'язок між атрибутивними ознаками.

Методи дослідження. Для розв’язування поставлених завдань використано такі методи наукового дослідження: теоретичний аналіз наукових літературних джерел, синтез, узагальнення, порівняння, конкретизація.

Структура дослідження. Курсова робота складається із вступу, двох розділів, висновків, списку використаної літератури. Список використаних джерел включає 20 найменувань. Робота викладена на ___ сторінках друкованого тексту.

Розділ 1. Методико-теоретичнв аспекти вимірювання взаємозвязків соціологічних явищ

1.1 Зв’язки суспільних явищ. Види зв’язків


Одним з найбільш загальних законів об'єктивного світу є закон загального зв'язку і залежності між явищами суспільного життя. Ці явища найбільш складні, оскільки вони формуються під дією багаточисельних і взаємозв'язаних факторів.

Усі явища суспільного життя існують неізольовано, вони органічно зв'язані між собою, залежать одні від одних, обумовлюють одні одних і знаходяться в постійному русі та розвитку. Розкриваючи взаємозв'язки і взаємозалежності між явищами, можна пізнати їх суть і закони розвитку. Тому вивчення взаємозв'язків є основним завданням статистичного аналізу.

Причинна залежність є головною формою закономірних зв'язків, які діють в певних умовах місця і часу. Отже, для появи наслідку потрібні і причини, і умови, тобто відповідні фактори.

Суспільні явища, що впливають на інші явища, називають факторними (х).

Явища, які змінюються під впливом факторних явищ, називаються результативними (у).

За характером дії зв’язки соціологічних явищ поділяють на:

Функціональний зв'язок між явищами характеризується повною відповідністю між причиною і наслідком, факторною і результативною ознакою, тобто за цього зв'язку кожному можливому значенню факторної ознаки х відповідає чітко визначене значення результативної ознаки у. Такі зв'язки найчастіше зустрічаються у фізичних, хімічних явищах. При функціональному зв'язку нам, як правило, відомо про повний перелік факторів, від яких залежить результативна ознака, що розглядається в певному зв'язку; відомо також про механізм взаємозв'язку у вигляді того чи іншого рівняння, функції.

Функціональний зв'язок при цьому зберігає свою силу та виявляється в кожному окремому випадку спостереження, для кожної окремої одиниці даної сукупності. Функціональні зв'язки вивчаються у статистиці за допомогою індексного методу.

Стохастичний зв'язок виявляється зміною умовних розподілів, тобто за цього зв'язку кожному значенню ознаки х відповідає певна множина значень ознаки у, які варіюють і утворюють ряд розподілу.

Кореляційний зв'язок. Кореляційна залежність є підвидом стохастичної залежності: зі зміною факторної ознаки х змінюються групові середні результативної ознаки у, тобто замість умовних розподілів порівнюються середні значення цих розподілів.

Визначення кореляційного зв'язку між ознаками займає значне місце в дослідженнях соціальних явищ в економіці і управлінні. Зміст такого зв'язку складає теорія кореляції. Основоположниками цієї теорії є англійські вчені-біологи Ф. Гамільтон (1822 - 1911 pp.) в К. Пірсон (1857 - 1936 pp.). Термін "кореляція" взято із природознавства і означає співвідношення, відповідність між змінними у рівнянні регресії.

Умовами правильного використання методів теорії кореляції є такі:

а) наявність однорідності тих одиниць, які підлягають дослідженню (наприклад, відбір підприємств, які випускають однотипну продукцію, мають однаковий характер технології і тип обладнання тощо);

б) достатньо велика кількість спостережень, при яких ми погашаємо вплив випадковостей на результативну ознаку і має силу закон великих чисел;

в) нормальний характер розподілу результативної ознаки, на якому побудовані всі положення теорії кореляції.

В основі теорії кореляції лежить кореляційно-регресійний аналіз (КРА), суть якого полягає у виборі виду рівняння регресії, обчисленні його параметрів та встановленні адекватності (відповідності) теоретичної залежності фактичним даним. Наявність такої теоретичної залежності значно облегшує аналіз соціальних явищ, дає змогу встановлення прогнозу на майбутнє.

Таким чином, за кореляційного зв'язку між значеннями ознак немає суворої і точної відповідності в кожному окремому випадку, у кожній одиниці сукупності, а спостерігається лише відоме співвідношення, кореляція.

Різноманітність причин, обставин і факторів, які діють одночасно й у взаємному зв'язку, причому ступінь впливу кожного з них на результативну ознаку безпосередньо не відомий і змінюється залежно від конкретного їх поєднання, - це відмінні особливості кореляційних зв'язків.

За кореляційного зв'язку, на відміну від функціонального, звичайно немає відомостей про повний перелік усіх ознак-факторів, які впливають на результативну ознаку, а також про точний механізм їх взаємодії з ним у вигляді тієї чи іншої математичної формули, функції.

Кореляційний зв'язок є "неповний" і "несуворий".

За направленістю поділяють на:

Прямі зв'язки - це зв'язки, за яких зі зростанням значень ознаки-фактора результативна ознака також збільшується, і навпаки: при зменшенні ознаки-фактора результативна ознака також зменшується, тобто направленість зміни результативної ознаки збігається з направленістю зміни ознаки-фактора. Наприклад, стаж роботи і продуктивність праці.

Обернені зв'язки - це зв'язки, за яких зі зростанням ознаки-фактора результативна ознака зменшується, і навпаки, тобто направленість зміни результативної ознаки не збігається з направленістю зміни ознаки-фактора. Наприклад, зі зростанням продуктивності праці собівартість одиниці продукції знижується.

Якщо залежність результативної ознаки від певної ознаки-фактора може бути виражена рівнянням прямої лінії, то зв'язок називається прямолінійним (лінійним), якщо ж залежність виражається рівнянням якої-небудь кривої (гіперболи, параболи та ін.), то зв'язок називається криволінійним.

Функціональні зв'язки виражаються тим чи іншим аналітичним рівнянням, кореляційні зв'язки можуть бути виражені за допомогою аналітичного рівняння лише приблизно.

Якщо досліджується залежність результативної ознаки тільки від однієї ознаки-фактора, то зв'язок називається однофакторним. Якщо при цьому зв'язок є функціональним, то це свідчить про те, що результативна ознака залежить тільки від певної ознаки. Якщо ж зв'язок є кореляційним, то включення в аналітичне рівняння тільки одного фактора свідчить про те, що від впливу інших факторів ми абстрагуємося, усуваємо їхню дію. Така кореляція називається парною, оскільки при цьому розглядаються тільки дві

ознаки.

Якщо ж досліджується кореляційна залежність результативної ознаки одночасно від кількох ознак-факторів, то зв'язок називається багатофакторним, а кореляція - множинною (сукупною).

1.2 Загальні методи вивчення зв’язків


Зв'язки і залежності суспільних явищ вивчаються різними методами, які дають уявлення про їх наявність і характер. До цих методів відносять: балансовий метод, метод порівняння паралельних рядів, графічний метод, метод аналітичних групувань, індексний метод, кореляційно-регресійний метод та інші методи математичної статистики.

Еліпс розсіювання - це розміщення незгрупованого матеріалу в системі координат з відкладенням значень причини на осі абсцис, а значень наслідку - на осі ординат.

Лінія регресії - це головна характеристика кореляційного зв'язку. Лінія регресії у на х - це функція, яка зв'язує середні значення ознаки у зі значенням ознаки х. Залежно від форми лінії регресії розрізняють лінійний і нелінійний зв'язки.

Зображення лінії регресії можуть бути різні: табличне, аналітичне, графічне.

Метод аналітичного групування полягає в тому, що всі елементи вихідної інформації групуються за факторною ознакою х, далі в кожній групі обчислюються середні значення результативної ознаки у. У процесі аналізу отриманих даних можна з'ясувати, чи впливає зміна факторної ознаки х на результативну ознаку у.

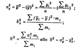
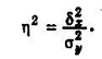
Відношення факторної дисперсії  до загальної  характеризує тісноту кореляційного зв'язку і називається кореляційним відношенням:


За статистичною структурою - це частка варіації результативної ознаки у, яка пов'язана з варіацією ознаки х.

Рівнем істотності називають таку ймовірність, за якої імовірність отримання значення , більшого від критичного (за умови відсутності зв'язку між ознаками), була б достатньо малою.

Багатофакторними дисперсійними комплексами називають методи вимірювання зв'язку результативної ознаки з двома і більше факторними ознаками і перевірки його істотності. Для цього використовують аналітичні групування, які дають змогу аналізувати залежність результативної ознаки від кожного з факторів за фіксованих значень інших.

Критичне значення кореляційного відношення  - це максимально можливе значення , яке може виникнути випадково за відсутності кореляційного зв'язку.

Рівняння регресії показує типове в певних умовах співвідношення між розмірами ознаки-фактора і результативної ознаки, тоді як рівняння функціонального зв'язку справедливе лише для кожного окремого випадку.

Рівняння регресії відрізняються від функціональних рівнянь також у тому відношенні, що типові співвідношення, і виявлені ними, змінюються залежно від обсягу сукупності. У міру зростання сукупності, що вивчається, підвищується типовість показників регресії і кореляції. І в цьому виявляється дія закону великих чисел.

Розв'язати модель - означає знайти числові значення параметрів рівняння регресії.

Емпірична регресія або емпірична лінія регресії - це ламана лінія, яка зображує зміну групових середніх результативної ознаки залежно від зміни ознаки-фактора групування.

Коефіцієнти еластичності показують, на скільки відсотків змінюється в середньому результативний показник у разі зміни факторної ознаки на 1 % і при фіксуванні інших чинників на тому чи іншому рівні.

-коефіцієнти показують, на скільки середніх квадратичних відхилень зміниться в середньому результативний показник, якщо відповідна факторна ознака зміниться на своє одне середнє квадратичне відхилення.

Для вивчення функціональних зв'язків використовують такі методи:

Індексний метод

Балансовий метод - порівняння можливостей та потреб (ресурсів та витрат). Цей метод виражається в побудові натуральних, трудових та вартісних балансів.

Графічний метод - напрям зв'язку визначають за положенням значень у системі координат: якщо точки розміщені зліва, знизу, направо, вгору - зв'язок прямий, якщо ж навпаки (зліва, зверху, направо, вниз) - зв'язок обернений.

Розділ 2. Дослідження стохастичних зв’язків


2.1 Метод аналітичних груповань


Основні етапи аналізу:. Теоретичне обґрунтування моделі аналітичного групування:

вибір факторних ознак;

визначення числа груп k ознаки-фактора xt;

визначення меж інтервалів групування щодо xt.

Групи мають бути достатньо численні й чисельність груп має бути приблизно однакова.

II. Оцінка лінії регресії:

визначення частот (частостей) mі у групах;

розрахунок у кожній групі за факторною ознакою середніх значень результативної ознаки уі.

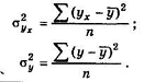
III. Вимірювання тісноти зв'язку, що ґрунтується на правилі складання дисперсії: загальна дисперсія  розпадається на між групову  і середню з групових дисперсій  і обчислюється за індивідуальними значеннями ознаки у:


 вимірює варіацію у, яка склалася під дією усіх причин;

 вимірює варіацію у, яка пояснюється xі,

кореляція соціальне явище зв'язок

 вимірює варіацію у, яка пов'язана з впливом факторів, крім того, що досліджується;

п - кількість груп;

ті - частота, притаманна кожній з груп за факторною ознакою;

уі - результативна ознака за кожною групою;

у - середня результативна ознака.

Якщо результативна ознака у зовсім не зв'язана з х, то групові середні y не будуть змінюватися зі зміною, тобто дорівнюватимуть одна одній і дорівнюватимуть загальній середній у, а міжгрупова дисперсія  буде дорівнювати нулю.

Якщо результативна ознака у функціонально зв'язана з ознакою-фактором, то в кожній групі міжгрупова дисперсія буде дорівнювати нулю, оскільки ознака у середині групи не варіює. Середня з групових дисперсій буде дорівнювати нулю також згідно з правилом складання дисперсій

Тіснота кореляційного зв'язку вимірюється за допомогою кореляційного відношення (емпіричного коефіцієнта детермінації):  - характеризує частку варіації у, яка пояснюється варіацією xt у групі, де  - факторна (міжгрупова) дисперсія; , - загальна дисперсія.

Якщо

= 0, то = 0. Це можливо за умови, що всі групові середні однакові й кореляційного зв'язку між ознаками х і у не існує.

= 1, то, а. У цьому випадку кожному значенню факторної ознаки відповідає єдине значення результативної ознаки, тобто зв'язок між ознаками функціональний.

IV. Перевірка істотності зв'язку, тобто перевірка істотності відхилень групових середніх, яка здійснюється за допомогою критеріїв математичної статистики. Вона ґрунтується на порівнянні фактичного значення з так званим критичним (де  - рівень значимості).

є тим максимально можливим значенням кореляційного відношення, яке може виникнути випадково за відсутності кореляційного зв'язку.

Для перевірки істотності зв'язку використовують також функціонально нав'язану з характеристику F-критерій (критерій Фішера) (F).


де k1= m - 1; k2 = n-m

де п - кількість одиниць сукупності;

m - кількість груп за х.

Є таблиці критичних значень F-критерію (, де  - рівень значимості).

Якщо, то зв’язок між результативною і факторною ознаками вважається істотним;

якщо, то наявність зв'язку між ознаками не доведено і зв'язок вважається неістотним.

2.2 Метод порівняння паралельних рядів


Отримані в результаті зведення та обробки матеріали розміщені паралельними рядами або за ознакою простору, або часу. Сумісне вивчення такого роду рядів дає можливість простежити співвідношення і направленість змін ознак, які порівнюються.

Для орієнтовного виявлення наявності зв'язку та його направленості у випадках, коли порівнювальні ряди містять велику кількість одиниць, доцільно знайти для кожного ряду середню і визначити, в яку сторону відхиляються від неї значення ознаки кожної одиниці.

Якщо відхилення в одному ряді достатньо часто збігається за направленістю (знаку) з відхиленнями у другому ряді, то доцільно вести мову про прямий зв'язок, а якщо частіше зустрічаються протилежні за направленістю (знаком) відхилення, то зв'язок обернений. Якщо збіг і незбіг знаків відхилень зустрічається приблизно однаково часто, то зв'язку або немає, або він мало виражений.

Для приблизного визначення направленості зв'язку та грубої оцінки щільності зв'язку використовують такі коефіцієнти.

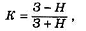
Коефіцієнт Фішера


де З - кількість випадків збігу знаків відхилень;

Н - кількість випадків незбігу знаків відхилень.

Цей коефіцієнт набуває значення від +1 (знаки усіх відхилень збігаються, зв'язок прямий) до - 1 (знаки усіх відхилень не збігаються, зв'язок обернений). При К = 0 зв'язку немає, чи він дуже слабкий.

Коефіцієнт кореляції рангів

Цей коефіцієнт враховує злагодженість рангів, тобто місць, що їх займають одиниці, розміщені у порядку зростання або зменшення величини ознаки.

Якщо ранги (місця), що займають окремі одиниці в ранжованому ряді за однією ознакою, точно відповідають їхнім місцям у ранжованому ряді за іншою ознакою, то доцільно вести мову про тісний зв'язок між цими ознаками. І навпаки, якщо зростання однієї ознаки супроводжується безперервним зменшенням іншої ознаки, тобто ранги одиниць змінюються в оберненому порядку, то між ознаками існує тісний обернений зв'язок.

За відсутності злагодженості в зміні рангів зв'язку між ознаками або не існує, або він слабкий.

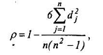
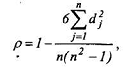
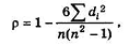
Показник рангової кореляції - це коефіцієнт кореляції рангів Спірмена:


де di - це різниця між рангами за однією та другою ознакою (d = R - R);

п - кількість одиниць у ряді.

Якщо d = 0, р = 1 - тісний прямий зв'язок.

Якщо першому рангу за розміром однієї ознаки відповідає останній ранг за розміром другої ознаки, другому рангу - "друге з кінця" тощо, то р = - 1: тісний обернений зв'язок.

Якщо значення р близьке до нуля, то зв'язок слабкий або його взагалі немає.

2.3 Кореляційний аналіз


Кореляційний аналіз - це метод, за допомогою якого можна отримати кількісне вираження взаємозв'язку соціально-економічних явищ.

Побудова та аналіз економіко-математичної моделі у вигляді рівняння регресії (рівняння кореляційного зв'язку), тобто у вигляді тієї чи іншої функції, що приблизно виражає залежність середнього значення результативної ознаки від одного чи декількох ознак-факторів:


Після вибору виду рівняння регресії та знаходження його параметрів розпочинають другий етап КРА - кореляційний аналіз, в рамках якого дають оцінку тісности (щільності) та значимості (істотності) зв'язку.

У поняття "тіснота зв'язку" вкладується оцінка впливу факторної ознаки на результативну та встановлення адекватності теоретичної залежності між ознаками фактичним даним. Тісноту зв'язку між ознаками оцінюють за допомогою таких характеристик: коефіцієнт детермінації; коефіцієнт кореляції (кореляційне відношення) та ін.

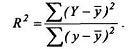
Коефіцієнт детермінації показує, якою мірою варіація результативної ознаки Y визначається варіацією факторної ознаки х. Він використовується як при лінійному, так і при нелінійному зв'язку між ознаками і у випадку парної регресії розраховується за формулою:


Коефіцієнт детермінації приймає значення від 0 до 1.

Чим ближче R2 до одиниці, тим тісніше зв'язок між ознаками; при R2=0 відсутній лінійний зв'язок між ознаками, при R2=1 не існує кореляційного зв'язку між ознаками.

Коефіцієнт кореляції (кореляційне відношення) показує, наскільки значним є вплив ознаки х на y. Коефіцієнт кореляції розраховується за формулою:


Іноді коефіцієнт кореляції (кореляційне відношення) розраховують за формулою, яку можна подати у вигляді:


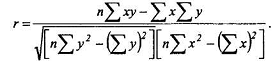
У випадку лінійного зв'язку між y та х показник лінійного коефіцієнта кореляції визначається за формулою:

Етапи кореляційного аналізу (КРА)

І. Апріорний (попередній) аналіз:

сформувати завдання дослідження;

обґрунтувати методику вимірювання результативної ознаки, тобто вибір показника (вимірювача), який найбільш чітко характеризує цю ознаку з погляду поставленого завдання;

обрати найбільш важливі та суттєві фактори, які теоретично мають впливати на результативну ознаку;

обрати вимірювачі цих факторів, тобто факторні ознаки (показники).

II. Збір інформації та їі первинна обробка:

встановити й уточнити межі сукупності, що досліджується в часі й у просторі, а також одиницю цієї сукупності.

Вимоги до сукупності, що досліджується:

сукупність має бути якісно однорідна (основний метод забезпечення однорідності - групування);

сукупність повинна бути достатньо великою за обсягом, щоб у результаті дії закону великих чисел показники регресії і кореляції були достатньо надійними і стійкими, відображали об'єктивні закономірності взаємозв'язку, були вільними від дій випадкових обставин;

спостереження мають бути стохастично незалежними, тобто результати кожного спостереження не повинні залежати від результатів інших спостережень;

кожному значенню ознаки-фактора () відповідає нормальний чи близький до нього розподіл результативної ознаки () з однаковою дисперсією.

Первинна обробка вихідної інформації - це перевірка її достовірності та перевірка того факту, який свідчить про збереження у необхідних межах вимог, які вона має задовольняти (однорідність, незалежність, нормальність розподілу).

Перевірка достовірності та збереження вимог, які має задовольняти вихідна інформація, здійснюється шляхом якісного її аналізу та за допомогою методів і критеріїв математичної статистики: F - критерій Фішера, t - критерій Стьюдента.

Продовження відбору факторів та їх вимірювачів. Фактори, що включаються до рівняння регресії, мають справляти достатньо суттєвий вплив на результативну ознаку, тобто зв'язок результативної ознаки з кожною факторною ознакою має бути достатньо тісним. Для попередньої перевірки зазначеного вище доцільно використовувати такі методи, як порівняння паралельних рядів та аналітичне групування: просте та комбінаційне.

Однак фактори, що входять до рівняння регресії, не повинні перебувати між собою в лінійному функціональному або дуже тісному кореляційному зв'язку, оскільки тісно пов'язані між собою фактори дублюють один одного та перекручують результати КРА, що призводить до нестійкості коефіцієнтів рівняння регресії.

Для цього необхідно визначити щільність зв'язку кожного фактора з кожним з інших факторів-ознак за допомогою розрахунку парних лінійних коефіцієнтів кореляції, а потім виключити один чи кілька тісно пов'язаних з іншим (іншими) факторами.

III-IV. Вибір моделі зв'язку та розрахунок показників щільності кореляційного зв'язку.

Зв'язки між двома чинниками аналітично можуть бути виражені у такому вигляді.

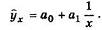
. Прямої, якщо результативна ознака рівномірно зростає (зменшується) зі зростанням (зменшенням) факторної ознаки:


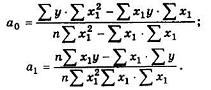
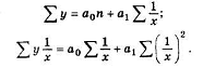
Параметри рівняння прямої а та а визначаються шляхом розв'язання системи нормальних рівнянь, одержаних методом найменших квадратів, основною умовою якого є мінімізація суми квадратів відхилень емпіричних значень від теоретичних:


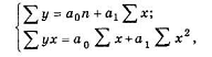
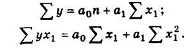
Система нормальних рівнянь для знаходження параметрів парної лінійної регресійної моделі має вигляд:


де у - індивідуальні значення результативної ознаки;

х - індивідуальні значення факторної ознаки;

параметри рівняння прямої (рівняння регресії);

ух - теоретичне значення результативної ознаки.


У рівнянні прямої параметр а економічного змісту не має. Параметр а є коефіцієнтом регресії і показує зміну результативної ознаки при зміні факторної ознаки на одиницю. Часто ознаки, що досліджуються, мають різні одиниці вимірювання, тому для оцінки впливу факторної ознаки на результативну використовується коефіцієнт еластичності. Він розраховується для кожної точки і в середньому для усієї сукупності.

Коефіцієнт еластичності (Е) визначається за формулою


де у'х - перша похідна рівняння регресії.

Показує, на скільки відсотків змінюється, результативна ознака при зміні факторної ознаки на 1 %.

Середній коефіцієнт еластичності визначається за формулою

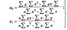
Визначення параметрів лінійного однофакторного рівняння регресії за згрупованими даними

Якщо дані згруповані й надані у вигляді кореляційної таблиці, то параметри лінійного рівняння можуть бути визначені шляхом розв'язання такої системи звичайних рівнянь:


2. Степеневої функції, якщо значення факторної ознаки знаходяться у порядку геометричної прогресії і відповідні значення результативної ознаки також мають геометричну прогресію:


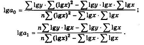
Для визначення параметрів степеневої функції методом найменших квадратів необхідно привести її до лінійного вигляду шляхом логарифмування:


Одержане рівняння відрізняється від рівняння звичайної регресії тим, що замість у, х та а містить їх логарифми.

Тому формули параметрів степеневої регресії можна отримати, якщо замінити у формулах розрахунку а0 та рівняння прямої за незгрупованими даними у, х і а їх логарифмами (величина а і логарифмом не змінюється):


Параметр а у цьому випадку показує, на скільки відсотків змінюється в середньому у при зміні х на один відсоток.

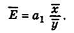
. Гіперболи, якщо результативна ознака зі зростанням (зменшенням) факторної ознаки зростає (зменшується) не нескінченно, а прямує до скінченної границі:


Для визначення параметрів цього рівняння використовується така система звичайних рівнянь:


Щоб визначити параметри рівняння гіперболи методом найменших квадратів, необхідно привести його до лінійного виду.

Для цього треба здійснити заміну змінних:


Звідси отримаємо таку систему звичайних рівнянь:


Параметри рівняння гіперболи визначаються за формулами

. Оцінка та аналіз моделі

Це один із найважливіших етапів дослідження кореляційного зв'язку. Його суть полягає у визначенні тісноти зв'язку між двома ознаками та в оцінці адекватності моделі.

Лінійний коефіцієнт кореляції (г) використовується тільки для вимірювання щільності зв'язку лінійної форми зв'язку:


За шкалою Чеддока, якщо:

) г = 0,1-0,3, то зв'язок слабкий;

2) r = 0,3-0,5, то зв'язок помірний;

) г = 0,5-0,7, то зв'язок помітний;

) r = 0,7-0,9, то зв'язок високий;

) г = 0,9-0,99, то зв'язок надто високий,

Теоретичне кореляційне відношення () використовується для вимірювання щільності зв'язку між ознаками за будь-якої форми зв'язку, як лінійної, так і нелінійної:


Де - дисперсія, визначена для теоретичних значень результативної ознаки, які отримані за рівнянням регресії;

дисперсія, що визначена для емпіричних значень результативної ознаки.


Теоретичне кореляційне відношення змінюється від 0 до 1: чим ближче - до 1, тим тісніший зв'язок між ознаками.

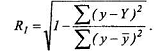
Індекс кореляції (R):


де - остаточна дисперсія, міра коливання емпіричних значень у коло відповідних точок теоретичної лінії зв'язку (ух);

загальна дисперсія.

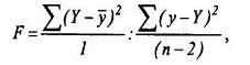
F-критерій Фішера (F) застосовують для оцінки адекватності регресійної моделі.

t-критерій Стьюдента. Після побудови регресійної моделі здійснюється перевірка відповідності знаків параметрів напрямові впливу чинників, а також дається оцінка значущості коефіцієнтів регресії за t-критерієм Стьюдента.

Для парної лінійної регресійної моделі розрахункові значення f-критерію Стьюдента обчислюють за формулою


де (п - 2) - кількість ступенів свободи.

Розрахункові значення t-критерію Стьюдента порівнюють з критичними (табличними) для відповідного числа ступенів свободи: k = п - т (п - кількість спостережень; т - число параметрів) і прийнятого рівня значущості а.

Якщо емпіричне значення t буде більшим за критичне, то лінійний коефіцієнт кореляції визнається значимим.

2.4 Аналіз зв’язку між атрибутивними ознаками


Використання регресійного та кореляційного аналізу вимагає, щоб всі ознаки були кількісно виміренними. Методи КРА, засновані на використанні кількісних параметрів розподілу (середні величини, дисперсії), називають параметричними методами.

Разом з тим в статистиці, особливо при проведенні соціологічних досліджень, виникає потреба оцінки тісноти зв'язку між якісними (атрибутивними) ознаками. Проблему оцінки тісноти зв'язку між атрибутивними ознаками вирішують непараметричні методи. Сфера їх використання значно ширша в зрівнянні з параметричними методами, тому що не вимагається використання умови нормального розподілу результативної змінної, не ставиться задача представлення залежності між атрибутивними ознаками відповідним рівнянням. Тут мова йде тільки про встановлення наявності встановлення зв'язку та виміру його тісноти.

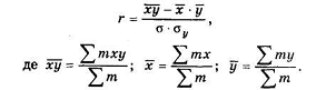
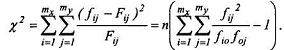
Взаємозв'язки між атрибутивними ознаками аналізуються за допомогою таблиць взаємної спряженності (співзалежності). Вони описують комбінаційні розподіли сукупностей за факторною ознакою х та результативною у.

Наприклад, результати соціологічного опитування населення щодо намірів узяти участь на ринку цінних паперів: розподіл респондентів опитування за віком розглядається як факторна ознака х, а їх розподіл за схильністю до ризику (ризиковий, обережний, неризикований) - як результативна ознака у. При наявності стохастичного зв'язку оцінка його тісноти ґрунтується на відхиленнях фактичних частот (часток) fa від Fy, пропорційних підсумковим частотам:



де fi0 - підсумкові частоти за ознакою х; foj - підсумкові частоти за ознакою у; n - обсяг сукупності. Очевидно, що


де тx, ту - відповідно кількість груп за ознаками х та у.

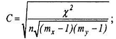
Абсолютну величину відхилень фактичних часток від пропорційних Ftj (fij - Ftj) характеризують статистичним критерієм х2 (,, хі"-квадрат).


Відносною мірою тісноти стохастичного зв'язку між ознаками служать також:

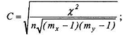
коефіцієнт взаємної спряженності Чупрова


коефіцієнт взаємної спряженності Крамера (при т£ту)

 


де ттіn - мінімальне число груп (тх або ту).

Значення коефіцієнта С коливається від 0 до 1 і тіснота зв'язку тим сильніша, чим ближче С до 1.

Достатньо часто в практиці статистичних досліджень аналізуються зв'язки між альтернативними ознаками, які представлені групами з протилежними (взаємовиключними) характеристиками. Тісноту зв'язку у цьому випадку можна оцінювати за допомогою коефіцієнта асоціації Д. Юла та коефіцієнта контингенції Пірсона.

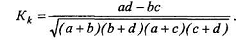
Для розрахунку вказаних коефіцієнтів вимірювання тісноти зв'язку між альтернативними ознаками використовується таблиця взаємної спряженності у вигляді кореляційної таблиці, яка носить назву "чотирьохклітинкової таблиці":

Таблиця 1.

А

b

a + b

С

d

c + d

а + с

b+d

a+b+c+d


При застосуванні таблиці 1 з частотами a, b, c, d коефіцієнт асоціації (Ка) обчислюється за формулою:


При Ка>0,3 між вивчаємими якісними ознаками існує кореляційний зв'язок.

У випадках, коли один з показників чотирьохклітинної таблиці відсутній, величина коефіцієнта асоціації буде дорівнювати одиниці, що дає завищену оцінку тісноти зв'язку між ознаками. У цьому випадку необхідно розраховувати коефіцієнт контингенції (Кk):


Коефіцієнт контингенції знаходиться в межах від - 1 до + 1. Чим ближче Кк до (+1) або (-1), тим тісніше зв'язок між вивчаємими ознаками; Коефіцієнт контингенції завжди менше коефіцієнта асоціації.

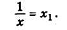
Для визначення зв'язку як між кількісними, так і якісними ознаками при умові, що значення цих ознак впорядковані за ступенем зменшення або збільшення (ранжировані), може бути використаний коефіцієнт кореляції рангів Спірмена. Рангами називають числа натурального ряду, які надаються в балах за певними критеріями елементам сукупності.

При цьому ранжирування проводиться за кожною ознакою окремо: перший ранг надається найменшому значенню ознаки, останній - найбільшому. Кількість рангів дорівнює обсягу сукупності.

Перевагою цього підходу є те, що при відсутності вимоги нормального розподілу рангові оцінки тісноти зв'язку доцільно використовувати для сукупностей невеликого обсягу.

Показник рангової кореляції - коефіцієнт кореляції рангів Спірмена - розраховується за формулою:


де dj - різниця між рангами за однією та другою ознакою;

п - кількість одиниць у ряді.

Якщо d=0, p=1 - існує тісний прямий зв'язок. Якщо першому рангу за розміром однієї ознаки відповідає останній ранг за розміром другої ознаки, другому рангу - передостанній ранг другої ознаки тощо, то р=-1 і існує тісний обернений зв'язок. Якщо значення р близько до нуля, то зв'язок слабий або його взагалі немає.

Висновки


Курсова робота досліджувала одну з актуальних проблем сучасної соціологічної статистики - коефіцієнти зв’язку між показниками. Дослідження та аналіз низки літературних джерел дали змогу зробити такі висновки і узагальнення.

Між ознаками х та у існують різні за природою та характером види зв'язку: функціональні та стохастичні.

При функціональному зв'язку між факторною та результативною ознаками кожному значенню ознаки х відповідає одне чітко визначене значення ознаки у. Такі зв'язки найчастіше вивчаються в математичному аналізі і використовуються для встановлення кількісних співвідношень у точних та прикладних науках. При стохастичному зв'язку кожному окремому значенню факторної ознаки х відповідає певна множина значень результативної ознаки у. Такий зв'язок утворює умовний розподіл ознак, який варіює. Підвидом стохастичного зв'язку є кореляційна залежність, що зумовлює кореляційний зв'язок між ознаками. При такій залежності зі зміною факторної ознаки х змінюються групові середні результативної ознаки у і замість умовних розподілів множин значень ознаки у виступають середні значення цих розподілів у. Таким чином, між ознаками у та у існує кореляційна залежність, коли середня величина однієї з них змінюється в залежності від значення іншої.

Визначення кореляційного зв'язку між ознаками займає значне місце в дослідженнях соціальних явищ в суспільстві.

Вивчення кореляційного зв'язку між ознаками починається з регресійного аналізу, який вирішує проблему встановлення форми зв'язку, або виду рівняння регресії, та визначення параметрів рівняння регресії.

В регресійному аналізі розрізняють рівняння парної (простої) та множинної (багатофакторної) регресії. Коли зв'язок із результативною ознакою у здійснюється з одним видом факторної ознаки х, то рівняння регресії має назву рівняння парної регресії. Якщо результативна ознака у пов'язана з декількома видами, факторних ознак х, то така залежність має назву рівняння множинної регресії. Після вибору виду рівняння регресії та знаходження його параметрів розпочинають другий етап КРА - кореляційний аналіз, в рамках якого дають оцінку тісности (щільності) та значимості (істотності) зв'язку. У поняття "тіснота зв'язку" вкладується оцінка впливу факторної ознаки на результативну та встановлення адекватності теоретичної залежності між ознаками фактичним даним. Тісноту зв'язку між ознаками оцінюють за допомогою таких характеристик: коефіцієнт детермінації; коефіцієнт кореляції (кореляційне відношення) та ін. Коефіцієнт детермінації показує, якою мірою варіація результативної ознаки Y визначається варіацією факторної ознаки х. Він використовується як при лінійному, так і при нелінійному зв'язку між ознаками і у випадку парної регресії розраховується за формулою:


Коефіцієнт кореляції (кореляційне відношення) показує, наскільки значним є вплив ознаки х на Y. Коефіцієнт кореляції розраховується за формулою:


Після встановлення тісноти зв'язку дають оцінку значимості зв'язку між ознаками. Під терміном "значимість зв'язку" розуміють оцінку відхилення вибіркових змінних від своїх значень у генеральній сукупності за допомогою статистичних критеріїв. Оцінку значимості зв'язку здійснюють з використанням F-критерія Фішера і t-критерія Cт'юдента.

Для парної регресії (лінійної та нелінійної) F-критерій Фішера розраховується за формулою:


Для парної лінійної регресії при r = R розрахункові значення t-критерію Cm'юдента обчислюється за формулою:


Критерій Ст'ьюдента за даною формулою дає оцінку значимості коефіцієнта кореляції R і істотності зв'язку між ознаками. При проведенні соціологічних досліджень, виникає потреба оцінки тісноти зв'язку між якісними (атрибутивними) ознаками. Проблему оцінки тісноти зв'язку між атрибутивними ознаками вирішують непараметричні методи. Сфера їх використання значно ширша в зрівнянні з параметричними методами, тому що не вимагається використання умови нормального розподілу результативної змінної, не ставиться задача представлення залежності між атрибутивними ознаками відповідним рівнянням. Взаємозв'язки між атрибутивними ознаками аналізуються за допомогою таблиць взаємної спряженності (співзалежності). Вони описують комбінаційні розподіли сукупностей за факторною ознакою х та результативною у. Наприклад, результати соціологічного опитування населення щодо намірів узяти участь на ринку цінних паперів: розподіл респондентів опитування за віком розглядається як факторна ознака х, а їх розподіл за схильністю до ризику (ризиковий, обережний, неризикований) - як результативна ознака у. При наявності стохастичного зв'язку оцінка його тісноти ґрунтується на відхиленнях фактичних частот (часток) fіо від Fij, пропорційних підсумковим частотам:


Відносною мірою тісноти стохастичного зв'язку між ознаками служать також: коефіцієнт взаємної спряженності Чупрова


коефіцієнт взаємної спряженості Крамера:


Для визначення зв'язку як між кількісними, так і якісними ознаками при умові, що значення цих ознак впорядковані за ступенем зменшення або збільшення (ранжировані), може бути використаний коефіцієнт кореляції рангів Спірмена.Показник рангової кореляції - коефіцієнт кореляції рангів Спірмена - розраховується за формулою:


Список використаної літератури

1. Про державну статистику: Закон України // Голос України. - 1992. - 21 жовтня 1992.

. Про заходи щодо розвитку державної статистики: Указ Президента України від 22 листопада 1997 р. № 1299/97 // Статистика України. - 1998. - № 1.

3. Бек В.Л. Теорія статистики: Навч. посібник. - К.: ТОВ "Центр учбової літератури", 2002. - 288 с.

. Головач А.В., Єріна A.M., Козырев О.В. Статистика: Підручник. - К.: Вища школа, 1993. - 464 с.

. Гончарук А.Г. Основи статистики: Навч. посібник. - К.: ТОВ "Центр учбової літератури", 2004. - 148 с.

. Гусаров В.М. Теория статистики: Учебное пособие. - М.: Аудит, ЮНИТИ, 1998. - 247 с.

7. Громыко Г.Л. Общая теория статистики: Практикум. - М.: ИНФРА-М, 2000. - 139 с.

8. Елисеева Т.В., Костенко Т.В., Хомченко Л.И. Международная статистика: Учеб. пособие. - М.: Высшая школа, 1995. - 268 с.

9. Ковтун Н.В., Столяров Г.С. Загальна теорія статистики: Курс лекцій. - К.: Четверта хвиля, 1996. - 144 с.

. Курс социально-экономической статистики: Учебник / Под ред. М.Г. Назарова. - М.: Финстатинформ, 2000. - 426 с.

11. Лугінін О. Є. Статистика. Економічна та соціальна статистика: Курс лекцій. - Херсон: МУБіП, 2003. - 99 с.

12. Мармоза А.Т. Теорія статистики: Навч. посібник. - К.: Ніка-Центр, 2003. - 392 с.

13. Овчарук Р.Ю. Теорія статистики: Навч. посібник. - К.: Вікар, 2003. - 204 с.

14. Ряузов Н.Н. Общая теория статистики: Учебник для вузов. - М.: Финансы и статистика, 1984. - 292 с.

15. Статистика: Підручник / С.С. Герасименко А.В. Головач, А.М. Єріна та ін. / За наук. ред. С.С. Герасименка. - К.: Вища школа, 1998. - 468 с.

16. Статистика: Підручник / С.С. Герасименко А.В. Головач, А.М. Єріна та ін. / За наук. ред. С.С. Герасименка. - 2-ге вид., перероб. і доп. - К.: КНЕУ, 2000. - 460 с.

17. Статистика підприємництва: Навч. посібник / За ред.П.Г. Валікова, В.П. Сторожука. - К. Слобожанщина, 1999. - 574 с.

. Степаненко Н.В. Статистика: Навч. посібник. - К.: Вища школа, 1991. - 205 с.

19. Удотова Л.С. Соціальна статистика: Підручник. - К.: КНЕУ, 2002. - 376 с.

20. Уманець Т.Е., Пігарєв Ю.Б. Статистика: Навч. посібник. - К.: Вікар, 2003. - 623 с.

Похожие работы на - Дослідження стохастичних зв’язків

 

Не нашли материал для своей работы?
Поможем написать уникальную работу
Без плагиата!
Без нейросетей!