|
Показатель
|
1999
|
2000
|
2001
|
2002
|
2003
|
2004
|
2005
|
2006
|
2007
|
2008
|
2009
|
2010
|
|
Выручка от
реализации продукции
|
1120
|
1085
|
1090
|
1203
|
1289
|
1360
|
1450
|
1426
|
1430
|
1608
|
1635
|
1830
|
|
Чистая прибыль
|
905
|
888
|
870
|
1007
|
1118
|
1220
|
1370
|
1385
|
1350
|
1405
|
1496
|
1600
|
Исходные данные представляют собой информацию из годовых
отчетов о прибылях и убытках ООО "ПромМаркет" за период с 1997 г. по
2010 г. о величине выручки от реализации продукции, чистой прибыли.
Выручка - общая сумма денежных средств, полученных
(вырученных) компанией за определённый период её деятельности, в основном за
счёт продажи продуктов или услуг своим клиентам.
Чистая прибыль - часть балансовой прибыли предприятия, остающаяся
в его распоряжении после уплаты налогов, сборов,
отчислений и других обязательных платежей в бюджет. Чистая прибыль используется для увеличения оборотных средств
предприятия, формирования фондов и резервов, и реинвестиций в производство.
Единица измерения - тыс. руб.
Тип рядов динамики - интервальный, т.к. данные представлены
за определенный период.
Оценка среднего значения выбранного показателя.
Средняя арифметическая может быть простой или взвешенной. В
данном случае расчет осуществляется по несгруппированным данным (каждая единица
имеет одинаковую значимость). Следовательно, применяется средняя арифметическая
простая:
Для интервального ряда динамики абсолютных показателей
средний уровень ряда рассчитывается по формуле простой средней арифметической:
где
y - уровень временного ряда;
n - число уровней ряда.
Вывод. В среднем в каждом году выручка от реализации
продукции предприятия составляет 1377 тыс. руб.
Оценка структурных средних (моды, медианы) на основе
структурной группировки.
Структурная группировка - группировка, в
которой происходит разделение однородной совокупности на группы,
характеризующие ее структуру по какому-то варьирующему признаку (группировка
населения по уровню дохода). Анализ статистических данных структурных
группировок, взятых за ряд периодов показывает изменение структуры изучаемых
явлений, то есть структурные сдвиги.
В качестве структурных средних чаще всего используют
показатели моды - наиболее часто повторяющегося значения признака - и медианы -
величины признака, которая делит упорядоченную последовательность его значений
на две равные по численности части. В итоге у одной половины единиц
совокупности значение признака не превышает медианного уровня, а у другой - не
меньше его.
ряд тренд динамика показатель
,
где XMe - нижняя граница медианного интервала;
hMe - его величина;
(Σm) /2 - половина от общего числа наблюдений
или половина объема того показателя, который используется в качестве
взвешивающего в формулах расчета средней величины (в абсолютном или
относительном выражении);
SMe-1 - сумма наблюдений (или объема взвешивающего признака),
накопленная до начала медианного интервала;
mMe - число наблюдений или объем взвешивающего признака в медианном
интервале (также в абсолютном либо относительном выражении).
При расчете модального значения признака по данным интервального
ряда надо обращать внимание на то, чтобы интервалы были одинаковыми, поскольку
от этого зависит показатель повторяемости значений признака X. Для интервального ряда с равными интервалами величина
моды определяется как
,
где ХMo - нижнее значение модального интервала;
mMo - число наблюдений или объем взвешивающего признака в модальном
интервале (в абсолютном либо относительном выражении);
mMo-1 - то же для интервала, предшествующего модальному;
mMo+1 - то же для интервала, следующего за модальным;
h - величина интервала изменения признака в группах.
Для расчета структурных средних величин (моды и медианы)
нужно провести структурную группировку.
Первым этапом является определение числа групп. Для этого
воспользуемся приближенной формулой Стерджесса: n = 1+3,322 lgN.
Рассчитываем: n=1+3,322lg12=4,9»5. Получаем 5 групп.
Далее необходимо определить интервалы для каждой группы.
Интервал - это значения варьирующего признака, определяющие границы группы.
Для этого рассчитаем размах вариации (вычисляется как разница
между максимальным и минимальным значением показателя):

R = 1830 - 1085 = 745 тыс. руб.
Теперь рассчитываем величину интервала:
h = 745/5 = 149
Таблица 2
|
Величина
выручки от реализации продукции, тыс. руб.
|
Количество лет
в группе
|
Сумма
накопленных частот
|
|
1085 - 1234
|
4
|
4
|
|
1234 - 1383
|
2
|
6
|
|
1383 - 1532
|
3
|
9
|
|
1532 - 1681
|
2
|
11
|
|
1681 - 1830
|
1
|
12
|
Вычисляем медиану:
Определяем медианный интервал, такой, что сумма накопленных
частот превышает половину общей численности совокупности. В данном случае он
равен 1234 - 1383.
Ме = 1234 + 149* (12/2 - 4) /2 = 1383 тыс. руб.
Это означает, что половина года имела выручку менее 1383 тыс.
руб.
Вычисляем моду:
Определяем модальный интервал, такой, что его частота больше,
чем у предыдущего и больше, чем у следующего. В данном случае это интервал:
1383 - 1532.
Мо = 1383+149* (3 - 2) / ( (3 - 2) + (3 - 2)) = 1457,5 тыс.
руб.
Это означает, что в большинстве годов предприятие имело
выручку больше 1457,5 тыс. руб.
Оценка показателей вариации.
Абсолютные показатели вариации включают:
· размах
вариации;
· среднее
линейное отклонение;
· дисперсию;
· среднее
квадратическое отклонение.
Размах вариации (R) - это разность между максимальным и минимальным
значениями признака:
Он показывает пределы, в которых изменяется величина признака в
изучаемой совокупности.
Среднее линейное отклонение
- это средняя
арифметическая из абсолютных
отклонений отдельных значений признака от средней.
Среднее линейное
отклонение простое:
Среднее линейное отклонение взвешенное применяется для
сгруппированных данных:
Среднее линейное отклонение в силу его условности применяется на
практике сравнительно редко (в частности, для характеристики выполнения
договорных обязательств по равномерности поставки; в анализе качества продукции
с учетом технологических особенностей производства).
Наиболее совершенной характеристикой вариации является среднее
квадратическое отклонение, которое называют стандартом (или стандартным
отклонение).
Среднее квадратическое отклонение (равно квадратному корню из
среднего квадрата отклонений отдельных значений признака от средней арифметической:
Среднее квадратическое отклонение простое:
Среднее квадратическое отклонение взвешенное применяется для
сгруппированных данных:
Между средним квадратическим и средним линейным отклонениями в
условиях нормального распределения имеет место следующее соотношение:
~ 1,25.
Среднее квадратическое отклонение, являясь основной абсолютной
мерой вариации, используется при определении значений ординат кривой
нормального распределения, в расчетах, связанных с организацией выборочного
наблюдения и установлением точности выборочных характеристик, а также при
оценке границ вариации признака в однородной совокупности.
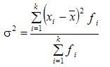
Дисперсия - представляет собой средний квадрат отклонений
индивидуальных значений признака от их средней величины.
Дисперсия простая:
Дисперсия взвешенная:
Более удобно вычислять дисперсию по формуле:
которая получается из основной путем несложных преобразований. В
этом случае средний квадрат отклонений равен средней из квадратов значений
признака минус квадрат средней.
Для несгрупиированных данных:
Для сгруппированных данных:
1. Размах вариации:
R = 1830 - 1085 = 745 тыс. руб.
Проведем дополнительные расчеты, результаты которых приведены
в табл.3.
Таблица 3
|
Период
|
Величина
выручки от реализации продукции, тыс. руб.
|
 2
|
|
|
1999
|
1120
|
257
|
66049
|
|
2000
|
1085
|
292
|
85264
|
|
2001
|
1090
|
287
|
82369
|
|
2002
|
1203
|
174
|
30276
|
|
2003
|
1289
|
88
|
7744
|
|
2004
|
1360
|
17
|
289
|
|
2005
|
1450
|
73
|
5329
|
|
2006
|
1426
|
49
|
2401
|
|
2007
|
1430
|
53
|
2809
|
|
2008
|
1608
|
231
|
53361
|
|
2009
|
1635
|
258
|
66564
|
|
2010
|
1830
|
453
|
205209
|
|
Итого
|
|
2232607664
|
|
2. Среднее линейное
отклонение:
. Среднее квадратическое отклонение:
. Дисперсия:
Графическое представление распределения значений. Графическое
построение моды и медианы.
Ряды распределения удобно изучать с помощью графического
метода.
Графическое изображение позволяет осуществить контроль
достоверности статистических показателей, так как, представленные на графике,
они более ярко показывают имеющиеся неточности, связанные либо с наличием
ошибок наблюдения, либо с сущностью изучаемого явления. С помощью графического
изображения возможны изучение закономерностей развития явления, установление
существующих взаимосвязей. Простое сопоставление данных не всегда дает
возможность уловить наличие причинных зависимостей, в то же время их
графическое изображение способствует выявлению причинных связей, в особенности
в случае установления первоначальных гипотез, подлежащих затем дальнейшей
разработке. Графики также широко используются для изучения структуры явлений,
их изменения во времени и размещения в пространстве. В них более выразительно
проявляются сравнительные характеристики и отчетливо виды основные тенденции
развития и взаимосвязи, присущие изучаемому явлению или процессу.
Графическое построение моды представлено на рис.1.,
графическое построение медианы - на рис.2.
Рис.1. Графическое построение моды (гистограмма)
Рис.2. Графическое построение медианы (кумулята)
2. Оценка
абсолютных и относительных показателей динамики
Для обоснованной оценки развития явлений
во времени необходимо исчислить аналитические показатели: абсолютный прирост,
коэффициент роста, темп роста, темп прироста, абсолютное значение одного
процента прироста.
Абсолютный прирост выражает абсолютную
скорость изменения ряда динамики и определяется как разность между данным
уровнем и уровнем, принятом за базу сравнения.
Абсолютный прирост (базисный):
∆б = yi - y0
где yi - уровень сравниваемого периода; y0 - уровень базисного
периода. Абсолютный прирост с переменной базой (цепной):
где
- уровень предшествующего периода.
Если уровень уменьшился по сравнению с базисным, то ∆<0.
В этом случае абсолютный прирост характеризует абсолютное уменьшение
(сокращение) уровня.
Абсолютная скорость роста (снижения) уровня - абсолютный
прирост за единицу времени с переменной базой.
Абсолютное ускорение - разность между абсолютным приростом за
данный период и абсолютным приростом за предыдущий период одинаковой
длительности:
Абсолютное ускорение может быть:
) положительное число;
) отрицательное число.
Абсолютное ускорение показывает, насколько увеличилась
(уменьшилась) скорость изменения показателя. Показатель ускорения применяется
для цепных абсолютных приростов. Отрицательная величина ускорения говорит о
замедлении роста или об ускорении снижения уровней ряда.
Абсолютные приросты для любых рядов динамики являются
интервальными показателями, т.е. характеризуют тот или иной промежуток
(интервал) времени.
Для интервального ряда динамики абсолютных показателей
средний уровень ряда рассчитывается по формуле простой средней арифметической:
где
y - уровень временного ряда;
n - число уровней ряда.
Коэффициент роста (темп роста) - это отношение двух сравниваемых
уровней, которое показывает, во сколько раз данный уровень превышает уровень
базисного периода. Отражает интенсивность изменения уровней ряда динамики и
показывает, во сколько раз увеличился уровень по сравнению с базисным, а в
случае уменьшения - какую часть базисного уровня составляет сравниваемый
уровень.
Коэффициент роста базисный:
Коэффициент роста цепной:
Темп роста - это коэффициент роста, выраженный в процентах:
Tр = К*100 %.
Темпы роста для любых рядов динамики являются интервальными
показателями, т.е. характеризуют тот или иной промежуток (интервал) времени.
Темп прироста - относительная величина прироста, т.е. отношение абсолютного
прироста к предыдущему или базисному уровню. Характеризует, на сколько
процентов уровень данного периода больше (или меньше) базисного уровня.
Темп прироста - разность между темпом роста (в процентах) и 100 %:
Тпр= Тр - 100 %.
Особенности расчетов:
) при анализе относительных показателей динамики (темпов роста и
темпов прироста) не следует рассматривать их изолированно от абсолютных
показателей (уровней ряда и абсолютных приростов);
) сравнение абсолютного прироста и темпа прироста за одни и те же
периоды времени показывает, что замедление темпов прироста не всегда
сопровождается уменьшением абсолютных приростов;
) темп прироста рассматривают в сопоставлении с показателем
абсолютного прироста.
Абсолютное значение одного процента прироста - этот показатель
служит косвенной мерой базисного уровня. Представляет собой одну сотую часть
базисного уровня, но одновременно представляет собой и отношение абсолютного
прироста к соответствующему темпу роста.
Аi = 0,01yi-1
Эта величина показывает, сколько в абсолютном выражении дает
каждый процент прироста.
Наряду с рассмотренными аналитическими
показателями, исчисляемыми за каждый год в сравнении с предшествующим или
начальным уровнем, при анализе рядов динамики необходимо исчислить средние за
период аналитические показатели: средний уровень ряда, средний годовой
абсолютный прирост (уменьшение) и средний годовой темп роста и темп прироста.
Средний абсолютный прирост (средняя скорость роста) определяется как средняя
арифметическая из показателей скорости роста за отдельные периоды времени:
где n - конечный уровень ряда;
y1 - начальный уровень ряда.
Средний коэффициент роста рассчитывается по формуле средней
геометрической из показателей коэффициентов роста за отдельные периоды:
где Кр1, Кр2, …, Кр n-1 -
коэффициенты роста по сравнению с предыдущим периодом;
n - число уровней ряда.
Средний коэффициент роста можно определить иначе:
Средний темп роста - это средний коэффициент роста, который
выражается в процентах.
Средний темп прироста. Для расчета данного показателя
первоначально определяется средний темп роста, который затем уменьшается на
100%.
Таблица 4
|
Год
|
Выручка, тыс.
руб.
|
Абсолютный
прирост, тыс. руб.
|
Темп роста, %
|
Темп прироста,
%
|
Абсолютное
ускорение, тыс. руб.
|
|
|
цепной
|
базисный
|
цепной
|
базисный
|
цепной
|
базисный
|
|
|
1999
|
1120
|
|
|
|
|
|
|
|
|
2000
|
1085
|
-35
|
-35
|
96,9
|
96,9
|
-3,1
|
-3,1
|
-
|
|
2001
|
1090
|
5
|
-30
|
100,5
|
97,3
|
0,5
|
-2,7
|
40
|
|
2002
|
1203
|
113
|
83
|
110,4
|
107,4
|
10,4
|
7,4
|
108
|
|
2003
|
1289
|
86
|
169
|
107,1
|
115,1
|
7,1
|
15,1
|
-27
|
|
2004
|
1360
|
71
|
240
|
105,5
|
121,4
|
5,5
|
21,4
|
-15
|
|
2005
|
1450
|
90
|
330
|
106,6
|
129,5
|
6,6
|
29,5
|
19
|
|
2006
|
1426
|
-24
|
306
|
98,3
|
127,3
|
-1,7
|
-114
|
|
2007
|
1430
|
4
|
310
|
100,3
|
127,7
|
0,3
|
27,7
|
28
|
|
2008
|
1608
|
178
|
488
|
112,4
|
143,6
|
12,4
|
43,6
|
174
|
|
2009
|
1635
|
27
|
515
|
101,7
|
146,0
|
1,7
|
46,0
|
-151
|
|
2010
|
1830
|
195
|
710
|
111,9
|
163,4
|
11,9
|
63,4
|
168
|
Средний уровень ряда:
= 16526/12 = 1377 тыс. руб.
В среднем за рассматриваемый период выручка от реализации
продукции составила 1377 тыс. руб.
Средний абсолютный прирост:
В среднем на конец рассматриваемого периода по сравнению с
базисным годом сумма выручки от реализации продукции увеличилась на 64,5 тыс.
руб.
Средний темп роста:
,
В среднем за рассматриваемый период увеличение суммы выручки от
реализации продукции составило 104,6 %.
Средний темп прироста:
В среднем за рассматриваемый период сумма выручки от реализации
продукции увеличилась на 4,6 %.
3.
Выравнивание ряда методом скользящей средней
Данный метод применяется для характеристики тенденции
развития исследуемой статистической совокупности и основан на расчете средних
уровней ряда за определенный период. Последовательность определения скользящей
средней:
устанавливается интервал сглаживания или число входящих в
него уровней. Если при расчете средней учитываются три уровня, скользящая
средняя называется трехчленной, пять уровней - пятичленной и т.д. Если
сглаживаются мелкие, беспорядочные колебания уровней в ряду динамики, то
интервал (число скользящей средней) увеличивают. Если волны следует сохранить,
число членов уменьшают.
Исчисляют первый средний уровень по арифметической простой:
y1 = Sy1/m, где
y1 - I-ый уровень ряда;
m - членность скользящей средней.
первый уровень отбрасывают, а в исчисление средней включают
уровень, следующий за последним уровнем, участвующем в первом расчете.
Процесс продолжается до тех пор, пока в расчет y будет включен последний
уровень исследуемого ряда динамики yn.
по ряду динамики, построенному из средних уровней, выявляют
общую тенденцию развития явления.
Суть метода состоит в исключении случайных колебаний путем
расчета средних значений по "скользящим" укрупненным интервалам
(интервалу сглаживания).
Выравнивание ряда методом "скользящей средней"
приведено в табл.5.
Таблица 5
|
Год
|
Выручка от
реализации продукции (тыс. руб.)
|
Скользящая
средняя 3 - уровневая (тыс. руб.)
|
Скользящая
средняя 5 - уровневая (тыс. руб.)
|
Скользящая
средняя 7 - уровневая (тыс. руб.)
|
|
1999
|
1120
|
-
|
-
|
-
|
|
2000
|
1085
|
(1120+1085+1090)
/3 = 1098
|
-
|
-
|
|
2001
|
1090
|
(1085+1090+1203)
/3 = 1126
|
(1120+1085+1090+
1203+1289) /5=1157
|
-
|
|
2002
|
1203
|
(1090+1203+1289)
/3 = 1194
|
(1085+1090+1203+
1289+1360) /5 = 1205
|
(1120+1085+1090+1203+
1289+1360+1450) /7 = 1228
|
|
2003
|
1289
|
(1203+1289+1360)
/3 = 1284
|
(1090+1203+1289+
1360+1450) /5 = 1278
|
(1085+1090+1203+1289+
1360+1450+1426) /7 = 1272
|
|
2004
|
1360
|
(1289+1360+1450)
/3 = 1366
|
(1203+1289+1360+
1450+1426) /5 = 1346
|
(1090+1203+1289+1360+
1450+1426+1430) /7 = 1321
|
|
2005
|
1450
|
(1360+1450+1426)
/3 = 1412
|
(1289+1360+1450+
1426+1430) /5 = 1391
|
(1203+1289+1360+1450+
1426+1430+1608) /7 = 1395
|
|
2006
|
1426
|
(1450+1426+1430)
/3 = 1435
|
(1360+1450+1426+
1430+1608) /5 = 1455
|
(1289+1360+1450+1426+
1430+1608+1635) /7 = 1457
|
|
2007
|
1430
|
(1426+1430+1608)
/3 = 1488
|
(1450+1426+1430+
1608+1635) /5 = 1510
|
(1360+1450+1426+1430+
1608+1635+1830) /7 = 1534
|
|
2008
|
1608
|
(1430+1608+1635)
/3 = 1558
|
(1426+1430+1608+
1635+1830) /5 = 1586
|
-
|
|
2009
|
1635
|
(1608+1635+1830)
/3 = 1691
|
-
|
-
|
|
2010
|
1830
|
-
|
-
|
-
|
4.
Выявление наличия тренда в рассматриваемых рядах (проверка гипотезы о разности
средних у первой и второй половины ряда)
Разбиваем ряд на 2 половины.
Таблица 6
|
Период
|
Выручка от
реализации продукции, тыс. руб.
|
Период
|
Выручка от
реализации продукции, тыс. руб.
|
|
1999
|
1120
|
2005
|
1450
|
|
2000
|
1085
|
2006
|
1426
|
|
2001
|
1090
|
2007
|
1430
|
|
2002
|
1203
|
2008
|
1608
|
|
2003
|
1289
|
2009
|
1635
|
|
2004
|
1360
|
2010
|
1830
|
Рассчитываем для каждой группы среднюю величину:
= 7147/6 = 1191 тыс. руб.
= 9379/6 = 1563 тыс. руб.

На основе расчетов можно выдвинуть гипотезу о различии средних.
Проверка гипотезы осуществляется на основе t-критерия Стьюдента, который рассчитывается по формуле:
- среднеквадратическое отклонение разности средних,
рассчитывается по формуле:
Проведем дополнительные расчеты, результаты которых представлены в
табл.7.
Таблица 7
|
Год
|
Величина выручки
от реализации продукции, тыс. руб.
|
 2
|
|
|
1 группа
|
|
1999
|
1120
|
-71
|
5041
|
|
2000
|
1085
|
-106
|
11236
|
|
2001
|
1090
|
-101
|
10201
|
|
2002
|
1203
|
12
|
144
|
|
2003
|
1289
|
98
|
9604
|
|
2004
|
1360
|
169
|
28561
|
|
Итого по 1
группе
|
|
|
64787
|
|
2 группа
|
|
2005
|
1450
|
-113
|
12769
|
|
2006
|
1426
|
-137
|
18769
|
|
2007
|
1430
|
-133
|
17689
|
|
2008
|
1608
|
45
|
2025
|
|
2009
|
1635
|
72
|
5184
|
|
2010
|
1830
|
267
|
71289
|
|
Итого по 2
группе
|
|
|
127725
|
Рассчитаем дисперсию:
12 = 64787/6 = 10798 тыс. руб.,
22 = 127725/6 = 21288 тыс. руб.
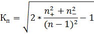
Далее необходимо сравнить полученное значение tэмп с теоретическим
значением t-распределения
Стьюдента. Если tэмп<tкрит, то гипотеза H0 принимается, в противном случае нулевая гипотеза
отвергается и принимается альтернативная гипотеза.
Табличное значение tкрит равняется 2,23 при допущении возможности
риска сделать ошибочное суждение в пяти случаях из ста (уровень значимости=5 %
или 0,05).
Рассчитанное значение t больше табличного, значит можно сделать вывод об
отсутствии тренда в рассматриваемых рядах.
5. Выявление
наличия взаимосвязи между показателями различными методами. Корреляционный
анализ
1) Метод приведения параллельных данных. Тенденцию
результативного признака можно легко установить, рассчитав разности соседних в
списке значений результативного признака. Если все (или почти все) разности
одного знака, то делается вывод о наличии связи. Можно рассчитать
количественный показатель (коэффициент параллельности), который будет служить
индикатором наличия связи:
- количество единиц совокупности, у которых разница с
предыдущей единицей положительна,
- количество единиц совокупности, у которых разница с
предыдущей единицей отрицательна.
2) Расчет коэффициента Фехнера (коэффициента корреляции
знаков). Этот метод основан на анализе поведения отклонений индивидуальных значений
признака от среднего по факторному и результативному признакам.
- число совпадений знаков
- число несовпадений знаков
3) Для корреляционного анализа связи между двумя
признаками используется линейный коэффициент корреляции, рассчитываемый по
формуле:
4) Ранговый коэффициент Спирмена:
- ранговая разница
Чтобы рассчитать все эти показатели, проведем дополнительные
расчеты:
Таблица 8
Период Выручка от реализации продукции, тыс. руб. (у) Чистая
прибыль, тыс. руб. (х) Разность у 

2Совпадение знаков
*
|
RxRуdidi2
|
|
|
|
|
|
|
|
|
|
|
1999
|
1120
|
905
|
-
|
-313
|
-257
|
97969
|
+
|
80441
|
3
|
3
|
0
|
0
|
|
2000
|
1085
|
888
|
-35
|
-330
|
-292
|
108900
|
+
|
96360
|
2
|
1
|
1
|
1
|
|
2001
|
1090
|
870
|
5
|
-348
|
-287
|
121104
|
+
|
99876
|
1
|
2
|
-1
|
1
|
|
2002
|
1203
|
1007
|
113
|
-211
|
-174
|
44521
|
+
|
36714
|
4
|
4
|
0
|
0
|
|
2003
|
1289
|
1118
|
86
|
-100
|
-88
|
10000
|
+
|
8800
|
5
|
5
|
0
|
0
|
|
2004
|
1360
|
1220
|
71
|
2
|
-17
|
4
|
-
|
-34
|
6
|
6
|
0
|
0
|
|
2005
|
1450
|
1370
|
90
|
152
|
73
|
23104
|
+
|
11096
|
8
|
9
|
-1
|
1
|
|
2006
|
1426
|
1385
|
-24
|
167
|
49
|
27889
|
+
|
8183
|
9
|
7
|
4
|
|
2007
|
1430
|
1350
|
4
|
132
|
53
|
17424
|
+
|
6996
|
7
|
8
|
-1
|
1
|
|
2008
|
1608
|
1405
|
178
|
187
|
231
|
34969
|
+
|
43197
|
10
|
10
|
0
|
0
|
|
2009
|
1635
|
1496
|
27
|
278
|
258
|
77284
|
+
|
71724
|
11
|
11
|
0
|
0
|
|
2010
|
1830
|
1600
|
195
|
382
|
453
|
145924
|
+
|
173046
|
12
|
12
|
0
|
0
|
|
Ср. знач.
|
1377
|
1218
|
|
|
|
|
|
|
|
|
|
|
|
Сумма
|
|
|
|
|
|
7090926363998
|
|
|
|
|
|
|
1. Коэффициент
параллельности:
т.е. связь есть
. Коэффициент Фехнера:
т.е. связь есть
. Линейный коэффициент корреляции:
т.е. связь есть
. Ранговый коэффициент Спирмена:
т.е. связь есть.
Список
использованной литературы
1.
Беляевский И.К. и др. Статистика рынка товаров и услуг. - М.: Финансы и
статистика, 2008.
.
Громыко Г.Л. и др. - М.: ИНФРА - М, 2007. - 480с.
.
Гусаров В.М. Статистика: Учеб. пособие для вузов - М.: ЮНИТИ-ДАНА, 2007. -
436с.
.
Елисеева И.И., Юзбашев М.М. Учебник. Общая теория статистики.4-е издание. - М.:
Финансы и статистика. 2007. - 480с.
.
Ефимова М.Ф., Петрова Е.П., Румянцев В.Н. Общая теория статистики. - М.: ИНФРА
- М, 2-е издание. 2007. - 413с.
.
Зинченко А.П. Сельскохозяйственная статистика с основами
социально-экономической статистики. Учебник. - М.: Издательство МСХА, 2008. -
427с.
.
Практикум по статистике. Учебное пособие. Зинченко А.П., Шибалкин А. Е,
Тарасова О.Б., Шайкина Е.В. - М.: Колос, 2007. - 319с.
.
Рафикова Н.Т. Основы статистики - Уфа, 2008.
.
Филимонов В.С. Гуртовник Е.А. Практикум по статистике. М.: - Финансы и
статистика, 2007.
.
Экономическая статистика. Учебник. Иванов Ю.Н., Казаринова С.Е., 2008.