Фазовая модуляция

  • Вид работы:
    Курсовая работа (т)
  • Предмет:
    Физика
  • Язык:
    Русский
    ,
    Формат файла:
    MS Word
    2,04 Мб
  • Опубликовано:
    2012-12-26
Вы можете узнать стоимость помощи в написании студенческой работы.
Помощь в написании работы, которую точно примут!

Фазовая модуляция

Содержание

 

Введение

Теоретические основы фазовой модуляции

Формирование функциональной схемы и пример ее функционирования

Список литературы

Введение

В классической трактовке модуляция - процесс изменения одного или нескольких параметров высокочастотного несущего колебания по закону низкочастотного информационного сигнала (сообщения) [2]. Таким образом, передача битовых комбинаций фактически представляет собой изменение А, ω и (или) φ в выражении, описывающем несущую  В соответствии с этим различают амплитудную, частотную и фазовую модуляцию (АМ, ЧМ и ФМ) и их комбинации (например, КАМ, которая фактически представляет собой симбиоз АМ и ФМ).

Среди трех выше указанных базовых техник, наиболее часто применяемой на практике является фазовая манипуляция (этот термин является синонимом для ″модуляции″ и подчеркивает ее применение в цифровой связи). Наибольшее распространение ФМ получила из-за потенциально большей по сравнению с АМ и ЧМ помехоустойчивости [5].

Целью данной работы является изучение принципов фазовой модуляции. Для ее достижения сформулируем следующие задачи:

1)      рассмотрение теоретических аспектов фазовой модуляции с обязательным фокусированием внимания на ее частном случае - ФМ-8;

2)      формирование функциональной схемы передатчика ФМ-8;

)        компьютерное моделирование примера передачи информации по предложенной схеме в среде Mathcad / Matlab

Теоретические основы фазовой модуляции


Для начала рассмотрим простейший случай ФМ - двоичную фазовую манипуляцию (Binary Phase Shift Key, BPSK) [4], которая позволяет помощью изменения фазы несущей передавать два сообщения, соответствующих информационным элементам (битам)"1" и "0". В такой ситуации логичным оказывается выбор фаз ФМ-сигналов таким образом, чтобы разность их составляла 180°. При этом передача "0" осуществляется с помощью сигнала вида:

 (1)

а передача "1" с помощью сигнала:

 (2)

Функции s0 (t) и s1 (t) образуются систему так называемых противоположных сигналов, применение которых позволяет обеспечить максимальную потенциальную помехоустойчивость [5]. ФМ при этом называется относительной (ОФМ).

Важное практическое значение имеет ФМ с четырьмя сигналами, шаг фазы которых составляет 900. При этом образуется квадратурная фазовая модуляция (Quadrature Phase Shift Keying, QPSK) [4], которая эквивалентна передаче по двум ортогональным ОФМ-каналам, где каждый из сигналов имеет фазу 0°, 90°, 180° или 270°. Один из вариантов распределения значений фаз между укрупненными символами "00", "01", "10", "11" приведен на рисунке 1а. В соответствии с ним ФМ-сигналы можно записать как:

 (3)

 (4)

 (5)

 (6)

 

Рисунок 1. Фазовое созвездие ФМ-4/QPSK (а) и ФМ-8 при повороте созвездия QPSK (б)

Если фазовое созвездие QPSK является устоявшимся, то для ФМ-8 существует несколько вариаций. Наиболее распространенным является способ распределения фаз, показанный на рисунке 1б [1]. Изображенное на нем созвездие образуется фактически поворотом на 450 созвездия, приведенного на рисунке 1а. В результате исходную четверку укрупненных символов преобразуют в трехбитовую добавлением ″0″, а полученную - добавлением ″1″. При этом сигналы описываются следующими выражениями:

 (7)

 (8)

 (9)

 (10)

 (11)

 (12)

 (13)

 (14)

Возможна организации ФМ-8 с другим распределением фаз между укрупненными символами по три бита. Таковым, например, может быть последовательная нумерация с шагом 450, созвездие для которого изображено на рисунке 2.

Рисунок 2. Фазовое созвездие ФМ-8 при последовательной нумерации

Модуляция ФМ-8 в соответствии с рис.2 обладает простой схемной реализацией, но далеко не лучшей помехоустойчивостью: это выражается в близости укрупненных символов, отличающихся более чем одним элементом. Так, например, в схеме рис.1б вообще нет ближайших соседних укрупненных элементов, отличающихся тремя битам, а в схеме рис.2 таких пар две: ″000″ и ″111″, а также ″011″ и ″100″. Это в целом лучше характеризует помехоустойчивость первой схемы ФМ-сигналов по сравнению со второй.

Такой частный пример показывает, что сведение укрупненных символов в созвездие при многопозиционной фазовой модуляции имеет множество вариантов, число которых возрастает с увеличением позиционности. Причем выбор конкретного созвездия необходимо осуществлять на основе комплексного анализа условий применения ФМ. К таковым относятся:

1)      информация об источнике сообщений, необходимая для определения априорных вероятностей укрупненных символов;

2)      сведения об ожидаемых воздействиях шумов и помех;

)        возможности по построению аппаратной части системы связи.

 

Формирование функциональной схемы и пример ее функционирования


На рисунке 3 изображена функциональная схема передачи информации с помощью ФМ-8. В соответствии с ней битовая последовательность, которую необходимо доставить от источника к получателю, накапливается для дальнейшей передачи в регистр с тремя двоичными ячейками каждые Т секунд (мс, мкс и т.п.) по управляющему сигналу №1 от устройства синхронизации.

Чуть позднее (на время, необходимое для перезаписи трехбитового регистра новым укрупненным символом) устройство синхронизации дает управляющий сигнал №2 на формирователь сигналов, который на протяжении временного интервала Т генерирует несущую заданной частоты fH с фазой, определяемой исходя из значений сигналов от трехбитового буфера. Таким образом получается сигнал ФМ-8 для каждой тройки битов информационной последовательности.

Рисунок 3. Функциональная схема передачи информации с помощью ФМ-8

Выполним компьютерное моделирование в среде Mathcad для формирования сигналов ФМ-8 при передаче 12-битовой последовательности IP={1,0,1,1,1,1,0,0,1,1,0,0}. Листинг программы с комментариями приведен в приложении 2.

Для формирования сигналов ФМ-8 выберем следующие параметры:

) Т = 1 мс (т.е., максимальная скорость передачи информационной последовательности составит 3 кБит/с);

) fH = 2 кГц (всего в два раза больше, чем 1/Т, для наглядности получаемых временных диаграмм);

) А = 1 В;

) фазовое созвездие в соответствии с рис.1б.

Все восемь сигналов ФМ-8 показаны на рисунке 4.

фазовая модуляция схема передатчик

Рисунок 4. Сигналы ФМ-8 в соответствии с фазовым созвездием рис.1б

Результат, получаемый на выходе схемы рис.3, изображен на рисунке 5. На нем нанесены обозначения укрупненных символов для сопоставления с сигнальным множеством, изображенным на рис.4.

Рисунок 5. Временная диаграмма сигнала на выходе модулятора ФМ-8

Спектр S (f) сигнала, изображенного на рис.5, получим с помощью прямого преобразования Фурье:

Рисунок 6. Спектр S (f) сигнала, изображенного на рис.5

Временная диаграмма сигнала рис.5 с аддитивным шумом в виде нормального стационарного стохастического процесса (математическое ожидание=0, дисперсия=0.3A) показан на рисунке 7:

Фазовая манипуляция:

Фазовая манипуляция (ФМн; английский термин - phase shift keying, PSK), при которой скачкообразно меняется фаза несущего колебания, тоже является частным случаем квадратурной манипуляции (см. далее).

На практике фазовая манипуляция используется при небольшом числе возможных значений начальной фазы - как правило, 2, 4 или 8. Кроме того, при приеме сигнала сложно измерить абсолютное значение начальной фазы; значительно проще определить относительный фазовый сдвиг между двумя соседними символами. Поэтому обычно используется фазоразностная манипуляция (синонимы - дифференциальная фазовая манипуляция, относительная фазовая манипуляция; английский термин - differential phase shift keying, DPSK).

Демодуляция фазовой манипуляции может выполняться тем же методом, что и в случае квадратурной манипуляции (путем умножения на несущее колебание). Применительно к ФМн данный метод демодуляции часто называется корреляционным.

Фазовая манипуляция осуществляется функциями dmod (формируется вещественный выходной сигнал) и dmodce (формируется комплексная огибающая) пакета Communications при указании в них параметра типа модуляции 'psk'. Следующий за ним параметр M указывает количество используемых градаций начальной фазы. Символы, подлежащие передаче, должны принимать целочисленные значения, лежащие в диапазоне 0…M-1. Символу k соответствует значение начальной фазы, равное 2p k/M радиан, или 360k/M градусов.

Построим график сигнала, содержащего все возможные символы при 4-позиционной ФМн:

% формируем ФМн-сигнал

[s_psk, t] = dmod (sy, Fc, Fd, Fs, 'psk', M);

plot (t, s_psk)


На графике видны скачки фазы на 90°, происходящие при переходе от одного символа к другому.

Двухпозиционная фазовая модуляция (BPSK)

Одна из простейших разновидностей цифровой модуляции - двухпозиционная или двоичная фазовая модуляция (BPSK). Этот вид модуляции применяется, например, в области телеметрии дальнего космоса. Значения фазы несущего колебания принимают значение 0 и 180 градусов.

Запишем модулированный сигнал в соответствии с выражением (4):

e (t) =Accos [wct + y (t)] (1)

где y (t) - мгновенная фаза, зависящая от модулирующего сигнала m (t);

Ac - амплитуда сигнала;

Обратите внимание, что с использованием выражения (1) фазовую модуляцию можно осуществить двумя различными способами. Как уже упоминалось выше, начальное значение фазы y (t) может принимать два значения 0 и 180 градусов. В этом случае для реализации фазовой модуляции, как и в частотном модуляторе, потребуются два генератора. Оба генератора должны формировать одну и ту же частоту, но с различной начальной фазой.

При втором способе фазовая модуляция рассматриваться как вариант амплитудной модуляции с активной паузой, где сигнал амплитуды Ac принимает два значения - 1 и +1. Такое изменение значения амплитуды эквивалентно изменению фазы на 180°.

Так как значения амплитуды сигнала - 1 и +1 можно рассматривать как особый вариант логического нуля и единицы, то с использованием бинарной фазовой модуляции BPSK можно передавать обычный двоичный сигнал. Символьная скорость этого вида модуляции составляет 1 бит на символ.

Возможность применения в качестве фазового модулятора обычного умножителя иллюстрируется рисунком 7, на котором на комплексной плоскости показано, что при формировании сигнала двухпозиционной фазовой модуляции квадратурная компонента комплексного сигнала I принимает два значения: - 1 и +1.

Рисунок 1. Полярная диаграмма сигнала двоичной фазовой модуляции (BPSK).

Временная диаграмма фазомодулированного сигнала приведена на рисунке 2. На этом рисунке показан сигнал достаточно низкой промежуточной частоты для того, чтобы были отчетливо видны моменты изменения фазы этого сигнала.

Рисунок 2. Временная диаграмма сигнала двоичной фазовой модуляции (BPSK).

Спектр полученного сигнала приведен на рисунке 9. На этом рисунке видно, что спектр выходного сигнала ничем не ограничен. При применении двоичной фазовой модуляции в реальных радиоканалах спектр сигнала приходится ограничивать тем или иным способом.

Рисунок 3. Спектр сигнала двоичной фазовой модуляции (BPSK).

Первоначально ограничение спектра сигнала производилось при помощи полосового фильтра, включенного на выходе модулятора, однако это приводит к возникновению межсимвольной интерференции. Спектр ограниченного по полосе сигнала с двоичной фазовой модуляцией и временная диаграмма фазы сигнала, полученного на приемном конце с выхода фазового демодулятора, приведены на рисунках 4 и 5 соответственно.

Рисунок 4. Спектр сигнала двоичной фазовой модуляции (BPSK), ограниченного по спектру фильтром Баттерворта восьмого порядка

Рисунок 5. Временная диаграмма изменения фазы при ограничении спектра радиочастотного сигнала (BPSK).

На рисунках 4 и 5 приведена предельная ситуация, когда межсимвольные искажения, возникающие на передающем конце радиолинии, еще не приводят к снижению помехоустойчивости сигнала. В результате ограничения спектра высокочастотное колебание кроме фазовой модуляции приобретает амплитудную составляющую модуляции. Эта ситуация иллюстрируется рисунком 6.

Рисунок 6. Временная диаграмма сигнала двоичной фазовой модуляции (BPSK) при ограничении спектра радиочастотного сигнала.

Описанная проблема долгое время ограничивала скорость передачи данных по радиоканалу, т.к. полосу пропускания фильтра определяли исходя из условия, что переходный процесс фильтра должен был закончиться до момента принятия решения о переданном сигнале в отсчетной точке. Затем Найквист предложил вариант, когда переходный процесс фильтра продолжается в течение времени передачи нескольких последующих передаваемых символов. Единственное условие, которое он наложил на переходную характеристику такого фильтра, это то, что она должна обращаться в ноль в моменты принятия решения (отсчетные точки). На поведение сигнала во всех остальных точках мы не обращаем внимания.

Листинг программы в Matlab:

clear all;

close all;= 2; %frequency of sine wave= 100; %sampling period of the sine wave= 0: 1/fs: 1; %splitting time into segments of 1/fs

%setting the phase shifts for the different BPSK signals= 0;= pi;

%getting the number bits to be modulated= input (‘enter the number of bits to be modulated: N = ‘);

%generating the random signal_stream=round (rand (1,N));

%allocating the dynamic variables= [];_signal = [];= [];_signal = [];

%GENERATING THE SIGNALSii = 1: 1: N

%the original digital signal isbit_stream (ii) == 0= zeros (1,length (t));= ones (1,length (t));

% bit0 = (bit_stream (ii) ==0) *zeros (1,length (t));

% bit1 = (bit_stream (ii) ==1) *ones (1,length (t));

digital_signal = [digital_signal bit];

%Generating the BPSK signalbit_stream (ii) == 0

bit = sin (2*pi*f*t+p1);

else

bit = sin (2*pi*f*t+p2);

end= [PSK bit];

%Generating the carrier wave= sin (2*f*t*pi);_signal = [carrier_signal carrier];= [time t];= t + 1;(3,1,1);(time,digital_signal,’r');on;([0 time (end) - 0.5 1.5]);(3,1,2);(time,PSK);on;

% axis ([0 time (end) - 2 2]);tight;(3,1,3);(time,carrier_signal);on;tight;

Квадратурная модуляция:

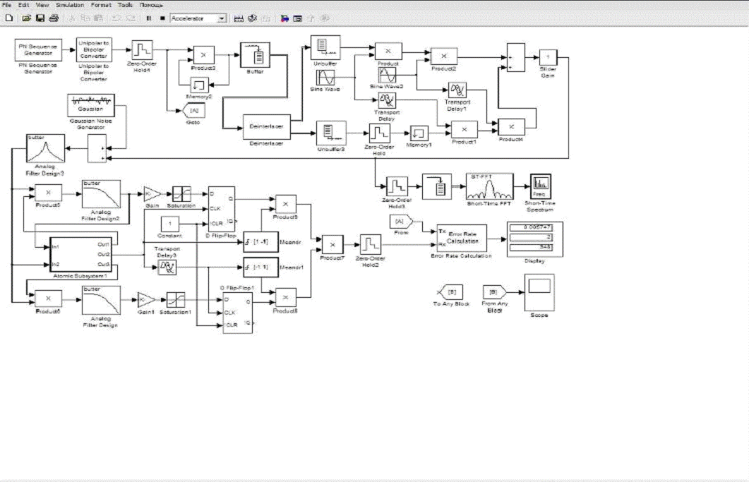
Источником информации является генератор ПСП (PN Sequence Generator). Формула генераторного полинома ПСП в данном контексте значения не имеет. Информационное сообщение  преобразуется к биполярному виду (блок Unipolar to bipolar converter) согласно формуле: . Затем оно подвергается относительному перекодированию: .  принято равным 1. Относительное кодирование необходимо для того, чтобы после сложения модулированных несущих в квадратурных каналах закон модуляции результирующего радиосигнала соответствовал информационному сообщению . Перекодированный таким образом сигнал разделяется на два квадратурных канала: четные биты поступают в синусный канал, нечетные - в косинусный (блок Deinterlacer).

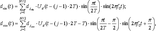
Длительность символов в каждом из каналов увеличивается в 2 раза для сохранения прежней скорости передачи, а косинусный канал сдвигается по фазе относительно синусного на  (блоки Zero Order Hold и Memory1). Затем информационные символы сглаживаются полупериодами синусоиды (блок Sine Wave). В косинусный канал синусоида поступает задержанной во времени на четверть периода (Transport delay). Таким образом, если биты с выхода генератора ПСП имеют длительность , то в квадратурных каналах символы имеют длительность , а сглаживающая синусоида - период . Сглаженные импульсы модулируют по амплитуде несущее колебание  (блок Sine Wave 2). В косинусный канал оно подается со сдвигом фазы на  (Transport delay 1). В итоге сигналы в квадратурных каналах будут иметь вид:

 закон модуляции дискрета.

После сложения квадратурных компонент амплитудная модуляция исчезает, и результирующий радиосигнал становится частотно-модулированным. Блок Slider Gain моделирует усилитель мощности на выходе передатчика. Девиация частоты равна ± 300 Гц, закон модуляции повторяет исходную биполярную последовательность . Соотношение тактовой частоты информационных символов и девиации частоты сформированного ЧМ - сигнала таково, что он относится к классу сигналов MSK (Minimum Shift Keying - сигнал с минимальным частотным сдвигом). Затем сформированный сигнал пропускается через ограниченный по полосе канал связи с аддитивным белым гауссовским шумом и принимается квадратурным приемником, в котором над сигналом производятся операции, обратные описанным выше, для восстановления информационной последовательности.

Схема модели в Simulink изображена на рисунке 7. Временные диаграммы, поясняющие процесс формирования сигнала, представлены на рисунке 8.

Рис.7. Модель системы передачи информации с квадратурным формированием и обработкой MSK-сигнала.

Рис.8. Временные диаграммы работы квадратурного модулятора QAM-сигнала.

На рисунке 8 1-й график - цифровая последовательность с выхода генератора ПСП, 2-й график - она же, преобразованная в сигнал БВН (Без Возврата к Нулю - биполярный), 3-й график - после относительного перекодирования,

-й график - четные символы перекодированной последовательности в синусном канале, 5-й график - нечетные символы перекодированной последовательности в косинусном канале, 6-й график - сглаженные синусоидой символы в синусном канале, 7-й график - сглаженные синусоидой символы в косинусном канале, 8-й график - амплитудно-модулированная несущая в синусном канале, 9-й график - амплитудно-модулированная несущая в косинусном канале, 10-й график - результирующий MSK-сигнал.

Схема модели квадратурного приемника, а также анализатор спектра, измеритель вероятности ошибки и осциллограф изображены в нижней части рисунка 7. Временные диаграммы, поясняющие процесс квадратурной демодуляции MSK-сигнала, представлены на рисунке 9.

Рис.9. Временные диаграммы работы квадратурного демодулятора QAM-сигнала

Здесь на 1-ом графике представлен радиосигнал после ограничения по полосе (блок Analog Filter Design 3 - фильтр Баттерворта 2-го порядка с полосой 4 кГц - в заданном диапазоне работы системы (38 кГц), 2-й график - радиосигнал, умноженный на несущую частоту (перемножитель вместе с низкочастотным фильтром представляет собой преобразователь частоты к нулю). Это синусный канал квадратурного демодулятора. Для формирования косинусного канала фаза восстановленной несущей частоты радиосигнала поворачивается на 90°. На 3-ем графике представлен сигнал после перемножителя в косинусном канале. На 4-ом и 5-ом графиках изображены осциллограммы сигналов после ФНЧ (Analog Filter Design и Analog Filter Design 2). Фильтры Батеерворта 1-го порядка, полоса их немного больше, чем тактовая частота символов в квадратурных каналах . По форме они отдаленно напоминают сигналы в квадратурных каналах модулятора после сглаживания информационных символов синусоидой. Так как радиосигнал является частотно-модулированным, для дальнейшей обработки его исключим информацию об амплитуде, сохранив информацию о частоте и фазе, пропустив сигнал через усилитель-ограничитель (блоки Gain и Saturation).

В описываемой модели применены схемы восстановления несущего колебания и тактовой частоты информационных символов. Данные схемы помещены в подсистему Atomic Subsystem 1 и представлены на рисунке 10.


Рис.10. Схема восстановления несущей и схема восстановления тактовой частоты принятого сигнала.

Для наглядности на рисунке 11 приведем отдельно исходную информационную последовательность (график 1), сигнал в смеси с шумом (график 2) и принятую квадратурным способом информационную последовательность (график 3).

Рис.11. Передача информации по радиоканалу с шумами.

Спектр сформированного QAM-сигнала, вычисленный с помощью БПФ, представлен на рисунке 12.

Рис.12. Спектр сформированного MSK-сигнала

Модель работает в режиме Accelerator. В схеме присутствует блок (Zero Order Hold 4, после преобразования исходного сигнала к биполярному виду), необходимости в котором, исходя из логики работы, нет, однако в отдельных случаях при попытке подключения осциллографа в отсутствие этого блока появлялось сообщение об ошибке, и процесс симуляции не стартовал.

Список литературы


1)       Денисенко А.Н. Сигналы. Теоретическая радиотехника. Справочное пособие. - М.: Горячая линия-Телеком, 2005. - 704 с.

2)      Прокис Дж. Дж. Цифровая связь. - М.: Радио и связь, 2000. - 800 с.

)        Сергиенко А.Б. Цифровая обработка сигналов. - СПб.: Издательский дом "Питер", 2002. - 608 с.

)        Скляр Б. Цифровая связь. - М.: Вильямс, 2004. - 1104с.

)        Финк Л.М. Теория передачи дискретных сообщений. - М.: Советское радио, 1963 (1970). - 576с.

Приложения

 

Приложение 1. Список сокращений

 

АМ - амплитудная модуляция

ОФМ - относительная фазовая модуляция

КАМ - квадратурная амплитудная модуляция

ФМ - фазовая модуляция

ЧМ - частотная модуляция

BPSK - Binary Phase Shift Key- Quadrature Phase Shift Keying

Приложение 2. Листинг программы в Mathcad

 

Информационная последовательность для передачи (количество элементов должно быть кратно 3):

Длительность сигнала ФМ-8 (мс):

Амплитуда сигнала (В):

Частота несущей (кГц):

,

Фазы укрупненных (трехбитовых) символов:

Функция формирования сигнала ФМ-8:


Итоговый ФМ-8 в соответствии с модуляцией по закону информационной последовательности:


Спектр излучаемого в эфир итогового сигнала ФМ-8:


Добавление шума:

,

Похожие работы на - Фазовая модуляция

 

Не нашли материал для своей работы?
Поможем написать уникальную работу
Без плагиата!
Без нейросетей!