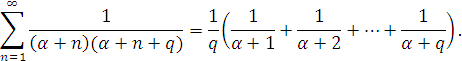
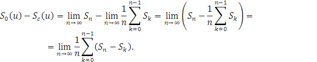
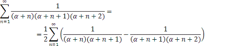
Підсумовування рядів
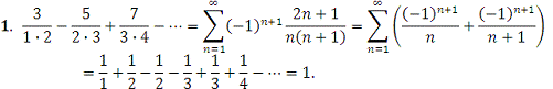
Підсумовування
рядів
Зміст
Вступ
Розділ I. Підсумовування
збіжних рядів
.1 Основні поняття та
означення. Найпростіші властивості числових рядів
.2 Лінійні перетворення рядів
.3 Теорема Абеля і почленне
диференціювання та інтегрування рядів
.4 Послідовність різниць
.5.Перетворення рядів за
Ейлером
.6.Перетворення рядів за
Куммером
Розділ II. Підсумовування
розбіжних рядів
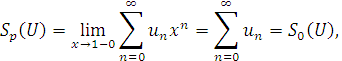
.1 Підсумовуючі функції
.2 Підсумовування за Пуассоном
- Абелем
.3 Лінійність і регулярність
підсумовування за Пуассоном - Абелем
.4 Підсумовування рядів за
Пуассоном - Абелем і їх абсолютна збіжність
.5 Теорема Таубера
.6 Підсумовування за Чезаро
.7 Співвідношення між
підсумовуванням за Чезаро і за Пуассоном - Абелем
.8 Підсумовування за Ейлером
.9 Інші методи підсумовування
розбіжних рядів
Висновки
Короткі біографічні відомості
Список використаної літератури
Вступ
Ряди широко використовуються в
математиці, особливо при дослідженні різноманітних технічних проблем,
пов’язаних з наближеним інтегруванням диференціальних рівнянь, обчисленням
значень функцій та інтегралів, розв’язуванням трансцендентних та алгебраїчних
рівнянь.
Вони відіграють важливу роль у
математиці принаймні з двох причин: є ефективним інструментом математичних
досліджень і одним із найважливіших засобів побудови практичних чисельних
методів.
Широким застосуванням теорії рядів і
пояснюється актуальність теми дипломної роботи. Метою роботи є детальне
вивчення основних методів підсумовування збіжних та розбіжних рядів.
Теорія рядів почала розвиватися в
кінці ХVII ст. але була створена лише в ХІХ ст. на основі поняття границі в
роботах Гаусса, Коші. Багато математиків минулого працювали над проблемою
знаходження суми ряду. Ейлер в статті «О расходящихся
радах» (1754-1755р.) називає ряд збіжним, якщо його
члени прямують до нуля, і розбіжним в іншому випадку. Надаючи кожному ряду
числове значення, яке Ейлер називає сумою ряду, він підкреслює, що частинні
суми не завжди мають точне значення, рівне сумі.
Отже, підсумовувати ряд вдалось в
тому випадку, коли ряд збіжний: задача підсумовування зводилась лише до
відшукання границі послідовності частинних сум. Що ж стосується розбіжних
рядів, то в даному випадку застосування частинних сум не дає бажаного
результату. Тому для підсумовування розбіжних рядів необхідно було побудувати
іншу теорію.
Поставимо ряду 
у відповідність деяке число 
, яке будемо називати його сумою.
Ми можемо вважати, що маємо справу з функцією 
, визначеною для деяких рядів і яка
приймає числові значення. Функцію 
будемо називати підсумовуючою
функцією. Прикладом такої підсумовуючої функції може бути
Ця функція визначена на
множині всіх збіжних рядів, і для кожного збіжного ряду її значення рівне
звичайній сумі цього ряду. Так, визначену конкретну підсумовуючу функцію
позначимо через 
Можна побудувати надзвичайно
велику кількість підсумовуючих функцій. Для виправдання своєї назви вони
повинні мати властивості звичайних сум. По-перше, підсумовуюча функція 
не повинна суперечити звичайному
підсумовуванню збіжних рядів. Іншими словами,якщо 
- деякий збіжний ряд, то значення 
повинне існувати і бути рівним 
. Підсумовуюча функція 
, яка має цю властивість,
називається регулярною.
По-друге, для будь-яких двох
рядів 
і 
і чисел 
і 
з існування значень 
і 
слідує існування значення 
і рівність
Підсумовуюча функція, яка має
цю властивість називається лінійною.
Наукова робота складається з
двох розділів - «Підсумовування збіжних рядів» та «Підсумовування розбіжних
рядів». У першому розділі мова йде про збіжні ряди. Розглядаються основні
поняття з теорії та подано основні методи підсумовування збіжних рядів: метод
Абеля, Ейлера, Кумера та інші. Наводиться ряд прикладів на застосування
вказаних методів.
Другий розділ повністю
присвячений розбіжним рядам. Тут зясовується суть задачі підсумовування
розбіжних рядів, вводиться означення підсумовуючої функції, наводиться ряд
способів підсумовування розбіжних рядів, над якими працювали такі вчені як
Пуассон, Абель, Чезаро, Ейлер. Також розглядаються інші методи підсумовування
розбіжних рядів.
Розділ I.
Підсумовування збіжних рядів
1.1 Основні поняття та означення.
Найпростіші властивості числових рядів
Нехай 
- деяка послідовність чисел.
Означення.
Числовим рядом називають вираз
Числа 
називаються його членами, а 
загальним членом.
Утворимо скінчені суми:
ці суми називаються
частинними сумами числового ряду.
Означення. Якщо
існує скінченна границя
послідовності частинних сум,
то ряд (1.1) називається збіжним, а число 
вважають його сумою і
записують:
Якщо ж границя (1.2)
нескінченна або зовсім не існує, то ряд (1.1) називають розбіжним і
вважають, що він суми не має.
Найпростішим прикладом
нескінченого ряду є геометрична прогресія
Її частинна сума буде
Якщо 
, то 
має скінченну границю:
то ряд збігається і 
буде його сумою.
Розглянемо деякі властивості
збіжних рядів.
1. Якщо ряд
збіжний і має суму 
, то ряд
Також збіжний і сума його
дорівнює 
. Іншими
словами, збіжний ряд можна множити почленно на одне і те саме число.
2. Збіжні ряди можна почленно додавати
та віднімати, тобто якщо ряди
збіжні і мають суми
відповідно 
та 
, то збіжними є також ряди
і суми їх дорівнюють 
.
3. На збіжність ряду не впливає
відкидання або приєднання до нього
скінченної кількості членів.
. (Необхідна умова збіжності
ряду.) Якщо ряд
збіжний, то
При дослідженні на збіжність
знакододатних рядів, тобто рядів з невід’ємними членами, найчастіше
користуються такими достатніми умовами (ознаками) збіжності, як ознаки
порівняння, ознаки Д’Аламбера і Коші та інтегральна ознака Коші.
Теорема1 (ознаки
порівняння). Нехай задано два ряди з невід’ємними
членами
і для всіх 
виконується
нерівність
Тоді, якщо
ряд (1.4) збіжний, то збіжний і ряд (1.3). Якщо ряд (1.3) розбіжний, то
розбіжний і ряд (1.4)
Теорема 2 (гранична
ознака порівняння). Якщо задано два ряди з додатними членами
причому
існує скінченна, відмінна від нуля границя
то ряди або
одночасно збіжні, або одночасно розбіжні.
Теорема 3
(ознака Д’Аламбера). Якщо для ряду з додатними членами (1.6) існує границя
) ряд
збіжний при 
;
) ряд
розбіжний при 
Теорема 4
(ознака Коші) Якщо для ряду (1.6) з додатними членами існує
границя
то цей ряд
збіжний при 
і розбіжний
при 
Розглянемо ряд, в яких знаки
членів строго чергуються:
де 
. Цей ряд досліджується на збіжність
за допомогою такої достатньої ознаки.
Теорема 5
(ознака Лейбніца) Ряд (1.8) збіжний, якщо :
При цьому сума ряду додатна і не
перевищує першого його члена.
Візьмемо довільний знакозмінний ряд
де числа 
можуть мати довільний знак.
Одночасно розглянемо ряд, утворений з модулів ряду (1.11):
Для знакозмінних рядів
справедлива така ознака збіжності.
Теорема 6. Якщо
ряд (1.12)
збіжний, то збіжний і ряд (1.11).
Знакозмінний ряд (1.11)
називають абсолютно збіжним, якщо ряд(1.12), утворений з модулів його
членів, є збіжним.
Якщо ж ряд (1.11) збіжний, а
ряд (1.12), утворений з модулів його членів розбіжний, то ряд (1.11) називають умовно
збіжним.
Розглянемо функціональні
ряди,тобто ряди членами якого є функції визначені на деякій множині 
Якщо взяти довільне число 
і в ряді
(1.13) покласти 
то дістанемо
числовий ряд
Цей ряд може бути як збіжним,
так і розбіжним. Якщо ряд (1.14) є збіжним, то точка 
називається точкою збіжності
функціонального ряду (1.13). Якщо ж ряд (1.14) є розбіжним, то точка 
називається точкою розбіжності
ряду (1.13). Множина всіх точок збіжності функціонального ряду називається областю
його збіжності.
Частинна сума функціонального
ряду є функцією від 
і визначається за аналогією з
числовими рядами:
У кожній точці 
, яка належить області збіжності
ряду (1.13), існує скінченна границя
яку називають сумою ряду
(1.13) і записують
Функціональний ряд (1.13)
називається рівномірно збіжним на множині 
, якщо для довільного 
існує таке число 
, яке залежить лише від 
і не залежить від 
, що для всіх 
і для всіх 
виконується нерівність 
Теорема 7 (ознака
Вейєрштрасса). Функціональний ряд (1.13) абсолютно і рівномірно збіжний на
відрізку 
якщо існує знакододатний збіжний
числовий ряд
такий що
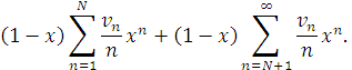
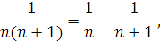
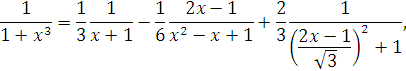
1.2 Лінійні перетворення рядів
З’ясуємо збіжність і знайдемо суму
ряду
Зауважимо, що при будь-якому n=1,2,…
Розглянемо ряд
Очевидно, для цього ряду
…………………………..
Для
парного: 
а для 
непарного: 
Звідси видно, що
ряд (1.18)
збігається.
Приклади:
Наступна теорема може
розглядатися як узагальнення цього прийому:
Теорема 1.
Нехай для ряду

+
+...+
… (1.19)
знайдеться
така збіжна послідовність 
, 
, …,
, … із границею T, що для будь-якого
цілого додатного q і для всіх n=1, 2, … виконується 
=
.
Тоді
Доведення.
Позначивши через 
n-ту частинну суму ряду (1.19), для будь-якого n
маємо

.
При необмеженому зростанні
n кожна із змінних 
за умовою прямує до T, і отримаємо
(1.20).
Приклади:
1. Візьмемо довільне ціле додатне q.
Тоді для будь-якого α,
що не є цілим невід’ємним числом
Покладемо
Очевидно, що
і застосування доведеної теореми дає
. Для ряду
можемо представити
(очевидно тут при збільшенні
n
) а q=1 і одержимо
Якщо 
то після множення ряду на 
отримаємо
Подальше узагальнення доведеної
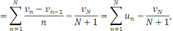
теореми полягає в наступному:
Теорема 2.
Нехай для ряду

+
+...+
… (1.21)
знайдеться
така збіжна послідовність 
, 
, …,
, … із границею T, і такі і додатні
числа 
що
і для будь -
якого n=1, 2, …

(1.22)
Тоді ряд
(1.21) збігається і
Доведення.
Виразимо всі члени даного ряду (1.21) у вигляді (1.22) і так випишемо ці вирази
одне під другим, щоб складові, що містять t з однаковими індексами
розташовувались по одній вертикалі для економії місця здійснимо цей запис у
формі таблиці 1(числа, які стоять в заголовках стовпців, множаться на всі
числа, які стоять у відповідному стовпці і всі такі добутки сумуються). Т1
Суми чисел в кожному із
стовпців, які лежать між суцільними вертикальними лініями, рівні нулю, а із
зростання n всі числа 
прямують до спільної границі T.
Звідси випливає (1.23). Зручно користуватись цією теоремою при T=0.
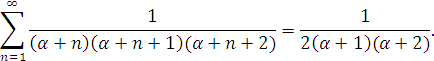
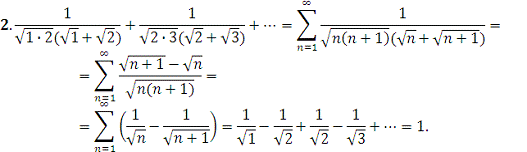
Приклади:
1. Для ряду
маємо
Тому його сума рівна
. Для ряду
буде
так, що сума цього ряду буде рівна
. Сума ряду
рівна 
. Сума ряду
рівна
1.3 Теорема
Абеля і почленне диференціювання та інтегрування рядів
Значення суми рівномірно збіжного на
деякому проміжку функціонального ряду дозволяє переходити до похідних або до
первісних його членів, знаходити суми іншого ряду. Нажаль, не завжди можна
скористатись цим способом при обчисленні суми функціональних рядів на межі
області їх збіжності. Наступні міркування відкривають в цьому напрямку
достатньо широкі перспективи.
Теорема
(принцип збіжності) Якщо 
- деяка послідовність функцій, то
для того, щоб вона рівномірно в області D збігалась до граничної функції 
(x), необхідно і достатньо, щоб для
кожного 
>0 знайшлося таке n, що для
будь-якого т≥
і для всіх x
D виконувалось 
Теорема
(критерій збіжності) Для того щоб функціональний ряд 
збігався рівномірно в деякій області
D, необхідно і достатньо, щоб послідовність його частинних сум 
мала наступну властивість: яке б не
було 
існує таке n, що при будь-якого m≥
0
для всіх x 
має місце 
Теорема.
Якщо
ряд

збігається,
то степеневий ряд

збігається
рівномірно на сегменті 
Доведення.
Збіжність ряду (1.24)
згідно з критерієм Коші означає, що для будь-якого 
знайдеться таке n, що для
всіх m
виконується нерівність
Крім того, для будь-якого
x
(
Таким чином опинились в
умовах леми.
Лема. Якщо
послідовність 
монотонна і 
для всіх 
то 
Ця лема оцінює в даному
випадку частинні суми ряду
тобто ряду
Ця лема дає
Оскільки ця оцінка являється
рівномірною по x, сформульований вище критерій збіжності Коші стверджує
рівномірну збіжність ряду (1.25) на сегменті 
Теорема Абеля. Якщо
степеневий ряд
має радіус
збіжності R, причому збігається (не обов’язково абсолютно) і при x = R, то
збіжність буде рівномірною на всьому сегменті 
а сума ряду - неперервною зліва в
точці x = R функцією, тобто
Симетричне твердження має
місце у випадку збіжності ряду (1.26) при x = -R.
Доведення. За
попередньою теоремою ряд (1.26) збігається на сегменті 
рівномірно. Тоді його сума є
неперервною функцією від x на всьому сегменті 
і в частинному випадку має місце
(1.27).
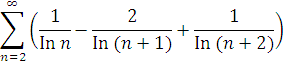
Приклади:
1. Розглянемо, наприклад, розклад в
ряд
Очевидно, ряд який стоїть
справа збігається рівномірно при 
і тому про інтегрувавши в межах від
0
отримаємо
При x =0,1маємо
Цей ряд - знакозмінний. Тому
його залишок не перевищує останнього відкинутого члена. Звідси отримаємо
значення
з п’ятьма знаками.
Ряд при x = 1
збігається,тому згідно доведеної теореми маємо
2. Якщо про інтегрувати ряд
в межах від 
отримаємо
За допомогою цієї формули
можна обчислювати логарифм чисел. Обчислимо, наприклад, 
Так як записаний ряд (1.30)
збігається і при 
,(за теоремою Абеля) отримаємо
3. Запишемо розклад

,
справедливий для 
Інтегруючи його почленно від 0 до
деякого x
одержимо
Ряд, який стоїть справа
збігається при x = 1, а інтеграл який стоїть зліва є неперервною
функцією своєї верхньої границі. Це дає нам можливість обчислити суму ряду
Розкладають підінтегральну
функцію (1.32) на
елементарні дроби
або після перетворення
останнього доданку, отримаємо
Звідки
при x = 1, отримаємо
1.4
Послідовність різниць
Означення. Послідовністю
різниць (точніше перших різниць) для послідовності
називається
послідовність
де 
Послідовністю
(перших) різниць для послідовності (1.34) є
де 
Вона
називається послідовністю других різниць для початкової послідовності (1.33).
Аналогічно визначаються
послідовності третіх, четвертих і так далі різниць. Взагалі, якщо для
послідовності (1.33) визначена послідовність k
тиx різниць
то послідовністю (k+1)-х
різниць для її називається послідовність
де 
Іноді сама послідовність називається
послідовністю своїх нульових різниць, і це відображається в позначенні:
Члени різних послідовностей різниць
даної послідовності (1.33) зручно розташовувати в наступному «трикутному»
вигляді:

………………………
Згідно з означення різниць їх
можна знаходити послідовно одн за другим. Разом з тим можна знаходити зразу як
завгодно високі прирости і не по-порядку.
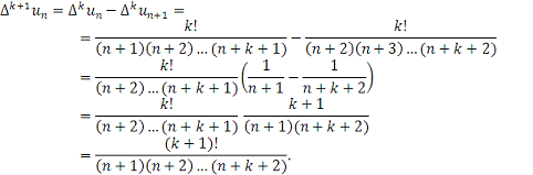
Лема. Для
будь -яких n і k
Доведення. Доведення
ведеться математичною індукцією по k.
При k =1формула (1.37)
набере вигляду
що справедливо на основі
означення.
Припустимо тепер, що формула
(1.37) справедлива при даному k і будь-яких значеннях n.
Замінивши n на n+1, отримаємо
Одержуючи із формули (1.37)
формулу (1.38) почленно і об’єднуючи справа доданки з однаковими номерами
членів u, маємо

(1.39)
Враховуючи те, що
а за означенням
формулу (1.39) можна
переписати так
що й треба було довести.
Наслідок. Вважаючи
у формулі (1.37) n = 0 для довільного k маємо
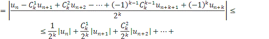
.5 Перетворення рядів за Ейлером
Означення. Перетворенням
Ейлера називається перехід від ряду
до ряду
Лема.
Якщо ряд (1.42) збігається то для будь-якого n =0, 1, 2, …
Доведення.
Оцінимо вираз, який стоїть під знаком границі. Згідно з лемою попереднього
пункту маємо
Зауважимо, що сума всіх коефіцієнтів
при модулях тут рівна одиниці, так що сума будь-якого набору цих коефіцієнтів
не перевищує одиниці.
Для будь-яких k і 
можемо записати
Виберемо тепер довільне 
і знайдемо у зв’язку із збіжністю
ряду (1.41) таке 
, що 
для всіх 
. В силу зробленого зауваження про
коефіцієнти другий доданок (1.44) справа менший за 
.
Значить
Отже
(в чому легко переконатися,
застосовуючи r раз правило Лопіталя з диференціюванням по k), і
тому можна знайти таке k, починаючи з якого
Таким чином, права частина
(1.44) із зростання k стає меншою за 2
, і нерівність 
доводить наше твердження.
Теорема. Якщо
ряд (1.41) збігається, то одержаний в результаті його перетворення за
Ейлером ряд (1.42) також збігається, і їх суми рівні:
Довести цю теорему можна з
використанням теорії подвійних рядів, зокрема теореми Маркова.
Приклади:
. Візьмемо ряд
і складемо послідовності його
різниць:
……………………………………
Неважко перевірити, що для ряду
(1.46)
Дійсно будемо доводити методом
математичної індукції.
При 
це справедливо:
Припустивши, що такий вигляд
мають 
і 
, ми отримаємо
так що за означенням (
) -ї різниці
В частинному випадку,
Звідси випливає, що
перетворення Ейлера ряду (1.46) дає
і ми отримаємо рівність
2. Для ряду
послідовності різниць будуть такі:
………………….
Припустимо, що тут
Для перевірки цього припущення
методом математичної індукції напишемо
і складемо різницю
Бачимо, що припущення (1.47)
підтвердилось. Відповідно при 
маємо
Таким чином, перетворення
Ейлера дає
Перетворення рядів за Ейлером
в багатьох випадках прискорює їх збіжність. Але це справджується не завжди.
1.6 Перетворення рядів за Кумером
Зручно обчислювати значення суми
збіжних рядів, використовуючи такі прості міркування. Для знаходження суми ряду
можна замінити його іншим рядом із відомою сумою, а потім лише підсумовувати
«різницю» між ними. Якщо «різниця» швидко спадає, то й складений із нього ряд
буде збігатися досить швидко. Ці міркування запропонував Кумер.
Теорема. Якщо
збіжні ряди, причому
то для будь
-якого 
і в
частинному випадку, при 
Доведення. Очевидно:
Якщо в умовах даної теореми
так, що ряд який стоїть в
середній частині (1.48) збігається швидше ніж вихідний ряд.
Приклади:
1. Для ряду
складемо допоміжний ряд з відомою
сумою:
Тут
Тому
Якщо взяти в перетвореному ряді,
наприклад, 9 членів, то похибку можна оцінити так
тобто вона в 100 разів менша
похибки, одержаної при взяті того ж самого числа членів у вихідному ряді.
. Для ряду
скористаємось тим самим допоміжним
рядом « зворотних квадратів». Завдяки тому, що
будемо мати
Очевидно, коефіцієнт, який
з'являється при членах ряду, спадає приблизно як 
Розділ II.
Підсумовування розбіжних рядів
.1
Підсумовуючі функції
У попередньому розділі для
збіжного числового ряду
в якості його суми розглядали
границю послідовності його частинних сум
І припускали, що ця границя
існує, причому вона скінченна.
Різноманітні факти із області
математичного аналізу висунули в другій половині XIX ст. питання про можливість
підсумовування розбіжних рядів у деякому новому розумінні. Деякі методи такого
«підсумовування» виявилися особливо зручними. Треба сказати, що до створення
Коші строгої теорії границь (і зв’язаної з нею теорії рядів) розбіжні ряди
нерідко зустрічалися в математичній практиці. Хоча їх застосування при
доведеннях часто призводило до суперечок, але тим не менше, робились спроби
надавати їм навіть числове значення. Так розбіжному ряду
ще за часів Лейбніца в якості
«суми» приписувалось число 
Ейлер, наприклад, мотивував це тим,
що із розкладу
(який насправді справедливий
лише для 
) при постановці питання не
вистачало чіткості, бо довільність у виборі розкладу залишав відкритою
можливість із іншого розкладу (де 
і 
довільні, 
)
отримали одночасно 
Сучасний аналіз ставить
питання по іншому. В основу покладемо деяке сформульоване означення
«підсумовуючої функції», що стосується цілого класу таких рядів.
Поставимо ряду 
у відповідність деяке число 
, яке будемо називати його сумою.
Ми можемо вважати, що маємо справу з функцією 
, визначеною для деяких рядів і яка
приймає числові значення. Функцію 
будемо називати підсумовуючою
функцією.
Прикладом такої підсумовуючої
функції може бути
Ця функція визначена на
множині всіх збіжних рядів, і для кожного збіжного ряду її значення рівне
звичайній сумі цього ряду. Так, визначену конкретну підсумовуючу функцію
позначимо через 
Всі підсумовуючі функції, які
будемо згадувати далі прийнято зв’язувати із іменами математиків, які їх ввели.
Для «звичайної» підсумовуючої функції 
цього не роблять. Однак звичайне
підсумовування рядів справедливо було б називати «підсумовуванням за Коші».
Можна побудувати надзвичайно
велику кількість підсумовуючих функцій. Для виправдання своєї назви вони
повинні мати властивості звичайних сум.
По-перше, підсумовуюча
функція 
не повинна суперечити звичайному
підсумовуванню збіжних рядів. Іншими словами,якщо 
- деякий збіжний ряд, то значення 
повинне існувати і бути рівним 
. Підсумовуюча функція 
, яка має цю властивість,
називається регулярною.
По-друге, для будь-яких двох
рядів 
і 
і чисел 
і 
з існування значень 
і 
слідує існування значення 
і рівність
Підсумовуюча функція, яка має
цю властивість називається лінійною.
.2
Підсумовування за Пуассоном-Абелем
Означення. Якщо
підсумовуюча функція 
визначається рівністю
то таке
підсумовування називається підсумовуванням за Пуассоном-Абелем.
Приклади:
1. Для ряду
підсумовування за Пуассоном-Абелем
дає
. Розглянемо ряд

Для нього
Але для будь-якого 
, близького до 1, але меншого за 1,
ряд який стоїть під знаком границі збігається. А тому:
Підсумовуючи ряди які стоять справа,
одержимо:
. Розглянемо ряд
Тут границя
не існує, тому згідно з необхідною
умовою збіжності ряду (2.1) розбігається.
Підсумуємо цей ряд за
Пуассоном-Абелем. Для цього візьмемо довільне 
розглянемо ряд
і складемо ряд з модулів членів
цього ряду:
Ознака збіжності Коші дає нам, що
Отже останній ряд збігається. Це
означає, що ряд (2.2) збігається абсолютно, а тому - збігається. Знайдемо його
суму.
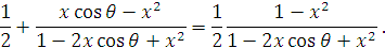
Зазначимо, що 
дійсна частина комплексного числа 
Тому
є дійсною частиною виразу
Або, підсумовуючи дану геометричну
прогресію, отримаємо
Множення чисельника і знаменника
цього дробу на комплексне число, спряжене знаменнику, дає нам
Після очевидних обчислень
виявляється, що дійсна чистина цього виразу рівна
Таким чином (підкреслимо, що
припускаємо 
2.3
Лінійність та регулярність підсумовування за Пуассоном-Абелем
Лінійність підсумування за
Пуассоном-Абелем випливає із того, що для будь-яких рядів 
і 
Встановимо регулярність цього
підсумовування.
Теорема. Якщо

збіжний ряд, то він підсумовується
за методом Пуассона-Абеля і 
Доведення.
Складемо за рядом 
степеневий ряд
Із збіжності ряду 
випливає, що радіус збіжності
степеневого ряду (2.4) не менше одиниці, причому при 
цей ряд збігається. Тому в другій
теоремі Абеля сума ряду (2.4) неперервна в точці 
зліва, тобто
теорему доведено.
2.4
Підсумовування рядів за Пуассоном-Абелем і їх абсолютна збіжність
Різниця між абсолютною
збіжністю ряду і його умовною збіжністю з точки зору підсумовування за Пуассоном-Абелем
зберігається, наприклад, ряд
за Пуассоном-Абелем
підсумовуємо, але ряд, який складається із модулів його членів, тобто ряд
ні. Тут ця різниця
виявляється слабшою, ніж у випадку звичайної збіжності.
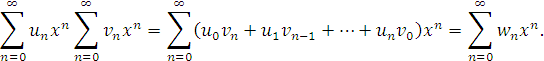
Означення.
Нехай нам дано ряди 
Добутком цих
рядів будемо називати ряд 
в якому

Для абсолютно збіжних рядів 
має місце наступна рівність
Якщо ж обидва ряди 
збігаються, але лише умовно, то це
очевидне на перший погляд співвідношення не виконується (втрачає зміст його
перша частина).
Наприклад. Нехай кожен із
рядів 
є
Тоді для члена 
ряду 
, який є добутком 
маємо:
Внаслідок того, що
тут повинно бути
тобто ряд 
не задовільняє необхідну умову
збіжності, і сума 
не існує.
Однак з точки зору
підсумовування за Пуассоном-Абелем різниця в цьому питанні між абсолютною і
умовною збіжністю втрачається.
Теорема. Якщо
ряди 
підсумовувані за Пуассоном-Абелем,
то їх добуток 
також підсумовуємо за
Пуассоном-Абелем, і
Доведення.
Підсумовування рядів 
,за теоремою Пуассона-Абеля означає
збіжність степеневих рядів
Звідси, за теоремою Абеля
кожен такий ряд збігається, причому абсолютно. Але тоді за теоремою про
множення абсолютно збіжних рядів
Ліва частина цієї рівності за
умовою при 
має границю рівну добутку 
Значить, і права його частина має
границю, яка за означенням дорівнює 
Таким чином, з точки зору
множення радів підсумовування рядів за Пуассоном - Абелем навіть «ближче» до
скінченних сум ніж підсумовування рядів у звичайному розумінні.
Приклади:
. Нехай обидва ряди 
є одним і тим же рядом

тобто 
Тоді 
тобто ряд
Тому за тільки що доведеною
теоремою
2. Розглянемо ряд
Він не збіжний навіть умовно,
оскільки
Однак цей ряд може бути отриманий в
результаті перемноження ряду
і геометричної прогресії
В нашому випадку
і підсумовування скінченної
геометричної прогресії, яка стоїть у дужках дає можливість знайти 
Нагадаємо, що сума ряду (2.7)
за Пуассоном-Абелем рівна 
, а прогресія (2.8) збігається в
звичайному розумінні (а значить і за Пуассоном - Абелем) і має суму рівну 2.
Звідси ряд (2.6) також
збігається за Пуассоном - Абелем і його сума дорівнює
2.5 Теорема
Таубера
В результаті різного роду
перетворень, зокрема, в результаті переходів від одних рядів до інших, можемо
отримати ряди сумовні за Пуассоном-Абелем. Прикладом їх можуть бути розглянуті
в попередньому параграфі добутки рядів. У всіх потрібних випадках може
викликати інтерес з’ясування збіжності цих рядів у звичайному розумінні.
Таким чином, виникає питання
про ознаки збіжності спеціально для тих рядів які є сумовними за
Пуассоном-Абелем. Ці ознаки, які відносяться до рядів, що підсумовуються за
Пуассоном-Абелем, так і до рядів, що підсумовуються будь-яким іншим методом,
зазвичай називаються тауберовими теоремами. Історично перша з них,
належить самому Тауберу, полягає в наступному
Теорема
Таубера.
Для того, щоб сумовний за Пуассоном - Абелем ряд
що має суму 
, збігався в звичайному розумінні (
і мав суму
) необхідно і достатньо щоб
виконувалось граничне відношення
Частинну теореми Таубера, яка
стосується необхідності, виділимо як самостійну лему.
Лема. Якщо
збігається ряд (2.9) то має місце (2.10).
Доведення.
Нехай ряд (2.9) збігається і 
-тий його залишок. Збіжність ряду
означає, що
Далі маємо
Таким чином,
За (2.11) друга границя
справа тут рівна нулю. Якби перша границя не існувала або була відмінна від
нуля, то знайшлося б таке 
що при як завгодно великих значеннях

виконувалася б нерівність
Знайдемо тепер у
відповідності із збіжністю ряду (2.9) таке 
, що при 
а за ним - таке 
, що
Число 
можна брати скільки завгодно
великим. Візьмемо його таким, щоб було одночасно
Запишемо
Із (2.14) випливає, що тут
перший доданок менший ніж 
Із (2.13) випливає що другий
доданок менший за 
Значить, з урахуванням (2.15)
А це суперечить (2.12), лема
доведена.
Переходимо до доведення
достатності. Почнемо з того частинного випадку, коли члени ряду (2.9) спадають
настільки швидко, що
Покладемо
Із (2.16) випливає, що із
збільшення 
величина 
монотонно прямує до нуля.
Візьмемо довільне 
і запишемо
Зауважимо, що при 
повинно бути
і
Користуючись цими оцінками і
властивостями 
можемо оцінити перші два доданки в
(2.17) справа:
і
Тому із (2.17) випливає, що
Візьмемо довільне 
і виберемо 
так, щоб було 
тобто 
Візьмемо тепер 
настільки великим, щоб виконувалась
нерівність
а 
залежне від 
настільки близько до одиниці, щоб
виконувалась нерівність
Тоді в (2.19) ліва частина
може бути оцінена як
і довільність 
доводить збіжність ряду (2.9).
Виділені умовами (2.16) частинний випадок доведений. Розглянемо тепер загальний
випадок. Покладемо
і (умовно) 
Тоді, при 
так що
або,пересунувши на одиницю
нумерацію у другій сумі справа, маємо
звідси
Розглянемо тепер вираз
який представимо у вигляді
Візьмемо тут довільне 
і виберемо у відповідності до (2.10)

настільки великим, щоб при 
було 
В цьому випадку з урахуванням (2.18)
для будь-якого 
буде
Далі, наближаючи 
до одиниці можемо отримати
Враховуючи (2.21) і (2.22)
отримаємо, що при значеннях 
достатньо близьких до одиниці
Звідси випливає (оскільки
ліва частина цієї нерівності не залежить від 
що
з рівності (2.20) отримаємо
Але за умовою підсумовування
рядів ліва частина рівна тут 
Тому
Розглянемо тепер допоміжний
ряд
Для нього маємо згідно (2.10)
Тому опиняємось в умовах уже
розглянутого частинного випадку. Тим самим від (2.23) можемо перейти до
рівності
Нарешті маємо для будь-якого 
звідси
Тут границя справа за умовою
рівна нулю, і з (2.24) маємо
Таким чином, ряд (2.9)
збігається і його сума рівна 
2.6
Підсумовування за Чезаро
Розглянемо ще одну
підсумовуючу функцію, що відрізняється від функції 
що приводить до звичайної суми ряду,
так і від функції 
що приводить до суми за
Пуассоном-Абелем.
В якості такої функції для
ряду 
візьмемо границю середніх
арифметичних частинних сум 
цього ряду, тобто
Таке розуміння суми ряду
називається його підсумовування за Чезаро.
Приклади:
1. Для ряду 
маємо
Тому
Звідси, 
2. Для ряду 
буде
Значить
При збільшенні 
послідовності цих сум ні до якої
границі не прямує. Таким чином, розглянутий ряд за Чезаро не підсумовується.
Метод підсумовування Чезаро є
лінійним. Дійсно, якщо 
ряди, то
Доведемо, що підсумовування
за Чезаро є і регулярним,тобто якщо ряд 
збігається і 
то він підсумовується за Чезаро і 
.
Маємо
Розглянемо різницю
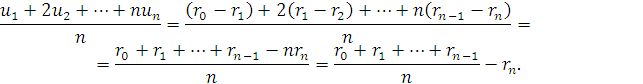
Очевидно, тут 
не входить в жоден доданок останньої
суми, 
входить лише в один, 
входить тільки в два і так далі.
Таким чином,
згідно леми,для збіжного ряду
остання границя рівна нулю.
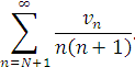
Зручна необхідна ознака
підсумовування ряду Чезаро подається в наступній теоремі.
Теорема. Для
того щоб ряд 
підсумовувався за Чезаро, необхідно,
щоб
Доведення.
Нехай 
-та частинна сума ряду 
(причому 
), і припустимо, що границя
існує. Тоді, очевидно, і
так що
Але тоді повинно бути і
і із останніх двох рівностей
випливає, що
2.7
Співвідношення між підсумовуванням за Чезаро і за Пуассоном-Абелем
Підсумовування за Чезаро
«слабше» ніж підсумовування за Пуассоном - Абелем. Зокрема має місце така
теорема.
Теорема. Якщо
ряд
підсумовується за Чезаро, то він
підсумовується і за Пуассоном-Абелем, і
Доведення.
Нехай ряд 
підсумовується за Чезаро і має в
цьому розумінні суму 
Звідси випливає на основі
попереднього пункту, що
Це в свою чергу означає, що
для будь-якого 
починаючи з деякого номера, буде 
Далі, ряд
збігається для довільного 
як в цьому можна переконатися,
використовуючи, наприклад, ознаку збіжності Даламбера. Звідси, для довільного 
збігається ряд
Але (покладемо умовно
)
і повторюючи ці міркування ще
раз, одержимо
Розглянемо тепер ряд
і помножимо його на себе.
Отримаємо
тобто
Враховуючи (2.25), отримаємо
Для будь-якого натурального 
сума, яка стоїть справа, можна
розбити на дві частини: одну, яка охоплює всі доданки для 
від 0 до 
і другу, яка містить всі інші
доданки:
Виберемо 
таким, щоб для довільного 
було
Тоді для будь-якого 
одержимо (збільшуючи, якщо треба, 
ще більше)
Крім того, зафіксувавши 
і вибравши 
достатньо близьким до одиниці, можна
добитися того, щоб було
Із (2.26), (2.27) і (2.28)
випливає, що
тобто 
що й треба було довести.
Обернена теорема не справедлива:
існують ряди, які підсумовуються за Пуассоном-Абелем, але не підсумовуються за
Чезаро. Так ряд
підсумовується за Пуассоном-Абелем,
але не підсумовується за Чезаро.
Із доведеної теореми випливає, що
якщо ряд підсумовується за Чезаро то він підсумовується і за Пуассоном-Абелем.
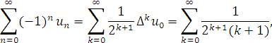
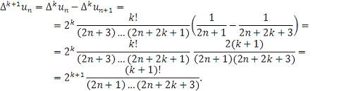
2.8 Підсумовування за Ейлером
Теорема про збіжність перетвореного
за Ейлером ряду у випадку збіжності вихідного ряду і про рівність в цьому
випадку їх сум носить односторонній характер: із збіжності перетвореного за
Ейлером ряду не обов’язково випливає збіжність вихідного ряду.
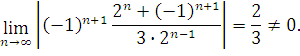
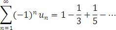
Приклад.
Візьмемо ще раз ряд
Маючи на увазі, що перетворення
Ейлера проходить від знакозмінної послідовності членів ряду, перший рядок
трикутної таблиці матиме вигляд
а всі наступні рядки складаються з
одних нулів. Звідси випливає, що перетворення Ейлера перетворює ряд (2.29) в
ряд
з сумою 
На основі цього можна ввести
підсумовуючу функцію 
визначену для ряду
рівністю
і називати 

його підсумовуванням за Ейлером.
Неважко перевірити, що підсумовування за Ейлером є лінійним. Його регулярність
є наслідком теореми попереднього пункту. За Ейлером піддаються підсумовуванню
багато рядів, які різко розбігаються. Так для ряду
послідовностями різниць є
Так що перетворення Ейлера
приводить в даному випадку до ряду
сума якого рівна 
2.9 Інші методи підсумовування
розбіжних рядів
) Метод Г.Ф.Вороного
Нехай маємо додатню числову
послідовність 
і
Із частинних сум 
ряду

складемо
вираз
Якщо 
при 
то 
називається «узагальненою сумою»
ряду (2.30) в розумінні Вороного при заданному виборі послідовності 
.
Лінійність методу очевидна.
Для регулярності методу Вороного необхідною і достатньою є умова
2) Узагальнені методи Чезаро
Раніше розглянутий метод
середніх арифметичних є найпростішим із нескінченної послідовності методів
підсумовування, запропонованих Чезаро. Фіксуючи натуральне число 
, Чезаро вводить варіанту
і її границю при 
розглядає як «узагальнену суму» (
-го порядку) ряду (2.30). При 
отримаємо знайомий вже метод Чезаро
або метод середніх арифметичних.
Надалі неодноразово будемо
використовувати таке співвідношення між коефіцієнтами 
:
Воно доводиться методом
математичної індукції відносно 
, якщо виходити з відомого
співвідношення.
Перш за все, покажемо, що
методи Чезаро всіх порядків є частинними випадками регулярних способів
Вороного. Для цього достатньо покласти 
, випливає, що 
, і до того ж, очевидно,
З допомогою тієї ж рівності
(2.31), користуючись самим означенням величин 
, встановлюється, що
Ця рівність дає змогу
обґрунтувати взаємозв’язок між підсумовуванням за Чезаро 
го і 
го порядку. Зокрема, якщо ряд (2.30)
допускає підсумовується за методом Чезаро довільного порядку, то він допускає і
підсумовування будь-якого вищого порядку, і притому до цієї ж суми
3) Метод Бореля
Суть цього методу полягає в
наступному: за рядом (2.30) і його частинними сумами 
будується вираз
Якщо останній ряд збігається,
хоча б для достатньо великих значень 
і його сума при 
має границю 
, то це число є «узагальненою сумою»
в розумінні Бореля для даного ряду (2.30).
Доведемо регулярність методу
Бореля. Припустимо збіжність ряду (2.30) і позначимо його суму через 
, а залишки 
через 
. Маємо (для достатньо великих 
)
Задамо довільне мале число 
; знайдеться такий номер 
що для 
буде 
. Представимо останній вираз у
вигляді суми
Другий доданок за абсолютною
величиною 
, яке не було 
, а перший є добутком 
на многочлен, цілий відносно 
, є абсолютно 
при достатньо великих 
. Регулярність доведена.
Приклад.
Підсумувати ряд 
методом Бореля.
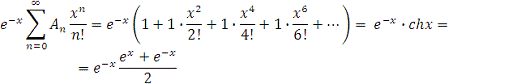
Побудуємо вираз
Оскільки, 
то
Знайдемо границю цього виразу
при 
:
Отже, сума заданого ряду за
Борелем рівна 
З розглянутого в розділі II
випливає, що для розв’язання задачі про підсумовування розбіжних рядів можна
використовувати різноманітні способи. При цьому необхідно обґрунтувати їх
лінійність та регулярність. Інколи два методи дають одному і тому ж розбіжному
ряду різні узагальнені суми.
Висновки
В дипломній роботі розглянуто
основні методи підсумовування збіжних та розбіжних рядів.
Робота складається із вступу
і двох розділів.
В першому розділі розглянуто
основні поняття з теорії рядів, методи підсумовування збіжних рядів. До них
відносять: лінійні перетворення рядів, методи Ейлера та Куммера.
В другому розділі
розглядається підсумовування розбіжних рядів. Вводиться поняття суми розбіжного
ряду, що задовольняє умовам регулярності і лінійності. Після цього
розглядаються основні методи підсумовування таких рядів як метод Пуассона і
Чезаро. Встановлюється співвідношення між ними. Крім того з’ясовується суть
інших методів (Ейлера, Вороного, Бореля).
Під час роботи над вказаною
темою опрацьовано і систематизовано теоретичний матеріал про підсумовування
збіжних та розбіжних рядів з різних джерел. Самостійно розв’язано ряд прикладів
на застосування розглянутих методів підсумовування рядів.
Короткі
біографічні відомості
Абель (Abel),
Нільс Генріх
(5/08 1802 - 6/04 1829) - знаменитий норвезький математик. Народився в м.
Йорстеді, на півдні Норвегії, в сім’ї пастора.
Спочатку навчався в кафедральній школі, потім в університеті м. Осло. Слава
прийшла до математика після його смерті. За своє коротке життя Абель встиг
зробити важливі відкриття в алгебрі, аналізі й теорії функцій. Дуже важливу
роль у подальшому розвитку математики відіграли праці цієї видатної людини про
розв’язність алгебраїчних рівнянь. Вчений заклав основи загальної теорії
інтегрування алгебраїчних функцій. Інші важливі праці Абеля стосуються теорії
рядів. Його ім’ям названа знаменита теорема про неперервність суми степеневого
ряду на замкненому відрізку. У галузях математики зустрічається ряд теорем
Абеля, є Абелеві інтеграли, рівняння Абеля, Абелеві групи, формули Абеля,
перетворення Абеля, ознаки збіжності Абеля та ін.
Вороний
Георгій Феодосійович (28/04 1868 - 20/11 1908) - російський
математик, за національністю українець. Народився у с. Журавці (тепер
Чернігівська область), навчався у Петербурзькому університеті. У 1894 р.
захистив магістерську дисертацію «Про цілі алгебраїчні числа, які залежать від
кореня незвідного рівняння 3-го степеня ». У 1897 р. захистив докторську
дисертацію «Про одне узагальнення алгоритму неперервного дробу», в якій дав
нові алгоритми для обчислення основних одиниць у загальному кубічному полі
алгебраїчних чисел від’ємного і додатного дискримінантів, які й досі лишаються
найкращими. Важливі відкриття зробив в геометрії чисел та многогранників. Його
праця «Дослідження про примітивні паралелоедри» стосується і теорії
квадратичних форм, і геометрії. А праця «Про одну задачу з теорії асимптотичних
функцій» стимулювала розвиток сучасної аналітичної теорії чисел.
Ейлер (Euler), Леонард
(15/04 1707 - 18/09 1783) - визначний математик, фізик, механік і астроном.
Діставши початкову домашню освіту, Ейлер вступив до гімназії в м. Базелі.
Леонард зайнявся виключно математикою під керівництвом Й. Бернулі. У 1730 Ейлер
очолив кафедру фізики, а згодом його обрали академіком математики. Став відомим
на всю Європу. У 1767 р. втратив повністю зір, це було величезним горем для
нього. Але він продовжував наполегливо працювати, диктуючи свої твори. Одним з
найкрупніших відкриттів Ейлера було розв’язання знаменитої проблеми
ізопериметрів і створення класичних методів варіаційного числення.
Коші (Cauchy),
Огюстен Луї (21/08
1789 - 23/05 1857 ) - видатний французький математик, член Паризької АН.
Народився в м. Парижі. Закінчив Політехнічну школу і Школу мостів і шляхів у
Парижі і деякий час працював інженером шляхів сполучення (у м. Шербурзі), а з
1813 р. повністю присвятив себе науковій і викладацькій роботі. Праці Коші
стосуються різних галузей математики (здебільшого математичного аналізу) і
математичної фізики. Вони відкрили нову епоху в розвитку математичних наук.
Продуктивність вченого була величезною: були періоди, коли він щотижня подавав
до Паризької АН новий мемуар; усього ж він написав і опублікував понад 800
праць з арифметики і теорії чисел, алгебри і математичного аналізу, теоретичної
і небесної механіки, математичної фізики. Коші був членом Лондонського
Королівського товариства і академій наук майже всіх країн світу. Повне зібрання
творів Коші видала Паризька АН.
Пуассон (Poisson)
Сімеон Дені (21/06
1781 - 25/04 1840) - французький механік, фізик і математик, професор, член
Паризької АН, почесний член Петербурзької АН. Народився в м. Пітієвє. Науковий
добуток Пуассона величезний. Він написав понад 300 праць, значна частина яких
відіграла важливу роль у становленні сучасної науки, а деякі його праці не
втратили свого значення і тепер. У математиці істотне значення мають праці
Пуассона, присвячені визначеним інтегралам, рівнянням у скінчених різницях,
диференціальним рівнянням з частинними похідними, теорії
ймовірностей,варіаційному численню, рядам. У теорії рядів він перщий почав
досліджувати закономірності розкладання функцій двох змінних за кульовими
функціями, підсумовувати ряди і цим заклав основи сучасної теорії узагальненого
підсумовування розбіжних рядів.
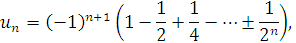
Таубер
Альфред
(05/11 1866 - після 1933) - австрійський математик. Народився в м. Пресбурзі.
Закінчив Венський університет. В 1891-1933 працював у цьому університеті (з
1919 - професор). Дослідження відносяться до математичного аналізу і теорії
чисел. Вивчав перетворення Лапласа. Довів ряд теорем, встановлюючи умови, при
яких підсумовування більш слабкий метод (Тауберові теореми); перша з них була
сформульована в 1897р. Тауберові теореми застосовуються в багатьох областях
математики.
Чезаро (Cesaro),
Ернесто
(12/03 1859 - 12/09 1906) - італійський математик. Народився і помер у Неаполі.
Був професором Неапольського університету. Працював над теорією розбіжних
рядів. Широко застосовується в ученні про розбіжні ряди так званий метод
підсумовування середніми арифметичними, або метод Чезаро, розроблений ним у
зв’язку з проблемою множення рядів за правилом Коші. Значний внесок зробив
Чезаро і в створенні так званої натуральної геометрії, специфічна особливість
якої полягає в тому, що в ній криві й поверхні визначаються через величини, які
не змінюються при перетвореннях координат. Йому належить фундаментальна праця
«Елементарний підручник алгебраїчного аналізу і числення нескінченно малих».
Список
використаної літератури
ряд збіжний
лінійність підсумовування
1. Воробьев Н.Н. Теория рядов. 6-е
узд. стереотипное. - СПб.: Издательство «Лань», 2002.-408с.
2. Давидов М.О. Курс
математичного аналізу: Підручник: У Зч. Ч1. Функції однієї змінної. - 2-е вид.
- К.: Вища школа, 1990.-383 с.
. Дубовик В.П. Юрик І.І. Вища
математика: Навч. пос.-К.:А.С.К. 2005.-648.
. Еремов А.В, Математический
анализ (специальные разделы). Ч1. Общие функциональные ряды и их приложение. -
М.: Выш. Шк.,1980.-436 с.
. Маркушевич А.И. Ряды:
Елементарный очерк. - М.: Наука, 1957.-400 с.
. Прудников А.П. Интегралы и
ряды. Елемент. функц. - М.: Наука, 1981.
. Фихтенгольц Г.М. Курс
дифференциального и интегрального исчисления. 7-е изд. стереотипное.Т2 - М.:
Наука, 1969.-845 с.
. Фихтенгольц Г.М. Основы
математического анализа -М.:Наука, 1969.800.
. Харди Г. Расходящиеся ряды.
- М.:Ил, 1951. - 504с.
10. Шунда Н.М., Томусяк А.А, Практикум
з математичного аналізу. Інтегральне числення. Ряди.- К.: Вища школа, 1995.-541с.