Спектры комбинационного рассеяния боратных стекол, приготовленных в разных условиях

  • Вид работы:
    Курсовая работа (т)
  • Предмет:
    Физика
  • Язык:
    Русский
    ,
    Формат файла:
    MS Word
    684,92 Кб
  • Опубликовано:
    2012-11-27
Вы можете узнать стоимость помощи в написании студенческой работы.
Помощь в написании работы, которую точно примут!

Спектры комбинационного рассеяния боратных стекол, приготовленных в разных условиях

Содержание

Введение

. Общие сведения о взаимодействии излучения с веществом

. Установка для получения спектров комбинационного рассеяния

. Анализ спектров комбинационного рассеяния

.1 Анализ низкочастотной части спектра КР

.2 Обработка полученных экспериментальных спектров с целью улучшения их качества

Вывод

Список литературы

Введение

При исследованиях широкого круга вопросов, связанных с физикой и химией системы SrO2B2O3, проводимых в ИФ СО РАН, возник целый ряд проблем, одной из которых является проблема кристаллизации тетрабората стронция из расплавов и стекол. В частности было установлено, что характер кристаллизации стекол зависит от условий, в которых эти стекла приготовлялись. Возникло предположение о том, что различное поведение стекол при кристаллизации может быть обусловлено структурными нюансами, имевшими место в заготовках подвергавшихся кристаллизации. Рентгеноструктурные исследования не позволили выявить этих отличий, однако, известно, что в ряде работ информация о наличии тех или иных структурных групп, в частности, в боратных стеклах, была получена при анализе спектров комбинационного рассеяния.

Целью настоящей работы является анализ спектров комбинационного рассеяния стекол состава SrO2B2O3, которые по литературным данным ранее не исследовались.

1. Общие сведения о взаимодействии излучения с веществом

КОМБИНАЦИОННОЕ РАССЕЯНИЕ (КР) СВЕТА, с одной стороны, представляет собой интереснейшее оптическое явление, а с другой стороны, является методом исследования движения и поведения молекул, структуры и динамики решетки, кристаллических образцов, а также структурных элементов стекол. С оптической точки зрения это явление заключается в исчезновении кванта излучения, падающего извне на среду, и возникновении кванта, отличающегося по частоте от исчезнувшего на величину, равную частоте колебания, которое возникает либо исчезает в этой среде. Таким образом, в спектре рассеянного света имеются еще добавочные линии, спутники или сателлиты, сопровождающие каждую из линий первичного света. Они представляют собой две системы линий, лежащих симметрично по обе стороны возбуждающей линии. С повышением температуры интенсивность «фиолетовых» спутников возрастает. Таким образом, в спектрах КР содержится информация о частотах собственных колебаний исследуемой среды, которые определяются её структурой на атомном уровне и межатомными взаимодействиями. В нашей работе КР будет применяться для исследования стронциево-боратных стёкол.

Микроскопический механизм КР и ИК поглощения:

Микроскопический механизм ИК поглощения заключается в следующем. При парном взаимодействии между атомами электрическое поле падающего излучения взаимодействует с заряженными атомами молекулы. Когда частота излучения достаточно мала и сравнивается с частотой собственных колебаний молекулы, квант света поглощается, а в системе возникает квант колебаний. Более сложная, двухатомная, молекула обычно обладает набором различных колебаний, и мы наблюдаем в этом случае спектр инфракрасного поглощения. Основное отличие между ИК поглощением и КР состоит в том, что в первом случае падающее излучение взаимодействует с колеблющимися атомами, а в случае КР рассеяния взаимодействие происходит с электронной системой этих атомов. Когда частота электромагнитной волны больше чем частота атомных колебаний, и меньше, чем частота дипольного электронного перехода, происходит следующее: электронная система в состоянии реагировать на изменение электрического поля, а атомная - нет. Поэтому существует небольшая вероятность того, что падающий фотон возбуждает электрон системы в виртуальное состояние.

Принято считать, что время жизни электрона в виртуальном состоянии очень мало, порядка половины периода колебания электрического поля падающей волны, после чего электрон вынужден покинуть его, испуская квант света с той же самой энергией (частотой), что и энергия падающей волны, порождая комбинационное рассеяние (Рэлеевское). Однако даже за то короткое время, что электрон находится в виртуальном состоянии, благодаря электрон-колебательному взаимодействию в системе возможно возникновение кванта колебаний, после чего электрон возвращается в начальное состояние с испусканием кванта света с энергией, меньшей энергии падающего фотона на энергию возникшего колебания (фотона). При этом в спектре рассеяния света мы будем наблюдать основную линию частот и сателлиты частот, разница в частотах которых с частотой падающего излучения равна частоте возникающих в системе колебаний. Это и есть комбинационное (рамановское) рассеяние, или же стоксово-рамановское рассеяние.

Рассеяние света молекулами следует рассматривать, как столкновение фотонов с молекулами, в результате чего фотоны меняют направление своего полета, т.е. рассеиваются в стороны. Рассеивание фотонов могут быть как упругими, так и неупругими. В первом случае энергия молекулы и частота не меняются, что соответствуют рэлеевскому рассеянию. При неупругом столкновении энергия фотона увеличивается или уменьшается в соответствии с величиной колебательного кванта. Если свет взаимодействует с молекулой, не находящейся в состоянии колебания, то он отдает молекуле опр. часть энергии и превращается в излучение меньшей частоты. Если же наоборот, то он может отобрать от молекулы эту энергию и превратиться в излучение большей частоты.

Когда частота падающего излучения велика, и приближается к частоте разрешенного оптического перехода, между различными электронными состояниями молекулы, наблюдаем спектр поглощения в УФ и видимой области.

Число молекул, находящихся в состоянии колебания, значительно меньше числа молекул невозбужденных, и поэтому интенсивность фиолетового спутника должна быть несравненно меньше, нежели красного, что и наблюдается на опыте. Опыт показывает, что интенсивность красных сателлитов всегда больше интенсивности фиолетовых.

Интенсивность комбинационной линии частоты опр. тем, насколько значительно меняется поляризуемость молекулы при колебании молекулы, соответствующей этой частоте.

Согласно соотношению E=hω, изменение энергии фотона проявляется в изменении его частоты. Из закона сохранения энергии мы видим, что частота рассеянного фотона больше, чем падающего, т.е. в рассеянном свете появляется фиолетовый сателлит.

Вынужденное комбинационное рассеяние (ВКР, когерентно с падающей волной): возникает при обратном воздействии световой волны на молекулу среды.

Стимулированный аналог спонтанного комбинационного рассеяния наз. вынужденное комбинационное рассеяние - наблюдается при малых интенсивностях возбуждения, представляет собой спонтанное испускание фотона при исчезновении фотона возбуждающего света.

Стоксовая компонента сама достигает большой мощности и начинает играть роль возбуждающего излучения, испытывая рассеяние с уменьшенной частотой. Ее интенсивности рассеяния слабо зависят от частоты колебания и температуры.

Антистоксово рассеяние есть процесс обратный стоксовому, и ему свойственно не усиление, а ослабление интенсивности. В этом случае интенсивность пропорциональна заселенности колебательного состояния и убывает экспоненциально с возрастанием частоты колебания и понижением температуры, что позволяет оценить нам реальную температуру в рассеивающем объеме образца.

Основные результаты наблюдения ВКР, объясняются с помощью представлений об усилении стоксова рассеяния и об интерференции вторичных антистоксовых волн, возникающих в результате «раскачки» ядер молекул под действием возбуждающего и первого стоксова излучений.

2. Установка для получения спектров комбинационного рассеяния

Спектр комбинационного рассеяния исследуемых образцов на спектрометре комбинационного рассеяния света Horiba Jobin Yvon T64000, входящем в состав центра коллективного пользования ИФ СО РАН. Общий вид спектрометра представлен на рисунке 1.

Рисунок 1 - Общий вид спектрометра T64000.

Основными областями применения прибора являются:

·        Определение наличия вещества твердых и жидких веществ

·        Регистрация изменений структуры вещества, фазовых переходов в твердом теле при температурах 520-930 K

·        Определение чистоты материалов

·        Характеризации качества синтеза новых веществ

·        Определение неоднородного пространственного распределения включений примесных веществ в образце с составлением карты распределения примеси

·        Экспресс-контроль технологических производств

·        Излучения временной динамики химических процессов

Основные технические характеристики прибора

Фокусное расстояние

640 мм на всех этапах

Апертура

f /7.5

Дисперсия: однократная тройная

7Å/mm 2.3Å/mm

Решетки:

76х76 мм2

Привод

синусная линейка

Размер шага

0.0066 Å

Механический интервал

от 0 до 1 μm

Щели: субтрактивная промежуточный спектрографический вход

от 0 до 2 мм шириной; 0.5, 1, 2.5, 5, 15 мм высотой, от 0 до 50 мм шириной, от 0 до 15 мм высотой от 0 до 25 мм шириной, от 0 до 15 мм высотой

Порт спектрографа

25 мм незатенённый раскрыв

Описание теоретических основ и эффектов, на которых основано функционирование прибора


Исследуемые вещества

Образцы для исследований твердые (возможно исследование жидких образцов при наличии специальной кюветы)

Возможность изменения внешних условий с указанием диапазона


Время:


предельное время установления рабочего режима, час

прибор готов к работе постоянно

время непрерывной работы, час

время не ограничено

характерное время на одно измерение


время исполнения заказа

зависит от содержания заказа

не определено

ед. измерения:


Количество расходных материалов: наименование материалов, ед. измерения


Себестоимость измерения


Форматы данных, выдаваемых прибором


Программы для конвертации и обработки полученных данных


Способы получения информации для заказчика: флэш-память, дискета, CD, e-mail, твердая копия и т.д.




Рисунок 2 - Оптическая схема спектрального прибора

В спектрометре можно снимать спектр в двух случаях:

) в специальной камере

) под микроскопом.

При этом возбуждающее излучение фокусируется, причем положение перетяжки в пространстве можно менять, сдвигая объектив микроскопа с помощью специального барабана с лимбом. Таким образом, можно установить перетяжку возбуждающего пучка либо на поверхность образца, либо на определенную глубину.

3. Анализ спектров комбинационного рассеяния

Типичный вид спектра комбинационного рассеяния стекла состава SrO2B2O3 приведен на рис.3.

Рисунок 3 - Спектр комбинационного рассеяния

Весь диапазон спектра на этом рисунке условно можем разбить на две части - от 0 до 400 см-1 и от 400 до 1600см-1. Согласно литературным данным, в частности работе [1], вторая часть спектра содержит полосы, обусловленные колебаниями тех или иных характерных структурных групп в стекле. Первая, низкочастотная часть спектра, согласно ряду работ в частности [2] представляет собой так называемый бозонный пик.

.1 Анализ низкочастотной части спектра КР

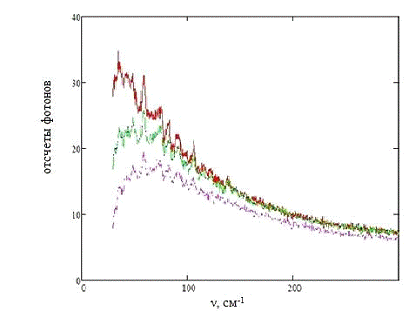
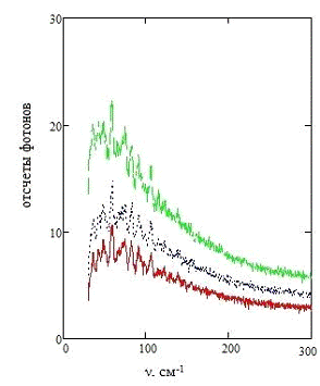
В процессе исследования были получены спектры 2 образцов стронциево-боратного стекла полученных в равных условиях. Основное отличие образцов заключается в том, что затвердевание образца 1 происходило в атмосфере аргона. Затвердевание образца 2 происходило в атмосфере при повышенной концентрации кислорода 50%. Предыдущие исследования показали, что приготовленные таким образом образцы демонстрируют различное кристаллизационное поведение. Образцы стекла были приготовлены в тиглях и имели толщину в 100 микрон. Спектры комбинационного рассеяния образца 1 в области бозонного пика, полученные при разных положениях перетяжки возбуждающего излучения, приведены на рисунках 4 и 5. Как можно видеть эта область характеризуется достаточно большим уровнем шумов. На данном этапе анализа мы ограничились качественным определением положения максимума бозонного пика. Эти значения приведены в таблице 1.

Таблица 1 - положения максимума бозонного пика

Образец №

Условие приготовления

Высота положения перетяжки относительно дна тигля, 1 мкм.

Положение max бозонного пика

1 (положение перетяжки на дне тигля соответствует на лимбе 98 мкм)

в аргоне

7

57



10

54



12

58



15

57



17

47



20

48



22

37



27

49



32

58

2(положение перетяжки на дне тигля соответствует на лимбе 15 мкм.)

с добавлением 50% кислорода

1

37



3

30.4



5

24.6


Образец 1:как видно из рисунков и таблицы, в образце, приготовленном в аргоне, имеется сдвиг максимума бозонного пика в сторону меньших значений в интервале положений перетяжки от 17 до 27 микрон от дна тигля

Рисунок 4 - Спектр комбинационного рассеяния при высоте перетяжки: сплошной линией-5микрон, пунктирной линией-10 микрон, штрих-пунктирной линией-15 микрон

Рисунок 5 - Спектр комбинационного рассеяния при высоте перетяжки: сплошной линией-20 микрон, пунктирной линией-20 микрон, штриховой линией-25 микрон, штрих - пунктирной линией- 30 микрон

3.2 Обработка полученных экспериментальных спектров с целью улучшения их качества

рассеяние спектр боратный стекло

Экспериментальные спектры комбинационного рассеяния в низкочастотной области, приведенные на рис.5, кроме широкого бозонного пика содержат так же узкие пики, которые затрудняют нахождение максимума бозонного пика. Как показала практика работы со спектрометром Т 64000, источником этих пиков является лазер Spectra Physics Stabilite 2017, который кроме основной лазерной линии, являющийся источником возбуждения комбинационных спектров, излучает отдельные спонтанные линии, которые можно рассматривать как шум. Устранить эти шумы оптическими методами не удалось, однако существует возможность уменьшить эти шумы путем последующей компьютерной обработки уже полученных спектров, для этой цели необходимо попытаться построить спектральную модель шумовых пиков и вычесть эти шумы из экспериментальных спектров. Данная задача затрудняется тем, что амплитуда и форма шумовых пиков являются вариабельными и в разных экспериментальных спектрах выглядят по- разному. В то же время чистка каждого из спектров индивидуально вне связи с другими спектрами, содержала бы достаточно большой элемент произвола. В последующем, нашей задачей стала общая формула, которая была бы применима для каждого из спектров, описывающая, с наибольшей точностью, контур спектральных линий.

шум= Iспек- (1)

где Iшум- интенсивность шумов данного контураспек- интенсивность исходного спектр

Pi- рассчитанный пик, исходного спектравысота, расположения пика

Рассчитываем выбранный пик спектра:

i= (2)

где h- высота, расположенного пикаамплитудаi- координаты, пика по оси абсциссвершина пикапериод колебаний

Построение единичных пиков исходного спектра с использованием формулы (2).

Рис.6 - Спектр комбинационного рассеяния, приготовленный в аргоне: штриховая линия - исходный спектр, сплошная линия- 1 пик, пунктирная линия- 2 пик, линия пунктир с точкой-3 пик, двойная сплошная- 4 пик, точечная линия- 5 пик, сплошная точечная- 6 пик, точечная- 7 пик, штриховая точечная - 8 пик

Рис.7 - Исходный спектр - пунктирной линией, сплошная линия- спектр, полученный при расчетах в программе MathCAD 14, сплошная линия-спектр полученный при вычитании рассчитанного нами спектра из исходного, используя формулу (1)

Таблица 2 - SrO2B2O3 данный образец был изготовлен в аргоне


Высота положения перетяжки относительно дна тигля, 1 мкм.

Положение max после чистки спектра(см-1)

ωмакс (см-1)

Rc корреляционный радиус

положение перетяжки на дне тигля соответствует на лимбе 98 мкм

3

65.7

64,8

7,5


8

40.25

62,6

7,2


20

37.8

31,8

3,7


25

52.2

49

5,6


30

54.9

42,3

4,9

асчеты корреляционного радиуса образца SrO2B2O3 приготовленного в аргоне при разном положении перетяжки относительно дна тигля:

высота перетяжки, мкм

ω(макс)cм-1

Rс корреляционный радиус (см)

3

64,8

7,46442E-08

8

62,6

7,211E-08

20

31,8

3,6631E-08

25

49

5,64439E-08

30

42,3

4,87261E-08


Вычислили корреляционный радиус SrO2B2O3 в аргоне на разной высоте положения перетяжки относительно тигля от 3 до 30 мкм. По формуле

с=Vt/ (ωmax*2*π*с) (3)

где с- скорость света,t- скорость поперечных волн,

ωmax-частота в максимуме интенсивности, которая была получена нами в ходе работы над спектрами в программе MathCAD 14.

Вывод

. Таким образом, в образце, сделанном в аргоне предположительно, обнаружена аномальная область вблизи дна тигля. А эта область находится не на самом дне тигля, а на некотором расстоянии выше него, она характеризуется сдвигом положение максимума бозонного пика в сторону меньших значений. Исходя, из теории бозонного пика это свидетельствует, об уменьшении радиуса корреляции характеризующего степень ближнего порядка структуры стекла. Подобная локальная аномалия может оказать определенное влияние на процессы кристаллизации.

. Разработана методика отчистки спектров в области бозонного пика от приборных шумов. С этой целью построена обобщенная модель шумового вклада в спектры, и произведено вычитание шумов из экспериментальных спектров, полученных на образце, приготовленном в аргоне. Определены уточненные значения положения бозонных пиков и абсолютные значения корреляционных радиусов. Отработанные методики будут использоваться дальше при исследовании образцов получаемых в настоящее время по улучшенным технологиям.

Список литературы

1. Pascuta P, Mater Electron / P. Pascuta, R. Lungu, I. Ardelean // J Mater Sci- 2010- №21- P- 548-553.

. Sokolov A.P. // Physical. Review. Letters. A. Kisliuk, M. Soltwisch, D. Quitmann - 1992- -V-№69- P- 1540-1543.

Похожие работы на - Спектры комбинационного рассеяния боратных стекол, приготовленных в разных условиях

 

Не нашли материал для своей работы?
Поможем написать уникальную работу
Без плагиата!
Без нейросетей!