Синтез оптимальной автоматической системы управления гребной электрической установкой
Содержание
Задание на курсовую работу
1.ОПРЕДЕЛЕНИЕ
УСТАНОВИВШИХСЯ ЗНАЧЕНИЙ ПАРАМЕТРОВ N, Id и Ud
2. ОПРЕДЕЛЕНИЕ
ОПТИМАЛЬНОГО УПРАВЛЕНИЕ С ПОМОЩЬЮ LQR ДЛЯ СЛУЧАЯ БЕЗ ВОЗМУЩЕНИЯ
3. НАХОЖДЕНИЕ ПЕРЕДАТОЧНОЙ
ФУНКЦИИ ФИЛЬТРА И ПЕРЕВОД ВО ВРЕМЕННУЮ ОБЛАСТЬ
4. ПОСТРОЕНИЕ РАСШИРЕННОГО
ОБЪЕКТА
5. МОДЕЛИРВАНИЕ С УЧЕТОМ
ВНЕШНИХ ВОЗДЕЙСТВИЙ
Задание на курсовую
работу:
Цель работы: синтезировать оптимальную автоматическую систему управления
гребной электрической установкой (ГЭУ) для функционирования в следующих случаях:
) Без учета возмущений
) С учетом случайных внешних воздействий
) С учетом гармонических внешних воздействий.
Дана структурная схема ГЭУ
Рис 1.
Структурная схема ГЭУ
В соответствии с заданием даны параметры ГЭУ, записанные в таблице 1.
Таблица 1
|
kтв
|
Tу
|
ku
|
Ta
|
kn
|
ki
|
Tм
|
kв
|
h3%
|
nном
|
|
50
|
0.0009
|
196
|
0.2
|
1100
|
0.1156
|
1.5
|
80
|
9
|
160
|
Ввод параметров ГЭУ в среде Matlab:
ku=196;=50;=0.0009;=1.5;=0.1156;=0.2;=80;=1100;=18.25; % Вычислено
из схемы=160;
1.ОПРЕДЕЛЕНИЕ
УСТАНОВИВШИХСЯ ЗНАЧЕНИЙ ПАРАМЕТРОВ N, Id и Ud
Используя схему, приведенную на рисунке 1, изменяя значение управления,
добиваемся получения скорости вращения схожей с номинальной nном. В результате моделирования получаем
установившиеся значения тока Id и напряжения Ud. В
модели с помощью дисплеев можно отобразить установившееся значение необходимых
параметров, как показано на рисунке 2.
Рис.2
Определение параметров Id и Ud
В результате проделанной работы при введении управляющего воздействия,
равного 18.25 В получим следующие установившиеся параметры:
n=160 об/минd=2770 Ad=912 B
При этом график переходного процесса скорости ГЭУ будет иметь вид:
Рисунок 3.
График изменения скорости n без
введения регуляторов
2. ОПРЕДЕЛЕНИЕ ОПТИМАЛЬНОГО
УПРАВЛЕНИЕ С ПОМОЩЬЮ LQR ДЛЯ СЛУЧАЯ БЕЗ ВОЗМУЩЕНИЯ
Для получения закона управления необходимо воспользоваться функцией lqr в среде Matlab, которая имеет следующий синтаксис:
[K,S,E] = LQR(A,B,Q,R).
Классическая постановка LQR
задачи имеет следующий вид. Пусть задана математическая модель объекта
управления в виде LTI системы
x -
вектор состояния, u - вектор
управления, y - вектор контролируемых координат, A B, C - матрицы с
постоянными коэффициентами соответствующей размерности. Введем в рассмотрение
обратную связь или регулятор
где K - постоянная матрица коэффициентов
усиления.
На движениях замкнутой системы с нулевыми начальными условиями зададим
интегральный квадратичный функционал
где R - знакоположительная матрица, Q - положительно определенная матрица.
Постоянные компоненты указанных матриц являются весовыми множителями,
определяющими значимость вклада в величину функционала отдельных составляющих
векторов состояния и управления.
Задача LQR-оптимального синтеза состоит в том,
чтобы найти такую матрицу K,
чтобы функционал достигал своего наименьшего значения по отношению ко всем
другим матрицам коэффициентов усиления, обеспечивающим асимптотическую
устойчивость замкнутой системы:
В данной работе выполнено нахождение матрицы А с использованием двух
способов:
) Автоматизированное нахождение матрицы системы исходя из
передаточных функций в составе структурной схемы.
В данном случае производится составление общей передаточной функции
системы и с помощью операций по преобразованию структуры происходит переход к
матрицам системы.
) «Рукопашное» нахождение матрицы А построением системы уравнений
объекта в виде дифференциальных уравнений в форме Коши.
Исходя из данной в задании структурной схемы осуществляется построение
системы уравнений в форме Коши:
Численные значения весовых коэффициентов матрицы Q определяются с использованием выражения:

,
при
этом 
полагаем
равным единице.
После
вычисления весовых коэффициентов производится проверка выполнения равенства
следующего вида:
Таким
образом, программа для расчета коэффициентов K обратных
связей для оптимального управления имеет вид:
%"Автоматизированное"
нахождение матрицы А
TF1=tf([ku*ktv],[Ty
1]);=tf([ki],[Ta*Tm 2*Ta+Tm ki*kn+2]);=ss(TF1*TF2);=SYS.a
B=SYS.b;
%"Рукопашное" вычисление
матрицы А
A1=[-2/Tm ki/Tm 0; -kn/Ta
-1/Ta ku/Ta; 0 0 -1/Ty]
B1=[0; 0; ktv/Ty];
%Проверка равенства собственных чисел
sh=eig(A)=eig(A1)
%Нахождение весовых коэффициентов
Ia=2770, Ud=912
=1/3*(u/N)^2;=q11*(N/2770)^2;=q11*(N/912)^2;
=q11*N^2+q12*2770^2+q13*912^2;u^2==J('Проверка
пройдена')
else('Ошибка')=[q11 0 0; 0 q12 0; 0 0
q13];=lqr(A,B,Q,1)=lqr(A1,B1,Q,1)
Результаты работы программы:
При этом несмотря на различный вид матриц А, их собственные числа равны:
Проверка пройдена. Полученные коэффициенты для двух случаев:
Для того чтобы выбрать один из способов как основной, сравним
функционирование системы с полученными коэффициентами.
Рисунок 4.
Структурная схема с построением оптимального управления.
Поочередно подставляя коэффициенты K и K1 получим следующие результаты.
Рисунок 5.
График изменения скорости при использовании K
Рисунок 6. График
изменения скорости для системы, оптимизированной коэффициентами K1
Из сравнения данных графиков видно, что система с коэффициентами обратных
связей K1 по переменным состояния имеет
лучший переходный процесс. Однако в продолжение работы было замечено, что
матрица А2 неудобна с точки зрения расширения объекта. Таким
образом, в дальнейшем все расчеты производились с учетом того, что система
описывается матрицей А.
В дополнение производится проверка компенсации скорости. Как видно из
рисунка 5 установившееся значение скорости стремится к 113 об/мин.
%Проверка компенсации скорости
b=K1(1)*n+K1(2)*Id+K1(3)*Ud
По результатам работы программы b=7.56 В. При подаче задающего напряжения со значение u+b наблюдается следующий переходный процесс:
Рис. 7.
Переходный процесс при компенсации управления.
3. НАХОЖДЕНИЕ ПЕРЕДАТОЧНОЙ ФУНКЦИИ
ФИЛЬТРА И ПЕРЕВОД ВО ВРЕМЕННУЮ ОБЛАСТЬ
В качестве внешнего воздействия на ГЭУ в данной работе рассматривается
морское волнение. При этом по заданию 3% от выборки волн должны иметь высоту не
менее 9м. Для того чтобы получить волнение в среде Matlab в виде случайного процесса необходимо задать
колебания в виде белого шума и отфильтровать их в соответствии с заданием.
В среде моделирования Simulink есть генератор белого шума с ограниченной полосой частот - Band-Limited White Noise. Этот блок формирует процесс в виде
частотно-ограниченного белого шума. Параметры настройки у него следующие:
1) Noise power - значение мощности белого шума;
) Sample time - значение интервала дискретизации (определяет
верхнее значение частоты процесса);
) Seed- начальное значение базы генератора случайной величины.
Для нашей модели значения следующие: мощности белого шума = 9 Вт;
значение дискрета времени = 0.5, начальное значение базы генератора случайной
величины = 23341.
Передаточная функция фильтра строится исходя из следующих соображений.
Для морского волнения часто используется спектральная плотность мощности в
нормированной форме:

,
где
, 
, h3%- высота волны 3%-ной обеспеченности.
Известно,
что сигнал с такой спектральной плотностью можно получить из сигнала «белый
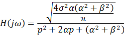
шум», если пропустить его через фильтр, амплитудно-фазовая характеристика (АФХ)
которого H(jω) определяется выражением
где

Передаточная
функция фильтра:
% Расчет фильтра
=9;=1.44*h3^(-0.4);
alfa=0.21*beta;=0.143*(0.5*h3)^2;=sqrt((4*sigma2/pi)*alfa*(alfa^2+beta^2));=tf([H1],[1
2*alfa (alfa^2+beta^2)]);
Таким образом, ПФ фильтра имеет следующий вид:
Рисунок 8.
Экспериментальная схема для получения морского волнения
Рисунок 9.
Случайное морское волнение во временной области с обеспечением 3%-ного критерия
Легко произвести проверку соответствия спектра полученного возмущения и
заданного спектра S(ω) c помощью блока Power Spectral
Density в среде Simulink.
Рисунок 10.
Результат работы блока PSD
Отдельный скрипт для построения спектра морского волнения:
w=0:0.1:10;=(2*alfa/pi)*(alfa^2+beta^2)*1./((alfa^2+beta^2+w.^2).^2-4*beta^2*w.^2);
figure(2)(w,S)
Рисунок
11.Заданный спектр.
Из сравнения приведенных спектральных характеристик следует вывод о
правильности вычисления фильтра в данном пункте.
Для того, чтобы получить гармоническое морское волнение необходимо
избавиться от демпфирующей составляющей ПФ фильтра:

Рисунок 12.
Гармоническое морское волнение
4.
ПОСТРОЕНИЕ РАСШИРЕННОГО ОБЪЕКТА
Имея передаточную функцию фильтра и переходя от частотной области во
временную необходимо принимать во внимание то, что коэффициенты обратных связей
оптимального закона управления не зависят от дисперсии случайного морского
волнения. Таким образом, получим систему дифференциальных уравнений,
описывающих случайное морское волнение:
Запишем
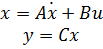
эти уравнения в матричном виде, определив 
и 
как
вектор дополнительных переменных состояния в виде:

,
где
L - матрица размерности 2x2, ω - белый шум.
Тогда
матричное дифференциальное уравнение расширенного объекта имеет вид:
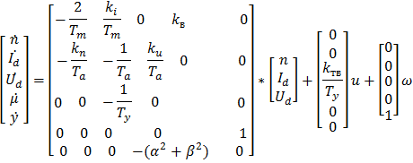
Аналогично
выводится математическое описание для системы с гармоническим возмущением. Для
этого достаточно избавиться от демпфирующей составляющей в системе
дифференциальных уравнений, описывающих морское волнение.
Тогда
оно будет иметь следующий вид:
Тогда
матричное дифференциальное уравнение расширенного второго объекта имеет вид:
Синтезируем
оптимальный регулятор функцией lqr.
C целью решения
дифференциальных уравнений запишем матрицы весовых коэффициентов:
Текст
программы для реализации приведенных построений:
A2=[A1 [kv 0; 0 0; 0 0]; 0
0 0 0 1; 0 0 0 -(alfa^2+beta^2) -2*alfa]=[B1;0;0];=[Q [0 0; 0 0; 0 0 ]; 0 0 0 0
0; 0 0 0 0 0];=lqr(A2,B2,Q2,1)=[A1 [kv 0; 0 0; 0 0]; 0 0 0 0 1; 0 0 0
-(alfa^2+beta^2) 0]5=lqr(A3,B2,Q2,1)
Результаты работы программы:
Полученные коэффициенты для двух случаев:
5. МОДЕЛИРВАНИЕ С УЧЕТОМ ВНЕШНИХ
ВОЗДЕЙСТВИЙ
Решив с помощью функции lqr
уравнения, полученные в предыдущем пункте, получаем оптимальный закон
управления:
Применим данный закон управления для системы управления ГЭУ дополнив
схему, изображенную на рисунке 4 внешним возмущением.
автоматический гребной электрический возмущение
Рисунок 13.
СУ ГЭУ с учетом случайного возмущения.
Рисунок 14.
Переходный процесс скорости n при
задаче оптимального управления с учетом внешних возмущений случайного вида
В данной схеме переменная состояния µ - морское волнение и переменная y - скорость изменения µ берутся из
схемы напрямую, что не является реализуемым на практике, поскольку внешнее
возмущение не поддается измерению. В связи с этим предложено реализовать
вычисление данных переменных состояния из измеряемых, т.е. известных величин.
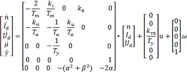
Запишем уравнение для скорости с учетом морского волнения:
Отсюда
Подставив эти выражения в закон управления и объединив коэффициенты при
одинаковых переменных состояния построим управление в Simulink, осуществляющее расчет.
Управление рассчитывается в m-файле:
K4=[-K3(1)-K3(4)*2/kv-K3(5)*ki/kv*kn/Ta,
K3(2)+K3(4)*ki/kv-K3(5)*ki/kv*1/Ta,
K3(3)+K3(5)*ki/kv*ku/Ta,
K3(4)*Tm/kv-K3(5)*2/kv,
K3(5)*Tm/kv]
Рисунок 15.
СУ ГЭУ с учетом случайного возмущения с расчетом µ и y
Рисунок 16.
Переходный процесс скорости при расчете µ и y
Как видно из сравнения рисунков 14 и 16, графики переходных процессов
совпадают, что свидетельствует о корректности закона управления при не
измеряемом возмущении.
Аналогично осуществляется построение закона управления для системы с
гармоническим возмущением:
Рисунок 17.
СУ ГЭУ с гармоническим возмущением
Рисунок 18.
График скорости для СУ ГЭУ с гармоническим возмущением