Расчет узлов установки электроцентробежного насоса для откачки жидкости из нефтяной скважины
1.
Расчет оптимального забойного давления
. Расчет потенциального дебита
скважины
Рассчитаем текущее пластовое давление, зная
статический уровень:
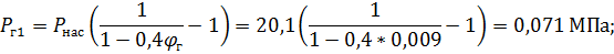
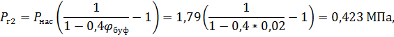
Определяем плотность смеси на участке «забой
скважины - прием насоса»:
Для того, чтобы подобрать насос, необходимо
произвести следующие расчеты:
Определяем глубину расположения динамического
уровня при заданном дебите жидкости:
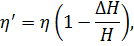
Оптимальное давление на приеме насоса:
3. Расчет оптимальной глубины
погружения насоса
. Расчет глубины спуска насоса
с учетом искривленности скважины
Определяем температуру жидкости на приеме
насоса:
Объемный коэффициент жидкости при давлении на
входе в насос:
Определяем дебит жидкости на входе в насос:
Объемное количество свободного газа на входе в
насос:
Расход газа на входе в насос:
Газосодержание на входе в насос:
Истинное газосодержание на приеме
насоса 
находим по методу А.П.Крылова и Г.С.
Лутошкина:
Критический расход газа:
Поверхностное натяжение
газонасыщенной нефти на границе с выделившимся газом:
Поверхностное натяжение
газонасыщенной нефти на границе с водой 
Истинное газосодержание на входе в
насос:
Работа газа на участке «забой -
прием насоса»:
Работа газа на участке «нагнетание
насоса - устье скважины»:
Где
Потребное давление насоса:
По величине подачи насоса на входе,
потребному давлению (напору насоса) и внутреннему диаметру обсадной колонны выбирается
типоразмер погружного центробежного насоса и определяются величины,
характеризующие работу этого насоса в оптимальном режиме (подача, напор, КПД,
мощность).
Выбираем насос УЭЦН50-1300.[4 с.
114]
Построение паспортной и
фактической характеристик ЭЦН
На отличие реальной характеристики насоса от
паспортной влияют: вязкость реальной продукции, протекающей через насос,
наличие в продукции скважины свободного газа, попадающего в насос и
несоответствие геометрии проточных органов насосов и состояния поверхностей
номинальным расчетным параметрам.
Выбираем ряд подач насоса, а также
оптимальную подачу насоса при 
.
Для выбранных подач с характеристики
насоса определяют соответствующие им напоры и КПД. Значения параметров
представлены в таблице 1.
скважина насос давление погружение
Таблица 1
|
Параметр
|
1
|
2
|
3
|
|
Q,
м³/сут
|
25
|
50
|
70
|
|
H,
м
|
1400
|
1360
|
1005
|
|
η,
%
|
31,5
|
33,5
|
31,5
|
Влияние несоответствия геометрии проточных
органов насосов и состояния поверхностей номинальным расчетным параметрам.
Рассчитываем снижение напора 
при соответствующих подачах
вследствие несоответствия геометрии проточных органов насоса и состояния
поверхностей номинальным расчетным параметрам:
Определяем реальные напор насоса 
и КПД 
:
Результаты заносим в таблицу 2.
Таблица 2
|
Параметр
|
1
|
2
|
3
|
|
Q,
м³/сут
|
25
|
50
|
70
|
|
H',
м
|
1152
|
1112
|
757
|
|
η',
%
|
25,9
|
27,4
|
23,7
|
По полученным расчетным данным
строим зависимости 
. Мощностная характеристика 
остается без изменений. Результат
представлен на рис. 1.
Рисунок 1
Влияние вязкости на характеристику насоса
Найдем значение средней вязкости:
По водяной (скорректированной)
характеристике насоса для оптимального режима определяется подача 
, а из паспортных данных - число
оборотов вала насоса в минуту 
. Полученное значение 
откладывается на шкале подач
номограммы. Из полученной точки проводится вертикальная линия вверх до
пересечения с соответствующей линией числа оборотов 
. Из точки пересечения линий 
и 
проводится горизонтальная линия до
пересечения с линией вязкости 
, соответствующей среднему значению
кинематической вязкости жидкости в насосе. Из точки пересечения этих линий
проводится вертикальная прямая до пересечения ее с соответствующими кривыми
пересчетных коэффициентов: 
. Пересчетные коэффициенты 
определяем по номограмме П.Д.
Ляпкова [Прил.1]. Полученные точки пересечения дают значения пересчетных
коэффициентов для определения подачи, напора и КПД при работе насоса на вязкой
жидкости 
, рассчитываем:
Аналогично находим значения
параметров в других точках. Результаты заносим в таблицу 3.
Таблица 3.
|
Kη
|
KQ
|
KH
|
Q,
м³/сут
|
H,
м
|
η,
%
|
N,
кВт
|
|
1
|
0,86
|
0,97
|
0,95
|
24,3
|
1095
|
22,3
|
13,5
|
|
2
|
0,86
|
0,98
|
0,97
|
49,0
|
1079
|
23,6
|
25,4
|
|
3
|
0,86
|
0,99
|
0,98
|
69,3
|
742
|
20,4
|
28,6
|
С учетом коэффициентов
строим скорректированную
характеристику насоса с учетом вязкости.
Рисунок 2
Влияние свободного газа на характеристику насоса
Для учета влияния свободного газа
используем номограмму [Прил.2]. Из точки с газосодержанием на приеме насоса
проводим вертикаль до пересечения с
линией 
. Из точки пересечения проводим
горизонтальную линию влево до пересечения со шкалой 
, получая точку 0,54, а также вправо
до пересечения с линией 
. Из точки пересечения этих линий
проводим вертикаль вверх до пересечения со шкалой 
, получая точку 0,62 и вниз до
пересечения с линией 
. Из этой точки проводим
горизонтальную линию вправо до пересечения со шкалой 
, получая точку 0,78. Результаты представлены
в таблице 4.
Таблица 4.
|
Q,
м³/сут
|
H,
м
|
η,
%
|
N,
кВт
|
|
1
|
24,3
|
591
|
13,8
|
10,5
|
|
2
|
49,0
|
583
|
14,6
|
19,8
|
|
3
|
69,3
|
401
|
12,7
|
22,3
|
Строим скорректированную характеристику насоса с
учетом влияния свободного газа.
Рисунок 3
. Расчет распределения
температуры по стволу скважины
Температура потока в любом сечении между кровлей
пласта и основанием двигателя насоса находится по формуле:

- геотермальный градиент 
Аналогично считаем значения
температуры в остальных точках. Результаты заносим в таблицу 5.
Таблица 5
|
L,
м
|
Т,
С
|
|
1540
|
21,5
|
|
1600
|
22,2
|
|
1700
|
23,3
|
|
1800
|
24,5
|
|
1900
|
25,7
|
|
2000
|
26,8
|
|
2186
|
29,0
|
Температуры жидкости после
прохождения ПЭД на уровне
:

Температуры жидкости на выходе из
насоса на уровне
:

Температура потока в любом сечении
колонны подъемных труб:
Аналогично находим значения
температур для остальных точек. Результаты заносим в таблицу 6.
Таблица 6.
|
L,
м
|
Т,
С
|
L,
м
|
Т,
С
|
|
0
|
17,6
|
900
|
27,4
|
|
100
|
18,7
|
1000
|
28,5
|
|
200
|
19,8
|
1100
|
29,6
|
|
300
|
20,9
|
1200
|
30,7
|
|
400
|
22,0
|
1300
|
31,8
|
|
500
|
23,1
|
1400
|
32,9
|
|
600
|
24,1
|
1500
|
34,0
|
|
700
|
25,2
|
1525
|
34,3
|
|
800
|
26,3
|
|
|
Рисунок 4
6. Расчет распределения температуры по длине ПЭД
в кольцевом пространстве скважины
Используем формулу для определения температуры
потока в зазоре между ПЭД и ЭК:

Аналогично находим значения
температуры в остальных точках по высоте ПЭД. Результаты заносим в таблицу 7.
Построим график распределения температуры потока по длине ПЭД.
Рисунок 5
7. Построение зависимости температуры жидкости в
кольцевом пространстве скважины на уровне ПЭД от скорости восходящего потока
Задаваясь разными значениями дебита скважины,
находим распределение температуры потока в зазоре между ПЭД и ЭК в зависимости
от скорости восходящего потока

Аналогично находим значения
температуры в остальных точках по высоте ПЭД. Результаты заносим в таблицу 7.
Таблица 7
|
Q
м³/сут H, м
|
10
|
30
|
60
|
33,4
|
90
|
|
1533
|
23,66
|
23,71
|
23,78
|
23,72
|
23,85
|
|
1534
|
23,34
|
23,39
|
23,46
|
23,39
|
23,53
|
|
1535
|
23,01
|
23,06
|
23,13
|
23,07
|
23,20
|
|
1536
|
22,69
|
22,74
|
22,81
|
22,75
|
22,88
|
|
1537
|
22,37
|
22,41
|
22,49
|
22,42
|
22,56
|
|
1538
|
22,04
|
22,09
|
22,16
|
22,10
|
22,23
|
|
1539
|
21,72
|
21,77
|
21,84
|
21,78
|
21,91
|
|
1540
|
21,40
|
21,44
|
21,52
|
21,45
|
21,59
|
Рисунок 6
8. Построение кривой распределения давления в
ЭЦН по эталонной жидкости
Зная давление на входе и выходе насоса, линейной
экстраполяцией находим значение давления в каждой точке по высоте насоса.
Аналогично находим значения давлений в остальных
точках. Результаты заносим в таблицу 8.
Строим кривую распределения давления в ЭЦН.
Рисунок 7
9. Построение кривых распределения температуры,
плотности, вязкости жидкости по длине ЭЦН
Зная значение температуры на входе и выходе
насоса, линейной экстраполяцией находим значение температуры в каждой точке по
высоте насоса.
Аналогично находим значения температуры в
остальных точках. Результаты заносим в таблицу 8.
Таблица 8
|
Н,
м
|
P,
МПа
|
T,
°С
|
|
1524,7
|
12,2
|
33,9
|
|
1525
|
12,1
|
33,6
|
|
1526
|
11,9
|
32,3
|
|
1527
|
11,6
|
31,1
|
|
1528
|
11,4
|
29,8
|
|
1529
|
11,1
|
28,6
|
|
1530
|
10,8
|
27,3
|
|
1531
|
26,1
|
|
1532
|
10,3
|
24,8
|
|
1533
|
10,1
|
23,6
|
Строим кривую распределения температуры в ЭЦН.
Рисунок 8
Находим распределение плотности, вязкости
жидкости по длине ЭЦН
§ Термодинамические условия по длине ЭЦН
определены и представлены в таблице 8.
§ Находим приведенный к нормальным условиям
удельный объем выделившегося газа
Где 
Проводим аналогичный расчет для
остальных значений давлений и температур. Результаты заносим в таблицу 9.
§ Рассчитываем остаточную газонасыщенность нефти
(удельный объем растворенного газа) в процессе ее разгазирования
Проводим аналогичный расчет для остальных
значений давлений и температур. Результаты заносим в таблицу 9.
§ Определяем относительную плотность выделившегося
газа
Проводим аналогичный расчет для остальных
значений давлений и температур. Результаты заносим в таблицу 9.
§ Находим относительную плотность растворенного
газа, остающегося в нефти при данных условиях ее разгазирования
Проводим аналогичный расчет для остальных
значений давлений и температур. Результаты заносим в таблицу 9.
§ Рассчитываем объемный коэффициент
Где 
- удельное приращение объема нефти
за счет единичного изменения ее газонасыщенности:


- температурный коэффициент
объемного расширения дегазированной нефти при стандартном давлении

Проводим аналогичный расчет для
остальных значений давлений и температур. Результаты заносим в таблицу 9.
§ Определяем плотность газонасыщенной нефти

Проводим аналогичный расчет для
остальных значений давлений и температур. Результаты заносим в таблицу 9.
§ Рассчитываем вязкость дегазированной нефти при 
и заданной температуре

Проводим аналогичный расчет для
остальных значений давлений и температур. Результаты заносим в таблицу 10.
§ Определяем вязкость газонасыщенной нефти
Где 
- графические функции
газосодержания нефти:

- удельный объем растворенного в
нефти газа, приведенный к 
и 

Проводим аналогичный расчет для
остальных значений давлений и температур. Результаты заносим в таблицу 10.
Строим графики распределения
плотности и вязкости жидкости по длине ЭЦН.
Рисунок 9
Рисунок 10
Таблица 9
|
Н,
м
|
P,
МПа
|
T,
°С
|
Vгв,
м³/т
|
R
|
m
|
Д
|
Vгр,
м³/т
|
ρгв
|
а
|
u
|
ρгр
|
bн
|
λ
|
αн, 1/°С
|
ρн, кг/м³
|
|
1524,7
|
12,2
|
33,9
|
3,78
|
-0,094
|
1,013
|
-1,085
|
16,49
|
0,649
|
1,075
|
-169,4
|
1,173
|
1,042
|
0,00256
|
0,0009
|
0,815
|
|
1525
|
12,1
|
33,6
|
3,82
|
-0,095
|
1,013
|
-1,084
|
16,44
|
0,647
|
1,073
|
-169,4
|
1,172
|
1,041
|
0,00257
|
0,0009
|
0,815
|
|
1526
|
11,9
|
32,3
|
3,97
|
-0,099
|
1,012
|
-1,081
|
16,27
|
0,643
|
1,067
|
-169,4
|
1,170
|
1,040
|
0,00257
|
0,0009
|
0,816
|
|
1527
|
11,6
|
31,1
|
4,11
|
-0,103
|
1,011
|
-1,078
|
16,10
|
0,638
|
1,060
|
-169,4
|
1,168
|
1,039
|
0,00257
|
0,0009
|
0,817
|
|
1528
|
11,4
|
29,8
|
4,26
|
-0,108
|
1,010
|
-1,075
|
15,93
|
0,634
|
1,053
|
-169,4
|
1,165
|
1,038
|
0,00258
|
0,0009
|
0,818
|
|
1529
|
11,1
|
28,6
|
4,41
|
-0,112
|
1,008
|
-1,072
|
15,75
|
0,629
|
1,046
|
-169,4
|
1,163
|
1,036
|
0,00258
|
0,0009
|
0,819
|
|
1530
|
10,8
|
27,3
|
4,56
|
-0,117
|
1,007
|
-1,069
|
15,58
|
0,625
|
1,040
|
-169,4
|
1,161
|
1,035
|
0,00259
|
0,0009
|
0,820
|
|
1531
|
10,6
|
26,1
|
4,72
|
-0,121
|
1,006
|
-1,065
|
15,40
|
0,620
|
1,033
|
-169,4
|
1,159
|
1,034
|
0,00259
|
0,0009
|
0,821
|
|
1532
|
10,3
|
24,8
|
4,88
|
-0,126
|
1,005
|
-1,062
|
15,22
|
0,616
|
1,026
|
-169,4
|
1,158
|
1,033
|
0,00260
|
0,0009
|
0,821
|
|
1533
|
10,1
|
23,6
|
5,04
|
-0,131
|
1,003
|
-1,059
|
15,03
|
0,612
|
1,019
|
-169,4
|
1,156
|
1,031
|
0,00260
|
0,0009
|
0,822
|
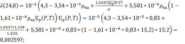
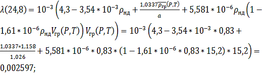
Таблица 10
|
Н,
м
|
P,
МПа
|
T,
°С
|
μнд(Т),
мПа*с
|
a
|
b
|
A
|
B
|
V*гр,
м³/м³
|
μнг, мПа*с
|
|
1524,7
|
12,2
|
33,9
|
3,440
|
0,0046
|
0,0248
|
0,834
|
0,803
|
14,50
|
2,25
|
|
1525
|
12,1
|
33,6
|
3,467
|
0,0045
|
0,0248
|
0,834
|
0,804
|
14,46
|
2,27
|
|
1526
|
11,9
|
32,3
|
3,577
|
0,0043
|
0,0247
|
0,835
|
0,805
|
14,31
|
2,33
|
|
1527
|
11,6
|
31,1
|
3,689
|
0,0041
|
0,0246
|
0,836
|
0,807
|
14,16
|
2,40
|
|
1528
|
11,4
|
29,8
|
3,804
|
0,0039
|
0,0245
|
0,837
|
0,809
|
14,01
|
2,47
|
|
1529
|
11,1
|
28,6
|
3,922
|
0,0037
|
0,0244
|
0,839
|
0,811
|
13,86
|
2,54
|
|
1530
|
10,8
|
27,3
|
4,043
|
0,0035
|
0,0243
|
0,840
|
0,812
|
13,70
|
2,61
|
|
1531
|
10,6
|
26,1
|
4,166
|
0,0034
|
0,0242
|
0,841
|
0,814
|
13,54
|
2,69
|
|
1532
|
10,3
|
24,8
|
4,291
|
0,0032
|
0,0242
|
0,843
|
0,816
|
13,38
|
2,77
|
|
1533
|
10,1
|
23,6
|
4,419
|
0,0030
|
0,0241
|
0,844
|
0,818
|
2,84
|
. Расчет потерь давления на штуцере для
исходного значения линейного давления
При прохождении жидкости через штуцер происходят
потери напора, связанные с внезапным сужением канала, течением жидкости в
суженном канале и внезапным расширением канала.
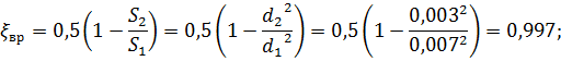
Коэффициент потерь напора из-за внезапного
сужения:
Где 
- площадь живого сечения трубы,
принимаем диаметр трубы 

площадь живого сечения штуцера.
Потери напора на внезапное сужение:
Где 
- скорость потока до штуцера.
Коэффициент потерь напора из-за
внезапного расширения:
Потери напора на внезапное
расширение:
Где 
- скорость потока в штуцере.
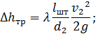
Потери напора на трение по формуле
Дарси-Весьбаха:
Потери давления на штуцере:
Проводим аналогичный расчет потерь
напора в штуцере для других диаметров штуцера. Результаты заносим в таблицу 11.
Таблица 11
|
dшт,
м
|
Δhвс, м
|
вс
|
Δhтр, м
|
Re
|
λ
|
Δhвр, м
|
вр
|
ΔH,
м
|
|
0,003
|
0,0002
|
0,499
|
12,41
|
28395
|
0,0244
|
152,2
|
0,997
|
164,7
|
|
0,006
|
0,0002
|
0,497
|
0,46
|
14197
|
0,0290
|
9,4
|
0,988
|
9,9
|
|
0,008
|
0,0002
|
0,495
|
0,12
|
10648
|
0,0311
|
3,0
|
0,979
|
3,1
|
|
0,01
|
0,0002
|
0,492
|
0,04
|
8518
|
0,0329
|
1,2
|
0,967
|
1,2
|
|
0,012
|
0,0002
|
0,488
|
0,02
|
7099
|
0,0345
|
0,6
|
0,952
|
0,6
|
Строим график зависимости потерь напора на
штуцере от диаметра штуцера.
Рисунок 11
По графику видно, что с уменьшением диаметра
штуцера меньше 6 мм резко возрастают потери напора.
11. Расчет изменения давления на устье скважины
от изменения давления в затрубном пространстве и наоборот
Давление на приеме насоса через затрубное
давление:
Давление на приеме насоса через буферное
давление:
Где
Аналогично рассчитываем результаты для остальных
значений затрубного давления. Результаты заносим в таблицу 12.
Таблица 12
|
Pзат,
МПа
|
Pбуф,
МПа
|
|
0,1
|
0,489
|
|
0,2
|
0,594
|
|
0,3
|
0,700
|
|
0,4
|
0,805
|
|
0,5
|
0,911
|
|
0,6
|
1,016
|
|
0,7
|
1,122
|
|
0,8
|
1,227
|
|
0,9
|
1,333
|
|
1
|
1,438
|
Строим зависимость Pбуф=f(Pзат).
Рисунок 12
12. Расчет минимального допустимого диаметра НКТ
в момент отключения ЭЦН по перегрузу
При уменьшении диаметра НКТ
характеристика скважины смещается влево. Когда режим работы скважины выйдет за
границу рабочей области насоса, насос остановится по перегрузу, следовательно,
необходимо найти такой диаметр НКТ, при котором насос будет работать по крайней
левой характеристике, при 
Напорная характеристика скважины:
Предположим, что режим турбулентный.
Проверка режима:
13. Расчет осевой нагрузки в
ЭЦН
Осевая сила, действующая на рабочее колесо
центробежного насоса:
где RВ,
R1, R2
- радиусы вала, всасывающей и периферийной частей рабочего колеса;
Р1 и Р2 - давления на входе и выходе ступени
насоса;
С0 - абсолютная скорость потока на входе в
рабочее колесо;
r - плотность ГЖС в районе насоса;
w - частота вращения вала насоса;
Q -
производительность насоса.
Принимаем 
об/мин = 48 об/с.
Р1=10,05 МПа, что соответствует
давлению на входе в насос.
где Н - напор создаваемый насосом,
м; z -
количество рабочих колес в ЭЦН, 
- средняя плотность жидкости в
интервале НКТ.
Суммарная осевая сила в центробежном
насосе:
14 Расчет удлинения НКТ от действия силы тяжести
в жидкости и осевого усилия в ЭЦН
На НКТ передается около 5% осевой нагрузки.
Деформация НКТ равна:
где Е=2,1*1011 н/м2 - коэффициент упругости;
fТ - площадь
кольцевого поперечного сечения труб;
РЖ - вес ГЖС в НКТ.
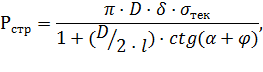
15. Расчет НКТ на страгивающую
нагрузку
Расчет на страгивающую нагрузку производим по
формуле Яковлева:
Где D
- средний диаметр трубы в основании плоскости трубы, м;

двойная толщина стенки по впадине
первого полного витка;

угол ежду гранью нарезки и осью
трубы;
l - часть
длины по которой происходит зацепление труб, м;

угол трения металла по металлу.
Расчет на допустимое внутренне
давление ведется по формуле Барлоу:
Где 
толщина стенки НКТ;

условный диаметр НКТ;

коэффициент запаса прочности.
Произведем расчет при условии, что в
колонне НКТ находится пластовая вода:
Таким образом, НКТ выдерживают нагрузку
на разрыв, страгивание и внутреннее давление.
16 Расчет хвостовика НКТ
Хвостовик представляет собой колонну НКТ
определенной длины с диаметром, как правило, меньшим диаметра основной колонны
НКТ (подъемник) и используется для выноса воды из интервала «забой - прием».
По причине глубокой установки насоса в скважине
и отсутствия обводненности добываемой продукции установку хвостовика не
производим.
. Расчет нагрузки в НКТ на устье скважины
При работающем ЭЦН на НКТ передается около 5%
осевой нагрузки ЭЦН. Рассматриваем НКТ с условным диаметром 73 мм, толщиной
стенки 5,5 мм, гладкие, группы прочности Д.
Растягивающая нагрузка:
где d1
- диаметр по впадине нарезки 1-го винта;
d2 - внутренний
диаметр НКТ;
σтек - предел
текучести (для стали марки Д σтек
= 380 МПа).
Тогда максимальная глубина спуска определяется
по формуле:
Где KЗ
- коэффициент запаса по отношению к пределу текучести НКТ (KЗ
= 1,5);
q - вес 1 м трубы с
муфтой (q = 70 Н/м).
17. Расчет максимального
габаритного размера УЭЦН в скважине
Наружные диаметры двигателя, насоса и НКТ
необходимо выбирать с учётом их размещения вместе с кабелем в эксплуатационной
колонне. Допустимый зазор между наружным диаметром агрегата и внутренним
диаметром эксплуатационной колонны должен быть не менее пяти мм; тогда
наибольший допустимый основной размер агрегата
фактический диаметр агрегата с учётом плоского
кабеля составит:
Где 
- толщина плоского кабеля;

- толщина металлического пояса,
крепящего кабель к агрегату.
Результат расчётов показывает, что
насосный агрегат размещается в эксплуатационной колонне удовлетворительно.
. Расчет кабеля
Для подвода электроэнергии к электродвигателю
используется кабель круглого сечения марки КРБК3×25
с площадью сечения жилы 25 мм2. По длине насоса и протектора для уменьшения
габаритного диаметра агрегата берется трехжильный плоский кабель КРБП3X16 с площадью
сечения 16 мм2. От сечения и длины кабеля зависят потери электроэнергии в нём и
КПД установки.
Потери электроэнергии в кабеле КРБК3×25
длиной 100 м определяются по формуле:
где 
- сила тока в статоре
электродвигателя;- сопротивление в кабеле длиной 100 м, которое определяется по
формуле:
где 
площадь сечения жилы кабеля, мм2;

- удельное сопротивление при
средней температуре в скважине, определяемое по формуле:
где 
Ом×мм2/м - удельное сопротивление меди
при Т = 293К;

- температурный коэффициент для
меди, тогда

Длина кабеля должна равняться
глубине спуска насоса, также необходимо учесть расстояние от скважины до
станции управления и возможность небольшого изменения глубины установки без
замены кабеля:
Общие потери электрической мощности
в кабеле составят:
. Выбор наземного оборудования
Оборудование представлено в таблице 13.
Таблица 13
|
№
п/п
|
Вид
оборудования
|
Типоразмер
|
|
1
|
УЭЦН
|
УЭЦНМ5-50-1300
|
|
2
|
ЭЦН
|
ЭЦНМ5-50-1300
|
|
3
|
Модуль
насосного газосепаратора
|
-
|
|
4
|
ПЭД
|
ПЭДУ32-103В5
|
|
5
|
Гидрозащита
|
1Г51
|
|
6
|
НКТ
|
НКТ
735,5
|
|
7
|
Кабель
|
КРБК
325
|
|
|
КРБП
316
|
|
8
|
Автотрансформатор
|
ТМПН-100/3-73У1
|
|
9
|
Станция
управления
|
Борец-04М
|
|
10
|
Устьевая
арматура
|
АФК1
- 6521
|
Заключение
В данной курсовой работе был произведен расчет
узлов установки электроцентробежного насоса для откачки жидкости из нефтяной
скважины. Были рассчитаны и построены кривые распределения температуры и
давления по длине скважины, выполнена проверка выбранных НКТ, было выбрано
наземное и подземное оборудования УЭЦН для откачки жидкости из нефтяной
скважины.
Итоговые результаты представлены в таблице 14.
Таблица 14
|
Q,
м³/сут
|
Рпр,
МПа
|
Рзаб,
МПа
|
Ру,
МПа
|
Рзат,
МПа
|
Lнас,
м
|
Hнас,
м
|
Тпэд,
С
|
тип
ЭЦН
|
|
33,4
|
10,05
|
17,7
|
1
|
1
|
1537
|
1533
|
23,7
|
ЭЦНМ5-50-1300
|
Список использованной литературы
1. Гиматудинова
Ш.К. Справочное руководство по проектированию разработки и эксплуатации
нефтяных месторождений. Добыча нефти. М., Недра, 1983.
2. Мищенко
И.Т. Расчеты в добыче нефти М., Недра, 1983
. Мищенко
И.Т.Сборник задач по технологии и технике нефтедобыче. М., Недра, 1984
. Бухаренко
Е.И. Нефтепромысловое оборудование, 1990.-559с.
. В.Н.
Ивановский и др. Скважинные насосные установки для добычи нефти, 2002.-824с.
. Мищенко
И.Т. Скважинная добыча нефти, 2007.-826с.