Расчет медного волновода
Введение
Металлический волновод представляет собой полую
металлическую трубку круглого или прямоугольного сечения. Плоская (для
прямоугольного волновода) или цилиндрическая (для круглого) электромагнитные
волны могут распространяться по волноводу, отражаясь от стенок. В результате
интерференции отраженных под определенными углами волн образуются направляемые
волновые структуры с синусоидальным или близким к нему распределением поля в
поперечном сечении [2]. При этом амплитуды направляемых волн описываются функциями
от поперечных координат. Такие волновые структуры называются модами (от англ.
mode). В кабеле эти моды оказались мешающими, паразитными. В волноводе же при
отсутствии центрального провода уже не может распространяться
"кабельная" волна, но одна из мод может быть использована для
передачи сигнала. Одномодовый режим работы можно осуществить, например, для
круглого волновода при 1,3d < l < 1,7d, где d - внутренний диаметр
волновода. Заметим, что здесь l = c / f. Она неравна длине волны моды в волноводе,
которая имеет другое значение. Из указанного условия видно, что в одномодовом
режиме волновод может работать только в полосе частот, причем для каждой полосы
частот необходим свой волновод. Ниже этой полосы волны (моды) вообще не могут
распространяться в волноводе, а выше начинают распространяться другие моды,
возникает многоволновость. Металлические волноводы получили применение в
качестве линий передачи сантиметровых и миллиметровых волн. Центры полос
одномодовых режимов работы стандартных волноводов соответствуют l = 10 см, 3,2
см и 8 мм. При уменьшении длины волны уменьшаются поперечные размеры волновода
и возрастают потери мощности волны в стенках. Поэтому для волн с длинами
порядка миллиметра и короче волноводы применяются лишь на очень короткие расстояния.
Среди мод круглого волновода имеются волновые структуры, обладающие уникальным
свойством: потери мощности этих мод уменьшаются с ростом частоты. Поле этих мод
осе симметрично, и оно возбуждает в стенке волновода только поперечные токи,
которые в отличие от продольных токов уменьшаются с увеличением частоты.
Поэтому круглый волновод с одной из таких мод с наиболее простой структурой
поля (мода Н01) разрабатывался в нашей стране и за рубежом для применения в
качестве дальней магистральной линии связи в миллиметровом диапазоне волн (l =
8 мм). Основная трудность состояла в обеспечении одномодового режима работы
такого волновода. И хотя технически это оказалось возможно, круглый волновод не
получил применения для дальней связи, но уже по другой, экономической причине.
Прокладка волноводной линии при тех условиях, которые требовалось выполнить
(прямолинейность трассы и др.), оказалась очень дорогостоящей.
Задание на курсовой
проект
волновод сопротивление мощность фазовый
Рассчитать медный прямоугольный волновод,
заполненный воздухом.
Длинна волны в свободном пространстве λ=1,5
см
. Выбрать размеры поперечного сечения
волновода.
. Установить частотный диапазон, в
котором можно работать, не опасаясь распространения по волноводу волн высоких
порядков.
. Найти длину волны в волноводе.
. Найти фазовую и групповую скорости в
волноводе.
. Найти характеристическое сопротивление.
. Определить максимальную мощность,
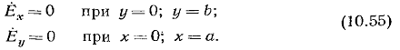
которую можно передать вдоль волновода, и пробивную мощность в волноводе.
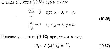
. Определить затухание волн в волноводе.
На сантиметровых волнах линию во многих случаях
заменяют волноводом, представляющим собой металлическую трубку круглого или
прямоугольного сечения, внутри которой распространяется электромагнитная волна
(рис.1). Стенки волновода играют роль экрана, не дающего электромагнитным
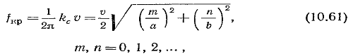
волнам распространяться в разные стороны и заставляющего их перемещаться только
вдоль волновода.
Рис.1 - Круглый и прямоугольный волноводы.
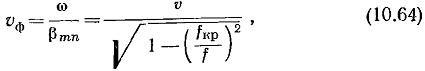
По сравнению с коаксиальной линией потери
энергии в волноводе меньше, так как отсутствует внутренний провод и нет никаких
изоляторов. Наибольшее напряжение в волноводе получается между диаметрально
противоположными точками его внутренней поверхности, если волновод имеет
круглое сечение), или между противоположными стенками, если его сечение
прямоугольное (рис.1). Расстояние между этими точками больше, чем расстояние
между проводами в коаксиальной линии, и поэтому опасность пробоя при высоких
напряжениях значительно меньше.
Однако волноводы имеют свой недостаток, который
ограничивает их применение. В коаксиальной или симметричной линии могут
распространяться волны любой частоты, а в волноводе возможно распространение
только волн, у которых частота выше некоторой определенной величины, называемой
критической частотой fKp. Иначе говоря, в волноводе могут распространяться
только волны, у которых длина короче некоторой критической длины волны.
Критическая длина волны приблизительно вдвое больше поперечного размера
волновода. Если волновод имеет диаметр 3 см, то критическая длина волны будет
примерно (ламбда) -6 см. Более длинные волны через такой волновод
распространяться не могут.
Ясно, что волноводы для коротких или метровых
волн непригодны, так как это были бы трубы с поперечными размерами в единицы или
десятки метров! Даже для дециметровых волн поперечник волновода должен быть
порядка десятков сантиметров, что также неудобно. Поэтому волноводы
используются только на сантиметровых волнах, для которых конструкция волновода
не получается слишком громоздкой.
Теория распространения радиоволн в волноводах
весьма сложна, и можно рассмотреть лишь некоторые выводы этой теории, которые
хорошо подтверждены экспериментами.
В волноводе поперечная электромагнитная волна
распространяться не может. Действительно, магнитное поле существует только
внутри волновода, стенки которого являются экраном для электромагнитного поля
высокой частоты. Поэтому магнитное поле в волноводе не может охватывать
проводник с током, так как нет внутреннего провода, а оно должно охватывать продольное
электрическое поле. Но поперечная электромагнитная волна не содержит
продольного электрического поля. Если же предположить, что электрическое поле в
волноводе поперечное, то оно должно охватываться замкнутыми магнитными силовыми
линиями, которые будут лежать в продольных плоскостях. Однако у поперечной
волны не может быть продольного магнитного поля. Опыт и теория показывают, что
в волноводах могут распространяться электромагнитные волны различных типов. Все
они делятся на две группы: 1) электрические волны, обозначаемые Е, имеют
электрическое поле, расположенное и в поперечном и в продольном направлениях, а
магнитное поле только в поперечной плоскости; 2) магнитные волны, обозначаемые
Я, имеют магнитное поле, расположенное поперек и вдоль волновода, а
электрическое поле только в поперечной плоскости.
Волну в волноводе можно рассматривать как сумму
поперечных волн, распространяющихся зигзагообразно путем многократного
отражения от стенок. При этом более длинные волны распространяются с большим
числом отражений и зигзагов.
Физический смысл отражения волн от проводника
заключается в том, что падающая волна создает в поверхностном слое проводника
токи, которые, в свою очередь, дают излучение новых электромагнитных волн, т.е.
отраженных волн. Если проводник идеальный, то возникшие токи совершенно не
расходуют энергию на его нагрев и энергия отраженной волны равна энергии
падающей волны. Практически каждый проводник не является идеальным, в нем
происходит некоторая потеря энергии на нагревание, и энергия у отраженной волны
всегда несколько меньше, чем у падающей.
На рис.2 показаны электрическое и магнитное поля
для простейшей основной волны типа Н, которая наиболее часто применяется на
практике. Магнитные силовые линии здесь изображены штриховыми, а электрические
силовые линии - сплошными линиями.
Силовые линии, перпендикулярные к плоскости
чертежа, показаны либо точками, если они идут на нас, либо крестиками, если они
идут от нас.
Рис.2 - Структура магнитного и электрического
полей в прямоугольном волноводе для основной волны типа Н.
Так как волна, отраженная от одной стенки,
складывается с волной, отраженной от противоположной стенки, то в поперечном
направлении волновода всегда получаются стоячие волны. Бегущая волна в
поперечном направлении не может распространяться, так как движению энергии в
одну сторону препятствуют стенки волновода.
В поперечном направлении в простейшем случае
укладывается одна стоячая полуволна так, что у противоположных стенок могут
быть узлы, а в середине -пучность или наоборот. В направлении вдоль волновода
может получаться различный режим. Если на конце волновода отражение
отсутствует, то будет бегущая волна. Полное отражение, например, в случае, если
конец волновода закрыт металлической стенкой, дает режим стоячих волн. При
частичном отражении будут смешанные волны.
Для изображенной на рис.3 волны в точках А и В
получается максимум поперечной составляющей магнитного поля, а в точках Б и
Г-максимум его продольной составляющей. Расстояние АВ равно половине длины
волны. В точке Д напряженность магнитного поля равна нулю. У следующей
(соседней) полуволны магнитного поля все повторяется, но только магнитные
силовые линии идут в противоположном направлении.
В случае бегущей волны вся нарисованная картина
поля движется вдоль волновода, так что следует рассматривать как мгновенный
фотоснимок поля, справедливый только для одного момента времени.
Один из них показывает распределение поперечной
составляющей Нпопер, а другой - продольной составляющей Нпрод- При этом следует
помнить, что поперечная составляющая получается наибольшей на средней плоскости
волновода (на линии АВ) и по мере приближения к стенкам уменьшается до нуля, а
продольная составляющая, наоборот, имеет наибольшее значение у стенок и по мере
приближения к средней плоскости волновода уменьшается до нуля.
На рис.3 г даны кривые, показывающие изменение
Hпрод и Нпопер вдоль стороны b поперечного сечения волновода. Эти кривые
соответствуют стоячим волнам магнитного поля в поперечном направлении, причем
Нпрод имеет пучности у стенок и узел посередине, а Нпопер - наоборот.
Необходимо отметить, что картина поля,
показанная с помощью некоторого числа силовых линий, является весьма грубой.
Силовые линии, конечно, отображают реально существующее поле, но чем оно
сложнее, тем более неточным становится данный метод. Изображение поля силовыми
линиями не вскрывает тонкой структуры поля. Это особенно чувствуется при
рассмотрении сложных полей в волноводах. Однако в нашем распоряжени и нет более
совершенного метода изображения структуры электрического или магнитного поля.
У электрического поля волны Н структура проще,
так как оно имеет только поперечную составляющую. Как видно, вдоль размера b
укладывается одна стоячая полуволна электрического поля, причем в середине
волновода получается пучность, а у стенок - узлы. Таким образом, вдоль стороны
b распределение электрического поля совпадает с распределением поперечной
составляющей магнитного поля. Не следует при этом забывать, что векторы Е и
Нпопер взаимноперпендикулярны.
Соответствующая кривая показывает, что в этом
направлении закон распределения электрического поля также совпадает с
распределением поперечной составляющей магнитного поля, т. е. максимум
электрического поля получается там, где имеется максимум поперечного магнитного
поля.
Такая структура поля характерна для бегущей
волны, у которой колебания электрического и магнитного полей совладают по фазе,
т. е. наибольшее количество электрических силовых линий имеется там, где
находится наиболее сильное магнитное поле.
А в случае стоячей волны, наоборот, максимум
электрического поля находится там, где магнитное поле наиболее слабое.
Помимо основной волны, существуют еще и многие
другие типы волн. Для классификации воля в прямоугольных волноводах принята
следующая система. Около обозначения волны ставится индекс из двух цифр,
показывающих соответственно число стоячих полуволн вдоль меньшей и большей
сторон поперечного сечения. Например, рассмотренная основная волна типа Н
обозначается Ho1(или TEo1), так как для нее вдоль стороны а поперечного сечения
волновода стоячей волны нет, а вдоль стороны b распределена одна стоячая
полуволна. В прямоугольном волноводе могут также распространяться волны высших
порядков, имеющие более сложные поля, в которых вдоль одной стороны сечения
распределено две, три или больше стоячих полуволн. Эти волны не имеют
практического применения, так как ведут к увеличению сечения волновода и потерь
по сравнению с простейшими волнами.
Для классификации волн в круглых волноводах к
обозначению волны также прибавляют две цифры в виде индексов. Первая цифра
показывает число стоячих полуволн вдоль полуокружности, а вторая -
соответствует числу стоячих полуволн вдоль радиуса. Вдоль волновода всегда
наблюдается некоторое затухание волны, т. е. ее энергия постепенно уменьшается.
Это объясняется тем, что на внутренней поверхности стенок волновода создаются
токи, которые расходуют часть своей энергии на нагрев металла. Потери анергии
отсутствовали бы только в случае стенок из идеального проводника.
С понижением частоты к критическому значению
затухание возрастает, что объясняется увеличением числа отражений волн от
стенок. Когда частота близка к критической, затухание становится очень большим,
а критическая волна вообще не проходит вдоль волновода. Но и при значительном
повышении частоты затухание также возрастает за счет того, что толщина
поверхностного слоя, в котором проходят токи, уменьшается, а его сопротивление
увеличивается. Отсюда следует, что на некоторой средней найвыгоднейшей частоте
затухание имеет наименьшую величину.
В волноводах могут наблюдаться бегущие, стоячие
и смешанные волны в зависимости от наличия большего или меньшего отражения на
конце волновода. Режим работы характеризуется коэффициентом бегущей волны,
который равен
кбв = Емин/Емакс,
где Емтин и Емакс - наименьшая и наибольшая
величины действующего значения напряженности электрического поля, измеренные
при перемещении вдоль волновода какого-либо индикатора поля.
Если в конце волновода безвозвратно расходуется
вся энергия бегущей волны, то в волноводе получается режим чисто бегущей волны.
Действующее значение напряженности электрического поля в различных точках вдоль
волновода тогда будет неизменно (затухание во внимание не принимается) и кбв=1.
Этот режим наиболее выгоден для передачи волн,
так как при нем потери в волноводе наименьшие и в нагрузку отдается максимум
энергии. Например, в передающих устройствах сантиметрового диапазона волновод
соединяет генератор с антенной. Для получения в волноводе бегущей волны антенна
должна поглощать полностью энергию, передаваемую по волноводу, т. е. антенна
как нагрузка должна быть согласована с волноводом.
При проведении многих измерений и испытаний на
сантиметровых волнах также необходим режим бегущей волны в волноводе. Для его
получения в конце волновода помещают поглощающую или оконечную нагрузку. Она
представляет собой проводник со значительным сопротивлением, занимающий
некоторый объем или поверхностный слой на пластинке диэлектрика.
Если на конце волновода волна полностью
отражается, то устанавливается. режим стоячих волн. Полное отражение можно
получить, закрыв конец волновода металлической, хорошо проводящей крышкой.
Режим стоячих волн используется при различных измерениях. Он удобен для
измерения длины волны в волноводе, так как в стоячей волне напряженность поля Е
в узлах равна нулю. Это дает возможность установить положение двух соседних
узлов, расстояние между которыми равно половине длины волны.
Режим смешанных волн получается, если на конце
волновода энергия поглощается частично. Практически, обычно всегда бывает этот
режим, так как невозможно получить чисто бегущую или чисто стоячую волну.
Особенно трудно осуществить режим бегущей волны. Принято считать, что нагрузка
хорошо согласована с волноводом, если кбв получается не меньше 0,8. Во многих
случаях даже довольствуются значением кбв от 0,5 и выше. Режимы работы
волновода имеют сходство с режимами для двухпроводной линии. Случай, когда
конец волновода закрыт, аналогичен короткозамкнутой линии. Однако режим
разомкнутой линии получить в волноводе нельзя. Если конец волновода оставить
открытым, то волна лишь частично отражается, а частично излучается в
пространство, и поэтому получается режим смешанных волн.
Устройства, связывающие волноводы с другими
цепями, служат для возбуждения волн в волноводе или для отбора энергии из
волновода. Любое устройство, дающее возбуждение волн, может быть использовано и
для приема волн.
Электрическая связь осуществляется с помощью
металлического проводника, называемого штырьком (или зондом), и установленного
внутри волновода вдоль электрических силовых линий в том месте, где
электрическое поле наиболее
Рис.3 - Электрическая связь коаксиальной линии с
волноводом для волны Но1
На рис.3 показано возбуждение волны типа Нo1 в
прямоугольном волноводе при помощи штырька, расположенного в пучности
электрического поля на расстоянии 1/4 (ламбда) от закрытого конца волновода,
служащего для отражения волн. Этот участок волновода длиной 1/4 (ламбда)
подобно четвертьволновой короткозамкнутой линии имеет входное сопротивление,
близкое к бесконечности, и практически не влияет на режим работы подводящей
линии.
Чем больше длина штырька, находящегося в
волноводе, тем сильнее связь, т. е. тем больше энергии передается в волновод,
подобно тому как более высокая 'антенна дает более сильное излучение, нежели
антенна малых размеров.
Магнитная связь осуществляется с помощью витка
(петли) связи, который располагается в месте, где магнитное поле наиболее
сильно, причем ее плоскость перпендикулярна магнитным силовым линиям. Так как
размеры витка соизмеримы с длиной волны, то он дает эффективное излучение
электромагнитных волн и его можно уподобить одновитковой рамочной антенне
большого размера. На рис.4 показано одно из возможных расположений витка для
возбуждения в прямоугольном волноводе волны Но1.
Чем больше размеры витка, тем сильнее связь.
Регулировку связи удобно осуществлять поворотом витка. Следует иметь в виду,
что магнитная связь всегда сопровождается некоторой электрической связью.
Рис.4 - Магнитная связь линии с волноводом для
случая волны Но1
Для отбора энергии штырьки или витки связи
выполняют роль приемной антенны. Волны, прошедшие по волноводу, создают своим
электрическим полем в приемном штырьке некоторую эдс, а в витке связи эдс
индуктируется магнитным полем. Применяется также дифракционная связь, т. е.
связь через отверстие. Например, можно передать часть энергии волны из одного
волновода в другой, если в общей стенке этих волноводов сделать отверстие той
или иной формы. Такая связь усиливается при увеличении размеров отверстия. При
электрической и магнитной связи имеется всегда и некоторая дифракционная связь,
так как коаксиальная линия своим открытым концом соединена с волноводом.
Конструктивное выполнение волноводов весьма
разнообразно. Для уменьшения потерь в волноводе его внутреннюю поверхность
делают возможно более гладкой и нередко покрывают ее серебром. Весьма тщательно
соединяют отдельные части волновода друг с другом. Важно свести к минимуму
частичные отражения волн от различных неоднороден остей, имеющихся в волноводе.
Рис.6 - Повороты и скручивания волновода
К таким неоднородностям относятся, например,
повороты и ответвления, а также вращающиеся сочленения двух волноводов. Любые
нарушения однородности внутреннего устройства волновода приводят к отражению
волн, в результате чего уменьшается кбв, возрастают потери и снижается кпд
волновода.
Применяются плавные изгибы и уголковые повороты.
Для поворота направлений векторов Е и Н делают скручивание волновода. При
соединении двух частей волновода, если одна часть должна вращаться, прибегают к
дроссельному соединению, которое устраняет влияние плохого контакта в стыке. В
этом соединении волноводы снабжены двумя фланцами, между которыми имеется щель
длиной 1/2 (ламбда) эквивалентная полуволновой короткозамкнутой линии.
Замыкание на конце этой щели (в точке А) сделано сплошным металлом, а контакт
двух поверхностей находится в точке Б на расстоянии 1/4 (ламбда) от
короткозамкнутого конца. В этом месте находится узел тока, и наличие
дополнительного сопротивления в контакте не играет роли.
Рис.6 - Дроссельное соединение двух частей
волновода.
Зато на входе линии - щели (в точке В), как и на
короткозамкнутом конце, сопротивление близко к нулю. Таким образом, обе части
волновода соединены через это весьма малое сопротивление, которое почти не
зависит от сопротивления контакта в точке Б.


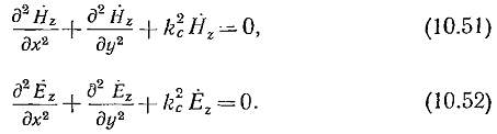
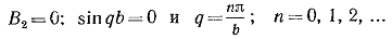
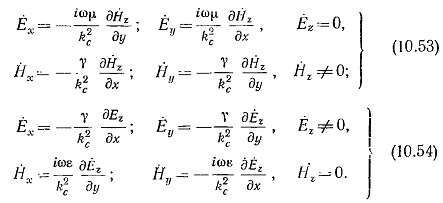
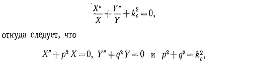
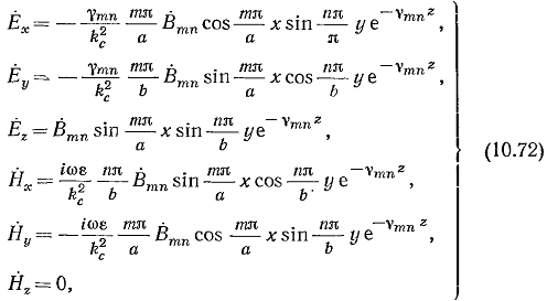
ВИЗНАЧЕННЯ ПОПЕРЕЧНИХ СКЛАДОВИХ ПОЛЯ
ЕЛЕКТРИЧНИХ І МАГНІТНИХ ХВИЛЬ В ПРЯМОКУТНОМУ ХВИЛЕВОДІ
Для хвиль типу «H»
згідно з (5) табл. 2.
.
Після прирівнювання
однойменних складових та підстановки значень з виразу (5.12), отримаємо
Таблиця 2
Згідно з (6) табл. 2 для хвиль типу
«Н» маємо
.
Звідси
;
.
У випадку розповсюдження
хвиль
вирази
складових поля хвиль типу «Н» в комплексній формі мають вигляд

Якщо перейти до дійсної форми
запису та врахувати, що
, то можна отримати
(5.13)
Зробивши аналогічні
перетворення для хвиль типу «Е», отримуємо
(5.14)
Заключение
В ходе расчета медного
прямоугольного волновода, заполненного воздухом, били рассчитанные такие
параметры волны:
Размеры поперечного сечения
волновода.
Частотный диапазон, в котором можно
работать, не опасаясь распространения по волноводу волн высоких порядков.
Длина волны в волноводе.
Фазовая и групповая скорости в
волноводе.
Характеристическое сопротивление.
Максимальная мощность, которую можно
передать вдоль волновода, и пробивная мощность в волноводе.
Затухание волн в волноводе.
Список литературы
1. Л.
Д., Зернов Н. В. Электромагнитные поля и волны. Изд. 2-е, перераб. и дополн. -
М.: Изд-во «Советское радио». 1971. - 664с.
. Никольский
В. В., Никольская Т. И. Электродинамика и распространение радиоволн: Учеб.
пособие для вузов. - 3-е изд., перераб. и доп. - М.: Наука. Гл. ред. физ.-мат.
лит., 1989. - 544с.
. Федоров
Н. Н. Основы электродинамики: Учеб. пособие для вузов. - М.: «Высш. школа»,
1980. - 399с.