Проектирование и изготовление ветродвигателя

  • Вид работы:
    Курсовая работа (п)
  • Предмет:
    Педагогика
  • Язык:
    Русский
    ,
    Формат файла:
    MS Word
    779,26 kb
  • Опубликовано:
    2008-07-22
Вы можете узнать стоимость помощи в написании студенческой работы.
Помощь в написании работы, которую точно примут!

Проектирование и изготовление ветродвигателя




КУРСОВОЙ ПРОЕКТ

Тема: “Проектирование и изготовление ветродвигателя ”

Содержание

1. Анализ педагогической и методологической литературы по развитию изобретательских способностей

1.1 Анализ понятий……………………………………………………….…..3-6

1.2 Анализ методов, подходов, приемов, средств развития изобретательских способностей…………………………………………………………………..6-14

2. Проектирование и изготовление ветродвигателя

2.1 Требования к ветродвигателю..………………………………………….…15

2.2 Технологическая карта изготовления ветродвигателя………………...15-19

2.3 Выполнение технических расчетов……………………………………..19-21

2.4 Расчет себестоимости……………………………………………………21-22

3. Экспериментальная часть

3.1 Описание общей компоновки технического объекта……………………..23

3.2 Описание элементов конструкции и их особенности, и взаимосвязь...23-24

3.3 Описание работы объекта……………………………………………….…..24

3.4 Недостатки конструкции……………………………………………………24

Заключение………………………………………………………………………25

Библиографический список………………………………………………….….26

Приложение 1 Ветродвигатель для ветряка………………………………..27-32

Приложение 2 Карусельный ветродвигатель………………………………32-39

Приложение 3 Ветровая энергетическая установка……………………….39-44

Приложение 4 Ветроэлектростанция……………………………………….44-49

Приложение 5 Комбинированная ветроэнергетическая установка………50-55

Приложение 6 Задачи для развития изобретательских способностей……55-58

Приложение 7 Спецификация ветродвигателя………………………………...59

Приложение 8 Спецификация рабочей части………………………………….60

Приложение 9 Спецификация основания.….……………………………...…..61

Анализ педагогической и методологической литературы по развитию изобретательских способностей

Анализ понятий.

Творческие способности – это индивидуальные особенности, качества человека, которые определяют успешность выполнения их творческой деятельности различного рода [1].

Творческие способности – это индивидуальные особенности личности, представляющие субъективные предпосылки успешного осуществления творческой деятельности. К критериям успешности творчества относятся новизна и оригинальность получаемых решений, сложность решаемых задач, социальная значимость творческих решений и др. Феноменологические способности проявляются в легкости и скорости комбинирования понятий, в легкости мышления, в фантазии и пространственном воображении, проявляемом в процессе творческого решения, в индивидуальном способе деятельности. Участие в творческой деятельности предполагает многостороннюю готовность личности:

1) психологическую готовность (ориентация на новое, настрой на преобразование существующего мира, открытость к восприятию новой информации, способность удивляться, увлеченность, готовность к пересмотру собственных позиций, их непрерывной корректировке, преодолению психологических барьеров творчества, умение работать в ситуациях неопределенности и др.);

2) гносеологическую готовность (широкий кругозор, гибкое и подвижное мышление, образность мышления, понимание относительности имеющейся информации, умение анализировать, обобщать и интегрировать информацию, стремление "кристаллизовать" свой подход к проблеме, умение реализовать "свой" подход "до конца", опыт решения различных типов тв. задач, желание решить задачу в каждом конкретном случае, поглощенность процессом решения, интерес к результату, ориентация на сложные проблемы, методологическая и методическая подготовка);

3) социальная готовность к творчеству (осознание социальной значимости творческой деятельности, индивида, коллектива, общества, сформированность потребности в творчестве, мотивация творчества, потребность самовыражения, умение критиковать и правильно воспринимать критику, уважение к др. точек зрения, доброжелательность, альтруизм, оптимизм, умение работать в коллективе, умение организовать собственную творческую деятельность и творчество др. людей).

Существуют различные точки зрения на механизм формирования способностей, однако большинство исследователей считает, что способности формируются в деятельности, в процессе взаимодействия субъекта с окружающим миром. В деятельности происходят реализация и дальнейшее развитие способностей. Способности людей, в т.ч. и творческие, неоднородны по своему содержанию, способу формирования, форме проявления и т.д. В науке нет единой классификации (типологии) способностей. Наиболее распространена классификация способностей по видам деятельности. Т.е. имеют комплексную природу и зависят от ряда условий: анатомо-физиологических особенностей человека, социальных условий его становления и развития, степени развития самосознания, сформированности установки на развитие своих собственных способностей, характера окружающей предметной и социальной среды, актуализации проблемы творчества в жизни общества на конкретном этапе развития

Творческие способности в техническом творчестве индивидуальные особенности личности, представляющие субъективные предпосылки успешного осуществления творческой деятельности, направленной на создание новых технических систем и технологии и их совершенствование. Творческие способности в техническом творчестве отличаются разнообразием и неоднородностью, что частично обусловлено разнообразием содержания деятельности, которую необходимо выполнить в процессе науч.-тех. разработки. Достаточно информативным основанием для фиксации разнообразия содержания творческой деятельности разработчика и классификации требований к субъекту является выделение этапов разработки и отдельных задач в его творческой деятельности. Участие человека в работе на том или ином конкретном этапе или в решении конкретной задачи предъявляет к нему определенные требования, а эффективность этой работы зависит от наличия у субъекта деятельности соответствующих способностей. К таким отдельным творческим способностям в техническом творчестве относятся: умение выявлять и формулировать глубокие противоречия и несоответствия; обостренное умение выявлять и прогнозировать новые потребности и улучшенные потребительские качества; быстрое понимание функционально-физ. сущности работы тех. системы; видение недостатков и дефектов в существующих изделиях; умение ставить задачи технического творчества, генерировать и синтезировать новые идеи я технические решения; умение быстро и объективно сравнивать альтернативные решения и выбирать лучшие; умение накапливать и систематизировать наиболее ценную информацию; умение разрабатывать и обосновывать новую идею, в т.ч. путем экспериментальных исследований и др. Разные способности имеют различную распространенность: наиболее редко встречаются люди, вскрывающие глубокие противоречия, открывающие новые направления в тех. науке и умеющие ставить задачи; несколько чаще встречаются люди, умеющие решать сложные задачи и т.д. Можно построить пирамиду творческих способностей в техническом творчестве, в основании которой - наиболее распространенные способности, а на вершине - наиболее редкие. В такой пирамиде от вершины к основанию располагаются "слоями" следующие творческие способности в техническом творчестве., которые одновременно отражают и этапы творческой деятельности в области техники;

1) выявление и формулировка глобальных противоречий;

2) выявление новых потребностей и открытие новых направлений в технике;

3) постановка задач тех. творчества;

4) генерирование новых идей и конструкторско-технологических решений;

5) теоретические, расчетное, экспериментальное и технологическое обоснование новых решений;

6) подготовка проектно-конструкторской документации и доводка нового образца техники.

Здесь прослеживаются две закономерности:

1) каждый этап науч.-тех. разработки требует специфических способностей, при этом может быть проявлен высокий уровень способностей (гиперспособностей);

2) более сложный характер науч.-тех. задач, решаемых на "верхних слоях" пирамиды, предъявляет более высокие требования к уровню развития способностей разработчиков, т.е. здесь с необходимостью нужны гиперспособности.

Поэтому неслучайны следующие определения способностей: "талант" решает такие сложные задачи, которых не решают другие; "гений" видит такие проблемы, которых не видят другие, открывает новые направления в науке и технике, творит, подобно силам природы. Высокие творческие способности в техническом творчестве очень неравномерно распределены в людской массе, и выявление их, распознание и культивирование представляет сложную социальную проблему. Творческие способности в техническом творчестве можно условно разделить на две составляющие: 1) природные способности, которые даются от рождения и разные у разных людей; 2) приобретенные способности, которые возрастают за счет изучения теории, практического опыта, связанного с решением задач тех. творчества [2].

На мой взгляд, изобретательские способности – это креативное мышление, высокий уровень интеллекта, продуктивность умственной работы человека, обеспечивающие в совокупности получение нового продукта, обладающего новизной и полезностью. В обучении, новизна, как правило, является субъективной, т. е. новой только для учащегося, в то время как в реальной действительности существует критерий мировой новизны, т. е. новое в мире, а не только для учащегося.

1. 2 Анализ методов, подходов, приемов, средства для развития изобретательских способностей.

Развитие изобретательских способностей студентов – деятельность, основанная на использовании комплекса способов и средств, обеспечивающих выявление и развитие творческих способностей студентов инженерных специальностей. Эти способы и средства следует рассматривать как дополнение к существующей системе инженерной подготовки.

Основные способы и средства развития изобретательских способностей студентов включают следующие виды деятельности:

- изучение фундаментальных дисциплин (математики, физики, химии и др.) с использованием примеров открытий и изобретений в каждой дисциплине, а также возможностей и путей, реализованных в каждой дисциплине для целей анализа и синтеза новых принципов действия и технических решений;

- изучение дисциплин по основам изобретательского творчества, основам и методам технического творчества;

- гуманитарную подготовку, связанную с повышением морально-нравственных качеств личности, изучением психологии творческих процессов, творческим овладением элементами отдельных искусств, развитием ощущения вкуса к красоте и гармонии в природе, искусстве и технике;

- освоение средств компьютеризации инженерного и технического творчества и адаптацию их к задачам специальности;

- изучение дисциплин по истории техники, законам и закономерностям техники, теории проектирования новой техники с адаптацией их к специальности (фундаментализация технических дисциплин);

- постановку и решение реальных задач инженерного и технического творчества в курсовом и дипломном проектировании;

- изготовление и испытание студентами экспериментальных и опытных образцов по собственным творческим разработкам;

- оформление заявок на собственные изобретения и их защита (переписка с экспертами);

- проведение внутривузовских и межвузовских конкурсов и олимпиад по техническому творчеству студентов [3].

На занятиях по техническому конструированию и моделированию применяют различные методы и приемы обучения. Чем сложнее занятие и обширнее деятельность педагога и обучаемых, тем разнообразнее методы приемы его проведения.

Теория решения изобретательских задач состоит из элементов:

АРИЗ, законы развития ТС, ФСА, стандартные решения изобретательских задач (76 шт.), приемы устранения технических противоречий (40 шт.), вепольный анализ, указатели физических эффектов, курс развития творческого воображения, банк решенных задач [4].

Список контрольных вопросов (А. Осборна) – это один из способов активизации поиска решений технической задачи за счет ориентации человека на необычные направления поиска с помощью специально подобранных вопросов.

Метод морфологического анализа (Ф. Цвикки) – один из методов систематизированного поиска вариантов решения технической задачи заключается в разделении объекта совершенствования на отдельные функциональные части, отыскание вариантов исполнения этих частей и произвольном соединении этих вариантов в целый объект.

Метод фокальных объектов (Ч. Вайтинг) – это один из ассоциативных методов технического творчества, основан на произвольном присоединении к объекту совершенно не присущих к нему свойств и признаков. Последовательность выполнения:

1) Выбор объекта и формулировка задачи

2) Выбор случайных объектов

3) Определение признаков случайных объектов

4) Комбинирование признаков случайных объектов с объектом совершенствования

5) Выявление ассоциаций и построение возможных решений

6) Выбор лучшего решения

Метод мозгового штурма (А. Осборн) – это метод коллективного поиска вариантов решения задачи, основная идея которого заключается в разделении этапа генерации идеи, группы генераторов от этапа критики идеи группой экспертов.

Вепольный анализ (Альтшулер, Шахматов, Фликштейн) – это один из инструментов ТРИЗа. Это метод систематизированного поиска вариантов решения технических задач. Суть которого в том, что техническая задача заменяется ее идеализированной моделью состоящей из 3-х элементов (В1 – вещество 1, В2 – вещество 2, П – поле) и в определенных манипуляциях с этой моделью с последующим переносом найденных решений в реальную ситуацию [5].

После анализа методов, приемов, средств составлена таблица сравнительных характеристик творческих методов, в которой они сравнивались по критериям: решение технических задач (продуктивность), генерация идей, развитие изобретательских способностей, применимость в школе, возраст, учет Ψ-х особен­ностей участни­ков. Баллы проставлялись по каждому критерию от 1 до 6.

Сравнительная характеристика творческих методов таблица 1

Методы

Решение технических задач (продуктивность)

Генерация идей

Развитие

изобретательских способностей

Применимость в школе

Возраст

Учет Ψ-х особен­ностей участни­ков

ТРИЗ

6

5

5

3

3

4

26

Список контрольных вопросов (Осборн)

4

3

3

4

3

4

21

Метод морфологического анализа (Ф. Цвикки)

4

4

3

5

4

5

25

Метод фокальных объектов(Ч. Вайтинг)

5

5

4

6

5

5

30

Метод мозгового штурма  

(А. Осборн)

6

5

5

6

5

5

32

Вепольный анализ (Альтшулер, Шахматов, Фликштейн)

3

3

2

3

2

4

17


Так же для развития изобретательских способностей можно использовать:

1) Конструкторские задачи.

Конструкторская задача решается в несколько этапов. Приступая к ее решению, главное внимание уделяют выяснению сути задачи и уточнению конечного результата (что желательно получить в идеальном случае). Этому в значительной мере способствует графическое изображение ее условия. После полного усвоения условия задачи переходят к ее анализу. Анализ проводится в целях выявления технического противоречия и вызывающих его причин. В ходе анализа ставят вопросы, которые помогают глубже проникнуть в содержание задачи, наметить пути устранения противоречия (что требуется определить в задаче или какова ее конечная цель, что мешает достижению этой цели, в чем причина затруднения, при каких условиях оно исчезает, не напоминает ли эта задача какую-либо из ранее решенных). Для облегчения поиска путей устранения противоречия и нахождения способа решения задачи можно предложить схему, где намечены отдельные этапы – шаги анализа задачи.

Задача 1. В гидравлическом цилиндре (рис.1) возвратно-поступательно перемещается поршень. Скорость его перемещения в одном и другом направлении одинакова. Внесите изменение в конструкцию, чтобы движение поршня в направлении, указанном стрелкой, на участке, а было замедленным.

Задача 2. Заготовки одна за другой катятся по наклонному лотку (рис. 2). Как сделать, чтобы каждая последующая заготовка начинала, скатываться, когда предыдущая достигнет конца лотка?

Задача 3. Шарики трех размеров под действием собственного веса непрерывным потоком скатываются по наклонному лотку (рис. 3). Как осуществить непрерывную сортировку шариков на группы в зависимости от размеров? [6]

2) Использование методов технического творчества

Методы систематизированного творчества

“+”

“-”

1) Позволяют прогнозировать развитие техники

2) Опирается на анализ большого объема патентной информации

3) Возможность переложения на машинный язык

4) Повышает вероятность решения аналогичных задач

5) Возможность рассмотрения истории развития технического объекта 

6) Системный подход

7) Использование большого информационного фонда

1) Трудны в освоении

2) Требуют специальной подготовки

3) Необходимость постоянного кропления новой информации

4) Необходимость учета типа мышления

5) Большое количество методов, проблема выбора

6) Ограниченность средств снятия психологической инерции

7) Малая вероятность при повторном решении получит новую идею


Методы интуитивного поиска

+

_

1) Существенно расширяет область поиска и количества идей

2) Доступны в освоении, не требует специальной подготовки

3) Могут использоваться в различных областях

4) Разделение этапа генерации от критики

5) Возможность получения нового решенная при повторном проведении

6) Возможность начала работы с неполной информацией

1) Маленький опыт применения

2) Не учитывается систематизированный подход

3) Не эффективен при сложных задачах

4) Большое количество методов, проблема выбора

5) Слабое развитие конвергентного мышления

6) Информационный фонд ограничен памятью человека


3) Морфологический альтернативный сбор информации

С.А. Новоселов предлагает следующую философски обобщенную ло­гику процесса создания нового технического объекта:

1) Осознание проблемной ситуации с аналитическим осмыслением ее структуры субъектом творчества. Реальное содержание творчества на этом этапе складывается из отражения технической потребности, осознания не­достатков старого и необходимости нового, раскрытия конкретных ТП и формулировки определенных технических задач.

«Рождение и вынашивание» новой технической идеи.

Разработка идеальной модели (как по форме, так и по содержанию). 4) Конструирование.

5) Этап предметного и относительно завершенного воплощения изо­бретения в техническом объекте. На данном этапе относительно завершается процесс технического творчества, т.к. этот этап – основа возникновения но­вых технических задач и циклов творческого поиска.

С.А. Новоселов предлагает структуру сотворческой изобретательской деятельности учащихся и педагога, включающую морфологический сбор информации (МАСИ).

Основным отличием МАСИ от морфологического анализа является то, что в качестве условных морфологических признаков выделяются отдельные элементы изобретательского процесса (область техники, усмотрение потребности, построение иерархии целей, разработка способов, устройств, веществ для достижения этих целей и т.д.), а альтернативные варианты морфологических признаков подбираются в процессе сбора научно-технической и патентной информации.

Автор отмечает, что работа с морфологическими матрицами в процессе МАСИ направлена не на решение четко сформулированной технической задачи, а на ее постановку. Однако следует отметить, что при заполнении морфологической матрицы (таблицы) вносят альтернативные варианты уже существующие т.к. они берутся из различных информационных источников и, хотя автор говорит о возможности внесения и возможных альтернатив, предварительный анализ существующей информации создает психологические барьеры на пути выявления новой потребности, Т.е. барьеры на пути усмотрения и формулирования новой технической задачи. Как отмечает сам автор предпосылки для формирования новых технических задач создаются на основе неожиданных сочетаний выделенных морфологических признаков, как в направлении поиска новых технических решений, так и в направлении раскрытия новых потребностей. Причем механизм возникновения ассоциаций в данном случае подобен механизму, действующему при использовании методов случайного (интуитивного) поиска.

Продуктивность МАСИ связана, как отмечает сам автор, со случайным взаимодействием вариантов морфологических признаков, однако, вероятность появления новой идеи снижается, если информация строго ограничена и соответствует старой идее. Собранная в МАСИ информация направлена на поддержание этой идеи. Все это создает барьер на пути новой идеи [7].

После анализа методов, подходов, приемов, средств видно, что для лучшего развития изобретательских способностей, в общеобразовательной школе, на мой взгляд, являются инструменты ТРИЗ (приемы), метод фокальных объектов, метод мозгового штурма, решение конструкторских задач.

2. Проектирование и изготовление ветряка

2.1 Требования к ветряку.

1. Ветродвигатель должен работать при слабом порыве ветра.

2. Ветряк должен работать при постоянных переменах направления ветра.

3. Лопасти ветродвигателя должны быть изготовлены из тонкого, легкого, упругого материала.

4. Лопасти должны иметь дугообразную форму.

5. Ветродвигатель должен быть снабжен аккумулятором, чтобы генерируемая энергия накапливалась.

2.2 Технологическая карта изготовления ветродвигателя.

Таблица 2

№ п/п

Содержание и последовательность операций

Инструмент

Оборудование и приспособления

рабочий

Контрльно-мерительный

1.

2.

3.

4.

5.

6.

8.

9.

10.




11.



12.

13.



14.

15.

16.


17.

18.



19.

20.

21.

22.

Изготовление лопастей

Сверление отверстий в оси

Изготовление направляющих и каркаса

Пайка направляющих и каркаса

Изготовление втулок

Пайка и втулки пружины к лопасти

Склейка одного края лопасти к направляющей

Пайка пружин к каркасу

Изготовление балки




Изготовление корпуса



Сверление отверстия в корпусе и балке

Изготовление муфты для генератора


Пайка первого шкива к генератору

Пайка подшипника, генератора к корпусу

Соединение светодиода, лампочки, реле и аккумулятора с корпусом

Пайка шайбы на оси

Пайка между собой генератора, аккумулятора, светодиода, лампочки, реле проводами

Соединение корпуса с осью

Соединение балки и оси и пайка балки с корпусом

Соединение второго шкива с осью

Соединение первого и второго шкива ремнем

Покраска изделия

Ножницы

Сверло

Кусачки

Паяльник, припой, канифоль

Кусачки

Паяльник, припой, канифоль

Клей

Паяльник, припой, канифоль

Паяльник, припой, канифоль, ножовка по металлу, плоскогубцы

Паяльник, припой, канифоль, ножовка по металлу

Сверло

Паяльник, припой, канифоль, ножницы по металлу

Паяльник, припой, канифоль

Паяльник, припой, канифоль

Паяльник, припой, канифоль

Паяльник, припой, канифоль

Паяльник, припой, канифоль

Плоскогубцы







кисточка, пульверизатор

Линейка

Штангенциркуль

Линейка

Линейка

Линейка

Линейка

Линейка

Линейка

Линейка, штангенциркуль




Линейка





Линейка









Линейка



Сверлильный

станок


























Сверлильный станок









2.3 Выполнение технических расчетов

1. Мощность, развиваемая ветродвигателем:

Nвет= ро*V*F/2*кси, где:

Nвет - мощность, Вт;

ро - плотность воздуха, кг/м3 (при t = 15°C и Р = 760 мм р.с.  ро =1,23 кг/м3)

V - скорость воздушного потока, м/с;

F- площадь лопасти, м2;

кси - коэффициент использования энергии ветра (у карусельных ветродвигателей лопастного типа кси = 0,18 - 0,48).  

Nвет = ро*V*F/2*кси

Найдем Nвет при скорости ветра 2 м/с

Nвет = 0,179 Вт

Найдем Nвет при скорости ветра 3 м/с

Nвет = 0,268 Вт

Найдем Nвет при скорости ветра 4 м/с

Nвет = 0,358 Вт

Найдем Nвет  при скорости ветра 5 м/с

Nвет = 0,447 Вт

Найдем Nвет при скорости ветра 6 м/с

Nвет = 0,537 Вт

2. Расчет КПД

η=2*Nвет/ρ*F* V, где:

η – КПД (%)

Nвет - мощность, Вт;

ро - плотность воздуха, кг/м3 (при t = 15°C и Р = 760 мм р.с.  ро =1,23 кг/м3)

V- скорость воздушного потока, м/с;

F- площадь лопасти, м2;

Найдем η при скорости ветра 2 м/с

η = 27,8 %

Найдем η при скорости ветра 3 м/с

η = 27,9 %

Найдем η при скорости ветра 4 м/с

η = 28,1 %

Найдем η при скорости ветра 5 м/с

η = 29,1 %

Найдем η при скорости ветра 6 м/с

η = 28 %

2.4 Расчет себестоимости.

Расчет себестоимость операции сборки изделия:

С=Сз р.+Си р.+Со р.+Сэ р.+Сп.д. р.

Расчет элементов:

1. Заработная плата основных рабочих:

Сз=Зч*tшт.к.= 200 руб./ч.*0,75ч.=150 р./шт.

Где tшт.к. – штучно-калькуляционное время выполнения операции, ч.

Зч – часовая тарифная ставка рабочего руб./час

2. Затраты на инструмент:

Си=Ци р.*Ии /А = 0,85 р.

Ци – цена приобретения или изготовления инструментов:

Паяльник – 50 р.

Сверло – 15 р.

Ножовка по металлу – 100 р.

Напильник – 30 р.

Сверлильный станок – 200 р.

Плоскогубцы – 30 р.

Ии=0,002–доля износа инструмента при обработке данной партии деталей, %

А=1 кол-во изделий выпускаемых в партии

3. Затраты на оснастку

Со=Цо р.*Ио/А шт. = 0,3 р.

Цо – цена приобретения или изготовления оснастки:

Стол – 100 р.

Стул – 50 р.

Ио = 0,002 – доля износа инструментов при обработке данной партии деталей, %

А = 1 – кол-во изделий выпускаемых в партии

4. Затраты  на силовую электроэнергию

Сэ=NTKз*Цэ=1,69 квт*6,58 ч. *0,1*1,5 р./кВт вчас =1,67 р.

N=1,69 кВт – суммарная мощность работы электрооборудования:

Паяльник – 690 Вт

Двигатель сверлильного станка – 1000 Вт

Т = 6+0,008+0,5=6,58, ч.

Кз – коэффициент учитывающий загрузку электрооборудования по мощности и времени, потери в эл. сети и КПД.

Цэ = 1,5 (р/кВт в час) – цена электроэнергии в рублях

Название

Стоимость (руб.)

Генератор

Стеклотекстолит

Светодиод

Аккумулятор

Провода

Проволока

Реле

Подшипник

Ременная передача

Общая сумма Сп.д.

250 за шт.

100 за м2

15 за шт.

5 за шт.

25 за шт.

10 за метр

40 за метр

5 за шт.

20 за шт.

40 за шт.

510 р.


Сизд = 150р.+0,85р.+0,3р.+1,67р.+510р.=662,82р

3.   Экспериментальная часть

3.1 Описание общей компоновки технического объекта.

Для изготовления ветродвигателя был выбран тип ветродвигателя карусельный. Он имеет наивысший коэффициент использования энергии ветра и более надёжны в эксплуатации. Лопасти сделаны из стеклотекстолита так как, он прочный, гибкий, упругий и легкий материал. Лопасти ветродвигателя имеют дугообразную форму, и они закреплены выпуклостями наружу, относительно оси. Это сделано для того, чтобы прирост парусности лопасти со стороны вогнутой ее части за счет центробежной силы, превышал этот прирост со стороны выпуклости по отношению к потоку воздуха, за счет обтекаемости выпуклого участка лопасти. Так же на концах лопасти есть пружины, они необходимы, для того чтобы при порыве ветра лопасти держали дугообразную форму. Механическое движение с оси на генератор передается с помощью ременной передачи, так как ее проще изготовить, и она лучше предает механическое движение. Корпус ветродвигателя имеет прямоугольную форму, внутри его расположен генератор, аккумулятор, реле, провода и светодиод, так же корпус обеспечивает устойчивость ветродвигателю.

Ветродвигатель состоит из двух лопастей, который жестко закреплены с одной стороны на направляющих, а с другой стороны лопасти присоединены с помощью втулки и пружины к каркасу, который в свою очередь закреплен на оси. Ось снизу держится на подшипнике, а сверху закреплена на балке. Механической движение с оси на генератор передается с помощью ременной передачи. Выработанное электричество генератором поступает к аккумулятору и светодиоду через провода. При переключении реле ток поступает через светодиод, аккумулятор и лампочку.

3.2 Описание элементов конструкции и их особенности и взаимосвязь.

Лопасти ветродвигателя связаны с осью через каркас и направляющие. С одной стороны лопасть приклеена к направляющей, а с другой стороны припаяна к каркасу через втулку и пружину. Ось держится снизу на подшипнике, а сверху на балке. Балка припаяна к корпусу с четырех сторон, что придает жесткость конструкции. Генератор вставлен в муфту, которая припаяна к корпусу. Аккумулятор приклеен к корпусу. Реле, светодиод и лампочка вставлена в корпус.

3.3 Описание работы объекта

Объект ветродвигатель предназначен для выработки энергии за счет силы ветра. При порыве ветра лопасть начинает вращаться, вращая за собой ось, ось передает движение через ременную передачу генератору, который вырабатывает электричество, которое поступает на светодиод и аккумулятор.

За счет пружин, лопасти держат дугообразную форму. При работе ветродвигателя работают обе лопасти, за счет их дугообразной формы, которые закреплены выпуклостями наружу, относительно оси, когда на одну лопасть дует ветер, то он за счет обтекаемости выпуклого участка лопасти попадает на вторую лопасть, которая тоже имеет выпуклую форму тем самым, создавая дополнительное движение.

3.4 Недостатки конструкции

Недостатками конструкции является:

1)   Конструкция не устойчивая.

2)   При работе ветродвигателя происходит биение, что снижает скорость вращения оси.

3)   При сильных порывах ветра (от 7 и выше м/с) конструкция подвержена поломке.

4)   Генератор выдает слабое напряжение.

5)   Конструкция не полностью использует силу ветра.

6)   Ветродвигатель не работает при слабом ветре (1 м/с)

Заключение

Творческие способности – это индивидуальные особенности, качества человека, которые определяют успешность выполнения их творческой деятельности различного рода. Изобретательские способности – это креативное мышление, высокий уровень интеллекта, продуктивность умственной работы человека, обеспечивающие в совокупности получение нового продукта, обладающего новизной и полезностью. В обучении, новизна, как правило, является субъективной, т. е. новой только для учащегося, в то время как в реальной действительности существует критерий мировой новизны, т. е. новое в мире, а не только для учащегося. После анализа методов, подходов, приемов, средств видно, что для лучшего развития изобретательских способностей, в общеобразовательной школе, на мой взгляд, являются инструменты ТРИЗ (приемы), метод фокальных объектов, метод мозгового штурма, решение конструкторских задач.

Ветродвигатель должен работать при слабом порыве ветра и при постоянных переменах направления ветра. Лопасти ветродвигателя должны быть изготовлены из тонкого, легкого, упругого материала и должны иметь дугообразную форму. Ветродвигатель должен быть снабжен аккумулятором, чтобы генерируемая энергия накапливалась.

Объект ветродвигатель предназначен для выработки энергии за счет силы ветра. При порыве ветра лопасть начинает вращаться, вращая за собой ось, ось передает движение через ременную передачу генератору, который вырабатывает электричество, которое поступает на светодиод и аккумулятор.

За счет пружин, лопасти держат дугообразную форму. При работе ветродвигателя работают обе лопасти, за счет их дугообразной формы, которые закреплены выпуклостями наружу, относительно оси, когда на одну лопасть дует ветер, то он за счет обтекаемости выпуклого участка лопасти попадает на вторую лопасть, которая тоже имеет выпуклую форму тем самым, создавая дополнительное движение.

Библиографический список

1.

ВЕТРОДВИГАТЕЛЬ ДЛЯ ВЕТРЯКА

 

 

ВЕТРОДВИГАТЕЛЬ ДЛЯ ВЕТРЯКА

ВЕТРОДВИГАТЕЛЬ ДЛЯ ВЕТРЯКА

Изобретение поясняется чертежами, где на фиг.1 показан общий вид ветродвигателя; на фиг.2 показано укрупнено щелевое крыло; на фиг.3 и 4 показано взаимодействие ветроколеса с ветром при различных углах поворота колеса к ветру.

Ветродвигатель содержит ветроколесо с вертикальной осью вращения 1, снабженное не менее чем тремя ветровоспринимающими элементами 2, скрепленными с радиальными траверсами 3, жестко закрепленными на вертикальной оси вращения 1 перпендикулярно ей (при больших размерах ветроколеса число траверс равно двум, при малых можно использовать только одну траверсу). Внешние концы 4 траверс 3 оперты на кольцевую опору 5. При необходимости (при больших размерах ветровоспринимающих элементов), можно использовать две параллельные кольцевые опоры, разнесенные по высоте друг над другом, но по нашим расчетам в большинстве случаев достаточно одной. Ветроколесо установлено с возможностью взаимодействия с генератором электрической энергии 6. Каждый ветровоспринимающий элемент 2 выполнен в виде щелевого крыла, содержащего не менее двух параллельных лопастей 7, разнесенных в плоскости вращения ротора друг от друга на 0,3 хорды лопасти по типу щелевого крыла Жуковского Н.Е. Профилю поперечного сечения лопастей 7 придана серповидная форма, выпуклая в сторону вращения 8 ветроколеса и вогнутая со стороны ветровоспринимающих поверхностей 9, при этом ширина и длина лопастей щелевого крыла увеличивается от его вогнутой поверхности, воспринимающей ветер, не менее чем на 5% от размеров соседней наименьшей. Поперечному сечению наибольшей лопасти каждого щелевого крыла придана каплеобразная форма, для чего радиус кривизны профиля центральной части ее выпуклой поверхности выполнен меньшим, чем у остальных лопастей щелевого крыла. Кроме того, образующая ветровоспринимающей поверхности 9 наименьшей из лопастей 7 щелевого крыла радиальна и перпендикулярна вертикальной оси вращения 1.

Внешние концы траверс снабжены роликами 10 с ребордами, которыми они оперты на кольцевую опору 5, с возможностью качения по ней. Кольцевая опора 5 зафиксирована на опорных мачтах 11 (как минимум, трех).

Ветродвигатель работает следующим образом. При наличии ветра, на ветровоспринимающих элементах 2, при направлениях ветра от 0 до 180° возникают аэродинамические силы, заставляющие вращаться вал двигателя (вертикальную ось вращения), так как поверхности щелевых крыльев, движущиеся навстречу ветру, имеют более низкое аэродинамическое сопротивление. При этом, в активной зоне щелевых крыльев возникают дополнительные аэродинамические силы в соответствии со свойствами щелевого крыла, которые повышают аэродинамические силы, действующие на лопасти, в 1,7-2 раза в сравнении с одинарной - обычной лопастью.

Взаимодействие ветровоспринимающих элементов 2 с ветром представлено на фиг.3, 4 при различных углах поворота вертикальной оси вращения 1.

Из чертежей следует, что при повороте блока лопастей от 0° до 180° практически сохраняется результирующая аэродинамическая сила на ветровоспринимающем элементе.

Увеличение числа лопастей в ветровоспринимающих элементах свыше трех приведет только к снижению эффективности ветродвигателя.

При повороте ветровоспринимающих элементов от 0° до 180° практически сохраняется результирующая аэродинамическая сила на нем.

Наличие кольцевой опоры 5, укрепленной не менее чем на трех опорных мачтах 11, обеспечивает почти полную разгрузку вертикальной оси вращения и траверс ветродвигателя от опрокидывающего момента при ветре любой силы.

Вращение вертикальной оси вращения 1 передается на вал генератора электрической энергии 6 с выработкой электроэнергии.

Таким образом, предлагаемая конструкция позволяет увеличить ветроэффективность ветродвигателя почти в 3,2 раза в сравнении с классической и довести ее до величины 0,65-0,75.

ФОРМУЛА ИЗОБРЕТЕНИЯ

1. Ветродвигатель, содержащий ветроколесо с вертикальной осью вращения, снабженное не менее чем тремя ветровоспринимающими элементами, скрепленными с радиальными траверсами, закрепленными на вертикальной оси перпендикулярно ей, при этом внешние концы траверс оперты на кольцевую опору, кроме того, ветроколесо установлено с возможностью взаимодействия с генератором электрической энергии, отличающийся тем, что каждый ветровоспринимающий элемент выполнен в виде щелевого крыла, содержащего не менее двух параллельных лопастей, профилю поперечного сечения которых придана серповидная форма, выпуклая в сторону вращения ветроколеса и вогнутая со стороны ветровоспринимающих поверхностей, при этом ширина и длина лопастей щелевого крыла увеличивается от его поверхности, воспринимающей ветер, не менее чем на 5% от размеров соседней наименьшей, причем поперечному сечению наибольшей лопасти каждого щелевого крыла придана каплеобразная форма, для чего радиус кривизны профиля центральной части ее выпуклой поверхности выполнен меньшим, чем у остальных лопастей щелевого крыла.

2. Ветродвигатель по п.1, отличающийся тем, что образующая ветровоспринимающей поверхности наименьшей из лопастей щелевого крыла радиальна и перпендикулярна вертикальной оси вращения.

Приложение 2

КАРУСЕЛЬНЫЙ ВЕТРОДВИГАТЕЛЬ

Имя изобретателя: Султанов Адхам Закирович

Имя патентообладателя: Султанов Адхам Закирович

Адрес для переписки:

Дата начала действия патента: 1991.02.01

Использование: в ветроэнергетике. Сущность изобретения: ветродвигатель содержит вертикальный полый вал, установленные на нем горизонтальные поворотные валы с лопастями, ветронаправляющее устройство, вертикальные стойки, каркас, выполненный в виде связанных между собой дугами радиальных траверс, соединенных с вертикальными стойками, укрепленные на стойках кулисы с П-образным сечением, водило с пальцем, подшипником и отверстиями, одно из которых выполнено шлицевым. Горизонтальные валы связаны со стойками с одной стороны при помощи резьбового соединения, а с другой шлицевым соединением и связаны с водилом, соединенным через палец и подшипник с кулисой. Ветронаправляющее устройство укреплено на стойках.

ОПИСАНИЕ ИЗОБРЕТЕНИЯ

Изобретение относится к ветродвигателям, работающим при любой скорости ветра, включая ураганный.

Целью изобретения является повышение КПД и надежности в работе при любой скорости ветра, включая ураганный.

КАРУСЕЛЬНЫЙ ВЕТРОДВИГАТЕЛЬ



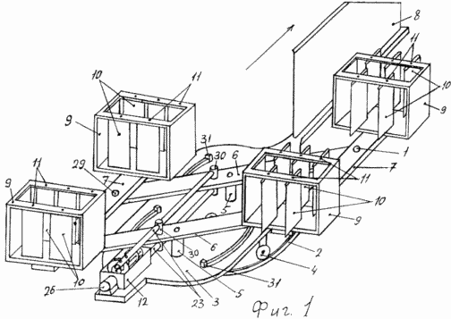
На рис. 1 изображен предлагаемый ветродвигатель, вертикальный разрез; на фиг. 2 - разрез А-А на фиг. 1; на фиг. 3а - горизонтальный вал с лопастями и другими деталями; на фиг. 3в - водило; на фиг. 4 - кулиса; на фиг. 5 - разрез Б-Б на фиг. 1.


Карусельный ветродвигатель содержит полый вертикальный вращающийся вал 1 с диаметром d, оканчивающийся шипом 2, общей высотой H + Н1 с взаимоперпендикулярными ступенчатыми отверстиями 3, выполненными на двух уровнях с высотой h (фиг. 1 и 3) и взаимодействующими с взаимоперпендикулярными горизонтальными валами 4. Один конец последних оканчивается шипом 5 и резьбой, а другой конец - таким же шипом 5, затем шлицами и резьбой. В противоположной стороне отверстий 3 выполняются окна 6 (фиг. 1 и 3), закрывающиеся через регулировочные прокладки крышками 7, закрепленными болтами (осевые линии). На крышках 7 выполнены отверстия, взаимодействующие с валами 4. Для предотвращения осевого перемещения вала 4 на него насаживается втулка 8, закрепленная на валу 4 болтом (осевая линия). Торцы втулки 8 взаимодействуют с внутренней стенкой вала 1 и внутренней стенкой крышки 7. Если диаметр вала 1 позволяет пройти человеку, то окно 6 на валу 1 не выполняется, так как втулку 8 на вал 4 насаживает человек, находясь внутри вала 1. Валы 4 выполняются с двумя взаимоперпендикулярными щелями 9, в которые насаживаются лопасти 10, крепящиеся болтами (осевые линии). Шипы 5 валов 4 насаживаются в отверстия, выполненные на стойках 11 и их левые концы через шайбы крепятся гайками (фиг. 1-3). На шлицы (правые концы валов 4) через шайбы насаживаются водила 12 (фиг. 1-3) и через шайбы крепятся гайками. На гладкое отверстие водила 12 насаживается палец 13 и через шайбу крепится гайкой (не показана), а на другой конец пальца 13 насаживается подшипник 14, взаимодействующий с кулисой 15 П-образного сечения, закрепленный на ветронаправляющие стойки 16. Для того, чтобы подшипник 14, насаженный на палец 13, точно двигался по кривой дорожке (фиг. 4), т. е. по кулисе 15, ее сечение выполняется обязательно П-образным. Вертикальные стойки 11 крепятся (осевая линия) на торцы радиальных балок 17, внутренние концы которых крепятся на кольцо 18, закрепленное сваркой (болтами) на вал 1. Верхние концы вертикальных стоек 11 крепятся на наружные торцы верхних радиальных балок 19 (осевая линия), а их внутренние концы крепятся на кольцо 20 (осевые линии), надетое на шип 2 и закрепленное болтами (осевые линии). С целью повышения жесткости наружные концы радиальных балок 17 соединяются дугами 21, образующими кольцо. Нижние концы вертикальных ветронаправляющих стоек 16 крепятся (осевые линии) на торцы радиальных балок 22, внутренние концы которых крепятся (осевые линии) на кольцо 23 (фиг. 1), взаимодействующее через ролики (не показаны) с валом 1 и кольцом 18. Радиальные балки 22 соединяются такими же дугами, как дуги 21, образующими кольцо, взаимодействующее через ролики со сплошным кольцом 24, закрепленным на крышке. Верхние концы ветронаправляющих стояков 16 крепятся на торцы радиальных балок 25, крепящихся на кольцо 26, взаимодействующие через подшипник (не показан) с шипом 2 и через ролики с кольцом 20. Радиальные балки 19 и 25 соединяются дугами как дуги 21 (фиг. 5).

Направляющий хвост 27 (фиг. 2) крепится на ветронаправляющую стойку 16 и с целью горизонтального направления ветра на радиальные балки 25 крепится кровля 28.

Если высота ветродвигателя (Н + Н1) более 50 м, устанавливается крестовина 29, взаимодействующая через ролики с кольцом 26, и на нее крепится заглушка 30. Крестовина натягивается тросами 31.

Для повышения мощности ветродвигателя к ветронаправляющим стойкам 16 крепится вертикальный щит 32 с длиной В и под углом b = 15о и вертикальный щит 33 под углом b = 45о и длиной С. Расстояние между торцами щитов 32 и 32 составляет e. Продолжением щита 32 является дуговой щит 34, закрепленный на ветронаправляющие стойки 16, занимающий сектор с углом охвата a = 90о, дуговой щит 35 с углом охвата a1 = 50о. Между вертикальными щитами 32 и 33 образуется диффузор 36 (e = 2R).

Для передачи крутящего момента на вал 1 крепятся шкив 37, шестерня 38, к которым присоединяются потребители энергии: электрогенератор 39, компрессор 40, установленные в помещении, содержащем фундамент 41 со стенами и закрывающимся потолком 42, где установлено кольцо 24. В отверстие потолка 42 установлен подшипник 43, а на фундамент - подшипник 44, взаимодействующие с валом 1.

Для поворота цилиндрической ветронаправляющей рамы, состоящей из вертикальных стоек 16, на которые закреплены дуговые щиты 34 и 35 и вертикальные щиты 32 и 33, направленные против (вдоль) ветра, служит хвост 27. Для ликвидации массивного металлоемкого хвоста 27 выполняют флюгер, точно определяющий направление ветра. Автоматически выполняет функции хвоста 27 электромотор 45, выполненный с червяком 46, взаимодействующий с червячным колесом 47, закрепленным на нижние ребра радиальные балок 22.

Веpхние концы вертикальных ветронаправляющих стоек 16, закреплены на радиальных балках 25, внутренние концы которых закреплены на кольце 26, взаимодействующем через ролики с кольцом 20. Нижние концы ветронаправляющих стоек 16 закреплены на наружные торцы радиальных балок 22, а внутренние концы закреплены на кольцо 23, взаимодействующее с валом 1 и через ролики с кольцом 18. Кольцо, образованное дугами, закрепленными на радиальные балки 22, взаимодействует через ролики с кольцом 24, закрепленным на потолке 42, предотвращающем раскачивание вала 1 в вертикальном направлении. Благодаря хвосту 27 ветродвигатель всегда находится в рабочем состоянии, т. е. диффузор 36 всегда направлен против ветра.

Если установлен флюгер, соединенный автоматом, то направление диффузора 36 против ветра выполняется электромотором 45, выполненным с червяком 45, взаимодействующим с червячным колесом 47, закрепленным на радиальные балки 22.

Поток ветра (стрелки), движущийся ниже кровли 28, входящие в диффузор 36 с шириной e (e = 2R), обрушивается на правую лопасть 10, закрепленную на щели 9 вала 4, шипы 5 которого взаимодействуют с отверстиями, выполненными на стойках 11, закрепленных на радиальных балках 17, закрепленных дугами 21 на кольцо 18, закрепленное на вал 1, вращающийся по часовой стрелке w. Ветер, ударяясь о щит 33, находящийся под углом b1, рикошетом ударяется о лопасть 10, находящуюся параллельно к ветру, вращает вал 1 по часовой стрелке, часть ветра движется между дуговым щитом 35 и верхней лопастью 10. Ввиду того, что щит 32 - под меньшим углом b(b<b1), ветер, ударяясь с незначительным рикошетом, увеличивает скорость (закон Бернулли) и двигается к правой лопасти 10, длина лопасти 10 - R = e: 2. Следовательно, скорость v ветра увеличится в 2 раза. При скорости ветра v = 8 м/с, при массе проходящего за 1 с 10 т энергия ветра составит При скорости (8Ч2 = 16 м/с) энергия ветра составит По мере вращения правой лопасти 10 масса ветра оказывается между двумя лопастями и дуговым щитом 34, создающим крутящий момент на валу 1, до тех пор, пока лопасть 10 не пройдет нижнего торца дугового щита 32. Kогда лопаcть 10 пройдет ветровую тень, создаваемую валом 1 (линия Оe, образующая угол a3), вал 4, на торце которого закреплено шлицами водило 12, а на другом конце крепится палец 13 с подшипником 14, взаимодействующим с кулисой 15, проходя по ее наклонной части, начнет поворачивать лопасть 10 (пунктиры в наклонной части кулисы, фиг. 4) в горизонтальное положение (левая часть от вала 1), до тех пор пока она не станет в горизонтальное положение (параллельно к листу) к движению ветра. Благодаря взаимодействию торцов втулки 8 с внутренней поверхностью вала 1 и крышки 7, закрывающей окно 6, вал 4, взаимодействующий с отверстием 3, не может перемещаться осевом направлении.

На левой стороне (фиг. 1 и 2) от вала 1 лопасть 10 двигается параллельно к движению ветра до тех пор, пока вал 4 не дойдет (около 10о) до линии ОС, лопасть 10 принимает вертикальное положение к листу и ветер от щита 33 рикошетом начинает двигать лопасть по часовой стрелке. Цикл повторяется. Таким образом, рабочий ход лопасти 10 длится около a2= 220о (фиг. 2).

С целью предотвращения вала 1 от вертикальной качки, когда Н1 + Н = 50 м и более, ветродвигатель выполняется с крестовиной 29, закрытой фланцем 30, натянутой тросами 31, взаимодействующей через подшипник с шипом 2 и через ролики с кольцом 26.

От вала 1 крутящий момент передается шкиву 37, шестерне 38, электрогенератору 39, компрессору 40 и другим потребителям энергии, установленным в помещении, содержащем фундамент 41, стен, потолок 42, в отверстие которого установлен подшипник 43 и подшипник 44, установленный в фундаменте 41. Подшипники взаимодействуют с валом 1.

Удобно, безопасно через шкив и шестерню снимать мощность и подключать любого потребителя. Мощность можно снять от известных крыльчатых ветряков.

КПД использования энергии ветра известных карусельных и барабанных ветродвигателей, выполненных с ширмами, составляют около 10% . Лопасти ветродвигателя системы Савониуса, выполненные выпуклыми и вогнутыми поверхностями, находятся перпендикулярно к движению ветра, поэтому по выпуклой поверхности ветер скользит и действует на изогнутую поверхность. Рабочий ход составляет 180о поворота вала. Но несмотря на это КПД составляет 0,23.

КПД использования энергии ветра современными быстроходными крыльчатками (винтовыми) ветродвигателями составляет около 40% (0,4), и они трогаются при скорости ветра 4-6 м/с. У предложенного ветродвигателя одна половина лопасти (от оси вала 1) находится перпендикулярно к направлению ветра, а другая половина лопасти - горизонтально. Благодаря диффузору скорость ветра увеличивается в 2 раза, а рабочий ход равен 220о поворота вала, что позволяет резко повысить КПД использования ветра, он составит более 0,9. Для расчета КПД примем hисп.в. = 0,5.

Номинальная мощность всех типов ветродвигателей рассчитывается при скорости ветра около 8 м/с.

Коэффициент завихрения ветра примем 0,95, механический КПД (вал 1 вращается на подшипниках качения) hм = 0,92-0,98. Общее КПД hобщ = 0,95 (0,92 + 0,98): 2 = 0,9. Скорость ветра 8 м/с, высота Н = 100 м, диаметр вала 1 d = 4 м с учетом диаметра d радиус R = 10 м.

При скорости ветра v = 8 м/с на один кв. метр лопасти давление Р ветра составит 110 кгс/м2. При указанных параметрах частота вращения вала 1 без нагрузки составит n = 60c/pA (об. /мин), n = (8Ч60)/(3,14Ч20) = 8 об. /мин.

С учетом повышения скорости ветра в районе лопасти 10 в 2 раза частота вращения вала 1 составит 16 об. /мин, но под нагрузкой вал 1 вращает n = 8 об. /мин. Общее давление ветра на одну половину лопасти 10 составит Робщ = 100х10х110 = 110000 кг. Сила приложения давления R: 2.

Определим крутящий момент Mкр= PобщЧ R/2 = 110000 10/2 = 550000 (кгЧм) = 550000 (кг Ч м). Мощность N = ЧhобщЧhисп.в.=550000Ч8/975Ч0,9Ч0,5 = 2031 кВТ, где 975 - переводной коэффициент на кВт.

При скорости ветра 16 м/с давление Р на один кв. метр составит около 140 кг, скорость вращения вала 1 под нагрузкой составит 16 об. /мин.

Мкр = 140х100х10х5 = 700000 кгм, N = (700000Ч16)/975 0,95 Ч 0,5 = 5482 кВт.

Следует напомнить, что энергия ветра пропорционально кубу его скорости. При повышении скорости ветра в 2 раза, энергия возрастает (16/8)3 = 8 раз, следовательно, мощность тоже должна возрастать - 2031х8 = = 16248 кВт. Подсчитывая заниженными цифрами, получили 5482 кВт.

На острове Новая Земля скорость ветра (Новоземельская бора) достигает 50 м/с. При скорости ветра давление Р на один кв. метр составит более Р = 400 кгс/м2, Мкр = 400х100х10х5 = 2000000 кг, N = (2000000Ч85)/(975Ч0,9Ч0,5) = 78000 кВт.

На Новой Земле среднюю скорость ветра примем 10 м/с, тогда n = 10 об. /м, давление Р = 120 кгс/м2. Получим Мкр = 120х100х10х5 = 600000 кгм, N = (6000000Ч10)/975х0,9х0,5 = 2700 кВт. В течение года (за 360 дней) он выработает энергию - Е = 2700х24х360 = 23328000 кВт.

Для выработки 2 трлн кВт электроэнергии (в СССР вырабатывается около 2 трлн кВт) необходимо построить 2000000000000: 23328000 = 86000 шт ветроэлектростанций. При стоимости одной станции 100 тыс. руб. со всем оборудованием, то для строительства всех потребуется 8,6 млрд. руб. - это стоимость двух АЭС.

Предложенные ветродвигатели вырабатывают водород для всего вида транспорта, а кислород для промышленности.

Ветры дуют везде, даже в районе Крылатском (г. Москва, на метеостанции Крылатское (на берегу гребного канала), средняя скорость ветра за 1987 год составила 7,5 м/с, 1988 г. - 7 м/с, 1989 г. - 7,2 м/с.

На вершине Хадум-горы, где функционирует Чиркейская ГЭС, Дагестанская АССР, ветры дуют также, как на Новой Земле.

Объем Q предложенного ветродвигателя составит Q = p R2H = 3,14х102х100 = 30000м3 - это половина объема только одного железнодорожного тупика ТЭС, мощностью 1,2 млн. кВт, которая содержит девять крупных объектов, начиная от главного здания ТЭС, кончая подземным бункером топлива, глубоко нарушающая экологию. (56) Фатеев Е. Ф. Ветродвигатели и ветроустановки. М. : Сельхозгиз, 1957.

Заявка Франции N 2288878, кл. F 03 D 3/00, опубл. 1976.

ФОРМУЛА ИЗОБРЕТЕНИЯ

КАРУСЕЛЬНЫЙ ВЕТРОДВИГАТЕЛЬ, содержащий вертикальный полый вал, установленные на нем горизонтальные поворотные валы с лопастями, ветронаправляющее устройство, отличающийся тем, что, с целью повышения КПД и надежности, он снабжен вертикальными стойками, каркасом, выполненным в виде связанных между собой дугами радиальных траверс, соединенных с вертикальными стойками, укрепленными на стойках кулисами с П-образным сечением, водилом с пальцем, подшипником и отверстиями, одно из которых выполнено шлицевым, горизонтальные валы связаны со стойками с одной стороны при помощи резьбового соединения, а с другой - шлицевым соединением и связаны с водилом, соединенным через палец и подшипник с кулисой, а ветронаправляющее устройство укреплено на стойках.

Приложение 3

ВЕТРОВАЯ ЭНЕРГЕТИЧЕСКАЯ УСТАНОВКА

Имя изобретателя: Миронов Николай Иванович (RU) 

Имя патентообладателя: Миронов Николай Иванович (RU)

Адрес для переписки: 690000, г.Владивосток, ул. Уборевича, 10б, кв.5, Н.И.Миронову

Дата начала действия патента: 2002.08.07 

Изобретение относится к области ветроэнергетики и может быть использовано для преобразования энергии ветра в электрическую энергию. Технический результат заключается в повышении мощности ветроустановки. Ветроэнергетическая установка содержит горизонтальную платформу, опертую на рельс, с жестко закрепленным на ней флюгером, рабочая поверхность которого проходит через ось поворота горизонтальной платформы. На платформе закреплены валы, на которые надеты радиальные траверсы, концы траверс шарнирно связаны балками. Балки установлены с возможностью возвратно-поступательного движения параллельно одна другой и рабочей поверхности флюгера, проходящей через вертикальные валы. Поворотные лопатки установлены на вертикальных осях в опорных рамах, каждая из которых жестко закреплена на балке, кинематическую связь с электрогенератором выполняют консольные балки, шарнирно соединенные с траверсами и передающие возвратно-поступательное движение инерциальному элементу, установленному с возможностью вращения на горизонтальных направляющих поворотной рамы. Инерциальный элемент снабжен храповыми муфтами, контактирующими каждая на своем участке с винтовой поверхностью вала, разделенной на два участка, закрутка которых выполнена в противоположные стороны.

ОПИСАНИЕ ИЗОБРЕТЕНИЯ

Изобретение относится к ветроэнергетике и может быть использовано для преобразования энергии ветра в электрическую энергию.

Известна ветровая энергетическая установка (А.С. СССР №1451330, кл. F 03 D 7/06, 1989 г.), содержащая парусообразные лопасти, установленные на радиальной траверсе, размещенной на вертикальном валу, и кинематически связанная с электрогенератором, механизм изменения рабочей площади лопастей и механизм ориентирующий, выполненный в виде флюгера.

Недостаток этого технического решения - невозможность обеспечить высокую мощность генератора.

Наиболее близкой по технической сущности является выбранная за прототип (патент России №2002107, кл. МКИ 4 F 03 D 3/00, F 03 D 3/06, F 03 D 5/00, F 03, 7/06, 30.10.1993 г.) ветровая энергетическая установка, содержащая ротор в виде поворотной относительно опорной поверхности горизонтальной платформы с флюгером, поворотные лопатки, образующие парусообразные плоскости, установленные на вертикальных осях в опорных рамах, закрепленных на тележках, установленных с возможностью возвратно-поступательного движения по направляющим, параллельным друг к другу, размещения на валу, закрепленному на горизонтальной платформе, радиальная раздвижная траверса шарнирно связана с тележками, кинематическая связь выполнена в виде шарнирно соединительного с траверсной вала с винтовой поверхностью, разделенной на два участка с закруткой встречного направления, генератор размещен на валу, корпус генератора шарнирно закреплен на горизонтальной платформе.

Данная ветроэнергетическая установка не лишена недостатков, основной из которых - невозможность обеспечить высокую мощность установки, ограничение мощности на валу генератора обусловлено невозможностью увеличения рабочих парусообразных плоскостей, т.к. этому препятствует несущая возможность тележек, совершающих возвратно-поступательные перемещения по направляющим.

Технический результат заключается в повышении мощности установки за счет обеспечения возможности повышения мощности на валу генератора.

Ветровая энергетическая установка содержит горизонтальную платформу с флюгером, вертикальный вал и закрепленную на нем раздвижную радиальную траверсу, шарнирно связанную с тележками, установленными с возможностью возвратно-поступательного движения по направляющим, поворотные лопатки, установленные на вертикальных осях в опорных рамках, закрепленных на тележках, и электрогенератор, кинематически связанный с лопатками винтовым валом с закрутками встречного направления. При этом установка снабжена дополнительным вертикальным валом и закрепленной на нем дополнительной радиальной траверсой, концы траверс шарнирно связаны балками, установленными с возможностью возвратно-поступательного движения параллельно одна другой и рабочей поверхности флюгера, размещенной в вертикальной плоскости и проходящей через вертикальные валы, поворотные лопатки установлены на вертикальных осях в опорных рамах, каждая из которых жестко закреплена на балке, а кинематическая связь с электрогенератором выполнена в виде шарнирно соединенных с траверсами консольных балок, передающих возвратно-поступательное движение инерциальному элементу, установленному с возможностью вращения на горизонтальных направляющих поворотной рамы и снабженному храповыми муфтами, контактирующими каждая на своем участке с винтовой поверхностью, разделенной на два участка, закрутка которых выполнена в противоположные стороны.

Предлагаемая ветровая энергетическая установка отличается тем, что позволяет отказаться от тележек, совершающих возвратно-поступательные перемещения по направляющим, кроме того, установка снабжена инерциальным элементом, включенным в кинематическую связь с электрогенератором.

Таким образом, заявляемая ветровая энергетическая установка соответствует критерию изобретения «новизна».

Ветровая энергетическая установка поясняется чертежами, где:

ВЕТРОВАЯ ЭНЕРГЕТИЧЕСКАЯ УСТАНОВКА

Фиг.1 изображен общий вид ветроэнергетической установки

ВЕТРОВАЯ ЭНЕРГЕТИЧЕСКАЯ УСТАНОВКА

Фиг.2 изображен разрез электрогенератора и привод к нему

На опорной поверхности размещен кольцеобразный рельс 2, горизонтальная платформа 3 снабжена роликами 4, которыми она оперта на рельс 2.

Вдоль оси симметрии горизонтальной платформы 3 установлены вертикальные валы 5, на которых с возможностью поворота размещены радиальные траверсы 6. Балки 7 шарнирно связаны с концами траверс 6 и установлены с возможностью возвратно-поступательного движения параллельно друг другу и флюгеру 8, который также закреплен на платформе 3 в вертикальной плоскости, проходящей через оси поворота траверс 6. На балках 7 закреплены (перпендикулярно направлению движения балок) опорные рамы 9, в которых размещены лопатки 10. Лопатки 10 установлены каждая на отдельной поворотной оси 11 таким образом, чтобы в зависимости от разворота осей 11 образовать либо «сплошной парус», когда аэродинамическое сопротивление максимально, либо решетку из параллельных плоскостей, когда аэродинамическое сопротивление «паруса» минимально. Механизм поворота лопаток 10 (не показан) может быть выполнен в виде цепной передачи с приводом, огибающей зубчатые колеса, закрепленные на осях 11.

В опорной раме 12, размещенной на горизонтальной платформе 3, неподвижно закреплен вал 13 пластинчатой формы, которому придана винтообразная закрутка, причем вал 13 разделен на два участка 14 и 15, закрутка которых выполнена в противоположные стороны. Горизонтальные направляющие 16, жестко закрепленные в перегородках 17, параллельны друг другу и винтовой поверхности и составляют с последними поворотную раму 18, установленную на подшипниках 19. Инерциальный элемент 20 установлен на горизонтальных направляющих 16 с возможностью вращения и возвратно-поступательного перемещения относительно пластинчатой поверхности вала 13 и снабжен храповыми муфтами с возможностью взаимодействия каждой (на участке 14 - муфта 21, на участке - 15 - муфта 22) только со своим участком вала 14, 15. Консольные балки 23 шарнирно связаны с траверсами 6 с возможностью возвратно-поступательного движения параллельно рабочей плоскости флюгера 8, на концах балок 23 размещены ролики 24, контактирующие с ободом 25 инерциального элемента 20 с возможностью свободного вращения последнего в них. Генератор 27 приводится во вращение зубчатыми колесами 28 и 29.

Кроме того, на фиг.1 показаны концевые выключатели 31, шарниры 1, валы 30; на фиг.2 также показаны отверстия 26 инерциального элемента 20, в которые пропущены направляющие 16 поворотной рамы 18.

Ветровая энергетическая установка работает следующим образом. Флюгер 8 обеспечивает разворот платформы 3 в рабочее положение вдоль направления ветра (показано стрелкой). При этом опорные рамы 9 с лопатками 10, закрепленные на балке 7, параллельной рабочей плоскости флюгера 8, оказываются развернутыми перпендикулярно направлению ветра. Для запуска установки в работу достаточно развернуть лопатки 10 на одной из балок 7 на 90° по сравнению с положением лопаток 10 на другой балке 7. При этом балка 7, «парус» которой перпендикулярен направлению ветра, будет перемещаться в направлении ветра, а балка 7, лопатки 10 которой развернуты параллельно направлению ветра, пойдет вхолостую навстречу направлению ветра. Когда балки 7 дойдут до конца, сработают концевые выключатели 31, которые включают механизм поворота лопаток 10, разворачивающий их на 90°. В результате этого включается в работу балка, которая шла вхолостую, ее лопатки 10 оказываются развернутыми поперек направления ветра (лопатки 10 второй балки оказываются развернутыми вдоль направления ветра), далее все повторяется.

При своем качении вперед-назад на валах 5 траверсы 6 толкают (или тянут за собой) консольные балки 23, а ролики 24, размещенные на концах консольных балок 23, взаимодействуют с ободом 25 инерциального элемента 20 так, что инерциальный элемент 20, установленный на направляющих 16, получает от балок 23 импульсы поступательного (или возвратного) движения, при этом храповые муфты 21, 22 инерциального элемента 20 взаимодействуют с винтовой поверхностью вала 13. Когда инерциальный элемент 20 перемещается в одну сторону (на фиг.2 показана стрелкой), работает муфта 21 на участке вала 14 и передает вращение инерциальному элементу 20, муфта 22 при этом не работает. При движении в противоположную сторону муфта 22, работавшая до этого вхолостую, включится в работу на участке вала 15, муфта 21 выключится из работы. Таким образом, инерциальный элемент 20 все время подкручивается в одну сторону. Консольные балки 23 совершают рабочий ход, отклоняясь от оси пластинчатого вала 13, при этом смещается точка приложения сил на ободе 25 инерциального элемента 20, вращающегося в роликах 24. Ролики 24 при возвратно-поступательном перемещении консольных балок 23 перемещаются с последними по рабочей плоскости инерциального элемента 20, передавая ему качение траверс 6. Инерциальный элемент 20, перемещаясь по горизонтальным направляющим 16, передает вращение поворотной раме 18, установленной на подшипниках 19. Закрепленное на перегородке 17 рамы 18 зубчатое колесо 29 передает вращение зубчатому колесу 28, закрепленному на валу генератора 27.

При ветровом потоке чрезмерно большой силы лопатки 10 в рамах 9 устанавливаются под углом к направлению ветра, а не поперек.

Предложенная ветровая энергетическая установка позволяет повысить мощность на валу генератора за счет обеспечения возможности существенного увеличения рабочих размеров «парусов».

ФОРМУЛА ИЗОБРЕТЕНИЯ

Ветровая энергетическая установка, содержащая горизонтальную платформу с флюгером, вертикальным валом и закрепленной на нем раздвижной радиальной траверсой, шарнирно связанной с тележками, установленными с возможностью возвратно-поступательного движения по направляющим, поворотные лопатки, установленные на вертикальных осях в опорных рамках, закрепленных на тележках, и электрогенератор, кинематически связанный с лопатками винтовым валом с закрутками встречного направления, отличающаяся тем, что, с целью повышения мощности, установка снабжена дополнительным вертикальным валом и закрепленной на нем дополнительной радиальной траверсой, концы траверс шарнирно связаны балками, установленными с возможностью возвратно-поступательного движения параллельно одна другой и рабочей поверхности флюгера, размещенной в вертикальной плоскости и проходящей через вертикальные валы, поворотные лопатки установлены на вертикальных осях в опорных рамах, каждая из которых жестко закреплена на балке, а кинематическая связь с электрогенератором выполнена в виде шарнирно соединенных с траверсами консольных балок, передающих возвратно-поступательное движение инерциальному элементу, установленному с возможностью вращения на горизонтальных направляющих поворотной рамы и снабженному храповыми муфтами, контактирующими каждая на своем участке с винтовой поверхностью, разделенной на два участка, закрутка которых выполнена в противоположные стороны.

Приложение 4

ВЕТРОЭЛЕКТРОСТАНЦИЯ

Имя изобретателя: Ефимов Г.И.; Абдурашитов Ш.Р. 

Имя патентообладателя: Уфимский научно-исследовательский и конструкторский институт промышленного строительства

Адрес для переписки: 

Дата начала действия патента: 1993.04.28 

Использование: в ветроэнергетике, в частности в устройствах, преобразующих энергию ветра в электрическую. Сущность изобретения: повышение мощности ветродвигателя путем увеличения скорости потока воздуха обеспечивается тем, что ветроэлектростанция, содержащая концентратор потока воздуха в виде шатра, ветроколесо 8, генератор электротока 9, инерционный аккумулятор 10 энергии, при этом в центре концентратора установлена цилиндрическая вытяжная труба, а внутри шатра соосно с ним установлен конус с вогнутой поверхностью. Внутренняя поверхность шатра и наружная поверхность конуса 4 соединены между собой перегородками 5, образующими сужающиеся воздушные каналы, направленные от периферии к центру и снизу вверх в цилиндрическую вытяжную трубу, в которой размещено ветроколесо 8 на вертикальном валу 7, передающем вращение от ветроколеса 8 на вал генератора электротока 9 и инерционного аккумулятора 10 энергии. На верхней части перегородок 5 установлены шарнирно заслонки 12 для перекрытия потока воздуха. Конструкция ветроэлектростанции позволяет увеличить площадь захватывающего потока воздуха и весь потока направить на ветроколесо 8 в вытяжную трубу, что в несколько раз увеличит скорость потока, а значит, и мощность ветродвигателя. Мощность ветродвигателя можно увеличить и за счет подачи в рабочую полость концентратора отработанных горячих потоков газа или воздуха, полученных путем сжигания утилизированного топлива.

ОПИСАНИЕ ИЗОБРЕТЕНИЯ

Изобретение относится к области нетрадиционных источников энергии, в частности к устройствам, преобразующим энергию ветра в энергию электрическую.

Известен ветродвигатель Колобушкиных (а. с. СССР N 1211448, кл. F 03D 1/04), содержащий башню с окнами, внутри которой установлен поворотный аппарат с флюгерной лопастью, направляющий попавший в окна поток ветра вверх к ветроколесу. Ветроколесо представляет собой комбинированную конструкцию из горизонтального ветроколеса с ободом, на котором установлены вертикальные лопасти, воспринимающие потоки воздуха, попавшие в верхние окна башни. Ветроколесо установлено на вертикальном валу, передающем вращение на вал генератора электротока.

К недостаткам ветродвигателя Колобушкиных следует отнести относительную громоздкость и сложность конструкции как поворотной части ветродвигателя, так и самого ветроколеса, что значительно снизит и общий КПД электродвигателя и годовой ресурс его работы, ибо ветер при малых скоростях не сможет включить его в работу.

Известен ветроэлектрический агрегат (а. с. СССР N 1307078, кл. F 03D 1/04), содержащий генератор, ветроколесо и концентратор энергии ветра.

Недостатком этого изобретения является то, что эффективность концентратора низка, ибо он обеспечивает частичную концентрацию потока воздуха. Проходящий же с боков и сверху ветроколеса поток воздуха уходит не работая, н отдавая своей энергии агрегату.

Наиболее близким по конструкции к предлагаемому является техническое решение ветроагрегата (Д.де Рензо "Ветроэнергетика", Москва, 1982 г. перевод с английского В.В.Зубарева, под редакцией Я.И.Шефтера, с. 32). Ветроагрегат представляет собой усеченный конус в виде шатра с приподнятыми над землей краями для свободного прохода воздуха под конусом в любом направлении.

В горловине конуса установлены ветроколеса на вертикальном валу, который передает от ветроколеса вращение на генератор электротока или инерционный аккумулятор (типа маховика). Над конусом установлены поворотные направляющие лопасти для завихрения потока воздуха. Часть свободно проходящего под конусом воздуха поднимается вверх в горловину к ветроколесу. Проходя через установленные под углом лопасти поток завихряется и дополнительно засасывает воздух из конуса. При этом величина потока воздуха и его скорость увеличиваются, что повышает эффективность работы ветроагрегата.

К недостаткам описанного ветроагрегата относится то, что основная часть потока воздуха, попавшего под приподнятый шатер (открытый свободно во все стороны), пройдет насквозь без отдачи своей энергии. И только часть потока поднимается вверх в горловину к ветроколесам.

Задача изобретения повышение мощности ветроустановки за счет захвата широкого потока воздуха и концентрации его в узкий, но высокоскоростной поток.

Эта задача решается тем, что в ветроэлектростанции, содержащей концентратор потока воздуха, выполненный в виде приподнятого над землей шатра, ветроколесо с вертикальным валом, генератор электротока и инерционный аккумулятор, на горловине шатра концентратора установлена вертикальная вытяжная труба, в полости которой и установлено одно или несколько ветроколес на вертикальных валах, кинематически связанных с валом генератора электротока и инерционным аккумулятор, а внутри шатра расположен конус с вогнутой поверхностью, причем внутренняя поверхность шатра и наружная поверхность конуса соединены между собой вертикальными перегородками, образующими сужающиеся воздушные каналы, направленные от периферии шатра к центру и снизу вверх к вертикальной вытяжной трубе и лопастям ветроколес, а на верхней части перегородок установлены шарнирно заслонки, регулирующие величину движущегося к ветроколесам потока воздуха, причем в воздушных каналах концентратора размещены устройства для сжигания газа или подачи потоков горячего воздуха.

Так как мощность ветроэлектростанции имеет кубическую зависимость от скорости ветра, обдувающего ветроколесо (Шефтер Я.И. Рождественский И.В. "Ветронасосные и ветроэлектрические агрегаты", Москва, 1967 г.), то для повышения мощности ветроэлектростанции выгоднее идти путем увеличения скорости ветра, обдувающего ветроколесо, чем путем увеличения диаметра последнего. Теоретически увеличение скорости ветра с помощью концентратора в 4-5 раз может дать увеличение мощности электростанции, соответственно в 64- 125 раз по сравнению с ветроагрегатом, имеющим такой же диаметр ветроколеса, работающего при обычной внешней скорости, без концентрации потока воздуха.

Поэтому в предполагаемом изобретении для преобразования энергии ветра в энергию электрическую применен, как и в известном, круговой шатер с приподнятыми краями, опирающийся на опоры, но, в отличие от него, шатер снаружи на горловине имеет вертикальную вытяжную трубу, а внутри шатра установлен конус с вогнутой поверхностью. Конус и шатер соединены между собой вертикальными перегородками. Перегородки образуют замкнутые сужающиеся воздушные каналы, открытые широкой частью для входа потока воздуха и узкой частью для выдачи суженного и ускоренного потока в вертикальную вытяжную трубу, в которой установлены ветроколеса на вертикальных валах. Таким образом весь воздушный поток, входящий в шатер, пройдет через вытяжную трубу (через ветроколеса), но уже с более высокой скоростью, чем скорость наружного ветра.

С целью предупреждения поломок ветроколеса 8 при высоких скоростях наружного ветра и для возможности регулирования величины подаваемого потока воздуха к ветроколесам (поддержание заданной мощности установки) на верхней части перегородок 5 установлены вертикально на шарнирах заслонки 12, управляемые (изменением угла наклона) с помощью тросов 13. Это управление может быть как ручным (лебедками), так и автоматическим (с помощью датчиков от скорости ветра в трубе 1 или частоты вращения ветроколеса 8).

В каналах 6 установлены устройства 14 для сжигания утилизированного газа. Устройства расположены на кольцевой трубе 15, к которой газ подводится по газоводу 16. Через указанные газоводы и устройства может в каналы 6 подаваться и поток горячего воздуха от печей сжигания биологических отходов.

Ветроэлектростанция работает следующим образом. Поток ветра любого направления, встречая на своем пути открытый со всех сторон шатер 2, входит через окна в каналы 6 и, сужаясь между вертикальными перегородками 5, внутренней поверхностью шатра 2 и вогнутой поверхностью конуса 4, устремляется к центру и снизу вверх в полость вертикальной вытяжной трубы 1. При сужении потока воздуха скорость его движения возрастает в несколько раз. Величина ускорения зависит от величины соотношения фронтальной площади задуваемого общего потока воздуха в шатер 2 и площади внутреннего сечения вертикальной вытяжной трубы 1. Необходимо учитывать потери скорости потока от трения частиц воздуха между собой, трения их о стенки каналов (от качества их поверхностей), о выступы. Затем ускоренный поток воздуха попадает на лопасти нижнего ветроколеса 8, вращает его, создавая крутящий момент на валу 7 (на наружной его части), который кинематически связан с валом генератора 9.

Ротор генератора получает вращение и начинает вырабатывать электроток для потребителя. Далее, поток воздуха, отдав часть энергии нижнему ветроколесу устремляется к лопастям верхнего ветроколеса 8. Угол разворота плоскостей лопастей верхнего и нижнего ветроколес регулируется в зависимости от скорости потока воздуха и наиболее оптимального режима работы. Крутящий момент от верхнего ветроколеса передается на вал 7 (на внутреннюю его независимо вращающуюся часть) и от него на вал инерционного аккумулятора 10. Но внутренний вал 7 имеет возможность переключаться на другой генератор или другой какой-либо механизм.

Для повышения эффективности работы ветра (особенно в регионах с низкой среднегодовой его скоростью) и для повышения степени регулирования и стабильности работы ветроагрегатов в каналы 6 шатра 2 в устройства 14 по газоводу 16 и трубе 15 подается утилизированный газ, например от факелов нефтепромыслов или нефтеперерабатывающих заводов, который сгорая в потоках воздуха нагревает его, улучшает конвекцию и тягу в вытяжной трубе 1, а также создает лучшие условия для регулирования и поддержания стабильности работы ветроагрегатов. Если отсутствует факельный газ, но вблизи от ветроэлектростанции имеются отходы биомасс (городские свалки, отходы лесозаготовок, отходы ферм и т.п.), то можно, сжигая эти отходы в печах, подавать в каналы 6 через газоводы 16 и устройства 14 горячий воздух. В случае возникновения больших скоростей наружного ветра и образования в вертикальной вытяжной трубе 1 сверхдопустимых ураганных скоростей в потоке, то с целью предохранения от поломок ветроколес и других элементов, путем натяжения тросов 13, наклоняют заслонки 12 и часть потока отсекается, завихряется, что снижает его скорость. Заслонки 12 могут практически полностью перекрыть доступ ветра к ветроколесам (на период, например профилактического осмотра состояния ветроколес).

Внутреннее помещение конуса 4 может быть весьма значительным (например при строительстве ветроэлектростанций мощностью в 5-6 тысяч киловатт) и может быть использовано не только для размещения генераторов и приборов управления станцией, но и какого-либо технологического оборудования для производства той или иной продукции (при обеспечении звуком и теплоизоляции) и может быть выполнено в два и три этажа.

Таким образом предлагаемая конструкция ветроэлектростанции позволяет освободиться от строительства мощных и тяжеловесных башенных опор для установки ветроколес больших диаметров (60-80 и более метров), применения специальных и дорогостоящих материалов и технологий изготовления ветроколес и гондол для генераторов, что требует больших финансовых затрат. Позволяет иметь возможность регулировать режимы работы ветроагрегатов, их устойчивость в режиме работы при широких диапазонах скоростей наружного ветра, позволяет эксплуатировать их при низких (недоступных для существующих ветроагрегатов) скоростях ветра, и главное применение предлагаемой ветроэлектростанции при значительно меньшем (в 4-5 раз) диаметре ветроколеса позволит получить относительно большую мощность на ветроагрегате.

ФОРМУЛА ИЗОБРЕТЕНИЯ

1. Ветроэлектростанция, содержащая концентратор потока воздуха, выполненный в виде приподнятого над землей шатра, ветроколесо с вертикальным валом, генератор электротока и инерционный аккумулятор, отличающаяся тем, что на горловине шатра концентратора размещена вертикальная вытяжная труба, в полости которой установлены одно или несколько ветроколес на вертикальных валах, кинематически связанных с валом генератора электротока и инерционным аккумулятором, а внутри шатра расположен конус с вогнутой поверхностью, причем внутренняя поверхность шатра и наружная поверхность конуса соединены между собой вертикальными перегородками, образующими сужающиеся воздушные каналы, направленные от периферии шатра к центру и снизу вверх к вертикальной вытяжной трубе и лопастям ветроколес, при этом на верхней части перегородок установлены шарнирно заслонки, регулирующие величину движущегося к ветроколесам потока воздуха.

2. Ветроэлектростанция по п. 1, отличающаяся тем, что в воздушных каналах концентратора размещены устройства для сжигания газа или подачи потоков горячего воздуха.

Приложение 5

КОМБИНИРОВАННАЯ ВЕТРОЭНЕРГЕТИЧЕСКАЯ УСТАНОВКА

Имя изобретателя: Улановский Я.Б. (RU); Лавров В.С. (RU); Габченко В.Ф. (RU); Селезнев И.С. (RU); Санков В.О. (RU)

Имя патентообладателя: ООО "СТРОЙИНЖИНИРИНГ СМ" (RU)

Адрес для переписки: 141980, Московская обл., г.Дубна, ул. Тверская, 9, кв.637, В.С. Лаврову

Дата начала действия патента: 2003.06.26

Изобретение относится к области ветроэнергетики, а именно, к установкам, вырабатывающим электроэнергию для получения горячей воды с целью ее промышленного использования.

Технический результат заключается в повышении коэффициента полезного действия (КПД) за счет утилизации выхлопных (горячих) газов двигателей и тепла рассеяния, а также в расширении областей промышленного использования установки. Комбинированная ветроэнергетическая установка, содержащая энерговоспроизводящий блок в виде лопастного ветродвигателя, связанного с ним нагнетателя воздушного потока и энергообеспечивающий и трансформирующий блок в виде воздушной турбины и подключенного к ней генератора, состыкованного с газотурбинным двигателем, согласно изобретению, снабжена блоком утилизации тепла и технологическим блоком, например, опреснения морской воды и очистки ее, выполненным в виде термодистиллятора и обратно-осмотического устройства, соединенных с блоком утилизации тепла, лопасти ветродвигателя выполнены расчлененными на секции с возможностью поворота их относительно друг друга и с возможностью поворота относительно их продольной оси, энерговоспроизводящий и трансформирующий блок выполнен с дополнительным, автономным двигателем внутреннего сгорания и соединенным с ним электрогенератором, который связан с генератором газотурбинного двигателя в единый энергоблок, при этом в системе управления имеется устройство, которое совместно с ЭВМ обеспечивает получение электрических параметров, аналогичных электросетевым, причем энерговоспроизводящий блок выполнен с устройством деления воздушного потока, связанного гибкой пневмотрассой с нагнетателем воздушного потока, причем нагнетатель выполнен программируемым, например, пневматическим и многоступенчатым, ступень низкого давления которого соединена с воздушной турбиной и с каждым элементом технологического блока, а ступень высокого давления - с устройством испарения воды термодистиллятора и обратно-осмотическим устройством, которые соединены с блоком утилизации тепла, при этом точка подключения пневмотрассы и электропитания выполнена единой, к которой подключены торсионные валы, связанные с лопастным двигателем и турбиной.

ОПИСАНИЕ ИЗОБРЕТЕНИЯ

Изобретение относится к области использования энергии ветра в целях выработки электроэнергии, а также горячей и экологически чистой воды для использования в практических целях.

Известна ветроэнергетическая установка с тепловым двигателем, снабженная компрессором наддува, воздушной турбиной и компрессором, соединенным с ветродвигателем (см. патент Р.Ф. №2112153, 6 F 03 D 9/00, 9/02, 1995 г.).

Недостатками известного технического решения являются:

низкий КПД теплового двигателя;

сложность использования установки с электросетью из-за зависимости скорости вращения генератора от скорости ветра;

сложность и малая эффективность установки.

Наиболее близким техническим решением к предлагаемому является ветроэнергетическая установка с тепловым двигателем (Полезная модель №15759, 7 F 03 D 09/00, 2000 г.), установка содержит ветродвигатель, теплодвигатель, подсоединенные к электрогенератору, дополнительно содержит регуляторы оборотов в интервале допустимых значений, к недостаткам данного технического решения следует отнести:

конструктивную сложность агрегата;

низкий КПД газовой турбины из-за значительной величины теплового выброса после сжигания топлива, а также низкую экономичность;

сложность управления агрегатом при изменении скорости ветра, особенно порывистого характера.

Целью предлагаемого изобретения является многоцелевое использование комбинированной ветроэнергетической установки, а также значительное повышение КПД за счет утилизации выхлопных (горячих) газов двигателей и тепла рассеяния.

Поставленная цель достигается в комбинированной ветроэнергетической установке, содержащей энерговоспроизводящий блок в виде лопастного ветродвигателя, связанного с ним нагнетателя воздушного потока и энергообеспечивающий и трансформирующий блок в виде воздушной турбины и подключенного к ней генератора, состыкованного с газотурбинным двигателем, установка снабжена блоком утилизации тепла и технологическим блоком, например, опреснения морской воды и очистки ее, выполненным в виде термодистиллятора и обратно-осмотического устройства, соединенных с блоком утилизации тепла, лопасти ветродвигателя выполнены расчлененными на секции с возможностью поворота их относительно друг друга и с возможностью поворота относительно их продольной оси, энерговоспроизводящий и трансформирующий блок выполнен с дополнительным, автономным двигателем внутреннего сгорания и соединенным с ним электрогенератором, который связан с генератором газотурбинного двигателя в единый энергоблок, при этом в системе управления имеется устройство, которое совместно с ЭВМ обеспечивает получение электрических параметров, аналогичных электросетевым, причем энерговоспроизводящий блок выполнен с устройством деления воздушного потока, связанного гибкой пневмотрассой с нагнетателем воздушного потока, причем нагнетатель выполнен программируемым, например, пневматическим и многоступенчатым, ступень низкого давления которого соединена с воздушной турбиной и с каждым элементом технологического блока, а ступень высокого давления - с устройством испарения воды термодистиллятора и обратно-осмотическим устройством, которые соединены с блоком утилизации тепла, при этом точка подключения пневмотрассы и электропитания выполнена единой, к которой подключены торсионные валы, связанные с лопастным двигателем и турбиной, установка снабжена дополнительным двигателем внутреннего сгорания, установленным соосно ветродвигателю, газотурбинный двигатель и двигатель внутреннего сгорания выполнены с различной мощностью, двигатель внутреннего сгорания выполнен с устройством охлаждения, а блок утилизации тепла выполнен в виде газодинамического теплообменника с выходом выхлопных газов двигателя внутреннего сгорания и газотурбинного двигателя.

КОМБИНИРОВАННАЯ ВЕТРОЭНЕРГЕТИЧЕСКАЯ УСТАНОВКА. Патент Российской Федерации RU2247862


Предложенное техническое решение поясняется чертежом, где изображена схема комбинированной ветроэнергетической установки, содержащей ветроэнергетическую установку 1, ветроколесо выполнено конусным и лопастным с членением на отдельные поворотные лопасти с устройством самоориентации ветроустановки “на ветер” за счет демпфера рыскания, активным элементом которого является кривошипно-шатунный механизм, связанный с пружинным приводом, осуществляющий поворот лопастей (изменение угла их перевоначальной установки), при этом снижается (повышается) крутящий момент и частота вращения (на схеме не показано) с редуктором 2, связанным с нагнетателем воздушного потока (компрессором) 3, оснащенным коллектором высокого давления 4 и блоком низкого давления 5, компрессор 3 питает воздушную силовую турбину 6, состыкованную с основным электрогенератором 7 и газотурбинным двигателем 8, дополнительный двигатель внутреннего сгорания 9 связан с дополнительным электрогенератором 10, основной электрогенератор 7 и дополнительный 10 подключены к энергоблоку 11, который управляется блоком 12 с устройством, оснащенным ЭВМ, обеспечивающим получение электрических параметров, аналогичных электросетевым, от энергоблока 11 электроэнергия по линии 13 направляется в сеть; электрогенератор 7, газотурбинный двигатель 8, дополнительный двигатель 9, дополнительный электрогенератор 10 соединены с блоком утилизации тепла 14, оснащенным газодинамическим 15 и трубчатым 16 теплообменниками, а также электроподогревателем (на схеме не показан), блок утилизации тепла 14 подключен к термодистиллятору 17, подключен также к дополнительному элетрогенератору 10, термодистиллятор имеет сборник чистой воды 18, блок утилизации имеет линию подачи горячей воды потребителю 16А, сборник чистой воды термодистиллятора 18 соединен с обратно-осмотическим устройством, состоящим из заборного блока загрязненной воды 19, блока очистки I-й ступени 20 и блока обратного осмоса 21, и совместно связаны с коммуникацией подачи чистой воды потребителю 22; элементы обратно-осмотического устройства и термодистиллятора 17, 19, 20, 21 для надежного функционирования связаны с редуктором 2 и муфтой между турбиной 6 и основным генератором 7 торсионными валами 23, они (элементы) подключены также к пневмотрассе низкого и высокого давления, а также к электросистеме в одной точке как для технологических целей - приводы насосов, арматуры, элементов управления, так и для управления.

Комбинированная ветроэнергетическая установка работает следующим образом: компрессор 3, имеющий две ступени давления (низкую и высокую), нагнетает воздух в коллектор 4 и блок низкого давления 5, от компрессора 3 воздух направляется в воздушную силовую турбину 6 и вращает основной электрогенератор ОЭГ 7, связанный с газотурбинным двигателем ГТД 8 через муфту скольжения, он включается при слабом ветре и малом числе оборотов турбины 6, дополнительный двигатель внутреннего сгорания (ДВС) 9 связан с компрессором 3 и дополнительным электрогенератором ДЭГ 10, он включается при остановке турбины 6 и ГТД 8, электроэнергия от ОЭГ 7 и ДЭГ 10 направляется в энергоблок 11, который управляется блоком 12 и при напряжении, аналогичном сетевому, направляется потребителю по линии 13, выхлопные газы и тепло рассеяния, а также электроэнергия подаются от ОЭГ, ГТД, ДЭГ, ДВС - поз. 7, 8, 9 и 10 в блок утилизации тепла 14, в котором размещены газодинамический 15 и трубчатый 16 теплообменники и теплообогреватель, блок утилизации 14 связан с 10 подачей горячей воды потребителю (при температуре 95°С) 16А, а также с термодистиллятором 17, к которому подведена также электроэнергия от ДЭГ 10 и энергоблока 11, термодистиллятор оснащен сборником очищенной воды 18, кроме того, он соединен с коммуникацией подачи чистой воды потребителю 22, к которой подключен и блок очистки обратно-осмотическим способом 21, перед которым находятся блок забора загрязненной воды 19 и блок очистки I-й ступени 20. Термодистиллятор 17 и блоки 19, 20 и 21 с целью надежного управления и функционирования подключены торсионными валами 23 к термодистиллятору 17 и блокам 19, 20 и 21.

Достижение решения предлагаемого изобретения проверено испытаниями экспериментальных 11 моделей, входящих в него устройств: блока утилизатора с входящими в него элементами, блока стабилизации напряжения электрического тока, а также, блоками-элементами очистки воды и т.д.; оптимизированы конструкции аппаратов; испытания подтвердили высокую надежность и полезность принятых решений.

Данное предлагаемое изобретение соответствует критерию изобретательский уровень.

ФОРМУЛА ИЗОБРЕТЕНИЯ

Комбинированная ветроэнергетическая установка, содержащая энерговоспроизводящий блок в виде лопастного ветродвигателя, связанного с ним нагнетателя воздушного потока и энергообеспечивающий и трансформирующий блок в виде воздушной турбины и подключенного к ней генератора, состыкованного с газотурбинным двигателем, отличающаяся тем, что она снабжена блоком утилизации тепла и технологическим блоком, например, опреснения морской воды и очистки ее, выполненным в виде термодистилятора и обратно-осматического устройства, соединенных с блоком утилизации тепла, лопасти ветродвигателя выполнены расчлененными на секции с возможностью поворота их относительно друг друга и с возможностью поворота относительно их продольной оси, энерговоспроизводящий и трансформирующий блок выполнен с дополнительным, автономным двигателем внутреннего сгорания и соединенным с ним электрогенератором, который связан с генератором газотурбинного двигателя в единый энергоблок, при этом в системе управления имеется устройство, которое совместно с ЭВМ обеспечивает получение электрических параметров аналогичных электросетевым, причем энерговоспроизводящий блок выполнен с устройством деления воздушного потока, связанного гибкой пневмотрассой с нагнетателем воздушного потока, причем нагнетатель выполнен программируемым, например, пневматическим и многоступенчатым, ступень низкого давления которого соединена с воздушной турбиной и с каждым элементом технологического блока, а ступень высокого давления - с устройством испарения воды термодистилятора и обратно-осматическим устройством, которые соединены с блоком утилизации тепла, при этом точка подключения пневмотрассы и электропитания выполнена единой, к которой подключены торсионные валы, связанные с лопастным ветродвигателем и турбиной.

Установка по п.1, отличающаяся тем, что дополнительный двигатель внутреннего сгорания установлен соосно ветродвигателю.

Установка по п.1, отличающаяся тем, что газотурбинный двигатель и дополнительный двигатель внутреннего сгорания выполнены с различной мощностью.

Установка по п.1, отличающаяся тем, что двигатель внутреннего сгорания выполнен с устройством охлаждения, а блок утилизации тепла выполнен в виде газодинамического теплообменника с выходом выхлопных газов двигателя внутреннего сгорания и газотурбинного двигателя.

Приложение 6

Задачи для развития изобретательских способностей

1.   Предложите устройство для покраски труб.

2.   Каток картофелеуборочной машины имеет цилиндрическую форму. При движении вдоль выпуклой грядки каток плохо прилегает к ее поверхности. Желательно, чтобы каток хорошо прилегал и к плоской поверхности, и к выпуклой (даже если кривизна выпуклости меняется). Ваше предложение?

3.   Как изменить температуру движущейся раскаленной металлической ленты?

4.   В  химическом реакторе десять вспомогательных устройств расположены вокруг центральной части и соединены с ней короткими (0,2 м) металлическими стержнями. Время от времени то в одном, то в другом вспомогательном устройстве выделяется тепло. Око по металлическим стержням передается в центральную часть реактора. Однако иногда в центральной части резко поднимается температура. Как сделать, чтобы при этом тепло не переходило к вспомогательным устройствам? Применение тепловых труб недопустимо.

5.   В открытый вагон грузят лом - разбитые железнодорожные панели, строительный мусор, обрезки труб и т. д. Нужен способ быстрого взвешивания погруженного лома с точностью до 1 т. Погрузка может вестись в любом месте, поэтому весы, установленные под путями или под вагоном, не решают задачу.

6.   Нужен паяльник, в котором автоматически поддерживалась бы определенная температура.

7.   Изделия, из керамики выполнены в виде сосудов со стенками неправильной формы в переменной толщины. Как измерить толщину стенок? Разрушать, изменять изделия нельзя.

8.   Один из видов спортивной стрельбы - стрельба по тарелочкам. После состязаний трудно убрать рассеянные по большой площади осколки разбитых тарелочек. Ваше предложение?

9.   Предложите конструкцию жидкого пассажирского теплохода.

10.   Каким должен быть идеальный корабль?

11.   Измерить диаметр шлифовального крута. Измерение надо вести непрерывно, во время работы, когда круг находится внутри обрабатываемого изделия (стального цилиндра)  подобраться к этому кругу очень сложно.

10. Известен способ охлаждения воздуха путем непосредственного его контакта с холодной водой. Недостаток: расходуется очень много воды. Предложите лучший способ.

11. Известен способ гибки труб, при котором трубу заполняют песком  или иным наполнителем. Требуется этот способ усовершенствовать.

13.   Предложите простой способ наблюдения частиц, меньших даже, чем длина световой волны.

14.   При обслуживании швейных машин  на швейных фабриках приходиться заботиться о том, чтобы цвет нити совпадал с цветом ткани. Сменилась ткань - надо менять нить. Хлопотно, дорого. Ваши предложения?

15.   Надо шлифовать детали сложной формы. Обычные шлифовальные круги не подходят - они не проникают в углубления, в щели. Использовать набор кругов различного диаметра - дорого. Как быть?

16.   По конвейеру движутся одна за другой металлические детали, похожие на кнопки: круглая пластинка размером с гривенник, а в центре стерженек высотой 5 мм, У одних, кнопок стерженьки тупые, а у других острые. Нужно автоматизировать разделение кнопок по этому признаку. Способ должен быть простым и надежным. Повесу острые и тупые кнопки не различаются. Оптические способы контроля слишком сложны. Чисто механически «ощупывать» кнопки-медленно, ненадежно... Ваше предложение?

17.   В море на глубине 500м обнаружен большой (6м) и очень прочный деревянный сундук с драгоценностями и золотом - сокровищами Флинта. Сундук на 2/3 высоты погружен в песок. Для его  подъема нужна сила в  100 т,  В вашем распоряжении понтон соответствующей грузоподъемности, подводная телекамера. Как прикрепить понтон к сундуку? Водолазы на такой глубине работать не могут. Подводных аппаратов с манипуляторами нет.

18.   Частицы алмазного порошка имеют разные размеры. Нужно разделить порошок, скажем на 10 фракций - в зависимости от величины частиц. Обычный способ - вручную, с помощью  сит.  Но  это  медленно,  да и  сита быстро  изнашиваются. Сепарация, отстаиванием в воде, сепарация в воздушном потоке требуют многократного повторения. Нужен иной способ - автоматизированный, точный, высокопроизводительный.

19.   Во время второй мировой войны возникла необходимость в светомаскировке литейных цехов. Дело в том, что каждая вагранка (литейная печь) имеет трубу, из которой нередко вырывается пламя (в ночное время даже огонь спички виден на расстоянии до 800 м). Прерывать технологический процесс во время воздушной тревоги нельзя.

20.   Из тонколистового (1мм) стекла необходимо с минимальным браком изготовить десятки тысяч фигурных деталей (допустим, эллипсов с большой осью в 100мм). ФП: стекло должно быть тонким по условиям задачи и должно быть толстым, чтобы его можно было легко и без повреждений обрабатывать. Как преодолеть это ФП?

21.   При полировке оптических стекол используются дерево и ткани, а в последние годы смолы и пластмассы. В зону соприкосновения стекла и инструмента подается водная взвесь полировального порошка. Однако этот традиционный способ далек от совершенства. Полировку приходится вести на низких скоростях, так как смолы, ткани, дерево и пластмассы с увеличением числа оборотов сильно разогреваются и теряют необходимые качества. Как повысить скорость обработки?

22.   В горах найден разбитый грузовик. Точнее, груда обгоревших обломков. Машина упала с большой высоты, загорелась... Известно, что это произошло 5-10 дней назад. Когда именно произошла катастрофа (с точностью до одного дня). Как установить время падения?

23.   Проводятся испытания сплавов на устойчивость в агрессивной жидкой среде при высоком давлении. Их образцы изготовлены в виде кубиков. Для испытаний используют прочный металлический контейнер, но агрессивная жидкость быстро разъедает его стенки. Делать контейнер из благородного металла дорого. Как быть?

24.   После разгрузки нефтеналивного танкера в его танках остается взрывоопасная смесь. Как избавиться от нее?

25.   Металлические детали необходимо нагреть (это делают с помощью электрического тока) для дальнейшей обработки. Выяснилось, что структура металла может получиться особенно хорошей, если нагрев вести в замкнутой камере под гидростатическим давлением в несколько тысяч атмосфер. В КБ начали проектировать мощную насосную установку. А как бы вы поступили на месте главного конструктора?


Не нашли материал для своей работы?
Поможем написать уникальную работу
Без плагиата!
Без нейросетей!