Расчет системы топливопитания ВРД
Содержание
Введение
1. Основные понятия и расчётные
формулы
2. Расчёт гидравлической
системы
. Таблицы итогов расчёта
. Графическая часть
Список использованной литературы
Введение
Гидравлические системы широко применяются в
технике, например в летательных аппаратах, системах водоснабжения или отопления
промышленных предприятий и жилых домов, транспортировки жидкости от места её
добычи или хранения к потребителю (транспортировка нефти по нефтепроводам), в
пожарных системах и т. д.
Все перечисленные системы имеют сходный принцип
работы, основанный на законах гидравлики.
Гидравлическая система представляет собой набор
гидравлических элементов, которые соединены в определённом порядке,
обусловленном назначением и пространственным расположением системы. Гидравлическими
элементами являются трубопроводы, баки, насосы, всевозможные виды местных
сопротивлений. Обычно система имеет гидравлические элементы, предназначенные
для хранения жидкости (баки), передачи жидкости на расстояние (трубопроводы),
очистки жидкости (фильтры), управления потоком жидкости (краны, вентили,
клапаны, заслонки, термостаты), измерений (расходомеры различных типов),
изменения направления или разделения потока жидкости (колена, отводы, тройники,
коллекторы), изменения скорости потока жидкости (сужения, расширения),
поддержания постоянного уровня жидкости (поплавковые камеры), дозирования и
организации истечения жидкости (жиклеры, форсунки, распылители).
Гидравлические системы бывают разомкнутыми и
замкнутыми (циркуляционными). Система может иметь или не иметь насос
(разомкнутая самотечная или замкнутая термосифонная система). Магистраль, по
которой жидкость поступает к насосу, называется всасывающей, а магистраль, по
которой жидкость движется от насоса, - нагнетающей или напорной.
Топливная система ВРД
Топливная система ВРД предназначена
для подачи топлива в необходимом количестве из топливного бака в камеру
сгорания. Система имеет определенный набор гидравлических элементов. Топливо из
бака подается насосом к топливному коллектору и далее распределяется по
форсункам, расположенным равномерно по окружности камеры сгорания. Для хорошей
организации процесса горения топливо должно поступать в камеру сгорания в
распылённом состоянии. Качественное распыление топлива происходит при
определенном и одинаковом перепаде 
давление на всех форсунках.
Давление воздуха на свободную
поверхность топлива в бак 
считают равным или большим (в
случае организации наддува в бак) атмосферного давления
на заданной высоте H полёта. За
время полёта уровень топлива в баке уменьшается, что приводит к снижению давления
на входе в насос на величину гидростатического давления 
, где 
- плотность топлива; 
- уровень топлива в баке. В связи с
этим имеет смысл проводить расчёт для минимального уровня топлива в баке.
Температура топлива за время полёта
будет уменьшаться. Так как наступление кавитации в системе более вероятно при
большой температуре топлива, расчёт приводят при температуре 45 °C.
Давление
воздуха, поступающего в камеру
сгорания, больше атмосферного давления 
, в результате сжатия его во входном
устройстве и компрессоре двигателя:

,
где 
степень повышения давления в
двигателе.
Система работает следующим образом.
Топливо из топливного бака поступает во всасывающую магистраль, далее минуя
различные гидравлические сопротивления, подходит к входу в насос. Давление на
входе насоса для избегания кавитации должно быть не менее:
где 
давление насыщенных паров, Па; 
- антикавитационный запас, Па.
На выходе насоса должно быть создано
давление, достаточное для преодоления гидравлического сопротивления напорной
магистрали и создания заданного перепада давления на форсунках с целью
качественного распыла топлива.
1.
Основные понятия и расчётные формулы
В гидравлике рассматриваются одномерные движения
жидкости, а сложный многомерный характер учитывается при использовании
эмпирических коэффициентов. Можно сказать, что гидравлика является прикладной
наукой, в которой решение доводится до вида, удобного для инженерного
применения.
Нужно отметить, что гидравлика изучает движение
капельных жидкостей, т.е. таких жидкостей, которые в малых количествах под
действием поверхностного натяжения принимает сферическую форму, а в больших -
образуют свободную поверхность раздела с газом. Важным свойством капельных
жидкостей является то, что они ничтожно мало изменяют свой объём при изменении
давления. Поэтому их считают несжимаемыми.
Отсюда можно сделать вывод, что гидравлика
рассматривает движение несжимаемой жидкости, т.е. уравнения движения и энергии
являются зависимыми и для решения задач достаточно использовать только два
основных уравнения: уравнение неразрывности и уравнение энергии. Уравнения и
зависимости записываются для контрольного объёма, представляющего собой
неподвижный в пространстве объём, через который протекает жидкости. Поскольку
гидравлическая система - в общем случае канал с твёрдыми стенками, направляющими
движение жидкости, в качестве контрольного объёма выступает либо вся система в
целом, либо её участок, ограниченный входным и выходным сечением.
Весть поток жидкости можно разбить на множество
элементарных струек с бесконечно малым поперечным сечением, в которых из-за их
малости параметры постоянны. Поэтому течение в элементарной струйке является
одномерным: параметры зависят только от одной координаты, отсчитываемой вдоль
оси струйки.
В поперечных сечениях гидравлических элементов
вычисляются средние параметры (скорость, давление), при использовании которых
течение в гидравлическом элементе становится таким же, как в элементарной
струйке. Таким образом, в гидравлике все гидравлические элементы заменяются
элементарными струйками. Метод гидравлики - это метод элементарной струйки.
Изменение параметров в поперечных сечениях
гидравлических элементов учитывается в уравнении энергии коэффициентами
осреднения (коэффициентами Кориолиса).
Закон сохранения массы в гидравлике записывается
в виде уравнения неразрывности.
Для установившегося режима на участке системы,
ограниченном сечениями 1-1 и 2-2 (рис. 1, где 0-0 - плотность сравнения; z
- высота сечения канала над плоскостью сравнения), оно записывается в виде:
(1)
(2)
где
- массовый расход жидкости (масса
жидкости, протекающей через поперечное сечение канала в единицу времени), кг/с;
- плотность
жидкости, представляющая массу жидкости, заключённую в единице объёма, кг/м3;
-
среднерасходная скорость жидкости в сечении, м/с;
- площадь
поперечного сечения канала, м2 .
Индексы 1 и 2 в уравнении (1) и в
последующих уравнениях обозначают параметры в сечениях входа и выхода
соответственно.
Для несжимаемой жидкости плотность
постоянна в любой точке потока, ввиду чего уравнение неразрывности может быть
записано в виде:
(3)
(4)
где
- объёмный расход жидкости, м3/с.
Из уравнения (4) следует, что объём
жидкости, протекающий через все сечения выделенного участка системы в единицу
времени, один и тот же. Приведённая запись уравнения неразрывности пригодна для
участка, по длине которого нет подвода или отвода жидкости.
Для разветвленного участка,
изображённого на рис.2, уравнение неразрывности имеет вид:
или
(5)
Уравнение энергии в гидравлике
записывается в форме, которая называется уравнением Бернулли.
Применительно к рис.1 это уравнение записывается следующим образом:
Па, (6)
где
- энергия положения единицы объёма
жидкости в сечении, находящемся на высоте
от плоскости сравнения 0-0, Па (см.
рис.1);
- энергия
давления единицы объёма жидкости в сечении, Па;
- кинетическая энергия единицы
объёма жидкости в сечении, Па;
- коэффициент Кориолиса,
учитывающий неравномерность распределения кинетической энергии по сечению;
- ускорение
свободного падения (
=9,81 м/с2
);
-
среднерасходная скорость потока в сечении, м/с;
- потери механической энергии
единицы объёма жидкости в участке системы, между сечениями 1-1 и 2-2 за счёт
местных и (или) путевых сопротивлений, Па.
В практических расчетах принимают,
что при ламинарном течении в круглой трубе распределение скорости по сечению
трубы (профиль скорости) представляет параболу, а коэффициент Кориолиса
равен 2.
При турбулентном течении профиль скорости близок к равномерному и
=1.
Полное давление (давление торможения)
определяется как
,
А величину
называют
потерями полного давления на длине выделенного участка системы.
Различают два вида потерь полного
давления на гидравлическом сопротивлении - местные и путевые, которые связаны
формулой:
.
Местные потери проявляются в местах
изменения формы, размеров каналов или изменения направления движения потока,
вычисляются по формуле Вейсбаха:
(7)
где
- коэффициент местного
сопротивления, значение которого обычно определяется по справочным данным, в
которых указывается сечение, определяющее потери;
- среднерасходная скорость в
определяющем сечении.
Путевые потери - потери полного
давления по длине трубы с полной осью. Они вычисляются по формуле Дарси:
(8)
где
- коэффициент путевых потерь
(коэффициент Дарси);
- длина
трубы, м;
- диаметр
трубы, м.
Значения коэффициента Кориолиса
и
коэффициентов потерь
зависят от
режима течения жидкости на рассматриваемом участке системы. Различают
ламинарный и турбулентный режимы течения: при ламинарном режиме частицы
жидкости движутся по почти параллельным траекториям со слабым перемещением
слоёв; в турбулентном течении наряду с главным направленным движением частицы
жидкости совершают беспорядочные, хаотичные перемещения в продольном и
поперечных направлениях. Поэтому турбулентное течение всегда сопровождается
интенсивным перемешиванием жидкости и пульсациями скорости и давления.
Режим течения жидкости в круглой
трубе характеризуется числом Рейнольдса:
(9)
где
- плотность жидкости, кг/м3;
-
среднерасходная скорость жидкости в трубе, м/с;
- диаметр трубы, м;
-
динамический коэффициент вязкости, Па·с;
- кинематический коэффициент
вязкости, м2/с.
Динамический коэффициент вычисляется
по формуле:
(10)
Значения
и
определяются
по справочным данным в зависимости от температуры и давления жидкости. В
большинстве случаев их зависимостью от давления можно пренебречь.
Ламинарный режим течения существует
устойчиво при числах Рейнольдса Re ≤
2300; при Re > 2300
ламинарное течение теряет устойчивость, при 2300 < Re < 4000
существует переходный режим течения, а при Re > 4000
течение становится турбулентным.
При ламинарном течении
коэффициент путевых потерь определяется по формуле Пуазейля:
. (11)
При турбулентном течении на
величину потерь влияет не только число Рейнольдса, но и шероховатость
внутренней поверхности трубы, При умеренных числах Рейнольдса вблизи стенки
трубы течение ламинарное, так как стенка подавляет пульсации скорости. Эта
ламинарная плёнка на стенке называется ламинарным пограничным подслоем. Пока
ламинарный подслой покрывает бугорки поверхности, бугорки шероховатости, потери
обусловлены только внутренним трением в жидкости. Трубы при таком течении
называются гидравлически гладкими, а коэффициент путевых потерь вычисляется по
формуле Блазиуса:
(для Re ≤ 105)
(12)
или по формуле Конакова:
для (Re ≤ 3·106)
(13)
С увеличением числа Рейнольдса
ламинарная стенка становится тоньше, высокие бугорки шероховатости выступают из
неё и увеличивают сопротивление движению жидкости. Гидравлические потери в этом
случае зависят от числа Рейнольдса и относительной шероховатости трубы.
Дальнейшее увеличение числа Рейнольдса приводит к разрушению ламинарной стенки
и потому величина гидравлических потерь перестаёт зависеть от числа Рейнольдса
и определяется только относительной шероховатостью поверхности трубы. Таким
образом, одна и та же труба в зависимости от режима течения жидкости может быть
гидравлически гладкой или шероховатой. Во многих технических задачах можно
полагать, что трубы гидравлически гладкие.
Если труба не круглая, то в качестве
характерного размера, определяющего число Рейнольдса, вместо диаметра
используют гидравлический диаметр:
(14)
где
- площадь поперечного сечения
трубы, м 2;
- смоченный
периметр, т.е. участок периметра сечения трубы, на котором жидкость
соприкасается с её стенками.
Нетрудно показать, что для круглой
трубы
, так как в
этом случае
, а
Для полностью заполненной потоком
жидкости трубы прямоугольного сечения формула примет вид:
(15)
где
и
- стороны сечения прямоугольной
трубы, м.
Если труба прямоугольного сечения
заполнена потоком жидкости на высоту
, то формула примет вид:
(16)
Для кольцевого канала гидравлический
диаметр вычисляется по формуле:
(17)
где
- ширина кольцевого канала, м.
2. Расчёт гидравлической системы
. Определим теплофизические
характеристики рабочей жидкости для температуры +50 °C:
- плотность жидкости 
794,5 кг/м3 ;
- коэффициент
вязкости 
0,956*10-3 Па*с;
давление насыщенных паров 
= 3666 Па.
2. Определим атмосферное давление на высоте
полёта
Для заданной высоты Н вычисляют
атмосферное давление 
по формуле работы :

= 62447.3 Па
3. Рассчитаем скорость течения
жидкости во всасывающей и напорной магистралях. Выбираю скорость течения
жидкости в трубопроводах всасывающей uIв и напорной uIн магистралей,
исходя из рекомендованных значений:
uIв=
3 м/с; uIн=
10 м/с.
4. Расчёт внутреннего диаметра трубопроводов
Используя уравнение расхода (2), рассчитываю
внутренний диаметр трубопровода всасывающей и напорной магистралей:

0,0108, м

0,0059 , м
. Уточнение внутреннего диаметра трубопроводов
Определим ближайший внутренний диаметр
трубопроводов всасывающей dв
и
напорной dн
магистралей, выпускаемых промышленностью:
dн =6
мм; dв=10
мм.
6. Уточнение скорости течения жидкости во
всасывающей и напорной магистралях
Используя уравнение расхода (1), уточняю
значение скорости точения жидкости в соответствии с уточненными диаметрами
трубопроводов:

3,56 м/с

9,88м/с
7. Определение расхода и скорости
течения жидкости.
Определение осуществляю после
разветвления магистрали, т.е. после прохождения топлива через тройник 21.
Определил расход и скорости на
участках 22-31:
G1-14=G=0,222 кг/с;

3,558м/c
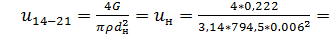
G14-21=G=0,222 кг/с;

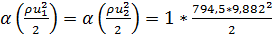
9.882 м/c
G21-23=G/2=0,222/2=0,111
кг/с; 
4.941м/c
G23-26=G/3=0,222/3=0,074
кг/с; 
3,294м/с
G26-30=G/6=0,222/6=0,037
кг/с; 
1,647м/с
8. Определение режима течения жидкости.
Определяю режим течения жидкости на всех
участках гидравлической системы по величине числа Рейнольдса.
Участки 1-14:
Участки 15-21:
Участки 22,23:
Участки 24-26:
Участки 27-30:
Режим течения жидкости на всех участках
гидравлической системы турбулентный.
. Расчёт гидростатического и динамического
давления.
Вычерчиваю расчётную схему в масштабе по длинам
трубопроводов и определяю самый нижний участок и проведу через него плоскость
сравнения 0-0, и отсчитаю высоту z.
Определил значение гидростатического
давления 
, а так же 
для входа (индекс 1) и выхода
(индекс 2) каждого гидравлического элемента.

Так как 

, то приходим к выводу, что участок
8-11 самый нижний и через нее проводим плоскость сравнения 0-0
.Топлиный бак:

Па;

Па.
. Вход в трубопровод:

Па;

Па.
. Насос подкачки:

Па;

Па.
.Трубопровод 
:

Па;

Па;

Па.
5. Запорный кран:

Па;

Па.
. Трубопровод 
:

Па;

Па;

Па.
. Отвод:

Па;

Па.
. Фильтр:

Па;

Па.
. Трубопровод 

Па;

Па.
. Датчик расходомера

Па;

Па.
. Трубопровод 
:

Па;

Па.
. Отвод:

Па;

Па.
. Трубопровод 
:

Па;

Па;

Па.
.Насос:

Па;

Па;

=38796,923 Па
. Трубопровод 
:

Па;

Па;

=38796,923 Па.
. Отвод:

Па;

=38769,923 Па.
. Трубопровод 
:

Па;

=38769,923 Па.
. Фильтр:

Па;

=38796,923 Па.
. Колено:

Па;

=38796,923 Па.
. Трубопровод 
:

Па;

Па;

=38796,923 Па.
.Тройник:

Па;

Па.
. Трубопровод:

Па;

Па.
. Тройник:

Па;

Па;

Па;

Па.
24. Форсунка:

Па;

Па;

см. п. 18.
. Трубопровод 
:

Па;

Па.
. Тройник:

Па;

Па

Па;

Па.
. Форсунка

Па;

Па;

см. п. 18.
28.Трубопровод 
:

Па;

Па.
. Колено:

Па;

Па.
. Форсунка:

Па;

Па;

см. п. 18.
10. Определение путевых потерь
давления
Рассчитываем путевые потери для всех
трубопроводов системы по формуле Дарси (8) и коэффициенты по формуле Блазиуса
(12),считая трубы гидравлически гладкими.
, где
Коэффициент путевых потерь
трубопроводов 1-14:
Коэффициент путевых потерь
трубопроводов 14-21:
Коэффициент путевых потерь
трубопроводов 21-23:
Коэффициент путевых потерь
трубопроводов 23-26:
Коэффициент путевых потерь
трубопроводов 26-30:
Путевые потери трубопроводов:
.
Па;
. 
Па;
. 
Па;
. 
Па;
. 
Па;
. 
Па;
. 
Па;
. 
Па;
. 
Па;
. 
Па;
. 
4030.2 Па;
11. Определение местных потерь
давления
Вычисляем потери полного давления в
местных сопротивлениях по формуле Вейсбаха (7). Коэффициенты гидравлического
сопротивления для разных видов местных сопротивлений приведены в приложении 3
[1] и задании.
1. Вход в трубопровод (2 участок).


Значение
в
зависимости от гидравлического диаметра
, расстояния от конца трубы до
стенки
, толщины
стенки трубы
определяем
по таблице. Для круглой трубы
Перепад давления на участке
определяется по формуле:

Па.
. Запорный кран ( 5 участок):

Определяем
по графику:
=1
Перепад давления на участке
определяется по формуле:

Па.
. Отвод (7 участок).
,
.
Коэффициент путевых потерь
определяем
по таблице в зависимости от соотношения
и числа Re..
=0,0454
Перепад давлений определяется по
формуле:

Па.
. Фильтр (8 участок):
;
;
мм.
Внезапное расширение.
;
Re=29566.86
Коэффициент
м находим по
формуле Борда - Карно:

Па;

0,0007065 м2 .
Живое сечение
определяется
как

м2;

м/с;
Число Re на участке
сетки:

;
При 50<Re<103
: 
, 
можно найти по графику или таблице 
, где
определяем по таблице


; 
;

м/с;

Па.
Внезапное сужение.
Re=29566.86
Коэффициент сопротивления
определяется по формуле Идельчика:

2301,74 Па;
Суммарные потери фильтра 8.

6608,917Па.
. Датчик расходомера (10 участок):

по заданию;

Па.
. Отвод ( 12 участок):
,
.
Коэффициент путевых потерь
определяем
по таблице в зависимости от соотношения
и числа Re..
=0,0454
Перепад давлений определяется по
формуле:

Па.
. Отвод (16 участок):
,
.
При
,
; при
,
; для круглой трубы
.


Па.
. Фильтр (18 участок):
;
;
мм
Внезапное расширение.
Коэффициент
м находим по
формуле Борда - Карно:

Па;
Сетка из металлической проволоки,
расположенная в фильтре.

0,00011304 м2 .
Живое сечение
определяется
как

м2;

9.88 м/с;
Число Re на участке
сетки:

821.7
При 50<Re<103
: 
, 
можно найти по графику или таблице 
, где
определяем по таблице


; 

2.47 м/с;

Па.
Внезапное сужение.

Коэффициент сопротивления
определяется по формуле Идельчика:

0,4029

15629,708 Па;
Суммарные потери фильтра 18:

+
64090 Па.
. Колено ( 19 участок):
Находим по таблице
;
; для
круглой трубы
;
;

46086,11 Па
. Тройник ( 21 участок):

где
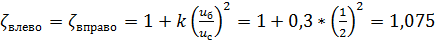
=0,3 для сварных тройников.

41702,49Па.
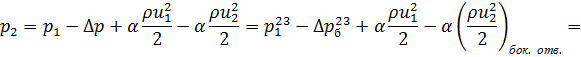
. Тройник (23 участок):
;
На боковое ответвление.

; По таблице
находим 
;

11162,69 Па.
На проход потока.

; По таблице
находим 
;

4829,73Па.
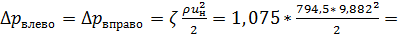
. Тройник ( 26 участок);
На боковое ответвление.

; По таблице
находим 
;

Па.
На проход потока.

; По таблице
находим 

2370,68 Па.
. Колено ( 29 участок):
Находим по таблице
;
; для
круглой трубы
;
;

1280,17 Па.
Результаты расчётов по пп.8, 10, 11
заносим в таблицу, указывая отдельно потери
и динамические давления на проход и
боковое отверстие.
Таблица 1
Элементы системы ВРД Вход в
элемент 1 
,
кПа
|
кПаПотери
давления
|
|
|
|
|
Выход
из элемента 2
|
|
|
Путевые
|
Местные
|
|
1.Топливный
бак
|
1
|
36619,502
|
0
|
0
|
0
|
|
2
|
36619,502
|
5028,081
|
|
|
|
2.Вход
в трубопровод
|
1
|
36619,502
|
5028,081
|
0
|
3067.6
|
|
2
|
36619,502
|
5028,081
|
|
|
|
3.
Насос подкачки
|
1
|
36619,502
|
5028,081
|
0
|
0
|
|
2
|
36619,502
|
5028,081
|
|
|
|
4.
Трубопровод
|
1
|
36619,502
|
5028,081
|
30173,594
|
0
|
|
2
|
17147,044
|
5028,081
|
|
|
|
5.
Запорный кран
|
1
|
17147,044
|
5028,081
|
0
|
5028,9328
|
|
2
|
17147,044
|
5028,081
|
|
|
|
6.
Трубопровод
|
1
|
17147,044
|
5028,081
|
26552,763
|
0
|
|
2
|
0
|
5028,081
|
|
|
|
7.
Отвод
|
1
|
0
|
5028,081
|
0
|
1438,275
|
|
2
|
0
|
5028,081
|
|
|
|
8.
Фильтр
|
1
|
0
|
5028,081
|
0
|
6608,917
|
|
2
|
0
|
5028,081
|
|
|
|
9.
Трубопровод
|
1
|
0
|
5028,081
|
22931,932
|
0
|
|
2
|
0
|
5028,081
|
|
|
|
10.
Датчик расходомера
|
1
|
0
|
5028,081
|
0
|
14081,01
|
|
2
|
0
|
5028,081
|
|
|
|
11.
Трубопровод
|
1
|
0
|
5028,081
|
22328,46
|
0
|
|
2
|
0
|
5028,081
|
|
|
|
12.
Отвод
|
1
|
0
|
5028,081
|
0
|
1438,275
|
|
2
|
0
|
5028,081
|
|
|
|
|
|
|
|
|
|
13.
Трубопровод
|
1
|
0
|
5028,081
|
14483,325
|
0
|
|
2
|
9349,66
|
5028,081
|
|
|
|
14.
Насос
|
1
|
9349,66
|
5028,081
|
0
|
0
|
|
2
|
9349,66
|
38796,923
|
|
|
|
15.
Трубопровод
|
1
|
9349,66
|
38796,923
|
244396
|
0
|
|
2
|
23374,15
|
38796,923
|
|
|
|
16.
Отвод
|
1
|
23374,15
|
38796,923
|
0
|
8418,08
|
|
2
|
23374,15
|
38796,923
|
|
|
|
17.
Трубопровод
|
1
|
23374,15
|
38796,923
|
257973.6
|
0
|
|
2
|
23374,15
|
38796,923
|
|
|
|
18.
Фильтр
|
1
|
23374,15
|
38796,923
|
0
|
64090
|
|
2
|
23374,15
|
38796,923
|
|
|
|
19.
Колено
|
1
|
23374,15
|
38796,923
|
0
|
46086,11
|
|
2
|
23374,15
|
38796,923
|
|
|
|
20.
Трубопровод
|
1
|
23374,15
|
38796,923
|
74676.6
|
0
|
|
2
|
|
38796,923
|
|
|
|
21.
Тройник
|
1
|
19088,889
|
38796,923
|
0
|
41702,49
|
|
2
|
19088,889
|
|
|
|
22. Трубопровод
1 19088,889 
.4
|
0
|
|
|
|
|
2
|
19088,889
|

|
|
|
23. Тройник
1 19088,889 
0Бок. ответ.
|
11162,69
|
|
|
|
|
2
|
19088,889
|
Бок.
Отв. 1077,58
|
|
|
|
|
|
|
|
Проход
потока 4829,73
|
|
|
|
Проход
потока.
|
|
|
|
24.
Форсунка
|
1
|
19088,889
|
1077,58
|
0
|
0
|
|
2
|
19088,889
|
|
|
|
|
25.
Трубопровод
|
1
|
19088,889
|
|
13678.132
|
0
|
|
2
|
19088,889
|
|
|
|
|
26.
Тройник
|
1
|
19088,889
|
|
0
|
Бок.
ответ. 6034,47
|
|
2
|
19088,889
|
Боковое
отв.
|
|
|
|
|
|
|
|
Проход
потока 2370,68
|
|
|
|
Проход
потока
|
|
|
|
27.
Форсунка
|
1
|
19088,889
|
|
0
|
0
|
|
2
|
19088,889
|
|
|
|
|
28.
Трубопровод
|
1
|
19088,889
|
|
4030.2
|
0
|
|
2
|
19088,889
|
|
|
|
|
29.
Колено
|
1
|
19088,889
|
|
0
|
1280,17
|
|
2
|
19088,889
|
|
|
|
|
30.
Форсунка
|
1
|
19088,889
|
|
0
|
0
|
|
2
|
19088,889
|
0
|
|
|
12. Давление во входном патрубке
насоса задают равным 
Для топливной системы

Па;
13. Распределение статического
давления во всасывающей магистрали
Расчёт ведём от насоса против
течения жидкости, последовательно рассматривая все гидравлические элементы. При
расчёте используем уравнение Бернулли (6), учитывая расположение элемента
и скорость
жидкости
на его
входе и выходе.
1. Трубопровод 13:

14483,325=57499Па
2. Отвод 12:

Па
. Трубопровод 11:
. Датчик расходомера 10:

Па
. Трубопровод 9:

Па
. Фильтр 8:

Па
. Отвод 7:

Па
. Трубопровод 6:

Па
. Запорный кран 5:

+5028,932 = 140760.5 Па
. Трубопровод 4:

17147,044+30173,594-
,502 = 151461.64 Па
. Вход в трубопровод 2:

151461.64 + 3067.6 = 154529.24 Па
. Топливный бак 1:

5028,081 = 159557.32 Па
гидравлическая топливная
система двигатель
14. Сравнение давления в баке с
атмосферным давлением на высоте полёта
После расчёта распределения давления
во всасывающей магистрали стало известным давление в баке
, при
котором давление на входе в насос равно заданной величине
.

Па 
Па
Давление. 
Следует обеспечить постановку
подкачивающего насоса непосредственно за баком. Перепад давления на
подкачивающем насосе:

=97110.02 Па
Насос подкачки 3:

151461.64 
97110.02 =54351.62 Па
Вход в трубопровод 2:

54351.62 + 3067.6= 57419.22 Па
Топливный бак 1:

57419.22 + 5028.9 = 62448.12 Па
15. Нахождение давления на выходе из
напорной магистрали (давление на выходе из форсунки).
Для системы топливопитания ВРД - это
давление в камере сгорания: 
Па
. Определение базовой форсунки
При расчёте систем ВРД давление
перед форсунками получается неодинаковым в результате различных гидравлических
потерь и разного расположения элементов. Для нормальной работы двигателя оно
должно быть одинаковым. Поэтому в расчётах (в качестве базовой) рассматривается
наиболее удалённая форсунка, перед которой потеря давления максимальна, а
избыточный перепад давления на других форсунках компенсируются введением в
систему перед ними дополнительных гидравлических сопротивлений, например,
жиклеров (калиброванное отверстие для дозирования подачи жидкого топлива или
воздуха). Примем форсунку 30 за базовую, так как она наиболее удалена от насоса
14 и значит потери давления на ней будут наибольшими.
. Распределение статического
давления в напорной магистрали.
Расчёт ведём от базовой форсунки к
насосу против течения жидкости последовательно рассматривая все гидравлические
элементы. Используем уравнение Бернулли и учитывая расположение элемента и
величины скорости на его входе и выходе. Давление перед отверстием базовой
форсунки (на входе в форсунку) определяется по формуле:

Где 
- перепад статического давления на
форсунке.
Определим исходя из известных
данных:

Па

Па
Форсунка 30: 
=
Колено 29:
+∆
=
+ 1280,17 = 5124253,99 Па
Трубопровод 28: 
+∆
=
+ 4030.2 = 5128284.19 Па
Тройник 26 : 
= 5128284.19 + 2370,68

Трубопровод 25:

+∆
Тройник 23:

Трубопровод22:

+∆

Тройник 21:

Трубопровод 20:

Колено 19: 
Фильтр 18: 
Трубопровод17:

Отвод 16:
Трубопровод 15:

18. Расчёт струйной форсунки
Расчет форсунки сводится к
определения диаметра отверстия форсунки, при этом нужно считать, что все
форсунки данной системы имеют одинаковую геометрия и размеры.
При определении диаметра отверстия
форсунки вычисляем
давление перед ней.

Па
критическое давление по формуле

Па,
где
- давление среды, куда истекает
жидкость из форсунки (для системы топливопитания
), Па;
- давление
насыщенных паров жидкости, Па.
. Рассматриваем отрывочное
истечение из отверстия в тонкой стенке при несовершенном сжатии (здесь имеется
в виду, что внутренние стенки трубопровода до выходного отверстия форсунки
оказывают влияние на формирование потока жидкости).
) Определение скорости истечения
идеальной (невязкой) жидкости
из отверстия форсунки по формуле:

м/с, где
.
) Определение диаметра отверстия
форсунки для идеальной (невязкой) жидкости.

м,
где
и
- диаметр напорной магистрали и
скорость жидкости перед форсункой.
) Вычисление отношения площадей.
)Вычисление числа Рейнольдса по
теоретической (идеальной) скорости для потока в отверстии форсунки.
По величине числа Рейнольдса
определяем значение коэффициента сужения струи
и коэффициента скорости
. ε = 0,62;
.
) Вычисление коэффициента сужения
струи
для
истечения из отверстия в тонкой стенке при несовершенном сжатии.
) Вычисление коэффициента расхода
.

.
) По известному расходу топлива
через форсунку
в
соответствие с формулой
определяют
сначала площадь поперечного сечения форсунки
, а затем диаметр
, с учетом
которого находят скорость на выходе из форсунки
.

м2

м

м/с

Па
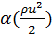
19. Вычисление перепада давления на
насосе.
∆
Па,
где
и
- давление до и после насоса
соответственно.
20. Расчет дополнительных
гидравлических сопротивлений.
Избыточный перепад давления на
небазовых форсунках компенсируются введением в систему перед ними
дополнительных гидравлических сопротивлений, например, жиклеров (калиброванное
отверстие для дозирования подачи жидкого топлива или воздуха).
Расчитаем давление перед форсункой
24:
Тройник 23:
∆
Расчитаем давление перед форсункой
26:
Тройник 26:
∆

Вычисление местных потерь давления
на форсунке.

Па
Таблица 2.
|
Элементы
системы
|
Параметры
системы топливопитания ВРД, Па
|
|
     
|
|
|
|
|
|
|
|
Всасывающая
магистраль.
|
|
Топливный
бак 1
|
36619,502
|
36619,502
|
0
|
5028,081
|
0
|
62448.12
|
57449,221
|
|
Вход
в трубопровод 2
|
36619,502
|
36619,502
|
5028,081
|
5028,081
|
3067.6
|
57449,221
|
54351.62
|
|
Насос
подкачки 3
|
36619,502
|
36619,502
|
5028,081
|
5028,081
|
97110.02
|
54351.62
|
151461.64
|
|
Трубопровод
4
|
36619,502
|
17147,044
|
5028,081
|
5028,081
|
30173,594
|
151461.64
|
140760.5
|
|
Запорный
кран 5
|
17147,044
|
17147,044
|
5028,081
|
5028,081
|
5028,932
|
140760.5
|
135731.57
|
|
Трубопровод
6
|
17147,044
|
0
|
5028,081
|
5028,081
|
26552,763
|
135731.57
|
126325.85
|
|
Отвод
7
|
0
|
0
|
5028,081
|
5028,081
|
1438,275
|
126325.85
|
124887.58
|
|
Фильтр
8
|
0
|
0
|
5028,081
|
5028,081
|
6608.917
|
124887.58
|
118278.66
|
|
Трубопровод
9
|
0
|
0
|
5028,081
|
5028,081
|
22931,93
|
118278.66
|
95346.73
|
|
Датчик
расходомера 10
|
0
|
0
|
5028,081
|
5028,081
|
14081,01
|
95346.73
|
81265.72
|
|
Трубопровод
11
|
0
|
0
|
5028,081
|
5028,081
|
22328,46
|
81265.72
|
58937.26
|
|
Отвод
12
|
0
|
0
|
5028,081
|
5028,081
|
1438.275
|
58937.26
|
57499
|
|
Трубопровод
13
|
0
|
9349,66
|
5028,081
|
5028,081
|
14483,32
|
|
33666
|
|
Напорная
магистраль.
|
|
Насос
14
|
9349,66
|
9349,66
|
5028,081
|
38796.92
|
5297283.083
|
33666
|
5970013.1
|
|
Трубопровод
15
|
9349,66
|
23374,15
|
38796.92
|
38796.92
|
244396
|
5970013.1
|
5711592.62
|
|
Отвод
16
|
23374,15
|
23374,15
|
38796.92
|
38796.92
|
8418,08
|
5711592.62
|
5703174.54
|
|
Трубопровод
17
|
23374,15
|
23374,15
|
38796.92
|
38796.92
|
257973.6
|
5703174.54
|
5445200.94
|
|
Фильтр
18
|
23374,15
|
23374,15
|
38796.92
|
38796.92
|
64090
|
5445200.94
|
53881110.94
|
|
Колено
19
|
23374,15
|
23374,15
|
38796.92
|
38796.92
|
46086,11
|
5381110.94
|
5335024.83
|
|
Трубопровод
20
|
23374,15
|
19088,889
|
38796.92
|
38796.92
|
74676.6
|
5335024.83
|
5256062.96
|
|
Тройник
21
|
19088,889
|
19088,889
|
38796.92
|
9699.231
|
41702,49
|
5256062.96
|
5185262.78
|
|
Трубопровод
22
|
19088,889
|
19088,889
|
9699.231
|
9699.231
|
27478.4
|
5185262.78
|
5157784.38
|
|
Тройник
23
|
19088,889
|
19088,88
|
9699.231
|
Проход
|
4829,73
|
5157784.3
|
5099967,37
|
|
|
|
|
потока.4310.77
|
|
|
|
|
|
|
|
Бок.
Отв. 1077,58
|
11162,69
|
|
5177568,721
|
|
Жиклёр
1
|
19088,889
|
19088,889
|
1077,58
|
1077,58
|
54594,901
|
5177568,721
|
5122973.82
|
|
Форсунка
24
|
19088,889
|
19088,889
|
1077,58
|
1438741.28
|
2461258.72
|
5122973.82
|
1124051,4
|
|
Трубопровод
25
|
19088,889
|
19088,889
|
4310,769
|
4310,769
|
13678.132
|
5147566.19
|
5133888.06
|
|
Тройник
26
|
19088,889
|
19088,889
|
4310,769
|
1077,58
|
6034,47
|
5133888.06
|
5026672,088
|
|
|
|
|
|
2370,68
|
|
5029258.19
|
|
Жиклёр
2
|
19088,889
|
19088,889
|
1077,58
|
1077,58
|
6284.37
|
5029258.19
|
5122973,82
|
|
Форсунка
27
|
19088,889
|
19088,889
|
1077,58
|
1438741.28
|
2461258.72
|
1124051,4
|
|
Трубопровод
28
|
19088,889
|
19088,889
|
1077,58
|
1077,58
|
3180,33
|
5128284.19
|
5024253,99
|
|
Колено
29
|
19088,889
|
19088,889
|
1077,58
|
1077,58
|
1280,17
|
5124253.99
|
5122973.82
|
|
Форсунка
30
|
19088,889
|
19088,889
|
1077,58
|
1438741.28
|
2461258.72
|
5122973.82
|
1124051,4
|
|
|
|
|
|
|
|
|
|
|
|
Использованная литература
1. Александров Ю.Б., Кузьмин В.А.,
Панченко В.И. Расчет гидравлических систем: Учебное пособие.-Казань: Изд-во
Казан. Гос. Техн. Ун-та, 2010.-59с. П