|
|
Vx
|
|
|
|
1
|
2
|
3
|
4
|
|
1
|
0,336
|
0,338
|
0,955
|
|
1,5
|
0,244
|
0,592
|
1,630
|
|
2
|
0,183
|
0,881
|
2,380
|
|
3
|
0,122
|
1,544
|
4,060
|
|
4
|
0,091
|
2,297
|
5,931
|
|
5
|
0,073
|
3,128
|
7,957
|
|
6
|
0,061
|
4,024
|
10,117
|
|
7
|
0,052
|
4,980
|
12,395
|
|
7,79
|
0,047
|
5,774
|
14,000
|
|
8
|
0,046
|
5,990
|
|
|
9
|
0,041
|
7,049
|
|
|
10
|
0,037
|
8,154
|
|
|
11
|
0,033
|
9,303
|
|
|
12
|
0,030
|
|
|
13
|
0,028
|
11,720
|
|
2.5 Вибір елементів
гребного гвинта. Розрахунок і побудова ходової характеристики судна
В експлуатаційних умовах
СЕУ їх елементи працюють в самих різноманітних Режимах.
В установленому режимі
дії двигуна сповна підкоряються закону гребного гвинта і розвивають тільки тау
потужність, яку поглинає гвинт. В свою чергу, потужність, що поглинається
гвинтом, залежить від швидкості і опору води руху судна.
Для вичерпного аналізу
ходових якостей судна необхідно знати його швидкість і потужність, яка
поглинається через опір судна (за рахунок зміни осадки, обростання, хвилювання,
напрямку течій, глибини під судном).
Щоб уникнути розрахунків
швидкохідності судна для усієї різноманітності експлуатаційних режимів, будують
паспортну діаграму, або ходові характеристики судна, які є сукупністю
узгоджених між собою характеристик корпусу, рушію і ГД, побудовані в залежності
від його швидкості.
У зв'язку з тим, що був
встановлений новий двигун з іншою частотою обертання, для забезпечення
необхідної швидкості судна вибираємо новий гвинт.
Гідродинамічні
характеристики гребного гвинта
діаметр гребного гвинта
Дв = 6 м;
крок гвинта Н
= 4,68 м;
число лопатей z = 4;
крокове
відношення H
Дв =0,78;
ККД лінії
валопроводу ηв = 0,98.
Коефіцієнт
повноти корпуса судна визначається по формулі
де V =Δ

δ=22040
1,025=21502 м3
- об'ємна водотоннажність судна у вантажу;
L
= 155,9 м - довжина судна по міделю;
B=
21,78 м - ширина судна по міделю;
Tг = 9,94 м - осадка
судна по вантажу марку;
ρ = 1025т/мг -
щільність морської води.
Приймаємо за базовий -
номінальний режим роботи пропульсивного комплексу по вихідним паспортним даним.
Визначаємо коефіцієнт
обіжного потоку w і засмоктування t по формулах
w = 0,5.δ -0,05 = 0,28;
t = 0,7.w =0,198.
Обчислюємо величину
відносного ходу гребного гвинта на прийнятому номінальному режимі
Вибираємо кілька
значень 
р при цьому одне значення 
р беремо більше визначеного, а два значення 
р менше його, з обліком того, щоб о хопити весь можливий діапазон
режимів роботи пропульсивного комплексу

р1 = 0,46; 
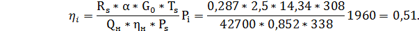
р2 =0,51;
р3 =0,56;
р4 = 0,61.
По кривих дії
гребного гвинта визначаємо безрозмірні коефіцієнти упору К1 і
моменту К2 для кожної обраної
величини 
р.
Задаємося поруч значень
частоти обертання гребного гвинта пс,
починаючи з величини пс
- 0,7…0,8nсн до повного ходу псп..х =
nсн, з охопленням усього поля можливих навантажених режимів роботи
ГД, псн - частота обертання гребного гвинта на номінальному режимі ГД.
Для всіх обраних значень
відносної ходи й частоти обертання гребного гвинта (головного двигуна)
розраховуємо швидкість судна V в вузлах по формулі
А також величину
корисної тяги гвинта, користуючись рівнянням теорії руху
І ефективну потужність
головного двигуна, з огляду на втрати потужності у валопроводі через ηвл
Допустимий номінальній
крутний момент
Для побудови
обмежувальної характеристики, визначимо два значення Ne
для різних nс при Мен = const
Точка А: Nен =10010кВт;
псн=2.12 об/сек.
Точка В: Nе = 2π. nc3. Mен= 2. 3.14. 1.48.753.047 = 6999кВт;
nсн = 1.48 об/сек.
За результатами
розрахунку будуємо графіки зміни ефективної потужності ГД Ne = f 3 (v, n c) і корисної тяги
гребного гвинта Ре = f 2(v, n c) у залежності від швидкості судна при обраних постійних частотах
обертання гребного гвинта.
3. Комплектування систем
головного двигуна. обґрунтування суднової електростанції
3.1 Комплектування
систем ГД і нормативний розрахунок їх основних елементів
Паливна система
Сучасні дизельні судна
обладнуються спеціальною системою паливо підготовки, яка включає сепаратори важкого
і дизельного пального, парові підігрівачі, відстійно-витратні цистерни, фільтри
і таке інше.
Відстійно-витратні
цистерни обладнуються системою парового підігрівання. За правилами Регістру,
максимальна температура підігрітого пального у цистернах повинна бути на 10 - 15°С нижче температури
спалаху його парів, але не вищою ніж 95°С.
Для перекачування
пального повинні бути передбачені не мене двох перекачуючих насосів з
механічним приводом, один з яких - резервний.
Кількість відстійно -
витратних цистерн зазвичай - дві, об'єм кожної з якихвибирається із розрахунку
забезпечення добового витрачання пального на ГД
де ge = 0,173 кг/кВт. год -
витрачення пального на ГД;
Ne = 10010 кВт - потужність ГД;
ρп = 950 кг/м 3 -
щільність пального.
Тому що приймальний
пристрій не припускає попадання відстою в приймальний паливо провід, ємкість
відстійної цистерни збільшують на 5 м3
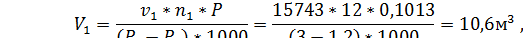
Vвд = 43,75+5 = 48,75 м3
Приймаємо установку на
судні двох відстійних цистерн важкого пального.
Витратні цистерни
важкого пального повинні бути ємністю не менше половини ємкості відстійних.
Приймаємо витратну цистерну важкого пального ємністю
Vвит = Vвід. (0,5…0,7)= 48,75.
0,66 =32 м3.
Ємність відстійно -
витратної цистерни дизельного пального приймається або рівною ємності цистерни
важкого пального, або менше на 25 - 30%
Vвв.дп = Vвит. (0,7…1) =32. 0,75 =24 м3.
Продуктивність паливних
сепараторів визначається виходячи з умови сепарації добового витрачання
пального на протязі 12 годин
Виходячи з умови
продуктивності вибираємо сепаратор Alfa - Laval
типу МАРХ 309, Q
= 
.У Цілях уніфікації сепаратор дизельного пального вибираємо таким
же, як і сепаратор важкого пального.
Продуктивність
паливоперекачуючих насосів вибираємо за умови заповнення відстійної цистерни за
1 - 2 години
Приймаємо для
установки на судні два паливоперекачуючих насосів марки ЭВ 63/25 - 150/4Б - З, 
Н =
0,4 мПа. Насоси здатні перекачувати і дизельне пальне.
Потужність, що
споживається кожним насосом
де Н =
0,4мПа-напір насосу;
ηппн=0,7 - ККД насосу.
Мастильна система
Мастильна система
забезпечує подавання до поверхонь тертя двигунів,
на охолодження
поршнів. Вона складається з цистерн для зберігання запасів мастил, мастильних
циркуляційних насосів, фільтрів, сепараторів, масло охолоджувачів та інше.
При одному двигуні на
судні повинно бути не менше двох насосів циркуляційного мащення - основний і
резервний, один з яких може мати привід від двигуна.
Продуктивність
резервного насосу повинна рівнятися продуктивності основного.
Ємність цистерни
циліндрового мастила для ГД розраховується за формулою
де gм = 0,0012 кг /кВт.годину - питоме
витрачення мастила;
ρм = 960 кг /м3
- густина мастила;
τгд = 800 годин - час
роботи ГД при виборі дальності плавання.
Тепло тертя, що
відводиться з мастилом
де Nе =10010 кВт - потужність головного двигуна;
ηмех =ηм. ηп ηв =0,92. 1,0.
0,98 - механічний ККД установки;
ηм = 0,92 -
механічний ККД двигуна;
ηп = 1,0 - ККД
редукторної передачі;
ηв = 0,98 - ККД
валопроводу;
αтр =0,4…0,5 - доля
тертя, що сприймається мастилом.
Кількість тепла, що
відводиться мастилом від головок поршнів двигуна
де 
= 0,04…0,06 - доля тепла, що відводиться мастилом;

кг / кВт. годину - питома витрата пального;



- теплота згорання.
Годинна витрата мастила
у системі мащення
де 
= 
кДж/кг - теплоємність
мастила;

= 8…12°С - підвищення
температури мастила, що допускається у системі мащення.
Годинна витрата мастила
у системі охолодження
де
= 5…12°С - підвищення
температури мастила, що допускається у системі охолоджування поршнів.
Пропускна здібність
фільтра тонкої відчистки

=(0,1…0,15) G1
=0,1 -65707 = 657 кг/годину.
Продуктивність
циркуляційного насосу
де k = 1,2…1,5 - коефіцієнт запасу
продуктивності насосу;
ρм= 900
кг/м3 - густина масла.
Приймаємо для установки
на судні два (один резервний) циркуляційні мастильні насоси типу ЗВХ2 355/4,5Б
- Q = 355м3/ годину, Н = 0,45МПа, потужність споживання насосу Р =72,6кВт.
Поверхня охолодження
мастило охолоджувача
де kм = 1080кДж/(м2 • годину • град) - коефіцієнт теплопередачі від
мастила до води;
tмl, tм2 - температура
мастила до і після охолодження;
tвl, tв2 - температура
забортної води до і після охолоджувача.
З розрахунку приймаємо
пластинковий охолоджувач мастила фірми
Alfa-Laval, F = 250м2.
Кількість мастила у
циркуляційній системі
де kц =8… 12 - кратність циркуляції.
Місткість сточної
мастильної цистерни повинна бути на 40 - 50% більша, ніж об'єм мастила у
циркуляційній системі
де kвсп =1,05…1,07 - коефіцієнт спінювання.
Продуктивність
мастильного сепаратору

де 
= 5 годин - час
сепарації.
Приймаємо для установки
на судні сепаратор фірми Alfa - Laval типу МАРХ 210, Q = 6,7м31
годину для мастила при температурі сепарації - 65°С. Для перекачен мастила
використовуємо насос сепаратора.
Система охолоджування
головного двигуна
Сучасні СДУ мають двох
контурну систему охолодження, до якої входять насоси забортної води, насоси і
охолоджувачі прісної води.
Система охолодження
забортної в оди ГД повинна обладнуватися двома насосами - основним і резервним,
один з яких повинен мати незалежний привід. Система прісної води повинна мати
також два насоси.
В системі охолодження
прісної води повинна бути передбачена розширювальна цистерна ємністю 10 - 20%
об'єму контуру охолодження, рівень води у якої повинен бути вище максимального
рівня води в двигуні.
Кількість тепла, що
відводиться прісною водою від циліндрів головного двигуна
де gц = 0,11…0,13 - доля тепла, що відводиться від циліндрів двигуна.
Продуктивність насосу
прісної води охолодження циліндрів головного двигуна
де k = 1,15…1,2 - коефіцієнт
запасу продуктивності;
С = 4,19 кДж/кг - град - теплоємність охолоджуючої води;
Δt1 = 8…12°С - перепад температури води, на вході і виході у двигун.
Приймаємо для установки
два насоси охолодження циліндрів ГД типу НЦВ250/30А-1-П, Q = 250м3 / годину, Н = 0,3МПа, потужність споживання насосу Р = 26,7кВт.
Продуктивність насосу
охолодження забортної води
де k = 1,2… 1,4 - коефіцієнт запасу
продуктивності
Qм - кількість тепла,
що відводиться від двигуна з мастилом;
С, = 4,15 кДж /кг • град - теплоємність забортної води;
Δt2 = 10… 15°С -
температурний перепад забортної води в охолоджувачі.
Приймаємо два насоси
(один резервний) забортної води типу НЦВ400/30
А-1-П, Q = 400м3 /годину, Н = 0,3 МПа, потужність споживання насосу Р =
41кВт.
Поверхня охолодження
головного водо-водяного охолоджувача
де tпв1 i tпв2, tзв1 i tзв2 - температура
прісної і забортної води на вході в охолоджувач і виході з нього;
kв = 2000…3500кДж:/(м2.
годину. град) - коефіцієнт теплопередачі в охолоджувачі від прісної води
до забортної.
Приймаємо пластинковий водо-водяний
охолоджувач фірми Alfa-Laval, F = 100 м2.
Об'єм розширювальної
цистерни

0,3*10010*10-3=3м3,
де αр = 0,15…0,4 л/кВт - питома ємність.
Система стисненого
повітря
До системи стисненого
повітря входять компресори і балони пускового повітря, а також балон для пуску
допоміжних двигунів. Система повинна забезпечувати одночасний запуск і
реверсування усіх ГД. Стиснене повітря для запуску ГД повинне зберігатися не
менш ніж в двох повітря сховищах і забезпечувати не менш 12 запусків без
підкачування, в сторону переднього і заднього ходу одночасно. На судах з ВРШ
допустимі 6 запусків. Кількість компресорів на судах необмеженого району
плавання повинна бути не менше двох, при цьому один з них може бути підвісним.
Температура повітря, що
знаходиться у повітря сховищах не повинна перевищувати 55°С.
Об'єм вільного повітря,
що витрачається на один пуск головного двигуна

де q = 4…6 -
витрата в літрах вільного пускового повітря на літр об'єму циліндрів двигуна;
D = 0,5 м - діаметр циліндра двигуна;
S = 1,91 м - ход поршня;
z = 7 - кількість циліндрів двигуна.
Об'єм вільного повітря,
що витрачається на пуск ДГ, найбільшої потужності
v2 =q2-Ne =2-480 = 960 л,
де q2 = 1,5…2 л/кВт - питома витрата вільного повітря на пуск ДГ;
Ne = 480кВт - найбільша потужність ДГ.
Ємність балонів
головного двигуна
де n1 ≥12 т - кількість пусків ГД згідно правил Регістру;
P = 0,1013 МПа - атмосферний тиск
P1 = 3МПа - максимальний тиск
стисненого повітря в балоні;
P2 =1,0… 1,2 - мінімальний тиск
повітря, при якому є можливий пуск двигуна.
Приймаємо два балони
ємністю 5,5м3 кожний.
Ємність балонів
допоміжних двигунів
де n1 ≥ 6 - кількість пусків ГД згідно правил Регістру.
Продуктивність кожного
головного компресора
де t = 1 година - час заповнення балона.
Приймаємо для установки
на судні два компресори (один резервний) фірми Hamworthy, типу 2TF5 Q = 233м3
і годину, Н = 3 МПа. Потужність, що необхідна для приводу компресора P = 41кВт.
Газовипускна система
Газовипускна система
призначена для відводу в атмосферу газоподібних продуктів згорання палива і
включає до себе: газоходи, компенсатори, активні або реактивні глушники,
іскрогасники.
Температура
газовипускних охолоджуваних і не охолоджуваних колекторів не повинна
перевищувати 55°С. Розташування газовипускних труб на судні відносно паливних
цистерн повинно відповідати вимогам правил Регістру.
Об'ємна витрата
випускних газів
де β = 1,02 - коефіцієнт молекулярного змінення продуктів згорання;
α - 2,5 - коефіцієнт
надлишку повітря;
В = 1732 кг/годину - годинна
витрата палива ГД;
t2 = 573А: -
температура випускних газів;
Р2 = 0,2 МПа
- тиск випускних газів.
Площа перетину
газовипускної труби
де w2 = 30 м/с - швидкість газів.
Компенсація основного
обладнання, що обслуговує ГД показана вище. Вона здійснюється на підставі вимог
Регістру Судноплавства з забезпечення живучості судна. Це досягається
дублюванням окремого обладнання. Таблиця дублювання приведена нижче.
3.2 Розрахунок
навантаження суднової електростанції в ходовому режимі
Потреба транспортних
суден в електроенергії істотно залежить від типу і призначення судна,
потужності ГД, району плавання та інших факторів. Середньостатистичне
навантаження СЕС в ходовому режимі можна визначити за наближеною формулою
Рecх = 120 + 0,028-Ne = 120
+ 0,028-10010 = 400кВт.
Максимальне навантаження
для літнього періоду (за одночасної роботи системи кондиціювання повітря,
вентиляції камбузу, СХУ, радіонавігаційних приладів, майстерень та деяких
споживачів) можна розрахувати за формулою

=120 + 0,031-Ne =120 + 0,031.
10010= 430кВт
При виборі кількості й
потужності ДГ варто прагнути, щоб у ходовому режимі працював лише один ДГ, тому
що це значно спрощує керування СЭУ й підвищує її економічність. Для
забезпечення досить високого завантаження ДГ на всіх режимах часто обмежують
індивідуальну потужність ДГ. На транспортних судах із ВФШ установлюють 2-3 ДГ.
Для виробітку
електроенергії на судні встановлені три дизель - генератори змінного струму
напругою 3 х 400 В і частотою 50 Гц. Кожний дизель-генератор складається із
двигуна внутрішнього згоряння й генератора, установлених соосно на загальній
рамі.
Тип двигуна - «Зульцер»
5А25 - 4-х тактний, однобічної дії, дизельний, нереверсивний з наддуванням і
безпосереднім вприском палива.
Кількість циліндрів - 5;
Діаметр циліндра, мм -
250;
Ход поршня, мм - 300;
Кількість обертань,
об./хв. - 750;
Ефективна потужність,
кВт - 480.
Пуск двигуна - стисненим
повітрям.
Охолодження циліндрів -
прісною водою.
Надув - імпульсний
турбонагнітачем.
Устаткування двигуна -
насос змащувального мастила, повітроохолоджувач, фільтр палива,
паливо-підкачувальий насос, регулятор обертів «Вудвард UG-8», насос прісної води.
Суднова електростанція
складається із трьох дизель-генераторів напругою 400 В, 50 Гц сумарною
потужністю 1440 кВт (3 х 480 кВт). Всі генератори типу GO, синхронні, самозбудженні
з автоматичним регулюванням напруги. Кожний генератор пристосований як до
індивідуального, так і до паралельної роботи.
Корпус генераторів типу JR22 захищений від крапель
під кутом 45°, засмоктування охолодного повітря з висоти близько 1 м від настилу
через фільтр.
На судні передбачений
аварійний дизель-генератор потужністю 90 кВт, напругою 400V. Застосовано синхронний
генератор із самозбудженням, автоматичним регулюванням напруги, пристосованим
винятково для індивідуальної роботи. Генератор питає ГРЩ. Разом з генератором
установлений пристрій самопуску, що спрацьовує в момент зникнення напруги на
фідері, що питає АРЩ від ГРЩ.
Для живлення споживачів
напругою 220 В, встановлені три трифазних трансформатори із сухою ізоляцією, що
знижують, з передаточним числом 400/230, з яких дві потужності по 75 кВт і один
50 квт. Два трансформатори встановлені в приміщенні ГРЩ і питають споживачі
господарсько-побутового й камбузного устаткування, а також мережі основного
освітлення. Один трансформатор (меншої потужності) установлений у приміщенні
АДГ і питає мережу аварійного освітлення, засоби радіозв'язку, навігаційні
пристрої й інші споживачі.
Передбачено понижувальні
трансформатори для живлення низьковольтної мережі 220/24 і 220/12 В.
4. Головні вимоги ІМО (регістру)
до суднових механізмів
4.1 Область поширення
Наступна частина правил
поширюється на наступні двигуни й механізми
1 двигуни
внутрішнього згорання - головні;
2 турбіни парові
й газові - головні;
газотурбінні
установки з вільно поршневими генераторами газу;
передачі й
муфти;
двигуни
приводні для джерел електроенергії, або допоміжних і палубних механізмів,
агрегати в зборі;
насоси, що
входять до складу систем;
повітряні
компресори;
повітрянагнетачі
головних котлів, турбонагнітачі й повітрянагнітачі двигунів внутрішнього
згорання;
вентилятори, що
входять до складу систем;
10 кормові приводи;
11 якірні механізми;
12 гідравлічні приводи
13 швартовні механізми;
14 буксирні лебідки;
15 сепаратори масла;
16 сепаратори палива.
4.2 Область нагляду
Умови, що визначають
порядок нагляду Регістру за виготовленням механізмів і устаткування, а також
порядок розгляду й затвердження технічної документації, викладені в загальних
положеннях про наглядову діяльність.
2 Нагляду Регістра за виготовленням підлягають двигуни й механізми,
за винятком механізмів з ручним приводом.
3 До початку виготовлення механізмів повинна бути представлена на
розгляд Регістра технічна документація.
4 Ротори, вали й диски парових турбін, газові та інші двигуни, а
також болти з'єднання корпусів турбін високого тиску підлягають при
виготовленні ультразвуковому контролю. Вали головних зубчатих передач і румпелі
при масі більше 250 кілограмів підлягають ультразвуковому контролю.
5 Для двигунів внутрішнього згорання сталеві, куті й литі деталі,
включаючи їх зварені з'єднання, повинні піддаватися в процесі виготовлення
магнітно-порошковому або капілярному контролю на відсутність поверхневих
дефектів.
Зазначеному вище
контролю повинні також підлягати контролю робочі лопатки головних і допоміжних
турбін, наплавлені лопатки головних турбін і лопатки газотурбінних двигунів.
6 При наявності сумнівів
у відсутності дефектів Регістр може зажадати проведення не руйнуючого контролю
інших деталей механізмів та їх зварених з'єднань.
4.3 Гідравлічні випробування
Деталі механізмів, за
винятком деталей двигунів внутрішнього згорання, що працюють при надлишковому
тиску, після остаточної механічної обробки, до нанесення захисних покриттів
повинні бути випробуванні пробним тиском
Р пр =(1,5 +
0,1.k).Р,
де P - робочий тиск, МПа;
k - коефіцієнт, прийнятий по таблиці.
Допускається
випробування деталей і вузлів механізмів роздільно по порожнинах пробним
тиском, призначеним відповідно робочому тиску й температурі в кожній порожнині.
Деталі двигунів
внутрішнього згорання повинні випробовуватись відповідно до вимог.
Деталі й механізми,
заповнені нафтопродуктами або їх парами, під гідростатичним або атмосферним
тиском, повинні піддаватись випробуванням на масло-непроникність, схваленим
Регістром способом. У зварених конструкціях випробуванню на масло-непроникність
піддають тільки зварювальні шви.
4.4 Випробування у
дії
Кожен механізм після
закінчення складання, регулювання й обкатки, до установки на судно повинен бути
випробуваний на стенді під навантаженням по програмі, схваленої Регістром. В
окремих випадках за узгодження з Регістром випробування на стенді можуть бути
замінені на іспити на судні.
Головні зразки
механізмів повинні випробуватися по програмі, що забезпечує перевірку
надійності й тривалої працездатності окремих деталей і вузлів у цілому.
4.5 Загальні технічні
вимоги
Механізми, повинні
зберігати працездатність в умовах навколишнього середовища.
Конструкція головних
механізмів, призначених для використання на судах з одновальними установками,
як правило, повинна передбачати можливість їхньої роботи в аварійних режимах на
зниженій потужності при виході з ладу деталей, заміна яких у суднових умовах
неможлива, або пов'язана із тривалою втратою часу.
Сталеві, ковані, литі та
зварені, а також чавунні деталі механізмів при виготовленні повинні піддаватись
термічній обробці.
Кріпильні деталі частин,
що рухаються, механізмів і пристроїв, а також кріпильні деталі, що перебувають
у важкодоступних місцях, повинні мати пристосування або конструкцію, що не
допускає мимовільного їх ослаблення й віддачі.
5. Енергетичний баланс
СЕУ і теплова схема. розрахунок економічних показників
5.1 Розрахунок
принципової теплової схеми СЕУ з визначенням основних потоків енергії
Умовне зображення
термодинамічних зв'язків між елементами СЕУ прийнято називати тепловою схемою
установки.
Якщо теплова схема
включає всі потоки теплоносія, то вона називається повною. Іноді з метою чи
дослідження розрахунку теплової схеми другорядні зв'язки окремих елементів
установки (продування механізмів, трубопроводів, арматури, дублювання парових,
конденсатних і інших магістралей) опускають.
Така спрощена теплова
схема називається розгорнутою. Теплова схема, що фіксує основні взаємозв'язки
елементів ПТУ, необхідні для здійснення її термодинамічного циклу, і що роблять
вирішальний вплив на показники теплової ефективності установки, називається
принциповою.
Звичайно принципові
схеми повинні відображати
1 термодинамічний
цикл;
2 спосіб
підведення енергії до механізмів;
спосіб
використання вторинної теплоти;
систему
регенерації теплоти.
У СЕУ сучасного
теплоходу використовуються різні види енергії, джерело
яких є рідке паливо.
Основними споживачами вихідної енергії в СДУ є первісні двигуни (головні - ГД і
допоміжні - ДД), а також генератори робочого тіла (допоміжні котли - ДК).
Загальна кількість
теплоти, що споживається судном у ходовому режимі
де 
= 500кВт - потужність
електростанції на ходовому режимі;
η’с =-η. ηе.
ηвл = 0,27 - енергетичний ККД судна;
η
= 0,6…0,65 - пропульсивний коефіцієнт;
ηе = 0,47 - ефективний ККД головного двигуна;
ηвл = 0,98 - ККД валопроводу.
N6 = 6750кВт - буксировочна
потужність;
η ДГ = 0,33 - ККД дизель-генератора;
η ДК = 0,83 - ККД допоміжного котла;
іп -ів
= 1726кДж/кг - різниця ентальпій пара та води;
Д ДК =
2500 кг / годину - паропродуктивність ДК.
Витрата палива по
елементах СЕУ складає
Якщо корисно
використаною вважати тільки теплоту еквівалентну буксировочній потужності, то
за умови 
idem можна записати вираження для визначення часткового ККД установки
(ККД нетто) у виді
Якщо це вираження
почленно розділити на величину QГД =ВГД.
, то після перетворень
одержимо
де α і β - відносні витрати
палива на ДД і ДК
Загальний ККД (брутто)
без утилізації
При заміщенні на
ходовому режимі допоміжного котла утилізаційним і використанні теплоти
охолоджувальної води, загальний ККД судна визначається виразом
де qг і qв - частки теплоти
від підведеної з паливом до ГД, що відводять з випускними газами й
охолоджувальною водою (qг = 0,36…0,34 = 0,34;
qг = 0,16…0,24=0,19);
ηгук і ηвук - коефіцієнти використання теплоти в газовому і водяному
утилізаційних контурах (η гук = 0,4…0,6 = 0,5; η вук = 0,04…0,06 =
0,05).
5.2 Розрахунок економії
від утилізації вихідної теплоти
Питома витрата палива й
теплоти на установку без утилізації
Питома витрата палива й
теплоти на установку з утилізацією
Економія в питомій
витраті палива від утилізації теплоти, що відходить
Річний економічний ефект
від утилізації
Э = Δbc. Nб. τх. Ст.
10-3 = 564639US$/рік,
де τх = 365. 24. 0,74 = 6482 год / рік -
ходовий час;
Ст= 145 US$/ т - вартість палива з урахуванням витрат на бункерування і
доставку.
5.3 Виводи і пропозиції
по підвищенню економічності суднової енергетичної установки
Один з напрямків
підвищення ефективності СЕУ це всесвітня економія палива для СЕУ (витрати на
паливо за цінами світового ринку в даний час досягає 60% експлуатаційних витрат
по судну).
Для цього необхідно
1 Зниження
питомої витрати палива ДЕУ за рахунок переходу до дліноходових моделей дизелів
і системам наддування при постійному тиску газів перед турбіною.
2 Заміна
дизельних сортів палива менш дефіцитними важкими сортами палива, що вимагає
удосконалення систем охолодження і паливо підготовки дизелів.
Оптимізація
розмірень і обводів судна для зниження гідродинамічного опору.
Зменшення
частоти обертання ГВ при відповідному збільшені його діаметру з метою
поліпшення пропульсивного коефіцієнта.
Утилізація усіх
видів утрат теплової енергії (упровадження комплексних систем, що
використовують тепло охолодної води й газів, що ідуть у єдиному пароводяному
циклі за умови користування ВТО дизелів).
Усе це може сприяти
зниженню питомої витрати палива всієї ЕУ до 160г / кВт • годину.
Зараз реальною економією
палива по ЕСЕУ є установка утилізаційних котлів. Вироблена ним пара може
використовуватися як і в господарсько-побутових нестатках, так і у
турбогенераторах.
Крім цього утилізаційні
котли забезпечують глушіння шуму випуску на 15…20 децибел, у з в'язку з цим
необхідність у спеціальному глушнику відпадає.
Глушильно іскрогасну
частину УК розміщують після випарної поверхні з метою зменшення опору газового
тракту.
Промисловість робить
насоси типу НК для широкого діапазону подач. Вони застосовуються в РМ різних
потужностей. Характеристики насосів зазначені вище (таблиця 6.1). Досвід
експлуатації насосів - позитивний.
Для розрахунку насоса
візьмемо
Вхідні параметри
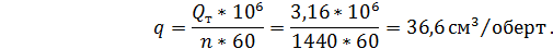
Подача насоса Q = 3 м3 /годину;
Частота обертання валу
насоса п = 1440 об / хвилину;
Тиск нагнітання Рн
= 10 МПа.
Розрахунок теоретичної
подачі насоса
1 Об'ємний ККД
η0 =0,95.
2 Теоретична
подача насоса
Робочий об'єм насоса
Характерний розмір

=
=3,42 см.
Параметр
А
«А» вибирається
по максимально допустимому тиску нагнітання 20 МПа,
так як об'єм гідроприводу
допускає перевантаження на 100% і по матеріалу блока циліндрів - бронза
6 Кількість циліндрів
z = 9.
7 Розміри блока
циліндрів в долях від характерного розміру при
γ =30°, А =1,7, z =9.

п =0,41;

ц
= 18;

к =
2,29;

р
= 1,72;

в =
0,90;

= 0,85.
8 Діаметр поршня
dп
п.Дq=0,41. 3,42=14 мм.
9 Діаметр делітельної
окружності блока циліндрів
Дц
ц.Дq =
1,8. 3,42=61,5 мм.
10 Діаметр ділильної
окружності упорного диска
Др
р.Дq
= 1,72. 3,42=58,8 мм.
11 Зовнішній діаметр
блока
Дк
к.Дq =
2,29. 3,42=78,3 мм.
12 Діаметр внутрішньої
порожнини блока
Дв
в.Дq
= 0,90. 3,42=30,8 мм.
13 Хід поршня
h
. Дq =
0,85. 3,42=29 мм.
14 Діаметр сферичної
поверхні сегментів кардану
Дк = 0,8. Дq = 0,8. 3,42 = 27,4 мм.
15 Діаметр сферичної
голівки шатуна
dш = dп=14 мм.
16 Відстань поміж
сусідніми сферичними голівками шатунів
в упорному диску
Bc = 0,3. dп = 03. 1,4
=4,2 мм.
Довжина шатуна
lш = 0,85. Дц
= 0,85. 61,5 = 52 мм.
Розрахунок торцевого
розподілення
Ширина ущільнюючого
пояса
19 Радіус закруглення
вікна
ρ
= 
. Дq
= 0,89 • 3,42 = 30 мм,
де 
= 
.
Розрахунок люльки
20 Розмах люльки
lл = 1,6 • Дq= 4,6 • 3,42 = 157 мм,
де 1л = (4,42
+ 4,94). Дq.
Розрахунок ступеня
нерівномірності подачі
Ступень нерівномірності
насоса
Розрахунок потужності
насоса
22 Корисна потужність
насоса
23
Корисна потужність приводного
двигуна

Технічне використання
поршневих і плунжерних насосів
Пуск цих насосів при
закритих клапанах на нагнітанні - забороняється.
Пуск проводиться у
наступній послідовності
1 перевіряється система змащування;
2 відкриваються клапана на нагнітальному і всасуючому трубопроводах;
3 пускається двигун;
4 перевіряється дія
системи змащування.
6.5 Обґрунтування зміни
аксіально-поршневого насоса типу НК перемінної подачі на пластинчатий насос
постійної подачі
Час маневрування морських
суден при більших кутах відхилення керма становить невеликий відсоток або
навіть частку відсотка ходового часу.
Від РМ потрібна
безвідмовна, надійна робота при повних навантаженнях, але найбільш характерним
режимом є робота КМ на прямих курсах при малих кутах відхилення керма. Тому
доцільно ставити машини з насосами постійної подачі, тому що їх можливості при
роботі на малих кутах перекладки керма краще.
При перекладці керма на
малі кути, припустимо, що тиск не впливає на величину витоків у системі, тобто
на подачу насоса. При нульовому ексцентриситеті подача насоса дорівнює нулю.
Для пуску машини створенням ексцентриситету включається подача насоса, а не сам
насос. У зв'язку з тим, що ексцентриситет можна задати довільно й швидко,
розглянемо випадок, коли завдання здійснюється практично миттєво, що для ГКМ із
насосами постійної подачі таке положення відповідає дійсності, тому що насос
включається на таку подачу миттєво. Після завдання, при нерухливому штурвалі,
зворотні зв'язки машини здійснюють поступове відпрацьовування, зменшуючи
ексцентриситет насоса й подачу до нуля, а у машин з насосом постійної подачі
відпрацьовування, до самого останнього моменту не зменшує подачі насоса.
Аналіз результатів -
спостережень показує, що час відпрацьовування заданого малого кута для машини з
насосами змінної подачі в 2 - 2,6 рази більше, ніж для машин з насосами
постійної подачі. Крім того, точність відпрацьовування заданого кута у машин з
насосами постійної подачі у кілька разів вище. Миттєве підключення насоса
постійної подачі і його миттєве вимикання, дозволяє кермовій машині працювати
зі значно більшим ККД, ніж при поступовому розвитку або поступовому вимиканні
подачі. Все це приводить до зменшення часу маневру, а отже судно стає більш
стійким на курсі, що значно скорочує загальну рейсову витрату палива.
А на практиці постійно
йде вдосконалювання суднових ГКМ у напрямку спрощення конструкції, зниження
маси й габаритних розмірів, підвищення ККД, надійності й безвідмовності в
роботі, а також важливий аспект - це економія палива.
6.6 Опис і розрахунок
пластинчатого насосу
Конструктивна схема
насоса й принцип його дії представлений на малюнку 6.3 і на 7 кресленні
графічної частини проекту. Насос подвійної дії скла дається із чавунного
корпуса, кришки й статорного сталевого кільця 3. Сталевий ротор 1 має
дванадцять пазів, у яких розміщенні лопати 2 з високоякісної сталі. Ротор 1
через шлицеве з’єднання пов'язаний з валом. При обертанні ротора 1, лопати 2
вільно висуваються, переміщуючись у його пазах і сковзають на профільованій
поверхні статорного кільця 3. До торцевих поверхонь статорного кільця й ротора
притиснуті розподільні диски 4 у яких є по два вікна для усмоктування й
нагнітання. Щільність прилягання пластин до поверхні сталевого кільця
забезпечується відцентровою силою й тиском масла у середині паза, що підводить
із порожнини нагнітання.
При обертанні ротора,
пластини відповідно до профілю статорного кільця висуваються проти вікна. Так
здійснюється усмоктування. Проти вікна вони йдуть усередину ротора, робочий
обсяг зменшується й виробляється нагнітання. За один оборот насоса цикл
повторюється двічі. Ущільнення між кришкою, корпусом і статорним кільцем
здійснюється гумовим кільцем. Для усунення витоків у фланці встановлена манжета
з мастило стійкої гуми. Диск 4 виконаний плаваючою. Він притискається пружинами
6, забезпечуючи безпечний пуск насоса. Під час роботи насоса диск притискається
повним тиском нагнітання, зменшуючи до мінімуму перетікання рідини.
Переваги насосу
постійної дії
Кут перекладання керма у
рульової машини з насосом постійної продуктивності буде менший, ніж у
еквівалентної по потужності машини з насосом змінної продуктивності для
досягнення однакових результатів при управлінні судами на прямих курсах.
Машина з насосом змінної
продуктивності, здійснюючи перекладання керма на кути αп.к(2) > α п.к(1) при
меншій використовуваній продуктивності насоса, виконує значно велику роботу при
нижчому, п. д., чим машина з насосом постійної продуктивності. Це пов'язано з
великою витратою енергії і палива на рульове управління для другого судна,
обладнаного рульовою машиною з насосом змінної продуктивності.
3 У зв'язку з
повільнішим розвитком кута α пк(2) можна
чекати, що рульова машина другого судна на початку маневру гірше стримуватиме
судно, що йде з курсу під дією зовнішніх причин, і на значній ділянці шляху
траєкторія другого судна може виявитися зовнішньою при більшому відхиленні
судна від курсу.
При великих кутах
відхилення керма для другого судна гальмування, пульсація його швидкості,
погіршення умов роботи гребного гвинта, витрата палива, викликані
перекладаннями керма, будуть більшими, ніж для першого.
На прямих курсах при
постійній потужності Nc силової установки буде падіння швидкості судна і необхідне
збільшення потужності Nc для збереження швидкості постійної залежно від кута відхилення
керма α. За цими даними падіння швидкості вельми помітно навіть при малих
кутах відхилення керма і до 8-10° приблизно пропорційно величині кута.
Для першого
прикладу, якщо прийняти α п.к(2) 
6° і
α п.к{1
, величина швидкості для
другого судна впаде на -1,1% (рульова машина з насосом змінної продуктивності)
для першого - на ~ 0,6% (рульова машина з насосом постійної продуктивності) при
незмінній потужності силової установки. При збереженні швидкості на колишньому
рівні для другого судна потужність І витрата палива буде короткочасна при
найбільших зростати до ~ 103,8%, для першого - до - 101,8%. Дані приведеного
прикладу типові для крупних морських транспортних суден.
При розгляді
справжніх висновків може виникнути питання, а чи слід обмежувати умови
маневрування другого судна, якщо це не пов'язано із зовнішньою обстановкою, тим
же часом, що і для першого. Якщо розтягнути час маневру другого судна, то можна
значно зменшити кут відхилення керма. Але не слід забувати, що така ж
можливість зберігається і для першого судна, використання якої приведе до
початкових умов і вищевикладених висновків. Можливостями для скорочення часу
маневру рульова машина другого судна, обладнана насосом змінної продуктивності,
в порівнянні з машиною першого судна не володіє.
Застосування
авторульових для першого і другого суден при однаковій чутливості (чутливість -
кут відхилення судна від курсу, при якому починає працювати авторульовою) не
вносить принципових змін в передбачувану картину поведінки судів на прямих
курсах.
Слід вважати, що
у всіх випадках, при роботі на малих рогах, рульові машини з насосами постійної
продуктивності володітимуть більшими можливостями, ніж рульові машини з
насосами змінної продуктивності.
Розрахунок
пластинчатого насоса постійної подачі для штатної рульової машини
Обсяг рідини,
переданий при перекладці керма на кут від 35° до 30° протилежного борта
2 Подача
насоса
Розрахунок насоса
Вхідні данні для
розрахунку
подача насоса
Q = 12 м3 /годину;
частота обертання
п = 1450 хвилин-1;
номінальний тиск
нагнітання
Р н = 12,5
МПа.
об'ємний ККД насоса
η 0 = 0,88.
теоретична подача

6.7 Вимоги СОЛАС і
Регістра до рульових машин. Технічне використання й обслуговування РМ
Протягом 12 ч до виходу
судна з порту кермова машина повинна бути підготовлена до дії, перевірена в
роботі й випробувана відповідно до вимог СОЛАС 131. При цьому варто керуватися
фірмовими інструкціями для експлуатації й діючими керівними технічними
матеріалами. Перевірку й випробування виконують особи командного состава,
зайняті експлуатацією й (або) обслуговуванням ГРМ (ЕГРМ).
При підготовці до дії,
перевірках і випробуваннях кермових машин варто звертати особливу увагу на
наступне: легкість переміщень золотників і відсутність їхніх заїдань, перекосів
і більших люфтів у з'єднаннях з керуючими валиками; стан поверхонь золотників і
їхніх ущільнень; легкість провертання вручну валів насосів регульованої подачі
при їхньому нульовому ексцентриситеті; спрацьовування стопорних храповиків або
гідро замків, рівні робочої рідини в розширювальних баках; положення запірних
клапанів. Не повинне бути нехарактерних шумів і стукотів, зовнішніх витоків
робочої рідини, стрибків і затримок рулячи при його перекладках, а також
автоколебаний (незатухаючих періодичних рухів) керуючих валиків приладів ІМ,
золотників гідропідсилювачів (або важільних механізмів керування насосами), що
сковзають блоків радіально-поршневих насосів (або колисок аксиально-поршневых
насосів) і руля.
Кермові машини повинні
бути добре відрегульовані. Показниками якості регулювання є: найбільша точність
установки руля в задане положення, обумовлена різницею заданого (на пості
керування) і фактичного (по шкалі кермового привода) кутів перекладки (досяжна
точність ±0,5° при кутах перекладки руля ±10°); мінімальну неузгодженість
нульових положень насосів (не більше 0,5° зміни положення руля при перемиканні
діючих насосів); обмежений (не більше 10% номінального переміщення) люфт на
керуючому органі головного насоса; невелика загальна зона нечутливості системи
керування (визначається шляхом плавного повороту штурвала до моменту
страгіванія руля в тім або іншому напрямку); мінімальна швидкість сповзання
руля в режимі керування «Простий»; відсутність автоколебаний.
Під час ходу судна
вахтовий механік, приймаючи вахту, зобов'язаний оглянути румпельне приміщення й
кермову машину, а вахтовий моторист (машиніст) повинен оглядати їх два рази за
вахту. При цьому варто звертати увагу на наступне: наявність мастильного масла
на тертьових деталях, у прес-маслянках і оглядових стеклах редукторів; стан
регулюючих і стопорних пристроїв (не повинно бути стукотів і перегріву
підшипників); відповідність покажчиків положенню руля; температуру (повинна
бути не нижче 5°С у зимовий час) і відносну вологість румпельного приміщення
(не повинна перевищувати 85% для запобігання різкого зменшення опору ізоляції
електроустаткування).
Особливу увагу варто
обертати на рівні робочої рідини й розширювальних баків, показання манометрів
гідравлічних контурів (силового й керування), плавність перекладок руля (без
затримок і стрибків); не повинно бути перегріву робочої рідини й зовнішніх
витоків, нехарактерних шумів і стукотів у насосах і механічних з'єднаннях
кермового привода, а також автоколебаний деталей і вузлів ГРМ (ЕГРМ).
При виявленні істотних
відхилень від спецификаційних параметрів і показників роботи кермової машини
вахтовий механік зобов'язаний організувати постійне спостереження за її
роботою, доповісти про цьому старшому (головному) механікові й зробити в
машинному журналі відповідний запис.
Протягом вахти механік
повинен періодично контролювати справність дії кермової машини за показниками
наявних на пульті керування приладів і сигналізаторів.
Перед підходом до
районів, плавання в які вимагає особливої обережності (протоках, каналах,
шлюзах, у льодовій обстановці, стиснутих акваторіях), повинна бути перевірена
справність дії систем дистанційного керування кермовою машиною на ручних
режимах роботи (наприклад, «Следящий» і «Простий»), У цих районах повинні бути
наведені в дію два насоси, якщо вони можуть надійно працювати одночасно.
У випадку відмови одного
з насосів кермової машини перехід на іншій виконує вахтовий помічник капітана
на наявних постах керування, а вахтовий механік зобов'язаний при цьому прийняти
негайні й ефективні заходи по з'ясуванню й усуненню причин відмови, доповівши
про те, що трапилося, старшому (головному) механікові.
Переходи з роботи одного
насоса на іншій у звичайних умовах повинні виконуватися після попередження об
цьому вахтового механіка, що зобов'язаний контролювати при цьому справність дії
кермової машини за показниками наявних на пульті керування приладів і
сигналізаторів.
У випадку відмови всіх
систем дистанційного керування здійснюється перехід на керування «Місцевий» (у
румпельному приміщенні).
Після закінчення
швартовних операцій і зняття готовності, кермову машину треба зупинити й
оглянути, звернувши особливу увагу на відсутність перегріву й зовнішніх витоків
робочої рідини, нормальні рівні у видаткових баках і нейтральні (середні)
положення керуючих органів системи керування й насосів. Перо руля повинне бути
встановлене в діаметральній площині. При експлуатації ЕГРМ, якій властиве
«сповзання» керма в режимі керування «Простий», варто встановити на пості
керування режим «Следящий».
У процесі технічного
обслуговування пристроїв, що підрулюють, як і інших машин і механізмів,
необхідно керуватися фірмовою інструкцією. Звичайно виконують наступні роботи.
У ході щоденного огляду
перевіряють герметичність з'єднань трубопроводів і рівні масла в баках. При
огляді через 50 ч роботи беруть пробу масла на обводненність.
У щомісячний огляд
входить перевірка роботи ПУ протягом 10 хв. на різних режимах, всіх робітників
параметрів електродвигунів і насоса, а також видів керування, блокувань і
сигналізаторів. Щорічно додатково перевіряють якість масла, що при необхідності
заміняють, контрольно-вимірювальні прилади й регулювання запобіжного клапана,
промивають фільтри.
Кожні 5 років
експлуатації заміняють гумовотехнічні вироби. Строк їхньої служби 7 років, з
них 2 роки доводяться на зберігання й 5 - на період експлуатації. При
зберіганні понад двох років, строк експлуатації скорочується.
У процесі експлуатації
ПУ можливі наступні типові несправності.
При завданні нульового
положення лопати встановлюються з великою помилкою. Таку несправність усувають
регулюванням механізму зворотного зв'язку за допомогою з'єднань. При завданні
певного кута лопати можуть продовжувати повертатися до граничного кута. Це
відбувається у випадку обриву важелів у зворотному зв'язку DEFGHBC.
Під час включення ПУ
лопати гвинта можуть не повертатися. При цьому необхідно перевірити роботу
елементів блокування. Можливі також обриви в електричній системі керування.
Уповільнена швидкість
повороту лопат зв'язана, як правило, з витоками робочої рідини в системі через
зношування ущільнень. Заміна їх можлива тільки в доці.
Лопати можуть не
повертатися на повний кут внаслідок порушення регулювання запобіжного клапана.
Можливе заїдання золотника у крайніх положеннях, а також значне зношування
насоса. При наявності в системі гідрозамків їхнє зношування може викликати
аналогічну несправність.
Багато несправностей
пов'язані із забрудненням робочої рідини або її обводнюванням. Необхідний
періодичний контроль над станом рідини й чистотою фільтрів.
Висновки
У даному дипломному
проекті розглядається проектування енергетичної установки універсального судна
водотоннажністю 22000 тон. Був зроблений розрахунок ходових характеристик судна
і на їхній підставі був обраний головний двигун фірми MAN B&W марки 7S50MC (7ДКРН50/91). По
головному двигуну, був зроблений тепловий розрахунок, а також його опис.
Виконано розрахунок
допоміжних механізмів і систем, вибір елементів систем і механізмів, згідно
правил Регістра і на його підставі була визначена потужність суднової
електростанції і її первинних двигунів, а також аварійного дизель-генератора.
Перелік джерел
1 Акимов ПЛ. Судовые силовые установки. - М: Транспорт, 1972. - 375
с.
2 Ваншейдт В.А. Судовые двигатели внутреннего сгорания. - Л.:
Судостроение, 1977. - 392 с.
3 Волошин В.П., Охрана морской среды: Учебное пособие - Л.:
Судостроение, 1987. - 208 с.
4 Завиша В.В., Декин Б.Г. Судовые вспомогательные механизмы и
системы. - М: Транспорт, 1984. - 360 с.
5 Иванов Б.Н. Охрана труда на морском транспорте - М.: Транспорт,
1989. -287 с.
6 Котелко В.Ю., Эксплуатационные режимы СЭУ: Учебное пособие -
Одесса: ОГМА, 1992. - 76 с.
7 Международная Конвенция СОЛАС - 74, консолидированный текст Ж:
ИМО. - С-Петербург: ЦНИИМФ, 1993. - 760 с.
8 Писклов В.Т. Исследование режимов работы судовых рулевых машин в
условиях морского волнения: Афтограф. - дис. конд. техн. наук. - Одесса:
ОВИМУ, 1980. - 24 с.
9 Позолотин А.А., Торский В.Г. МАРПОЛ: Практическое пособие /
Ассоциация морских капитанов Одессы; Российский морской Регистр судоходства. -
Одесса: ИКЦ ОГМА, 1999 - 259 с.
10 Позолотин Л.А., Торский В.Г. МКУБ в вопросах и ответах /
Ассоциация морских капитанов Одессы; Российский морской Регистр судоходства. -
Одесса: ИКЦ ОГМА, 1997. - 45 с.
Позолотин Л.А., Торский В.Г. Конвенция ПДМНВ 78/95 (STCW code 95): обзор основных
изменений / Ассоциация морских капитанов Одессы; - Одесса: ИКЦ ОГМА, 1998. - 37
с.
12 Правила классификации и постройки морских судов: Морской Регистр
судоходства. - С-Петербург, Транспорт,: 1995. - 560 с.
13 ПТБ на судах морского флота. - М.: «Мортехинформреклама», 1985. -
91 с.
14 Самсонов В.И., Худов М.И. Двигатели внутреннего сгорания морских
судов. - М.: Транспорт, 1990. - 367 с.
15 Харин В.М. и др. Судовые вспомогательные механизмы и системы. -
М.: Транспорт, 1992. - 319 с.
16 Харин В.М. Судовые машины судов промыслового флота. - М.: Легкая и
пищевая промышленность, 1982. - 184 с.