|
Характеристика
|
Значение
|
|
Видимое
увеличение
|
Гтс
= - 6х
|
|
Угловое поле
|
2ω =6°
|
|
Диаметр
выходного зрачка
|
D' = 4 мм
|
|
Длина
оптической системы
|
L=140 мм
|
зрительная труба кеплер оптический
Введение
Основой любого оптического прибора является оптическая
система, которая представляет собой совокупность оптических деталей (линз,
призм, зеркал) [2].
Оптические приборы в значительной степени определяют
научно-технический прогресс во всех областях нашей деятельности. Их используют
для исследования природных ресурсов, в экологии, медицине и генной инженерии, в
металлургии, в машино- и приборостроении, кинематографии, телевидение и связи,
космонавтике и астрономии, ядерной энергетики и в других отраслях [3].
Цель данного курсового проекта - спроектировать простейшую
зрительную трубу Кеплера по ее заданным основным параметрам.
При анализе исходных данных, нами было установлено, что эта
система будет создавать перевернутое изображение, так как ее видимое увеличение
отрицательное; применять прибор, основанный на этой системе следует в условиях
слабого освещения, так как выходной зрачок системы соизмерим с диаметром зрачка
глаза в аналогичных условия освещенности.
1.
Теоретическая часть
Все визуальные системы разделяют на четыре основных вида:
. Телескопические
2. Микроскопические
. Проекционные
. Объективы
Особое внимание уделяют телескопическим оптическим системам,
которые служат для наблюдения удаленных объектов. Главное свойство
телескопических систем заключается в том, что пучок на входе и выходе из
телескопической системы сохраняет свою параллельность.
Принцип действия телескопической системы вытекает из двух
требований к ней [ // // ]:
. Диаметр входного зрачка телескопической системы всегда мал
по сравнению с расстоянием до наблюдаемого предмета, следовательно, мал и
передний апертурный угол. В этом случае вполне допустимо считать, что
апертурный угол в пространстве предметов равен нулю и во входной зрачок от
каждой точки предмета поступают параллельные пучки лучей.
. Телескопическая система настраивается и отслеживается
непосредственно при помощи глаза наблюдателя, а значит система визуальная.
Поэтому, для того чтобы глаз наблюдателя не утомлялся и работал без
аккомодаций, создаваемое телескопической системой изображение предмета должно
находится в бесконечности. Следовательно, пучки лучей в пространстве изображений
должны быть параллельными, а апертурный угол в пространстве изображений равен
нулю.
Основными оптическими характеристиками телескопической системы
являются видимое увеличение 
, диаметр входного зрачка D`, угловое поле 2ω. К дополнительным характеристикам относят
разрешающую способность, длину системы по оптической оси и положение выходного
зрачка. Телескопическая система, как минимум, должна состоять из двух
компонентов, первый из которых, обращенный к рассматриваемым объектам,
называется объективом, а второй, обращенный к глазу наблюдателя, - окуляром.
Объектив - часть оптической системы, обращенный в пространство
предметов и образующий действительное изображение. Требуемое качество изображения
определяется разрешающей способностью объектива, состоянием абберационной
корректности и рядом других факторов, обеспечивающих выбор марки стекол и
подбором радиуса кривизны его линз. Чем выше требуемое качество изображения,
тем ниже относительное поле объектива.
Окуляр - часть оптической системы, обращенный к глазу наблюдателя
и образующий действительное изображение. Большинство окуляров - положительны,
т.е. собирают проходящие через них пучки лучей света. Оптические свойства
окуляра характеризуются: фокусным расстоянием f' и угловым оптическим
увеличением Г' - отношением тангенса угла, под которым видно мнимое изображение
в окуляр, к тангенсу угла, под которым глаз без окуляра видел бы на экране или
фотослое промежуточное изображение.
В телескопической системе выделяют три основные схемы хода лучей,
используемых в современных оптических приборах.
Схема Кеплера
В схеме Кеплера объективом и окуляром является положительная
оптическая система (Рис. 1). Объектив создает перевернутое действительное промежуточное
изображение, которое рассматривается с помощью окуляра. Для этого задняя
фокальная плоскость объектива совмещена с передней фокальной плоскостью
окуляра, что обеспечивает параллельность хода оптических лучей на входе и
выходе в оптический прибор.
Рис. 1 Ход лучей в системе Кеплера
Одним из недостатков схемы Кеплера является большая длина
оптической системы:
причем, чем больше увеличение, тем длиннее должна быть система Кеплера.
Еще одним существенным недостатком системы Кеплера является формирование
перевернутого изображения предметов, что представляет серьезное неудобство при
наблюдении не осесимметричных объектов. Решение проблемы возможно обеспечить
путем использования специальных оптических оборачивающих насадок, однако это
приводит к общему конструктивному усложнению системы и, кроме того,
способствует увеличению ее габаритных показателей. Простота конструкции,
наличие промежуточного действительного изображения, где можно установить
визирную сетку для измерения линейных размеров удаленных предметов - являются
главными достоинствами телескопических приборов на основе оптической системы
Кеплера. На практике получение прямого изображения удаленных предметов возможно
с использованием телескопических систем собранных по оптической схеме Галилея.
Аналогично системе Кеплера роль объектива в ней выполняет
положительная система линз, а окуляр выполнен в виде отрицательной оптики.
Такая компоновка системы обеспечивает получение мнимого промежуточного
изображения наблюдаемого предмета, и, как следствие, формирование итогового
прямого изображения предмета.

Главными достоинствами схемы Галилея является меньшая длина
оптической системы по сравнению со схемой Кеплера, а также получение прямого
итогового изображения предмета без использования специальных оборачивающих
оптических насадок. При такой организации общая длина системы вычисляется не
как сумма, а как разность (по модулю) фокусных расстояний объектива и окуляра:
Однако для схемы присущи свои собственные недостатки. Во-первых,
система Галилея имеет малое поле зрения, причем, чем больше увеличение
телескопа, тем меньше поле зрения. Во-вторых, наиболее критичным является
отсутствие промежуточного действительного изображения предмета, что не
позволяет проводить в дальнейшем оценку линейных размеров удаленных предметов с
использованием визирных сеток.
Схема Кассегрена
За счет увеличения светосилы и разрешающей способности
телескопической системы, в отличии от схемы Галилея, наибольшее распространение
получила двух-зеркальная схема Кассегрена. После отражения на главном зеркале
пучок лучей попадает на вспомогательное зеркало, которое направляет его обратно
- через отверстие в главном зеркале. Фокальная плоскость в этой системе
располагается за оправой главного зеркала.
Рис. 3. Ход лучей по схеме Кассегрена
Для того, чтобы обеспечить как можно большее увеличение при
стандартном размере выходного зрачка, необходимо применение объективов с
предельно большим диаметром. Увеличение диаметра входного зрачка позволяет
увеличить и светосилу, и разрешающую способность, что необходимо, скажем, для наблюдения
предметов с малой величиной интенсивности испускаемых световых пучков.
Технически изготовить зеркало большого диаметра легче, чем линзу, так как
оптические неоднородности в толще стекла для зеркала не имеют значения, поэтому
применение зеркальных систем позволяет увеличить диаметр входного зрачка.
В любом оптическом приборе особое внимание уделяют вопросам
конструирования и проектирования его оптической системы, т.к. именно от этого
зависит направление и ход лучей, качество формируемого оптического сигнала, а,
в конечном итоге, точность проводимых измерений.
2.
Конструкторская часть
Проектирование оптической системы начинается с выбора и
обоснования принципиальности схемы, в том числе с обоснования исходных данных,
для выполнения последующего расчета. Расчет оптической системы может быть
разбит на два основных этапа. На первом этапе предполагают, что получаемая и
проектируемая оптическая система - идеальна, т.е. это такая система, которая
строит точечное изображение наблюдаемых предметов, сохраняя постоянство
масштаба в пределах всего поля изображения. При расчете оптической системы
следует стремиться к использованию готовых компонентов, освоенных в
пространстве, т.к. это значительно удешевляет прибор и ускоряет его
изготовление. На втором этапе проектирования выполняется расчет конструктивных
параметров системы и ее оптических компонентов - радиусов кривизны, толщины
линз, марок применяемых стекол и т.д. Этот этап получил название коррегирование
или исправление аберраций оптической системы. После расчета всей оптической
системы приступают к конструированию её отдельных компонентов. Конструирование
узла крепления любой оптической детали предполагает её обеспечение
(базирование), ориентирование с базовой механической основой обычно называемой
оправой детали.
При выборе типа крепления и разработке конструкции узла
необходимо обеспечить выполнение следующих общих требований:
• крепление должно быть надежным, т.е. во время работы прибора
положение линзы относительно оправы не должно изменяться;
• замыкающие усилия, необходимые для осуществления сопряжения
между линзой и оправой, не должны вызывать опасных деформаций и напряжений;
• базовая основа узла, ориентирующие и крепежные детали или их
элементы должны быть расположены вне габаритов светового пучка. Поверхности
этих элементов, находящиеся вблизи пучка, не должны быть причиной появления
рассеянного света и бликов в системе;
• крепления должны быть технологичны, как в отношении
изготовления деталей, так и в отношении сборки [6].
2.1
Габаритный расчет оптической системы
2.1.1 Выбор
типа окуляра.
Тип окуляра зависит от углового поля
в пространстве изображений, которое находится по формуле:

(1)
Согласно исходным данным (
), тогда
Согласно справочным данным [4], такая величина полевого угла
соответствует двум типам окуляров, окуляру Кельнера и симметричному окуляру.
Однако, в нашем случае предпочтительнее выбрать симметричный
окуляр, так как у него фокусное расстояние меньше, чем у окуляра Кельнера, что
обеспечит компактность прибора. Кроме того, симметричный окуляр технически
легче спроектировать и изготовить оправу, так как он состоит из двух склеенных
линз одинакового диаметра, а окуляр Кельнера из двух линз разного диаметра.
2.1.2
Уточнение фокусного расстояния окуляра
Выбрав окуляр, уточняем его фокусное расстояние. Его значение
выбирают из условия получения достаточного удаления выходного зрачка
Согласно справочным данным, для
симметричного окуляра [ // // // /]

(2)
По заданному значению длины телескопической системы определяем
, а затем f’ окуляра
Видимое увеличение телескопической системы определяется по
формуле:

(3)
Длина телескопической системы связана с фокусом объектива и
окуляра следующим соотношением:

(4)
Учитывая (2), (3), (4) получаем формулу для 
(5)
,
Из формулы (2) определяем фокусное расстояние окуляра
Для симметричного окуляра с 
=20 мм 
=14.9 мм, толщина по оптической оси 5.1 мм
2.1.3
Определение параметров объектива
Из соотношения (4) определяем фокусное расстояние объектива
,
Определяем значение входного зрачка по формуле
Определяем относительное отверстие объектива по формуле
Полученное относительное отверстие и угловое поле 2ω =6° обеспечивают два типа объективов - двухлинзовый склеенный и
несклеенный. Для обеспечения конструктивной простоты и технологичности
изготовления прибора выбор делаем в пользу двухлинзового склеенного объектива.
2.1.4
Определение положения входного зрачка
Находим расстояние от переднего фокуса объектива до входного
зрачка Zp. В системе Кеплера входной зрачок совпадает с оправой
объектива
2.1.5
Уточняем положение выходного зрачка 
где 
- отрезок, определяющий положение выходного зрачка от заднего
фокуса окуляра
Подставив полученное значение в формулу (7), получим
.1.6
Определение световых диаметров оптических элементов
Рис. 4. Ход лучей в проектируемой трубе Кеплера
Для определения светового диаметра окуляра рассчитаем ход
апертурного луча, падающего на край входного зрачка. Ход лучей в зрительной
трубе Кеплера (схема для расчета) представлен на Рис. 2.
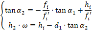
Используя систему углов и высот (9), рассчитаем ход трех
лучей: апертурного, и двух наклонных (полевых), идущих из точки предмета по
краю поля и падающих на верхний и нижний края входного зрачка:
(9)
Световые диаметры объектива и окуляра находят по максимальным
значениям hi иD.

(10)
Полные диаметры компонентов должны быть на 1 - 3 мм больше (в
зависимости от диаметра) рассчитанных световых диаметров, так как необходимо
дать припуск на крепление линз в оправах. Общий вид выбранного симметричного
окуляра представлен на Рис. 3., его параметры - в таблице 1
Рис. Общий вид окуляра
Таблица 1. Параметры окуляра
|
Параметры
|
Числовые
значения
|
|
Фокусное
расстояние, (мм) 20
|
20 (18)
|
|
Толщина линзы
по краю, (мм)
|
1,4
|
|
Толщина линзы
по оси, (мм)
|
2,2
|
|
Расстояние
между линзами, (мм)
|
0.3
|
Из рисунка 2 видно, что максимальную высоту на окуляре задает
нижний полевой луч, поэтому будем рассчитывать ход только этого луча.
Рассчитаем световой и полный диаметры окуляра, учитывая
припуск на крепление 2 мм.

=18 мм,
Световой диаметр объектива равен диаметру входного зрачка
Обеспечиваем припуск на крепление 2 мм и тогда полный диаметр
объектива 
.
Общий вид выбранного двухлинзового объектива представлен на Рис.
4, его параметры представлены в таблице 2
Таблица 2. Параметры объектива
|
Параметры
|
Числовые
значения
|
|
Относительное
отверстие,  1: 5
|
|
|
Фокусное
расстояние,  (мм) 120
|
|
|
Диаметр
(световой диаметр),Dоб, Dсв об (мм)
|
26 (24)
|
|
Толщина линзы
по краю, (мм)
|
1,6
|
|
Толщина линзы
по оси, (мм)
|
6.3
|
Рис 5. Общий вид объектива
2.1.7
Определение диаметра полевой диафрагмы
Для ограничения размеров поля, в области пересечения
переднего фокуса окуляра и заднего фокуса объектива, предусмотрим в конструкции
прибора использование полевой диафрагмы. Ее диаметр определим согласно
следующей формулы:

(11)
Итогом габаритного расчета является оптическая схема зрительной
трубы Кеплера, представленная на Рис. 5.
Рис. 6. Оптическая схема зрительной трубы Кеплера
2.2 Выбор
крепления объектива
При разработке оправы необходимо учитывать следующие
требования [5]:. Крепление должно быть надежным (при использовании
прибора оптическая деталь не должна смещаться в оправе)
II. Замыкающее усилие, необходимое для осуществления
сопряжения между деталями и оправой, не должно вызывать деформации и
напряжений.. Базовая основа узла, ориентирующие и крепежные детали
должны быть расположены вне габаритов светового пучка (эти вспомогательные
поверхности не должны служить причиной появления вредно рассеянного света и
бликов системы). Крепления должны быть технологичны не только в отношении
изготовления, но и сборки прибора.
Существуют следующие способы крепления: крепление
завальцовкой (закаткой), крепление резьбовым (зажимным) кольцом, крепление
пружинящими планками,
проволочным ("разрезным") кольцом и крепление
приклеиванием. Первые два вида крепления используются наиболее широко, так как
они являются универсальными для большого числа типоразмеров.
Крепление завальцовкой применяется для деталей диаметром до
80 мм (для склеенных до 50 мм). Оптический элемент удерживается в оправе ее
тонкой металлической кромкой, пластически деформируемой во время завальцовки.
Материал оправы в этом случае должен быть эластичным, латунь Л62 либо Сталь 20,
Сталь 30. Достоинства метода - простота. Недостаток - неразъемность соединения.
Крепление резьбовым (зажимным) кольцом заключается в том, что
оптическая деталь прижимается к опорному уступу оправы резьбовым кольцом,
кромка которого нажимает на деталь с противоположной стороны. Это крепление
разъемное, как и всякое соединение детали с использованием резьбы. Оправа
кольца может изготавливаться из следующих материалов: сталь А12, сталь А20,
Сталь 20, Сталь 30, сплавы АЛ2 и АЛ9.
Крепление пружинящими планками заключается в том, что в трех
небольших зонах ("точках"), расположенных под углом 120, на
оптическую деталь нажимают три одинаковые плоские пружины или три выступа или
три выступа одной пружины, обеспечивая силовое замыкание детали на базирующий
уступ оправы. Этот способ целесообразно применять для оптических деталей
большого диаметра (80 мм и более), так как при этом относительное увеличение
габаритов узла будет невелико. Однако некоторые варианты конструкций могут
использоваться в неответственных случаях и для деталей малого диаметра.
Прижимные планки изготавливают из сталей марок 65Г и У8А.
Способ крепления проволочным кольцом конструктивно прост и
технологичен, но используется только для крепления круглых оптических деталей в
менее ответственных случаях, когда не предъявляется высоких требований к
точности, надежности и герметичности соединения. К таким деталям относятся:
светофильтры, защитные стекла (не в оптической системе), рассеиватели,
осветительные зеркала.
Способ крепления приклеиванием в конструктивном отношении
является самым простым, так как он не требует других элементов крепления кроме
оправы и склеивающего вещества. Но этот вид крепления применяется с некоторыми
ограничениями. Крепление является неразъемным и жестким. При больших перепадах
температуры возможно расклеивание или недопустимые напряжения в стекле из - за
разницы коэффициента термического расширения в материалах. [4]
Для выбранного двухлинзового объектива выбираем способ
крепления завальцовкой, так как деталь является ответственной и имеет диаметр
26 мм, и это по всем техническим параметрам соответствует данному методу
крепления. (КП. ПО. 2002.02.02.04)
2.3 Выбор
крепления окуляра
Симметричный окуляр имеет два одинаковых компонента, каждый
из которых склеен из двух линз. По конструктивным особенностям окуляра
целесообразно применить метод крепления резьбовым кольцом, так как деталь
состоит из двух линз, поэтому необходимо обеспечить разъемность соединения в
случае технического обслуживания. (КП. ПО. 2002.02.02.05)
Крепление резьбовым кольцом применяется для линз диаметром от
10 мм. Для меньших размеров оно не технологично вследствие трудностей
изготовления внутренней резьбы. Для линз больших диаметров у этого способа
крепления практически ограничений нет. [5]
Так как в выбранном окуляре между линзами имеется расстояние
длиной 0.3 мм, то для выдерживания воздушного зазора поместим промежуточное
кольцо. (КП. ПО. 2002.02.02.09)
2.4 Расчет диапазона
перемещения окуляра для подстройки оптической системы
Одним из требований к оптическим приборам является их
уникальность. Поэтому мы делаем возможным осуществление подстройки нашего
прибора, с целью компенсации аметропии глаза наблюдателя. Подстройка будет
осуществляться путем перемещения окулярного колена в корпусе прибора вдоль
оптической оси. Перемещение окулярного колена будет осуществляться с помощью
фиксирующего винта (КП. ПО 2002.02.02.11), закрепленного в оправе окуляра.
Необходимое расстояние определим по следующей формуле из расчета недостатков
зрения на ±7 дптр [6]
где AD - аметропия глаза в диоптриях;

- расстояние од заднего фокуса окуляра до зрачка глаза
чему соответствует величина ±7 дптр.
Для исключения виньетирования при подстроке прибора, делаем
припуск в 1 мм на диаметры выходного зрачка и полевой диафрагмы
2.5 Выбор
крепления защитного стекла
Использование защитных стекол в оптических приборах позволяет
защитить систему от попадания пыли, грязи, атмосферной влаги и механических
повреждений [4].
В проектируемой ОС используется единственное защитное стекло,
установленное непосредственно в наглазнике прибора. Ввиду того, что защитное
стекло является неответственной деталью ОС, то его крепление обеспечим с
помощью приклеивания.
Для крепления стекла выбираем клей ОК - 72Ф, так как он
применяется для склеивания оптических деталей с различными покрытиями, а также
обеспечивает достаточную герметизацию [4].
2.6 Выбор
крепления полевой диафрагмы
В проектируемой системе используется круглая диафрагма со
световым диаметром 13 мм, для избежания виньетирования при подстройке
оптической системы, делаем припуск в 1 мм. (КП. ПО. 2002.02.02.07). Данная
деталь является неответственной, поэтому в качестве крепления предпочтительней
выбирать способ приклеивания. Для лучшей фиксации и базирования детали внутри
корпуса прибора на его внутренней поверхности специально предусматривается
проточной буртик.
Для крепления диафрагмы выбираем клей БФ - 4, так как он
применяется специально для крепления металлов, обеспечивает эластичность
соединения. [5]
2.7
Конструирование корпуса оптической системы
Корпуса предохраняют оптические системы от повреждений и
внешних воздействий. Конструкция закрытых корпусов должна быть удобной для
монтажа и регулировки механизмов, юстировки оптических систем, а также для
ремонта прибора. Форма и внешнее оформление корпусов должны соответствовать
требованиям технической эстетики [4].
В проектируемой оптической системе главным функциональным
назначением корпуса является обеспечение соосности и базирования оптических
элементов.
Размеры корпуса определяются габаритными размерами деталей,
устанавливаемых внутри него. Существуют цельноточеные, сварные и штампованные
корпусы.
Для проектируемой оптической системы подходит цельноточеный
корпус. (КП ПО 2002.02.02.03) с одной стороны которого нарезана внутренняя
метрическая резьба для крепления оправы объектива, с другой - внешняя
метрическая, для крепления наглазника (КП ПО 2002.02.02.06).
3.
Технологическая часть
3.1
Конструкционные материалы
Современный уровень техники предъявляет к оптико-механическим
приборам требования обеспечения надежной и долговечной работы в различных
условиях их эксплуатации. Поэтому применяемые для их изготовления
конструкционные материалы должны обладать комплексом разнообразных свойств,
физических и механических характеристик. Выбор материала только по абсолютному
значению показателей прочности не дает правильной оценки возможностей
материала. Для создания конструкции с минимальной массой большое значение имеет
плотность материалов. С учетом этого более правильно оценивать значение его
удельной прочности отношением характеристик прочности к плотности материала.
Оценивая реальную прочность конструкционного материала, следует учитывать
характеристики пластичности, а также вязкость материала, так как именно эти
показатели в основном определяют возможность хрупкого разрушения. Это относится
и к высокопрочным материалам, которые, обладая высокой прочностью, склонны к
хрупкому разрушению.
Надежность - свойство изделия выполнять заданные функции,
сохраняя свои эксплуатационные показатели в заданных пределах в течение
требуемого промежутка времени или требуемой наработки. Надежность конструкции -
это также ее способность работать вне расчетной ситуации, например, выдерживать
ударные нагрузки.
Главным показателем надежности является запас вязкости
материала, который зависит от состава, температуры (порог хладноломкости),
условий нагруженности, работы, поглощаемой при распространении трещины и т.д.
Сопротивление материала хрупкому разрушению является
важнейшей характеристикой, определяющей надежность работы конструкций.
Долговечность-свойство изделия сохранять работоспособность до
предельного состояния (невозможности его дальнейшей эксплуатации).
Долговечность конструкции зависит от условий ее работы.
Прежде всего, это сопротивление износу при трении и контактная прочность. Кроме
того, долговечность изделия зависит от предела выносливости, зависящего в свою
очередь от состояния поверхности и коррозионной стойкостью материала.
Для изготовления корпуса оптической системы, оправ объектива
и окуляра, диафрагмы будем использовать алюминиевый сплав АЛ - 9 ГОСТ 2685 -
75, так как он используется для деталей с высокой герметичностью, обладает
высокой коррозионной стойкостью и мягкостью, что положительно для крепления
оптических деталей. Применяя алюминиевые сплавы, получим конструкцию, которая
по весу будет значительно уступать конструкции из стали.
Для изготовления фиксирующего винта используем нержавеющую
Сталь 20Х13. Этот материал выбран нами, так как он исключает появление
коррозии, сохраняя эстетичность прибора.
Наглазник и защитный колпачок для нашей оптической системы
будем изготавливать из пластмассы (фенопласт 03-010-02 ГОСТ 5689-79),
применяемой для изготовления как неответственных так и декоративных деталей.
Выбранный материал обладает комплексом ценных свойств: пластичность, прочность,
термическая и химическая стойкость, пластические массы являются хорошими
конструкционными материалами.
Покрытия могут быть однослойными и многослойными [4]. В
оптико-механических приборах в зависимости от назначения применяются следующие
виды покрытий: для защиты изделий от коррозии; защитно-декоративные;
специальные для повышения электропроводности, износостойкости, снижения
коэффициента трения и др.
При выборе покрытий необходимо учитывать условия эксплуатации
изделий, материал детали и защитные свойства покрытий.
В проектируемой оптической системе защитное покрытие
необходимо в первую очередь для исключения появления бликов и рассеянного света
внутри трубы, что в свою очередь может привести к засветки изображения. Поэтому
необходимо использовать лакокрасочные покрытия. Выбор лакокрасочного покрытия
определяется требованиями, предъявляемыми к внешнему виду, условиями
эксплуатации, свойствами лакокрасочных материалов и допустимым режимом сушки.
Для окраски деталей оптико-механических приборов можно применять лакокрасочные
материалы, используемые в машиностроении, автомобилестроении и других отраслях
промышленности. Многие из этих материалов имеют существенные недостатки и не
обеспечивают высокого качества окраски: плохой розлив, ограниченную и мало
пригодную цветовую гамму, темные, тусклые тона.
В качестве защитного покрытия внутренней части корпуса и резьбовых
колец мы будем использовать глубокое анодное химическое оксидирование ГОСТ
9.031-74. По сравнению с гальваническими и металлическими покрытиями оно имеет
ряд преимуществ. Для оксидирования применяют 20% -ный раствор серной кислоты,
рабочую температуру от 263
до 267
К и анодную плотность тока 2,5 А/дм2 при начальном напряжении
20-25 В и конечном до 40 В. Рекомендуется непрерывное перемешивание
электролита. Оксидная пленка имеет глубину 20-30 мкм.
3.3
Герметизация
Оптический прибор, должен быть защищен от попадания во
внутренние полости пыли и влаги, а также от запотевания при низких температурах
или при резких колебаниях температуры окружающего воздуха.
Герметичность обеспечивается следующими мероприятиями [4]:
. Места соединений наружных деталей как механических, так и
оптических с механическими должны быть уплотнены эластичными непересыхающими
прокладками или уплотненными замазками. Уплотнительные замазки должны быть
пластичными; они должны быть нейтральными и химически устойчивыми, не
размягчаться сильно и не вытекать из соединений при температурах до +40 - 60С;
кроме того, они должны не высыхать и сохранять эти свойство в течение
достаточно долгого времени, легко смываться растворителями или сниматься
механическим путем. В качестве уплотнительных прокладок применяются вакуумная
или мягкая резина, фторопласт, полихлорвинил.
. В корпусах и других наружных деталях не рекомендуется
делать сквозные крепежные отверстия.
Особенно важно тщательно уплотнять места разъемов и
соединения наружных деталей с корпусом. Число разъемов должно быть минимальным.
При креплении оправы объектива, оправы окуляра наносим
нарезьбынезасыхающий герметик 51-Г-3 ТУ 38-405138-73. По группе твердости он
относится к мягким. Данный герметик предназначен специально для герметизации
разъемных соединений.
3.4
Технические требования к оптическому прибору
3.4.1 Общие
положения
Конструкция прибора должна удовлетворять
техническому заданию на его разработку, отвечать требованиям метрологического
обеспечения, эргономики, технической эстетики и безопасности труда. Конструкция
прибора должна быть технологичной и отвечать требованиям ГОСТ 14.201-73, ГОСТ
14.202-73 и отраслевым стандартам [4].
.4.2 Требования по стандартизации и
унификацииВ техническом задании должна быть предусмотрена взаимная унификация
приборов, а также сокращение номенклатуры составных частей, комплектующих
изделий, средств обслуживания и ремонта, материалов и сырья. Для обеспечения
выполнения этих качественных нами предусмотрено:
) унифицирование составных частей
разрабатываемых приборов и изделий, с которыми они должны совместно работать в
соответствии с техническим заданием;
) выбор и применение комплектующих
элементов в соответствии с требованиями соответствующих стандартов;
) исключение выполнения требований по
стандартизации и унификации за счет снижения качества и технического уровня
приборов.
3.4.2
Требования к консервации и упаковке
Консервация и упаковка должны обеспечивать
сохранность прибора при его транспортировании и в условиях длительного
хранения. Требования к средствам и методам консервации должны соответствовать
указанным в отраслевых стандартах [5].
В нашей оптической системе одной из
функций корпуса является предохранение деталей узлов от внешних воздействий.
Кроме того для защиты оптических деталей на выходном зрачке предусмотрено
защитное стекло. Со стороны входного зрачка на корпус системы устанавливается
колпачок (КП ПО 2002.02.02.10), предохраняющий прибор при эксплуатации и
хранении.
3.4.3 Требования
к составным частям приборов
Крепежные детали разъемных соединений
следует предохранять от самоотвинчивания. Применяемые резьбы, их номинальные
размеры, допуски и посадки должны соответствовать государственным стандартам.
На трущихся поверхностях механических
деталей не допускаются пленки, раковины, трещины, задиры и другие подобные
дефекты материала. Острые углы и кромки должны быть закруглены и притуплены
фасками. Поверхности деталей, которые могут дать рассеянный свет и блики,
должны иметь черные матовые покрытия. Штрихи, надписи и оцифровка шкал должны
быть четкими и сохраняться в течение срока службы прибора.
Движение подвижных частей прибора в нашем
случае осуществляется без скачков и заеданий. Это обеспечивается тем, что все
трущиеся части смазаны смазкой. Все зазоры и места неподвижных соединений,
через которые могут проникнуть внутрь прибора пыль и влага, уплотнены
прокладками или промазаны уплотнительными замазками.
При проектировании данной оптической
системы были специально установлены жесткие значения допусков на соосность
элементов и перпендикулярность; допуски на внешний диаметр оправы окуляра и
внутренний диаметр корпуса для обеспечения плавного хода и легкой подстройки
оптической системы.
.4.4
Требования к устойчивости приборов к внешним воздействиям при эксплуатации
Конструкция прибора должна обеспечивать
достаточную прочность и устойчивость под воздействием механических факторов,
встречающихся в процессе эксплуатации. При механических воздействия не должно
быть повреждений прибора нарушения регулировки рабочих механизмов,
разъюстировки оптической системы, загрязнения оптики, смещения установок на
шкалах. Указанные требования в нашей оптической системе достигаются благодаря
тому, что материал корпуса обладает достаточной прочностью, а его толщина
составляет 2 мм. Все элементы системы жестко закреплены в корпусе, что
исключает разъюстировку системы. [4]
4. Указания к
эксплуатации прибора
Разработанный прибор предназначен для эксплуатации в
лабораторных условиях. Для большей эффективности прибор рекомендуется
использовать при слабом освещении. Не рекомендуется применять прибор в качестве
афокальной насадки к ОКГ, так как это может привести к разрушению некоторых
оптических элементов системы.
Хранить телескоп рекомендуется в чистом сухом месте, беречь
от резких перепадов температуры и влажности. Не рекомендуется хранить прибор на
открытом воздухе. При хранении следует закрывать трубу специально
предусмотренным колпачком.
При каждодневном использовании прибора рекомендуется раз в
три месяца производить его визуальный осмотр, при необходимости производить
чистку линз с помощью мягкой ткани и спиртового раствора. Также рекомендуется
производить его разборку и смазку трущихся поверхностей и резьбы деталей.
При длительном хранении раз в полгода рекомендуется
производить визуальный осмотр прибора и удалять с него осевшую пыль мягкой
тканью.
Заключение
В ходе данного курсового проекта нами была разработана
простейшая зрительная труба Кеплера, в состав которой входит двухлинзовый
склеенный объектив и симметричный окуляр.
Разработанный нами прибор может быть использован в
лабораторных условиях для наблюдения осесимметричных предметов.
Достоинствами разработанного прибора являются простота
конструкции, универсальность, малые масса и габариты. Наиболее важным
преимуществом нашего прибора является возможность его подстройки с целью
компенсации недостатков зрения глаза наблюдателя, путем перемещения окулярного
колена.
Параметры разработанного прибора представлены в таблице
|
Параметр
|
Числовое
значение
|
|
Видимое
увеличение
|
Гтс =
- 6×
|
|
Угловое поле°
|
2ω =6°
|
|
Диаметр
выходного зрачка, мм
|
D' = 4
|
|
Длина
оптической системы, мм
|
L=140
|
|
Масса прибора,
г
|
300
|
Список
использованной литературы
1.
Бегунов, Б.Н. Геометрическая оптика / Б. Н Бегунов. - М., 1966.
.
Гвоздева, Н.П. Теория оптических систем и оптические измерения / Гвоздева Н.П.
- М., "Машиностроение" 1981.
.
Заказнов, Н.П. Теория оптических систем / Н. П Заказнов. - М.,
"Машиностроение" 1992.
.
Панов, В.А. Справочник конструктора оптико - механических приборов / В.А.
Панов. - Ленинград., "Машиностроение" 1980.
.
Толстоба, Н.Д. Проектирование узлов оптических приборов / Н. Д Толстоба. -
СПб., 2002.
.
Шехонин, А.А. Прикладная оптика. Часть II / А. А Шехонин. - СПб., 2003.