Технология оформления заказа на стальные двери
Введение
управляющий персонал заказ
информационный
В каждой быстро развивающейся компании по
продаже того или иного товара с ростом объёмов продаж и количества заказов
встаёт острый вопрос оптимизации скорости, качества оформления и выполнения
заказа клиента.
Требования управляющего персонала такой компании
к информационной системе подобны требованиям руководства любого предприятия:
ü иметь быстрый доступ к актуальной и
полной информации своего учреждения;
ü располагать отчётной информацией за
любой выбранный промежуток времени или по выбранному критерию;
ü качественно изменить уровень
обслуживания клиентов и повысить эффективность их работы.
Целью курсового проекта является получение
практических навыков по структуризации ИС и формированию технологических процессов
обработки информации в системе.
В качестве темы курсового проекта была выбрана
следующая экономическая задача: "Технология оформления заказа на стальные
двери". Эта задача рассматривается в компании, занимающийся продажей
дверей, где на оформление и выполнение заказа необходимо тратить минимальное
время, при обеспечении определенного уровня достоверности. Поэтому в курсовом
проекте необходимо рассмотреть технологию учета движения дверей, и выяснить
каким образом можно автоматизировать данную задачу, чтобы позволить работникам
использовать минимум времени на эту работу.
1. Организационно-техническая
сущность задачи
1.1 Класс задачи
Прогнозирование сбыта продукции с учетом
требований покупателя.
Нормирование количества продукции на складах.
Планирование действий компании в рамках
конкретного рынка.
Учет отпуска продукта.
Анализ рынка сбыта.
1.2 Назначение
задачи
Технология оформление заказа стальных дверей
необходима для уменьшения трудоёмкости процесса продажи дверей.
1.3 Цель задачи
Основная цель - повышение качества и скорости
оформления и выполнения заказа, что напрямую отражается на росте прибыли и
объёмов продаж компании.
1.4 Перечень
рабочих мест (подразделений) участвующих в решении задачи
В решении задачи непосредственно принимают участие
следующие работники предприятия:
Директор;
Отдел продаж;
Отдел поставок;
Склад;
Бухгалтерия.
В решении задачи помимо работников предприятия
принимают участия заказчик (клиент) и поставщик.
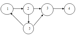
1.5 Ориентированный
граф взаимосвязи рабочих мест (подразделений) участвующих в решении задачи
Рис.1. Сетевая модель
Таблица 1
|
Номер
события
|
Наименование
подразделения (рабочего места).
|
Характеристика
подразделения (рабочего места)
|
|
1
|
Директор
|
Управляющее
звено. Отвечает за работу всей компании. Получает отчёты об объёмах продаж из
отдела продаж и о средствах, поступающих в счёт оплаты заказов на расчетный
счет компании.
|
|
2
|
Отдел
продаж
|
Принимает
заказ от клиента, предоставляет помощь в подборе дверей и составлении
договора купли продажи, далее отправляет информацию о необходимом для
поставки товаре в отдел поставок. Отчитывается о проделанной работе перед
директором (отчёт об объёмах продаж).
|
|
3
|
Отдел
поставок
|
Занимается
обработкой заказов: проверка наличия товара на складе и заказ необходимых
товаров у поставщиков в случае их отсутствия на складе.
|
|
4
|
Склад
|
Контроль
получения грузов от поставщиков и отгрузки товара со склада клиенту.
Составление и отправка отчётов о получении и отправки товаров.
|
|
5
|
Бухгалтерия
|
Финансовое
звено, отвечает за контроль средств на счетах компании. Контроль поступления
средств на расчетный счет и оплаты заказов у поставщиков.
|
Таблица 2
|
Номер
исходного события
|
Номер
конечного события
|
Наименование
информационного потока
|
Характеристика
информационного потока
|
|
1
|
2
|
Указания
о приоритетных для продажи товарах, информация об утверждённых скидках и
акциях.
|
Достоверность
данных составляет 95%
|
|
2
|
3
|
Получение
и обработка заказа, от клиента. Составление договора купли \ продажи.
|
Достоверность
данных составляет 95%
|
|
2
|
5
|
Получение
данных о заказе и его сумму для выставление счёта заказчику.
|
Достоверность
данных составляет 95%
|
|
5
|
3
|
Подтверждение
оплаты заказа клиентом.
|
Достоверность
данных составляет 100%
|
|
3
|
4
|
Передача
документов об отгрузке товара
|
Достоверность
данных составляет 95%
|
|
5
|
1
|
Отчёт
о получении денежных средств от клиента и оплате заказа у поставшика.
|
Достоверность
данных составляет 90%
|
1.6
Распределение функций между рабочими местами (подразделениями)
Таблица 3
|
Номер
по порядку
|
Наименование
подразделения (рабочего места).
|
Функция
|
Характеристика
функции
|
|
1
|
Директор
|
Руководство
|
Осуществить
руководство над отделом продаж и финансовым отделом, контроль продаж,
определение приоритетных групп товаров
|
|
2
|
Отдел
продаж
|
Оформление
заказа
|
Оформление
заказа и контроль на всех стадиях его выполнения
|
|
3
|
Отдел
поставок
|
Контроль
наличия товара
|
Осуществить
контроль над проверкой наличия товара и заказом товара у поставщика в случае
отсутствия товара
|
|
4
|
Склад
|
Хранение,
учет, быстрый доступ
|
Учёт
прихода расхода товара на складе
|
|
5
|
Бухгалтерия
|
Финансовый
контроль
|
Учёт
движения средств на расчетном счету компании и выполнение платежей
|
В данной задаче все функции взаимосвязаны между
собой, если функция не выполняется в одном отделе, то на вход следующего отдела
ничего не поступает, и соответственно, функции в этом отделе также не
выполняются. Поэтому, получается, что выполнение данной задачи подразумевает
взаимосвязанную и слаженную работу всех отделов.
1.7 Связи
рассматриваемой задачи со смежными задачами
Автоматизация одной задачи может не дать
требуемого эффекта, так как существует множество взаимосвязанных задач, которые
распределены во времени и задержка результатов одной задачи может привести к
принятию неправильного решения. Поэтому необходимо провести анализ взаимосвязи
рассматриваемой задачи со смежными задачами. Взаимосвязь задач представлена в
таблице 4.
Таблица 4
|
Номер
по порядку
|
Наименование
смежной задачи
|
Объём
данных потребляемый / продуцируемый задачей
|
|
1.
|
Расчёт
авансовых закупок товара на основе данных о продажах за истекший период
|
2
документа.
|
|
2.
|
Утверждение
руководством предстоящих закупок.
|
1
документ.
|
.8 Параметрическое
описание задачи
При рассмотрении технологии обработки информации
по задаче основными параметрами являются:
. Периодичность - задача осуществляется
по мере поступления заказов и их выполнения. Каждый клиент индивидуален и
требует к себе определенный подход.
. Количество рабочих мест, на которых
решается рассматриваемая задача - непосредственно задача решается в 5 отделах.
В процессе принимают участие 15 человек. Кроме этого участие принимает также
заказчик и поставщик товаров.
. Ограничение времени решения задачи -
оговаривается в процессе заключения договора с заказчиком.
4. Требуемая достоверность результатов
решения. Необходимо добиться максимально достоверности результатов на каждом из
этапов для исключения ошибок и соответственно финансовых и материальных потерь
компании и влияния на её "авторитет" на рынке. Данный результат может
быть положительным только в случае 100% выполнения своих обязанностей каждым из
отделов.
2. Информационная
модель задачи
2.1 Укрупнённая информационная модель задачи
Для представления конструкции задачи построим
укрупненную информационную модель, которая отражает входные и выходные
информационные потоки (Рис.2).
Рис.2 Укрупнённая информационная модель задачи
При построении информационной модели оперативные
потоки отражают все потоки о свершенных хозяйственных операциях по данной
задаче. Оперативными потоками в данной задаче являются документы, определяющие
движение денежных средств и товаров в компании.
Условно-постоянная информация представлена
номенклатурой товаров компании, где содержатся наименования поставляемых
товаров их характеристики и цены.
Накопленная информация представлена договором
купли-продажи с заказчиком.
Хранимая информация не отражается в данной
модели.
На выходе задачи указываются все выходные
потоки, формируемые в процессе обработки информации по задаче, такие как, отчет
о продаже товара, отчет о поступлении и снятии средств с расчетного счета
компании, документ принятии товара клиентом.
После построения информационной модели
представим спецификацию информационных потоков в следующей таблице (таблица
2.1).
.2 Спецификация информационных потоков
Таблица 2.1
|
Наименование
потока
|
Источник
данных
|
Носитель
данных
|
Единица
времени (среднее значение)
|
Объём
данных (среднее значение)
|
|
Договор
купли \ продажи с заказчиком
|
Отдел
продаж
|
Бумажный
|
1док/час
|
9док/день.
|
|
Счёт
оплаты заказа
|
Бухгалтерия
|
Электронный
|
1док/час
|
9док/день.
|
|
Счёт
оплаты поставки
|
Бухгалтерия
|
Электронный
|
1док/день
|
22док/мес.
|
|
Договор
о поставке товара от поставщика на склад компании-заказчика
|
Логистика
|
Бумажный
|
1док/день
|
22док/мес.
|
|
Документ
об отгрузке товара со склада
|
Склад
|
Бумажный
|
1док/час
|
9док/день.
|
|
Документ
о принятии товара клиентов
|
Склад
|
Бумажный
|
1док/час
|
9док/день.
|
|
Номенклатурный
справочник товаров
|
Директор
|
Электронный
|
1док/полгода
|
4док.год
|
|
Чек
об оплате товара
|
Бухгалтерия
|
Бумажный
|
1док/час
|
9док/день.
|
|
Отчёт
о продажах за период
|
Отдел
продаж
|
Электронный,
Бумажный
|
1док/день
|
22док/мес.
|
|
Финансовый
отчет бухгалтерии
|
Бухгалтерия
|
Бумажный,
электронный
|
1док/день
|
22док/мес.
|
|
Отчет
о товарах на складе
|
Склад
|
Электронный,
Бумажный
|
1док/час.
|
9док/день.
|
Источник данных отражает рабочее место
(подразделение) в котором формируется информационный поток.
В качестве носителей информации рассматривается
тип самого носителя (бумажный, электронный).
Единица времени характеризует периодичность
передачи данных от источника данных на место обработки. При рассмотрении данной
задачи видно, что большинство документов имеют периодичность передачи данных от
источника на место обработки ежечасную, это зависит от специфики предметной
области, т.к. заказы поступают постоянно в течение всего рабочего дня.
3. Технология
хранения информации
.1 Пользователи
и уровни их полномочий
В данном разделе рассмотрим представление
структур хранимых данных и технологию ведения условно-постоянной информации.
В данной задаче к условно-постоянной информации,
используемой для решения задачи можно отнести следующие документы:
ü Номенклатурный справочник дверей;
ü Заказы;
ü Сотрудники отдела продаж;
ü Правила перевозки и хранения дверей.
Все условно-постоянные данные хранятся в БД и
используются множеством пользователей. Процедура установления полномочий
применяется для ограничения выполняемых действий пользователей с данным
информационным пространством. Типовая технология установления полномочий
пользователей - матрица полномочий, которая может быть представлена в следующем
виде (таблица 3.1).
Таблица 3.1
|
Пользователи (подразделения
или рабочие места)
|
Отношения
|
|
Номенклатурный
справочник дверей
|
Заказы
|
Сотрудники
отдела продаж
|
Правила
перевозки и хранения дверей
|
|
Директор
|
1,1
|
1,1
|
1,1
|
1,1
|
|
Отдел
продаж
|
1,0
|
1,1
|
1,0
|
1,0
|
|
Отдал
поставок
|
1,1
|
1,1
|
1,0
|
1,1
|
|
Бухгалтерия
|
1,0
|
1,1
|
1,0
|
1,0
|
|
Склад
|
1,0
|
1,0
|
1,0
|
1,0
|
В клетках таблицы на пересечении пользователей и
отношений указывается два значения: первое значение отражает возможность чтения
данным пользователем записей указанного отношения, второе значение отражает
возможность изменения пользователем записей рассматриваемого отношения. Как
видно из таблицы, подразделение или рабочее место имеет право пользоваться
только теми данными, которые необходимы для работы этого подразделения и не имеет
права доступа к другим. Рассмотрим подробно
технологию ведения одного из отношений условно-постоянной информации:
· Возьмем отношение
"Номенклатурный справочник дверей".
· Владельцем данного отношения будет
рабочее место Директор.
· Продолжительность жизненного цикла
введенных данных составляет 10 лет.
· Источники изменений данного
отношения - 2 рабочих места ( Директор и Отдел поставок )
· Периодичность изменения данного
отношения - ввод новой модели дверей и описание её свойств, в среднем занимает
20 минут.
Для данного отношения можно выделить следующий
маршрутный технологический процесс:
· МТП ведения справочника дверей.
Критерий для МТП: повышение
конкурентоспособности компании, за счет расширения номенклатуры товаров более
новыми и современными моделями дверей. Рассмотрим
перечень операционных технологических процессов по обработке изменений
источника. Для данного отношения можно выделить следующие ОТП:
· ОТП ввода новой модели двери в
справочник;
· ОТП проверки правильности ввода и
изменений.
3.3 Технологический процесс введения одного из
отношений условно-постоянной информации
Выберем один из операционных технологических
процессов:
· ОТП ввода новой модели двери в
справочник.
Критерий выбора операций: введение полной и
достоверной информации о новой модели двери. Разработаем технологический
процесс на эту операцию, представив его в виде следующей таблицы (таблица 3.2):
Технологический процесс на операцию ввода новой
модели двери
Таблица 3.2.
|
Операция
|
Ввод
новой модели двери в справочник
|
|
Предмет
труда
|
"Номенклатурный
справочник товаров"
|
|
Оборудование
|
Система
1С Предприятие
|
|
№
п/п
|
Действие
|
Инструмент
|
Приспособление
|
Примечание
|
|
1
|
Открыть
справочник
|
Поле
с названием документа
|
Мышь.
|
Двойной
щелчок мыши по полю с названием
|
|
2
|
Ввод
кода новой модели
|
Поле
|
Мышь,
клавиатура.
|
|
|
3
|
Ввод
названия новой модели
|
Поле
|
Мышь,
клавиатура.
|
|
|
4
|
Ввод
производителя
|
Поле
|
Мышь,
клавиатура.
|
|
|
5
|
Ввод
описания
|
Поле
memo
|
Мышь,
клавиатура.
|
|
|
6
|
Ввод
размеров
|
Поле
memo
|
Мышь,
клавиатура.
|
|
|
7
|
Ввод
материала
|
Поле
memo
|
Мышь,
клавиатура.
|
|
|
8
|
Ввод
стоимости
|
Поле
|
Мышь,
клавиатура.
|
|
|
9
|
Проверить
правильность заполнения данных
|
Сотрудник
|
Мышь,
клавиатура.
|
Визуальная
проверка правильности введенных данных.
|
|
10
|
Записать
данные в "Номенклатурный справочник товаров"
|
Кнопка
"Записать".
|
Мышь,
клавиатура.
|
|
|
11
|
Закрыть
справочник
|
Кнопка
"Закрыть".
|
Мышь.
|
|
4. Технология обработки информации по задаче
.1 Перечень маршрутных и операционных
технологических процессов обработки информации по задаче
Маршрутный технологический процесс - это
перечень подразделений (рабочих мест), по которым проходит предмет труда в
процессе обработки и который определяет номенклатуру предмета труда.
Операционный технологический процесс - это
технологический процесс, который выполняется на отдельном рабочем месте с использованием
одного вида оборудования над отдельным предметом труда, либо группой разных
предметов труда, совпадающих по свойствам.
На основе информационной модели задачи, которая
была построена во 2 части, приведем перечень маршрутных и операционных технологических
процессов.
Маршрутные технологические процессы:
1. МТП заявки на покупку дверей;
2. МТП договора купли \ продажи дверей;
. МТП счета к оплате товара;
. МТП счета к оплате товара у поставщика;
. МТП ведения справочника моделей дверей;
. МТП отчёта о продажах;
. МТП отчёта о движении средств;
. МТП отчёта о товарах на складе;
10. МТП отчёта о доставке товара клиенту;
Операционные технологические процессы:
. ОТП ввода заявки на покупку дверей
(клиент);
2. ОТП заключения договора купли \ продажи
дверей (отдел продаж)
. ОТП выставления счета к оплате товара
клиенту;
. ОТП выставления счета к оплате товара у
поставщика;
. ОТП ввода заявки на формирование
заказа;
. ОТП заполнения специализированной формы
для заказа товара у поставщика;
. ОТП ввода новой модели в номенклатурный
справочник дверей;
. ОТП проверки правильности ввода и
изменений;
9. ОТП сбора документов для составления отчёта о
продажах;
10. ОТП составления сводной ведомости для отчёта
о продажах;
. ОТП формирования отчёта о продажах;
. ОТП проверки расчетного счета компании для
составления отчёта о движении средств;
. ОТП формирования отчёта о движении средств;
. ОТП сбора документов для отчёта о товарах на
складе;
. ОТП формирования отчёта о товарах на складе;
Наличие маршрутных технологических процессов
позволяет рассмотреть декомпозицию процесса по рабочим местам (подразделениям),
локализовать функции, выполняемые на рабочих местах (в подразделениях),
определить правильность распределения функций и создать модель для анализа
пропускной способности рассматриваемого процесса.
При составлении ОТП выделяли:
· Операции обработки, которые
позволили придать предмету труда необходимые свойства, требуемые системой
управления.
· Операции синтеза, которые
предусматривают формирование интегрированного информационного потока на основе
множества входных потоков данных.
4.2 Проектирование технологии обработки
информации по задаче
Выберем для анализа два информационных потока:
. Заявка на формирование заказа - входной
поток.
. Отчёта о товарах на складе - выходной
поток.
Анализ предмета труда
Анализ предмета труда (Заявка на формирование
заказа - входной документ). Опишем
предмет труда качественными и количественными характеристиками:
Таблица 4.1. Значения свойств входного документа
|
№
п/п
|
Параметр
|
Значение
|
|
1
|
Периодичность
|
Ежедневно
|
|
2
|
Формат
бланка
|
А4
|
|
3
|
Позиционирование
бланка
|
Книжная
|
|
4
|
Вид
документа
|
Разовый
|
|
5
|
Область
действия
|
Внутренний
|
|
6
|
Степень
срочности
|
Обычный
|
|
7
|
Степень
секретности
|
Рядовой
|
|
8
|
Количество
экземпляров
|
2
|
|
9
|
Количество
страниц
|
1
|
|
10
|
Количество
заполняемых сторон
|
Односторонний
|
|
11
|
Форма
построения
|
Комбинированная
|
|
12
|
Функция
управления
|
Планирование
|
|
13
|
Способ
заполнения
|
Автоматизированное
|
|
14
|
Используемые
шрифты
|
Типовые
|
|
15
|
Длительность
жизненного цикла
|
3
года
|
|
16
|
Степень
формализации
|
0,60
|
|
17
|
Количество
строк
|
23
|
|
18
|
Количество
столбцов
|
5
|
|
19
|
Размер
полей
|
Верхнее
- 2 см; нижнее - 2 см; правое - 2 см; левое - 3 см.
|
|
20
|
Трудоемкость
заполнения
|
1
человек/10 минут
|
|
21
|
Достоверность
документа
|
Высокая
|
|
22
|
Тип
документа
|
Унифицированный
|
Представим предмет труда в виде дерева, где
корневая вершина отражает сам предмет труда, а вершины остальных уровней
отражают сложные или простые свойства предмета труда. В данном случае предметом
труда является документ "Заявка на формирование заказа". Каждый
документ состоит из набора реквизитов. На рис.4.1. представлен структура
документа "Заявка на формирование заказа" (где СК - символьная
константа СП - символьная переменная). А в таблице 4.2. представлены свойства
реквизитов входного документа.
Рис. 4.1 Структура документа "Заявка на
формирование заказа"
Свойства реквизитов входного документа
Таблица 4.2.
|
№
п/п
|
Наименование
реквизита
|
Свойства
|
Действия
над реквизитом
|
|
1
|
Символьная
константа "Директор"
|
Координаты
размещения Значение Длина Шрифт Зона размещения
|
Верхний
левый угол "Директор" 8 Рукописный Утверждения/согласования
|
|
2
|
Подпись
|
Координаты
размещения Зона размещения Длина Шрифт
|
Верхний
левый угол Утверждения/согласования 8 Рукописный
|
|
3
|
Дата
|
Координаты
размещения Зона размещения Длина Шрифт
|
Верхний
левый угол Утверждения/согласования 10 Рукописный
|
|
4
|
Символьная
константа "Должность" (руководителя)
|
Координаты
размещения Значение Длина Шрифт Зона размещения Размер Выравнивание Формат
|
Верхний
правый угол "Должность" 9 См. табл.4.3. Реквизиты общие на док-т 10
По центру Текстовый
|
|
5
|
Символьная
константа "Наименование отделения"
|
Координаты
размещения Значение Длина Шрифт Зона размещения Размер Выравнивание Формат
|
Верхний
правый угол "Наименование отделения" 19 См. табл.4.3. Реквизиты
общие на док-т 10 По центру Текстовый
|
|
6
|
Символьная
константа "ФИО" (руководителя)
|
Координаты
размещения Значение Длина Шрифт Зона размещения Размер Выравнивание Формат
|
Верхний
правый угол "ФИО" 3 См. табл.4.3. Реквизиты общие на док-т 10 По
центру Текстовый
|
|
7
|
Символьная
константа "Должность" (заявителя)
|
Координаты
размещения Значение Длина Шрифт Зона размещения Выравнивание Формат
|
Верхний
правый угол "Должность" 9 См. табл.4.3. Реквизиты общие на док-т По
центру Текстовый
|
|
8
|
Символьная
константа "ФИО" (заявителя)
|
Координаты
размещения Значение Длина Шрифт Зона размещения Выравнивание Формат
|
Верхний
правый угол "ФИО" 3 См. табл.4.3. Реквизиты общие на док-т По
центру Текстовый
|
|
9
|
Должность
(руководителя)
|
Координаты
размещения Длина Шрифт Зона размещения Формат Значение по умолчанию Классы
возможных ошибок
|
Верхний
правый угол 25 См. табл.4.3. Реквизиты общие на док-т Текстовый Зав.
отделением Синтаксические
|
|
10
|
Наименование
отделения
|
Координаты
размещения Длина Шрифт Зона размещения Формат Значение по умолчанию Классы
возможных ошибок
|
Верхний
правый угол 25 См. табл.4.3. Реквизиты общие на док-т Текстовый Хирургическое
отделение Синтаксические
|
|
11
|
ФИО
(руководителя)
|
Координаты
размещения Длина Шрифт Зона размещения Формат Классы возможных ошибок
|
Верхний
правый угол 20 См. табл.4.3. Реквизиты общие на док-т Текстовый
Синтаксические
|
|
12
|
Должность
(заявителя)
|
Координаты
размещения Длина Шрифт Зона размещения Формат Классы возможных ошибок
|
Верхний
правый угол 15 См. табл.4.3. Реквизиты общие на док-т Текстовый
Синтаксические
|
|
13
|
ФИО
(заявителя)
|
Координаты
размещения Длина Шрифт Зона размещения Формат Классы возможных ошибок
|
Верхний
правый угол 25 См. табл.4.3. Реквизиты общие на док-т Текстовый
Синтаксические
|
|
14
|
Символьная
константа "ЗАЯВКА"
|
Координаты
размещения Значение Длина Выравнивание Шрифт Зона размещения Формат
|
Чуть
выше центра документа "ЗАЯВКА" 6 По центру См. табл.4.3.
Заголовочная Текстовый
|
|
15
|
Символьная
константа "Прошу зарезервировать под заказ следующие модели стальных
дверей:"
|
Координаты
размещения Значение Длина Шрифт Зона размещения Формат
|
Под
заголовком "Прошу зарезервировать под заказ следующие модели
дверей" 51 См. табл.4.3. Предметная Текстовый
|
|
16
|
Символьная
константа "№ п/п"
|
Координаты
размещения Значение Длина Шрифт Зона размещения Формат
|
Слева
от центра "№ п/п" 28 См. табл.4.3. Предметная Числовой
|
|
17
|
Символьная
константа "Код модели"
|
Координаты
размещения Значение Длина Шрифт Зона размещения Формат
|
За
СК "№ п/п" "Код модели" 12 См. табл.4.3. Предметная
Числовой
|
|
18
|
Символьная
константа "Наименование"
|
Координаты
размещения Значение Длина Шрифт Зона размещения Формат
|
За
СК "Код модели" "Наименование модели" 21 См. табл.4.3.
Предметная Текстовый
|
|
19
|
Символьная
константа "Производитель"
|
Координаты
размещения Значение Длина Шрифт Зона размещения Формат
|
За
СК "Наименование модели" "Производитель" 13 См. табл.4.3.
Предметная Текстовый
|
|
20
|
Символьная
константа "Размеры"
|
Координаты
размещения Значение Длина Шрифт Зона размещения Формат
|
За
СК "Производитель" "Размеры" 7 См. табл.4.3. Предметная
Текстовый
|
|
21
|
Символьная
константа "Количество"
|
Координаты
размещения Значение Длина Шрифт Зона размещения Формат
|
За
СК "Размеры" "Количество" 10 См. табл.4.3. Предметная
Числовой
|
|
22
|
№
п/п
|
Координаты
размещения Ограничение на значение Длина Шрифт Зона размещения Формат
Алгоритм генерации
|
Под
СК "№ п/п" 30 2 См. табл.4.3. Предметная Числовой С номера 1 по
порядку
|
|
23
|
Код
двери
|
Координаты
размещения Длина Шрифт Зона размещения Формат
|
Под
СК "№ п/п" 6 См. табл.4.3. Предметная Числовой
|
|
24
|
Наименование
двери
|
Координаты
размещения Длина Шрифт Зона размещения Формат Алгоритм формирования
|
Под
СК "Код модели" 40 См. табл.4.3. Предметная Текстовый Формируется
при выборе кода бассейна
|
|
25
|
Производитель
|
Координаты
размещения Длина Шрифт Зона размещения Формат
|
Под
СК "Наименование модели" 30 См. табл.4.3. Предметная Текстовый
|
|
26
|
Размеры
|
Координаты
размещения Длина Шрифт Зона размещения Формат Алгоритм формирования
|
Под
СК "Производитель" 20 См. табл.4.3. Предметная Текстовый
Формируется при выборе кода бассейна
|
|
27
|
Количество
|
Координаты
размещения Длина Шрифт Зона размещения Формат Классы возможных ошибок
|
Под
СК "Размеры" 4 См. табл.4.3. Предметная Числовой Синтаксические
|
|
28
|
Символьная
константа "Подпись"
|
Координаты
размещения Значение Длина Шрифт Зона размещения Формат
|
Нижний
правый угол "Подпись" 7 См. табл.4.3. Предметная Текстовый
|
|
29
|
Символьная
константа "Дата"
|
Координаты
размещения Значение Длина Шрифт Зона размещения Формат
|
Нижний
правый угол "Дата" 10 См. табл.4.3. Предметная Текстовый
|
|
30
|
Подпись
|
Координаты
размещения Зона размещения Длина Шрифт
|
Нижний
правый угол Юридическая 8 Рукописный
|
|
31
|
Дата
|
Координаты
размещения Зона размещения Длина Шрифт
|
Нижний
правый угол Юридическая 10 Рукописный
|
Параметры шрифта
Таблица 4.3.
|
1
|
Шрифт
|
Times
New Roman
|
|
2
|
Начертание
|
Обычный
|
|
3
|
Размер
|
14
|
|
4
|
Цвет
текста
|
Черный
|
|
5
|
Подчеркивание
|
Нет
|
|
6
|
Выравнивание
|
По
левому краю
|
|
7
|
Отступ
|
Нет
|
|
8
|
Междустрочный
интервал
|
Одинарный
|
Анализ предмета труда (Отчёт о товарах на складе
- выходной документ)
Опишем предмет труда качественными и
количественными характеристиками:
Таблица 4.4. Значения свойств выходного
документа
|
№
п/п
|
Параметр
|
Значение
|
|
1
|
Периодичность
|
Ежемесячно
|
|
2
|
Формат
бланка
|
А4
|
|
3
|
Позиционирование
бланка
|
Альбомное
|
|
4
|
Вид
документа
|
Накопительный
|
|
5
|
Область
действия
|
Внутренний
|
|
6
|
Степень
срочности
|
Обычный
|
|
7
|
Степень
секретности
|
Рядовой
|
|
8
|
Количество
экземпляров
|
2
|
|
9
|
Количество
страниц
|
3
|
|
10
|
Количество
заполняемых сторон
|
Односторонний
|
|
11
|
Форма
построения
|
Табличная
|
|
12
|
Функция
управления
|
Контроль
|
|
13
|
Способ
заполнения
|
Автоматизированное
|
|
14
|
Используемые
шрифты
|
Типовые
|
|
15
|
Длительность
жизненного цикла
|
3
года
|
|
16
|
Степень
формализации
|
0,70
|
|
17
|
Количество
строк
|
23
|
|
18
|
Количество
столбцов
|
8
|
|
19
|
Размер
полей
|
Верхнее
- 2 см; нижнее - 2 см; правое - 2 см; левое - 3 см.
|
|
20
|
Достоверность
документа
|
Высокая
|
|
21
|
Тип
документа
|
Унифицированный
|
Представим предмет труда в виде дерева, где
корневая вершина отражает сам предмет труда, а вершины остальных уровней
отражают сложные или простые свойства предмета труда. В данном случае предметом
труда является документ "Отчёт о товарах на складе". Каждый документ
состоит из набора реквизитов. На рис.4.2. представлена структура документа
"Отчёт о товарах на складе". А в таблице 4.5. представлены свойства
реквизитов выходного документа.
Рис. 4.2. Структура документа "Отчёт о
товарах на складе"
Свойства реквизитов выходного документа
Таблица 4.5.
|
№
п/п
|
Наименование
реквизита
|
Свойства
|
Действия
над реквизитом
|
|
1
|
Символьная
константа "Отчёт о товарах на складе"
|
Координаты
размещения Значение Длина Шрифт Зона размещения Формат Размер Выравнивание
|
Верх
по центру "Отчёт о товарах на складе" 25 См. табл.4.3. Заголовочная
Текстовый 18 По центру
|
|
2
|
Символьная
константа "за"
|
Координаты
размещения Значение Длина Шрифт Зона размещения Формат Размер Выравнивание
|
За
СК "Отчёт о товарах на складе" "за" 2 См. табл.4.3.
Заголовочная Текстовый 16 По центру
|
|
3
|
Символьная
константа "месяц"
|
Координаты
размещения Значение Длина Шрифт Зона размещения Формат Выравнивание
|
За
СК "за" "месяц" 5 См. табл.4.3. Заголовочная Текстовый По
центру
|
|
4
|
Наименование
отчетного месяца
|
Координаты
размещения Длина Шрифт Зона размещения Формат Алгоритм формирования
|
Над
СК "месяц" 8 См. табл.4.3. Заголовочная Текстовый Формируется
автоматически
|
|
5
|
Символьная
константа "Код модели"
|
Координаты
размещения Значение Длина Шрифт Зона размещения Формат
|
Слева
документа "Код модели" 12 См. табл.4.3. Предметная Числовой
|
|
6
|
Символьная
константа "Наименование модели"
|
Координаты
размещения Значение Длина Шрифт Зона размещения Формат
|
За
СК "Код модели" "Наименование модели" 21 См. табл.4.3.
Предметная Текстовый
|
|
7
|
Символьная
константа "Производитель"
|
Координаты
размещения Значение Длина Шрифт Зона размещения Формат
|
За
СК "Наименование модели" "Производитель" 13 См. табл.4.3.
Предметная Текстовый
|
|
8
|
Символьная
константа "Размер"
|
Координаты
размещения Значение Длина Шрифт Зона размещения Формат
|
За
СК "Производитель" "Размер" 6 См. табл.4.3. Предметная
Текстовый
|
|
9
|
Код
модели
|
Координаты
размещения Длина Шрифт Зона размещения Формат
|
Под
СК "Код модели" 6 См. табл.4.3. Предметная Числовой
|
|
10
|
Координаты
размещения Длина Шрифт Зона размещения Формат Алгоритм формирования
|
Под
СК "Наименование модели" 40 См. табл.4.3. Предметная Текстовый
Формируется при выборе кода бассейна
|
|
11
|
Производитель
|
Координаты
размещения Длина Шрифт Зона размещения Формат Алгоритм формирования
|
Под
СК "Производитель" 40 См. табл.4.3. Предметная Текстовый
Формируется при выборе кода бассейна
|
|
12
|
Размер
|
Координаты
размещения Длина Шрифт Зона размещения Формат
|
Под
СК "Размер" 20 См. табл.4.3. Предметная Текстовый
|
|
13
|
Символьная
константа "Приход"
|
Координаты
размещения Значение Длина Шрифт Зона размещения Формат
|
За
СК "Размер" "Приход" 6 См. табл.4.3. Предметная Числовой
|
|
14
|
Символьная
константа "Расход"
|
Координаты
размещения Значение Длина Шрифт Зона размещения Формат
|
За
СК "Приход" "Расход" 6 См. табл.4.3. Предметная Числовой
|
|
15
|
Символьная
константа "Остаток дверей"
|
Координаты
размещения Значение Длина Шрифт Зона размещения Формат
|
За
СК "Расход" "Остаток дверей" 16 См. табл.4.3. Предметная
Числовой
|
|
16
|
Приход
|
Координаты
размещения Длина Шрифт Зона размещения Формат Алгоритм формирования
|
Под
СК "Приход" 6 См. табл.4.3. Предметная Числовой
Приход(количественный) суммируется по каждой номенклатурной позиции по
приходным документам в течение отчетного периода.
|
|
17
|
Расход
|
Координаты
размещения Длина Шрифт Зона размещения Формат Алгоритм формирования
|
Под
СК "Расход" 6 См. табл.4.3. Предметная Числовой Расход
(количественный) суммируется по каждой номенклатурной позиции по расходным
документам в течение отчетного периода
|
|
18
|
Остаток
дверей
|
Координаты
размещения Длина Шрифт Зона размещения Формат Алгоритм формирования
|
Под
СК "Остаток дверей" 6 См. табл.4.3. Предметная Числовой Формируется
как разность между приходом и расходом.
|
|
19
|
Символьная
константа "Зав.Складом"
|
Координаты
размещения Длина Значение Шрифт Зона размещения Формат
|
Нижний
правый угол 11 "Зав.Складом" См. табл.4.3. Юридическая Текстовый
|
|
20
|
Символьная
константа "ФИО"
|
Координаты
размещения Длина Значение Шрифт Зона размещения Формат
|
Нижний
правый угол 3 "ФИО" См. табл.4.3. Юридическая Текстовый
|
|
21
|
ФИО
|
Координаты
размещения Длина Шрифт Зона размещения Формат Классы возможных ошибок
|
Над
СК "ФИО" 25 См. табл.4.3. Юридическая Текстовый Синтаксические
|
|
22
|
Символьная
константа "Подпись"
|
Координаты
размещения Длина Значение Шрифт Зона размещения Формат
|
Нижний
правый угол 7 "Подпись" См. табл.4.3. Юридическая Текстовый
|
|
23
|
Подпись
|
Координаты
размещения Зона размещения Длина Шрифт
|
Над
СК "Подпись" Юридическая 10 Рукописный
|
Входными потоками, необходимыми для формирования
рассматриваемого потока, будут следующие потоки:
Номенклатурный справочник бассейнов -
условно-постоянные данные, содержащие: код двери (КД), наименование двери (НД),
производитель двери (ПД), размер двери (РД);
Таблица остатков на складе - накопленные данные
за предшествующий период. Код двери (КД), наименование двери (НД), К
(количество).
Таблица приход на склад - оперативные данные,
отражающие приход дверей: Дата (Д), код двери (КД), наименование двери (НД), К (количество).
Таблица расход со склада- оперативные данные,
отражающие расход дверей: Дата (Д), код двери (КД), наименование двери (НД), К
(количество).
Выполняемая операция синтеза является локальной
- все действия выполняются на одном рабочем месте. Граф синтеза
рассматриваемого потока данных представлен на рисунке 4.3.
Маршрутные технологические процессы
Рассмотрим МТП заявки на формирование заказа.
На рис. 4.3. представлен МТП "заявки на
формирование заказа".
Рис. 4.4. МТП "Заявки на формирование
заказа"
На основе МТП (рис. 4.4.) можно сказать, что в
нём представлено как минимум 4 операции, реализуемые в отделах и на рабочих
местах. При этом, можно выделить три категории выполняемых операций: операции
обработки, операции контроля, операции синтеза.
При реализации операции обработки происходит
изменение свойств предмета труда. В данной задаче непосредственно обработка
данных осуществляется на рабочем месте менеджера продаж при обработке заявки на
двери.
Операции синтеза предусматривают формирование
интегрированного информационного потока на основе множества входных потоков
данных. Формирование интегрированного информационного потока в данной задаче
выполняется отделом продаж (анализ заказов и составление общей заявки на
поставку дверей), который передает этот информационный поток в отдел поставок с
целью дальнейшей обработки.
Операции контроля необходимы для проверки
правильности выполненных обрабатывающих и синтезирующих технологических
процессов с целью блокирования нерациональных затрат на обработку
некачественных данных. Контрольные операции в технологическом процессе ставятся
перед началом процесса, перед наиболее трудоемкими операциями (обработка
данных), после логически завершенного цикла операций (после формирования общей
заявки) и в конце процесса (при передаче документов директору).
Рассмотрим МТП отчёта о товарах на складе.
На рис. 4.5. представлен МТП "отчёта о
товарах на складе".
Рис. 4.5. МТП "отчёта о товарах на
складе".
На основе МТП (рис. 4.5.) можно сказать, что в
нем представлена как минимум 1 операция, реализуемая в отделах и на рабочих
местах. При этом можно выделить следующие категории выполняемых операций:
Операции синтеза предусматривают формирование
интегрированного информационного потока на основе множества входных потоков
данных. Формирование интегрированного информационного потока в данной задаче
выполняется на рабочем месте зав. складом, который передает этот информационный
поток директору с целью дальнейшей обработки.
Операции контроля необходимы для проверки
правильности выполненных обрабатывающих и синтезирующих технологических
процессов с целью блокирования нерациональных затрат на обработку
некачественных данных. Контрольные операции в технологическом процессе ставятся
перед наиболее трудоемкими операциями (обработка данных), после логически
завершенного цикла операций (после формирования общей заявки) и в конце
процесса (при передаче документов директору).
Операционные технологические процессы
ОТП "Заявка на формирование заказа"
Таблица 4.6.
|
Технологическая
карта № 1
|
12.12.2009
|
|
Операция
|
Ввода
заявки
|
|
Предмет
труда
|
Заявка
на формирование заказа
|
|
Оборудование
|
Обработчик
форм
|
|
№п/п
|
Действие
|
Инструмент,
приспособления
|
Примечание
|
|
1
|
Открыть
форму для ввода заявки
|
MS Access, мышь
|
|
|
2
|
Ввод
ФИО руководителя отделения
|
Поле
"ФИО" (руководителя), клавиатура, мышь
|
Автоматически
формируется должность
|
|
4
|
ФИО
менеджера, который составил заявку
|
Поле
"ФИО" (заявителя), клавиатура, мышь
|
Автоматически
формируется должность
|
|
4
|
Ввод
необходимых кодов дверей
|
Поле
"Код модели", клавиатура, мышь.
|
При
заполнении поля "Код модели", автоматически формируется поле
"Наименование модели", "Производитель".
|
|
5
|
Контроль
ввода
|
Контроль
достоверности
|
Контроль
семантических и прагматических ошибок происходит методом визуального
сличения. Контролируем поле "Наименование модели",
"Производитель", которые формируется автоматически.
|
|
6
|
Заполнение
поля "Размер"
|
Поле
"Размер", клавиатура, мышь.
|
|
|
7
|
Заполнение
поля "Количество"
|
Поле
"Количество", клавиатура, мышь.
|
|
|
8
|
Контроль
ввода
|
Контроль
формата
|
Синтаксические
ошибки контролируются программно на операции ввода (для каждого реквизита
заранее задан формат).
|
|
9
|
Сохранение
документа
|
Кнопка
"Сохранить", мышь.
|
|
|
10
|
Печать
заявки
|
Кнопка
"Печать", мышь.
|
|
ОТП "Отчёт о товарах на складе"
Таблица 4.7.
|
Технологическая
карта № 1
|
12.12.2009
|
|
Операция
|
Формирования
отчёта
|
|
Предмет
труда
|
Отчёт
о товарах на складе
|
|
Оборудование
|
1С
Предприятие
|
|
№п/п
|
Действие
|
Инструмент,
приспособления
|
Примечание
|
|
1
|
Открытие
товарного отчета
|
Кнопка,
мышь
|
При
нажатии Кнопки "Сформировать" происходят следующие действия (п2-п9)
|
|
2
|
Формирование
даты
|
Построитель
выражений
|
Текущий
месяц
|
|
3
|
Формируются
все коды дверей
|
Номенклатурный
справочник дверей
|
|
|
4
|
Формируются
названия дверей
|
Номенклатурный
справочник дверей
|
В
соответствии с кодами дверей формируются соответствующие названия
|
|
5
|
Формируются
производители
|
Номенклатурный
справочник дверей
|
Соответствие
кодам дверей
|
|
6
|
Формируются
размеры
|
Номенклатурный
справочник дверей
|
В
соответствии с кодами дверей формируются соответствующие размеры
|
|
7
|
Формируются
остатки дверей на начало периода
|
Таблица
остатков
|
Из
материального отчета прошлого периода
|
|
8
|
Формируется
приход дверей
|
Таблица
прихода
|
Из
бухгалтерского документа
|
|
9
|
Формируется
расход дверей
|
Таблица
расхода
|
Из
первичной документации, которая в течение отчетного периода заноситься в
программу
|
|
10
|
Формируются
итоги
|
Построитель
выражений
|
|
5. Технология контроля при обработке информации
по задаче
.1 Характеристика мест возникновения ошибок и
классификация возможных ошибок
Контроль является неотъемлемой частью
технологических процессов. Сам по себе контроль не изменяет предмет труда, но
обеспечивает проверку качества выполненной обработки и блокирует нерациональные
затраты на обработку недостоверных данных. Контроль
в технологических процессах может включаться:
· Перед обработкой с целью проверки
качества входных данных (проверить наличие модели двери в заявке, например,
если в заявке написано Дверь Stillness
Россия, а такой модели нет, значит в обработке данной записи нет необходимости,
т.к. имела место ошибка);
· Перед наиболее трудоёмкими
операциями (перед операцией отгрузки клиенту проверить наличие дверей на
складе);
· После выполнения логически
завершённой группы действий (проверить отгруженные двери в соответствии с
заявкой на доставку);
· После завершения всего цикла
обработки (проверить расходование дверей при составление отчета о товарах на
складе).
При рассмотрении возможных ошибок, будем
использовать основную классификацию, в соответствии с которой все ошибки можно
разделить на следующие категории:
. Синтаксические ошибки - это ошибки, которые
искажают структуру и форму представления данных. К основным ошибкам можно
отнести:
· Замена правильного символа
посторонним, не соответствующий формату реквизита;
· Пропуск символа;
· Добавление лишнего символа;
· Сдвиг по строкам или графам
документа.
. Семантические ошибки - это ошибки, которые
искажают смысл, содержание данных при сохранении ее структуры и соответствия
формальным синтаксическим правилам.
· Орфографические ошибки - это ошибки,
которые заключаются в искажении разрядов отдельного реквизита.
· Смысловые ошибки - это ошибки,
которые заключаются в искажении смысла предложения, определяемого записью.
· Блочные ошибки - это ошибки, которые
искажают блок записей. При этом каждая запись сама по себе может оставаться
правильной, но блок в целом оказывается дефектным.
. Прагматические ошибки - это ошибки, которые не
искажают информационных потоков, но значительно увеличивают трудоемкость
выполнения операций обработки за счет расширения информационного потока
данными, в процессе формирования управленческого решения.
В
соответствии с данной классификацией проанализируем потоки данных:
Таблица 5.1. Классификация ошибок по потоку
данных "Заявка на формирование заказа"
|
Наименование
класса ошибки
|
Место
возникновения
|
Что
искажает
|
Вероятность
возникновения
|
Количество
порождаемых ошибок
|
Примечание
|
|
Синтаксические
ошибки
|
Отдел
продаж (рабочее место менеджера, на котором происходит ввод заявки на
формирование заказа)
|
Могут
возникнуть в любом поле ввода, например, при вводе кода двери, при вводе
количества или размеров.
|
50
%
|
Ошибки
в заявке, повлекут за собой ошибки в заявке заказа у поставщика, отчете товаров
на складе.
|
Синтаксические
ошибки контролируются программно на операции ввода (для каждого реквизита
заранее задан формат).
|
|
Семантические
ошибки
(орфографические)
|
Отдел
продаж (рабочее место менеджера, на котором происходит ввод заявки на
формирование заказа
|
Могут
возникнуть в поле ввода: при вводе кода двери, при вводе количества или
размеров.
|
25%
|
Ошибки
в заявке, повлекут за собой ошибки в заявке заказа у поставщика, отчете
товаров на складе.
|
Семантические
ошибки (орфографичес-кие) контролируются путем визуальной проверки
|
|
Семантические
ошибки (смысловые)
|
Отдел
продаж (рабочее место менеджера, на котором происходит ввод заявки на
формирование заказа
|
Могут
возникнуть в любом поле ввода, например, при вводе кода двери.
|
5%
|
Ошибки
в заявке, повлекут за собой ошибки в заявке заказа у поставщика, отчете
товаров на складе.
|
Семантические
ошибки (смысловые) контролируются путем визуального сличения
|
|
Прагматические
ошибки
|
Отдел
продаж (рабочее место менеджера, на котором происходит ввод заявки на
формирование заказа
|
Могут
возникнуть в поле ввода, при вводе кода двери, например, которого нет на
складе.
|
25%
|
Ошибка
при обработке заказа отделом поставок
|
Будет
выявлена при попытке оформления документа отгрузки.
|
Таблица 5.2. Классификация ошибок по потоку
данных "Отчет о товарах на складе"
|
Наименование
класса ошибки
|
Место
возникновения
|
Что
искажает
|
Вероятность
возникновения
|
Кол
порождаем ошибок
|
Примечание
|
|
Синтаксические
ошибки
|
Рабочее
место Зав. складом
|
При
формировании выходного документа.
|
1%
|
Неправильная
интерпретация данных работником.
|
При
сбое в системе.
|
|
Семантические
ошибки
|
Рабочее
место Зав. складом
|
Несоответствие
ед. измерения, например указаны см, а формируются м.
|
5%
|
Неправильная
интерпретация данных работником.
|
|
|
Семантические
ошибки
|
Рабочее
место Зав. складом
|
При
формировании выходного документа.
|
10%
|
Данные,
подаваемые работнику не верны.
|
|
5.2 Выбор методов контроля по рассмотренным
информационным потокам
Рассмотрим выбор методов контроля по
рассматриваемым информационным потокам, в разрезе типов ошибок, которые мы
выявили:
. Синтаксические ошибки:
Для этого типа ошибок выберем метод проверки
соответствия каждого символа реквизита, установленному значению (в системе
предусмотрен контроль формата).
. Семантические ошибки:
Для этого типа ошибок, выберем методы,
основанные на естественной избыточности, метод контроля с двукратной
избыточностью. Метод проверки номенклатур, при вводе кода двери будем
осуществлять проверку со справочником моделей дверей. Метод проверки границ
будем использовать при вводе количества. Метод контрольного суммирования
(балансовый метод) при составлении отчёта о товарах на складе.
. Прагматические ошибки:
Выявление прагматических ошибок заложено в самой
системе, оно состоит в том, что система не запишет документ, если будет введено
количество которого, например, нет на складе.
.3 Технологические процессы на операции контроля
по рассмотренным информационным потокам
Рис. 5.1. МТП "заявки на формирование
заказа"
Рис. 4.2. МТП "отчёта о товарах на
складе"
Проанализировав МТП, получаем, что МТП не
поменяются, т.к. документ как проходил через определенные подразделения
отделения, так и будет проходить, а нового отдела или РМ, на котором будет
осуществляться контроль добавлять нет необходимости. Поэтому добавим контроль в
ОТП, рассмотрим более подробно их модификацию.
ОТП ввода заявки на формирование заказа.
Контроль синтаксических ошибок включен в систему, через заранее заданные
форматы для каждого реквизита. Для контроля орфографических ошибок избыточность
в значениях отдельных слов (реквизитов), для контроля смысловых ошибок -
избыточность предложения (записи) и для контроля блочных ошибок - избыточность
группы предложений (блока записей). Контроль будем осуществлять методами
естественной избыточности: методом проверки номенклатур и методом проверки
границ. Методом проверки номенклатур будем контролировать двери - со
справочником моделей дверей. Методом проверки границ будем проверять реквизиты
"Количество" и "Размер". И что касается прагматических
ошибок, то это заложено в самой системе, оно состоит в том, что система не
запишет документ, если будет введено количество дверей которого, например, нет
на складе. Контроль целесообразно проводить перед выполнением наиболее
трудоемкой операцией: перед вводом заявки целесообразно проверить наличие
модели дверей на складе. После выполнения операции проверить запись документа в
БД.
ОТП формирования материального отчета.
Синтаксические ошибки могут возникнуть с малой
вероятностью, т.к. документ выходной и он формируется на основе введенных
данных, т.е. проверка формата прошла уже на этапе ввода документов.
Контроль целесообразно устанавливать после
логически завершенной операции, т.е. после завершения формирования выходного документа,
перед передачей директору.
Заключение
В данном курсовом проекте была разобрана и
проанализирована задача оформления заказа на двери. Мы рассмотрели перечень и
функции рабочих мест, на которых решается поставленная задача, представили
параметрическое описание задачи, для представления ее объема, т.е. рассмотрели
организационно-экономическую сущность задачи. В ходе работы выяснили, какие
информационные потоки являются входными, а какие выходными. Разделили входные
потоки на оперативные, хранимые, накопленные, условно-постоянные и описали их.
Рассмотрели технологию ведения условно-постоянной информации.
В процессе изучения технологии обработки
информации по задаче, рассмотрели два вида технологических процессов -
маршрутные технологические процессы и операционные технологические процессы.
Рассмотрели МТП и ОТП по входному и выходному потоку. А также рассмотрели
технологию контроля информации по задаче, и в соответствии с полученными
данными модифицировали маршрутные и операционные технологические процессы.
Список источников
1. Жуков А.А. Конспект лекций по
курсу Информационные Технологии
2. Жуков А. А. Методические
указания к курсовому проекту по курсу "Информационные технологии"