Альтернативные источники энергии

  • Вид работы:
    Магистерская работа
  • Предмет:
    Физика
  • Язык:
    Русский
    ,
    Формат файла:
    MS Word
    1,62 Мб
  • Опубликовано:
    2012-10-07
Вы можете узнать стоимость помощи в написании студенческой работы.
Помощь в написании работы, которую точно примут!

Альтернативные источники энергии















ДИССЕРТАЦИОННАЯ РАБОТА

На тему: Альтернативные источники энергии

Содержание

Введение

Глава 1 «Физические основы преобразования солнечной энергии»

.1 Интенсивность солнечного излучения

.2 Фотоэлектрические свойства p-n перехода

1.3 Физические основы преобразования солнечного излучения в тепло

.4 Спектр солнечного излучения

.5 Физические основы фотоэлектрического преобразования

1.6 Вольт-амперная характеристика солнечного элемента

1.7 Материалы солнечных элементов

Глава 2. «Системы солнечного теплоснабжения».

2.1 Классификация и основные элементы гелиосистем

.2. Типы солнцеприемников активных систем отопления

.3. Конструкции солнечных коллекторов

Глава 3. «Тепловое аккумулирование энергии».

.1 Энергетический баланс теплового аккумулятора

.2 Классификация аккумуляторов тепла

.3. Системы аккумулирования

Глава 4 «Системы пассивного отопления»

.1 «Солнечный дом»

.2 Солнечные теплицы

.3 Другие применения солнечного тепла

.4 Солнечные опреснительные установки

Глава 5 «Биоэнергетика»

5.1 Понятие биоэнергии

5.2 Производство биомассы для энергетических целей

.3 Пиролиз (сухая перегонка)

.4 Химические процессы переработки

5.5 Производство и использование спиртовых топлив

5.6 Экологическая характеристика использования биоэнергетических установок

Глава 6 «Ветроэнергетика».

.1 Энергоресурсы ветра

.2 Оценка ресурсов ветра

6.3 Основы ветроэнергетики

6.4 Классификация ветроустановок

Глава 7 «Геотермальная энергия».

.1Тепловой режим земной коры

.2 Подземные термальные воды (гидротермы)

7.3 Запасы и распространение термальных вод

7.4 Прямое использование геотермальной энергии

.5 Использование геотермальной энергии для теплоснабжения жилых и производственных зданий

Глава 8. «Энергетические ресурсы океана».

.1 Баланс возобновляемой энергии океана

.2. Преобразования энергии волн

.Глава 9. «Гидроэнергетика»

.1 Состояние и развитие малой гидроэнергетики

.2 Классификация микро-ГЭС

Заключение

Список используемой литературы

Введение


Ресурсосбережение - это глобальная проблема человечества связывается, прежде всего, с ограниченностью важнейших органических и минерально-сырьевых ресурсов планеты. Учёные предупреждают о возможном исчерпании известных и доступных для использования запасов нефти и газа, а также об истощении других важнейших ресурсов: железной и медной руды, никеля, алюминия, хрома и т.д. Нефть и газ стали главными источниками энергии и вместе с тем важными сырьевыми ресурсами. Этими обстоятельствами объясняется всё возрастающая эксплуатация нефтяных и газовых месторождений[1].

Перед человечеством встал вопрос: надолго ли хватит ему необходимых природных ресурсов? Прошли те времена, когда казалось, что ресурсы Земли неисчерпаемы. Конечно, о полном исчерпании ресурсов говорить ещё рано, но это слабое утешение. Во всём мире сегодня идёт переход к менее продуктивным месторождением сырья или расположенными в труднодоступных районах со снежными природными условиями, что сильно удорожает добычу. Само деление природных ресурсов на неисчерпаемые и исчерпаемые становится всё более условным. Сейчас мы уже задумываемся о возможности исчерпания запасов атмосферного кислорода, а в перспективе такой же вопрос может возникнуть даже о ресурсах солнечной энергии, хотя пока ещё поток её кажется нам практически неисчерпаемым.

Исходя из сказанного, следует ожидать, по крайней мере, в ближайшее десятилетия, дальнейшего роста потребностей в самых разнообразных природных ресурсах. При оценке их запасов важно различать две большие группы ресурсов - невозобновимые и возобновимые. Первые практически не восполняются, и их количество неуклонно уменьшается по мере использования. Сюда относятся минеральные ресурсы, а также земельные ресурсы, ограниченные размерами площади земной поверхности. Возобновимые ресурсы либо способны к самовоспроизведению (биологические), либо непрерывно поступают к Земле извне (солнечная энергия), либо, находясь в непрерывном круговороте, могут использоваться повторно (вода). Разумеется, возобновимые ресурсы, как и невозобновимые, не бесконечны, но их возобновляемая часть может постоянно использоваться.

Если обратиться к главным типам мировых природных ресурсов, то в самом общем виде мы получаем следующую картину. Основным видом энергоресурсов пока ещё остаётся минеральное топливо - нефть, газ, уголь. Эти источники энергии невозобновимы, и при нынешних темпах роста их добычи они могут быть исчерпаны через 80 -140 лет. Правда, доля этих источников должна снижаться за счёт развития атомной энергетики, основанной на использовании «тяжёлого» ядерного топлива - расщепляющихся изотопов урана и тория. Но и эти ресурсы невозобновимы: по некоторым данным, урана хватит всего лишь на столетие[2].

Все виды природных ресурсов - тепловые, водные, минеральные, биологические, почвенные - связаны с определёнными компонентами природного комплекса (геосистемы) и составляют расходуемую часть этих компонентов. Возможность быть израсходованными - специфическое свойство природных ресурсов, отличающее их от природных условий. К последним относятся постоянно действующие свойства природных комплексов, не используемые для получения полезного продукта, но оказывающие существенное положительное или отрицательное влияние на развитие и размещение производства (например, температурный и водный режим, ветры, рельеф, несущая способность грунтов, многолетняя мерзлота, сейсмичность).

В современном мире возникает достаточно много проблем связанных с добычей сырьевых ресурсов. Как экономические, так и технические. Самая актуальная - это незнание реальных данных, о том сколько ресурсов осталось.

Возобновляемые ресурсы

Возобновимые ресурсы заслуживают особого внимания. Весь механизм их возобновления является, в сущности, проявлением функционирования геосистем за счёт поглощения лучистой энергии солнца. Возобновимые ресурсы следует рассматривать как ресурсы будущего: в отличии от невозобновимых, они при рациональном использовании не обречены на полное исчезновения, и их воспроизводство до известной степени поддаётся регулированию (например, с помощью мелиорации лесов можно увеличить их продуктивность и выход древесины). Надо заметить, что антропогенное вмешательство в биологический круговорот сильно подрывает естественный процесс возобновления биологических ресурсов.

Свободный кислород.

Он возобновляется в процессе фотосинтеза растений; в естественных условиях баланс кислорода поддерживается его расходом на процессы дыхания, гниения, образование карбонатов. Уже сейчас человечество использует около 10% (а по некоторым подсчётам - даже больше) приходной части кислородного баланса в атмосфере. Правда, практически убыль атмосферного кислорода пока не ощущается даже точными приборами. Но при условии ежегодного 5 - процентного роста потребления кислорода на промышленно - энергетические нужды его содержание в атмосфере уменьшится, на 2/3, то есть станет критическим для жизни людей через 180 лет, а при ежегодном росте на 10% --уже через 100 лет.

Ресурсы пресной воды.

Пресная вода на Земле ежегодно возобновляется в виде атмосферных осадков, объём которых равен 520 тыс. км3. Однако практически при водохозяйственных расчётах и прогнозах следует исходить лишь из той части осадков, которая стекает по земной поверхности, образуя водотоки. Это составит 37 - 38 тыс. км3. В настоящее время на хозяйственно - бытовые нужды отвлекается в мире 3,6 тыс. км3 стока, но фактически используется больше, так как сюда надо добавить ещё ту часть стока, которая расходуется на разбавление загрязнённых вод; в сумме это составит 8,2 тыс. км3, то есть более 1/5 мирового речного стока. Дополнительные резервы водных ресурсов - опреснение морской воды, использование айсбергов.

Биологические ресурсы.

Они складываются из растительной и животной массы, единовременный запас которой на Земле измеряется величиной порядка 2,4*1012 тонн (в пересчёте на сухое вещество). Ежегодный прирост биомассы в мире (то есть биологическая продуктивность) составляет примерно 2,3*1011 тонн. Основная часть запасов биомассы Земли (около 4/5) приходится на лесную растительность, которая даёт более 1/3 общего ежегодного прироста живой материи. Человеческая деятельность привела к значительному сокращению общей биомассы и биологической продуктивности Земли. Правда, заменив часть бывших лесных площадей пашнями и пастбищами, люди получили выигрыш в качественном составе биологической продукции и смогли обеспечить питанием, а также важным техническим сырьём (волокно, кожи и др.) растущее население Земли.

Из других биологических ресурсов важнейшее значение имеет древесина. Сейчас на эксплуатируемых лесных площадях, составляющих 1/3 всей лесной площади суши, ежегодная заготовка древесины (2,2 млрд. м3) приближается к годовому приросту. Между тем потребность в лесоматериалах будет расти. Дальнейшая эксплуатация лесов должна осуществляться лишь в рамках их возобновимой части, не затрагивая «основного капитала», то есть площадь лесов не должна уменьшаться, вырубка должна сопровождаться лесовосстановлением. Следует, кроме того, повышать продуктивность лесов путём мелиорации, более рационально использовать древесное сырьё и по мере возможностей заменять его другими материалами.

Территориальные ресурсы.

Наконец, несколько слов необходимо сказать о земельных, или, точнее, территориальных ресурсах. Площадь земной поверхности конечна и невозобновима. Почти все благоприятные для освоения земли уже, так или иначе, используются. Остались неосвоенными преимущественно площади, освоение которых требует больших затрат и технических средств (пустыни, болота, и др.) или практически непригодные для использования (ледники, высокогорья, полярные пустыни). Между тем с ростом населения и дальнейшим научно - техническим прогрессом потребуется всё больше площадей для строительства городов, электростанций, аэродромов, водохранилищ, растёт потребность в сельскохозяйственных угодьях, многие площади необходимо сохранить как заповедники и т.д. Всё больше земель «съедают» коммуникации и крупные инженерные сооружения.

Неисчерпаемые виды ресурсов.

К неисчерпаемым ресурсам относятся те, которые связаны с энергией Солнца и внутренних глубин Земли, силами гравитации (энергия солнечных лучей, ветра, приливов и отливов, климатические ресурсы), а также воды Мирового океана.

Такие виды энергетических ресурсов называют альтернативными источниками энергии.

В соответствии с резолюцией №33/148 Генеральной Ассамблеи ООН (1978г.) к альтернативным источникам энергии относятся: солнечная, ветровая, геотермальная, энергия морских волн, приливов и океана, энергия биомассы, гидроэнергия больших и малых водотоков[3].

Использование энергии приливов.

Под влиянием гравитации Луны и Солнца в океанах и морях возбуждаются приливы. Они проявляются в периодических колебаниях уровня воды и в её горизонтальном перемещении (приливные течения).

При расчётах энергетических ресурсов Мирового океана для их использования в конкретных целях, например для производства электроэнергии, вся энергия приливов оценивается в 1 млрд. кВт, тогда как суммарная энергия всех рек земного шара равна 850 млн. кВт. Колоссальные энергетические мощности океанов и морей представляют собой очень большую природную ценность для человека. Начато освоение энергии приливов, разработаны проекты использования энергии волн, прибоя и течений.

Использование энергии волн.

Ветер возбуждает волновое движение поверхности океанов и морей. Волны и береговой прибой обладают очень большим запасом энергии. Каждый метр гребня волны высотой 3 м несёт в себе 100 кВт энергии, а каждый километр- 1 млн. кВт. По оценкам исследователей США, общая мощность волн Мирового океана равна 90 млрд. кВт.

Пока удалось добиться определённых успехов в области применения энергии морских волн для производства электроэнергии, питающей установки малой мощности. Волноэнергетические установки используются для питания электроэнергией маяков, сигнальных морских огней, стационарных океанологических приборов, расположенных далеко от берега, и т.п. По сравнению с обычными электроаккумуляторами, батареями и другими источниками тока они дешевле, надёжнее и реже нуждаются в обслуживании. Волновой электрогенератор успешно эксплуатируется на плавучем маяке Мадрасского порта в Индии. Работы по созданию и усовершенствованию подобных энергетических приборов проводятся в различных странах.

Использование энергии солнечного излучения.

На протяжении миллиардов лет Солнце ежесекундно излучает огромную энергию. Около трети энергии солнечного излучения, попадающего на Землю, отражается ею и рассеивается в межпланетном пространстве. Остальная часть солнечной энергии идёт на нагревание земной атмосферы, океанов и суши.[4]

В настоящее время в народном хозяйстве достаточно часто используется солнечная энергия - гелиотехнические установки (различные типы солнечных теплиц, парников, опреснителей, водонагревателей, сушилок). Солнечные лучи, собранные в фокусе вогнутого зеркала, плавят металлы. Ведутся работы по созданию солнечных электростанций, по использованию солнечной энергии для отопления домов и т.д. Практическое применение находят полупроводниковые солнечные батареи, позволяющие непосредственно превращать солнечную энергию в электрическую.

Пути решения проблемы ресурсообеспеченности.

Выходом из этой ситуации может быть вторичное использование отходов, экономичное использование воды (опреснение морской воды, использование айсбергов), переход к более долговечным и лёгким материалам (углепластикам). Сторонники защиты окружающей среды призывают индустриальные страны совершить переход от одноразового использования с большим количеством отходов к хозяйству, производящему незначительное количество отходов. Это потребует привлечения экономических стимулов, определённых действий правительств и людей, а также изменений в поведении и образе жизни населения Земли[5].

Реалистичный путь решения проблем, связанных с исчерпаемостью земельных ресурсов, прежде всего предполагает перестройку существующего использования земель на научной основе, то есть рациональную организацию территории. Разумеется, рациональная организация территории предполагает и рекультивацию земель, нарушенных предшествующим хозяйственным использованием и интенсификацию сельского хозяйства, и продуманный подход к созданию водохранилищ и многое другое.

Глава 1 «Физические основы преобразования солнечной энергии»

 

.1 Интенсивность солнечного излучения


Источником энергии солнечного излучения служит термоядерная реакция на Солнце. Основная часть этой энергии испускается в виде электромагнитного излучения в диапазоне 0,2-3 мкм. При прохождении через атмосферу солнечный свет ослабляется, в основном из-за поглощения инфракрасного излучения парами воды, ультрафиолетового излучения - озоном и рассеяния излучения молекулами газов и находящимися в воздухе частицами пыли и аэрозолями. Параметром, отражающим влияние атмосферы на интенсивность и спектральный состав солнечного излучения, доходящего до земной поверхности, является атмосферная масса (АМ). При нулевой воздушной массе АМ 0 интенсивность излучения равна Ec=1360 Вт/м2. Величина АМ 1 соответствует прохождению солнечного излучения через безоблачную атмосферу до уровня моря при зенитальном расположении Солнца. Воздушная масса для любого уровня земной поверхности в любой момент дня определяется по формуле

,

где - атмосферное давление, Па.

- нормальное атмосферное давление (1,013·105 Па);

θ - угол высоты Солнца над горизонтом.

Наиболее характерной в земных условиях является величина АМ 1,5 (θ=42°). Она принята за стандартную при интегральной поверхностной плотности солнечного излучения Ec=835 Вт/м2, что необходимо при обеспечении сравнимости результатов исследований различных солнечных элементов и других устройств, использующих солнечную энергию.

.2 Преобразование солнечной энергии

Солнечное излучение универсально - кроме непосредственного использования в виде тепла (теплоснабжение, опреснение воды, сушилки и пр.), существует множество способов его использования. Энергию солнечного излучения можно преобразовывать в другие виды энергии, например в электрическую, аккумулировать с помощью растений и фотосинтеза, как это и происходит в природе.[6]

Таблица 1.1

Методы преобразования солнечной энергии

Применение солнечного излучения в виде тепла

Преобразование солнечного излучения в электрическую и механическую энергию

Гелиоустановки (солнечные коллекторы): Нагрев воды с целью теплоснабжения и горячего водоснабжения жилья Опреснение воды Различные сушилки и выпариватели Солнечные тепловые устройства с концентраторами: Солнечные печи, установки солнечного технологического нагрева, солнечные кухни

Термоэлектрические генераторы: Термоэлектронная эмиссия Термоэлементы (термопары) Фотоэлектрические генераторы: Фотоэлектронная эмиссия Полупроводниковые элементы Фотохимия и фотобиология: Фотолиз (фотодиссоциация) Фотосинтез


Несмотря на многочисленность способов преобразования солнечной энергии, широко используется только тепловое действие света и преобразование его в электрическую энергию с помощью фотоэлектрических генераторов.

.3Физические основы преобразования солнечного излучения в тепло

Общеизвестно, что на солнце предметы нагреваются. Солнечную энергию можно использовать либо непосредственно - для обогрева домов или приготовления пищи, либо косвенно - для генерирования электричества.

К.П.Д. преобразования солнечного излучения

Весьма важным является вопрос о максимально возможном К.П.Д. термодинамического преобразования энергии солнца в другие виды.

Известно, что максимально возможный К.П.Д. имеет термодинамический цикл Карно:

К.П.Д.= (Тнагр-Тхол)/Тнагр.

Температура охладителя в обычных условиях на Земле примерно соответствует средней температуре окружающей среды, то есть составляет величину примерно 300-350 К (23-73°С). Следовательно, рост температуры нагревателя ведет к росту К.П.Д преобразования энергии.

С другой стороны излучающая поверхность Солнца имеет температуру около 6000К. Это и будет максимально возможная температура нагревателя.

Тогда идеальный К.П.Д. преобразования солнечного излучения в условиях Земли в другие виды не может превышать (6000- 300) /6000=0,95.

Особо следует подчеркнуть, что любой способ преобразования, в том числе и фотоэлектрический не может иметь К.П.Д больше К.П.Д цикла Карно[7].

Возможность повышения равновесной температуры различных приемников солнечного излучения.

Плоские коллекторы.

Во многих устройствах для теплового преобразования используются так называемые коллекторы - приемники солнечного излучения (рис. 1.1.) Прозрачное покрытие ослабляет отвод тепла от коллектора за счет теплопроводности и конвекции.

Рис.1.1. Плоские солнечные коллекторы.

Если полностью устранить дополнительные потери тепла, то остаются только потери тепла за счет излечения от коллектора в окружающую среду. В том случае, когда поступление излучения от Солнца сравняется с растущим при нагреве тепловым излучением от коллектора, получится равновесие и, следовательно, равновесная температура.

Обозначим интенсивность солнечного излучения через Р, а поглощательную способность пластины для этого вида радиации через αс. Под действием солнечного излучения пластина нагревается до тех пор, пока не достигнет равновесной температуры Т. При такой температуре интенсивность падающего и испускаемого излучения равны, что позволяет записать равенство

αс Р = εσТ4

где ε - излучательная способность пластины при низких температурах.

Тогда равновесную температуру Т мы получим из уравнения

Очевидно, равновесная температура тем выше, чем больше отношение αс/ε. А согласно табл.1.2.[26], это отношение иногда, в частности для полированных металлов, достигает значений 2-3, но чаще оно много меньше. Однако полированные металлы вследствие их низкой поглощательной способности непригодны для изготовления коллекторов солнечного излучения. Для подобных целей обычно выбирают материалы с высокой поглощательной способностью, для которых отношение αс/ε близко к 1.

Такие материалы называются нейтральными поглотителями.

Полагая Р = 800 Вт/м2 (типичная интенсивность солнечного излучения в тропиках в летнее время), из уравнения мы находим значение равновесной температуры, равное 343 К (70° С). Эта величина действительно близка к реальной температуре черной пластины, установленной на длительное время под тропическим солнцем. К.П.Д теплового двигателя с таким поглотителем не более (343-300)/343 =0,125

Селективные поглотители. Обычно такой поглотитель представляет собой полированную металлическую поверхность, покрытую тонкой темного цвета пленкой окисей никеля или меди. Его поглощательная способность в коротковолновой области (там, где находится спектральный максимум излучения солнца) довольно высока, порядка 0,9. При очень тонком покрытии подобный поглотитель прозрачен для излучения с длиной волны, превышающей его толщину.

Таблица 1.2.

Радиационные характеристики веществ

Материал

Температура тела или источника излучения


20-100° С

5000° С


ρ

α

ε

ρ

α

Полированные металлы Оксидированные металлы Белое глянцевое покрытие Черное матовое покрытие Алюминиевое покрытие Бетон Черепичная крыша Стекло

0.9 0.2 0.1 0.05 0.5 0.1 0.1 0.1

0.1 0.8 0.9 0.95 0.5 0.9 0.9 0.9

0.1 0.8 0.9 0.95 0.5 0.9 0.9 0.9

0.7 0.8 0.8 0.1 0.8 0.4 0.2 0.1

0.3 0.2 0.2 0.9 0.2 0.6 0.8 0.0


Тогда его излучательная способность в длинноволновой части спектра (там, где находится спектральный максимум у черного тела при температуре коллектора) должна быть не выше, чем у блестящего металла, то есть около 0,1. В этом случае равновесная температура будет выше, чем у неселективного покрытия, так как баланс излучения/поглощения возможен только при более высокой температуре. Равновесная температура такого селективного поглотителя с величиной отношения αс/ε, близкой к 9, в рассмотренных ранее условиях должна повыситься до 427 К, или 1540С. К.П.Д теплового двигателя с таким поглотителем не более (454-300)/454 = 0,339.

Концентраторы солнца

Дальнейшего повышения равновесной температуры поглотителя можно добиться, если с помощью зеркал сконцентрировать на нем энергию солнечного излучения. На рис. 1.2. схематически показано одно из таких простейших устройств с плоскими зеркалами. Очевидно, что при использовании полностью отражающей зеркальной системы интенсивность облучения поглотителя увеличивается пропорционально отношению общей облучаемой поверхности зеркал к поверхности поглотителя.

Этот показатель называется коэффициентом концентрации К.

Зеркала монтируют таким образом, чтобы все падающие лучи были направлены на поверхность поглотителя. Если поглотитель квадратной формы снабжен, как показано на рис. 1.2, четырьмя зеркалами того же размера (что облегчает компоновку и сборку устройства), установленными под углом β = 60°, то в этом случае коэффициент концентрации равен 3.

На практике реализовать все достоинства подобной конструкции оказывается невозможным, поскольку отражающая способность зеркал меньше 100%, а при малых углах падения поглощательная способность поглотителя снижается. Тем не менее, величина К, как правило, бывает не ниже 2. В данных условиях равновесная температура плоского солнечного коллектора с зеркальными отражателями рассмотренного типа достигает 180° С (для нейтрального поглотителя) и 332° С (для селективного поглотителя). Следует заметить, что в данном случае с помощью рефлекторов усиливается лишь прямая составляющая солнечной радиации, так как сконцентрировать рассеянную составляющую оказывается невозможным, однако при небольших коэффициентах концентрации часть рассеянной радиации полезно используется.

Рис. 1.2. Концентрация солнечного излучения с помощью плоских зеркал.

Наиболее совершенной конструкцией обладает параболический концентратор, который фокусирует солнечные лучи так, как это показано на рис. 1.3. В результате коэффициент концентрации значительно увеличивается.

Рис.1.3. Концентрация солнечного излучения с помощью параболического зеркала.

На первый взгляд кажется, что в фокусе такого концентратора можно получить совершенно невероятную равновесную температуру, однако на практике этому препятствует непараллельность солнечных лучей.

Если для плоского зеркального отражателя подобное обстоятельство не имеет существенного значения, то в случае параболического концентратора оно ограничивает величину коэффициента концентрации. Вследствие непараллельности лучей их энергия собирается не точно в фокусе (точке), а в некоторой области вокруг него. На рис. 1.3 показаны траектории лучей, исходящих от противоположных краев солнечного диска и попадающих в точки А и Б.

Поэтому для получения максимального количества энергии облучаемое тело должно быть достаточно большим, чтобы принять все лучи, отраженные от концентратора. Кроме того, с ухудшением оптических свойств зеркальной поверхности концентратора и с увеличением размеров приемника солнечной энергии уменьшается эффективное значение К, а, следовательно, и равновесная температура,

При среднем качестве зеркал и использовании приемников, достаточно полно воспринимающих отраженное излучение, К обычно не превышает 10000. Равновесная температура составляет для такого коллектора около 1930К (1660° С).

Что же касается максимально возможной равновесной температуры поглотителя солнечного излучения, то она естественно, не может быть больше температуры излучающей поверхности солнца - 6000К, однако достижение столь высоких температур практически невозможно.

Другие виды поглотителей

Кроме обычных плоских коллекторов и коллекторов с концентраторами существуют и другие конструкции солнечных коллекторов, например солнечный бассейн. В таком устройстве поглотителем служит непосредственно водный бассейн, который при необходимости можно оборудовать дополнительным покрытием. Под воздействием солнечной радиации температура воды повышается как за счет непосредственного поглощения водой фотонов энергии, так и за счет теплообмена между поглощающим излучение днищем бассейна и водой.

В обычном бассейне при нагревании вода расширяется, и нагретые более легкие слои поднимаются вверх, происходит быстрое испарение воды, и вода нагревается слабо. Наличие простого пленочного покрытия улучшает положение, но незначительно, тек как перенос тепла испарением-конденсацией между водой и пленкой очень эффективен.

Однако, если подавить конвекцию воды в бассейне положение резко улучшается. Для этого необходимо наличие нерастворенной соли на дне бассейна, при повышении температуры растет растворимость соли в воде и, несмотря на более высокую температуру, плотность слоев воды вблизи дна становится больше, чем наверху, и конвекция пропадает.

Такой бассейн может хорошо работать и без покрытия. Результаты экспериментов показали, что равновесная температура в подобных бассейнах может достигать 100° С.

Для простоты можно считать, что такой бассейн подобен плоскому коллектору, поглотитель которого по своим свойствам занимает некоторое промежуточное положение между рассмотренными ранее нейтральным и селективным поглотителями.

Солнечные бассейны имеют ряд преимуществ перед коллекторами других типов в засушливых и пустынных районах с естественными солеными водоемами. Это наиболее дешевые приемники больших количеств солнечной энергии; благодаря высокой теплоемкости воды они обладают возможностями сохранения внутренней энергии в течение нескольких суток и, несмотря на различные технические трудности, солнечные бассейны находят все большее применение.

Рабочая температура тепловых приемников и реальный К.П.Д преобразователей

Реальная рабочая температура приемника солнца

Оцененная в выше равновесная температура дает только максимальную оценку.

Реальная рабочая температура тепловых приемников должна определяться из реального теплового баланса и, как правило, она намного ниже равновесной.

В реальной установке важнейшей частью теплового баланса является полезно используемое тепло. Для преобразователя излучения это тепло - один из видов потерь.

Таким образом, реальная рабочая температура- это равновесная температура, определенная с учетом не только «паразитных» потерь (обратное излучение, конвекционные потери и другие), но и полезно используемого тепла.

Следовательно, с ростом доли полезно используемого тепла рабочая температура уменьшается, стремясь к температуру окружающей среды, а тепловой К.П.Д. растет.

Тепловой К.П.Д. солнечного приемника

Тепловой К.П.Д., определенный как отношение полезно используемого тепла к падающему солнечному, будет максимален при условии максимума отвода тепла от солнечного приемника и равен нулю на холостом ходу установки.

Оптимальная рабочая температура термодинамического преобразователя солнечного излучения

Термодинамический преобразователь солнечного излучения преобразует полезно используемое тепло солнечного приемника с К.П.Д. не более К.П.Д цикла Карно с температурой нагревателя равной реальной рабочей температуре. Взаимосвязь этих двух важнейших параметров приводит к тому, что преобразуемая установкой мощность имеет максимум при определенной рабочей температуре.

.4 Спектр солнечного излучения

На рис.1.4. приведено спектральное распределение потока фотонов внеатмосферного (АМ 0) и наземного стандартизованного (АМ 1,5) солнечного излучения при перпендикулярном падении лучей на приемную площадку.[3]

Рис. 1.4. Спектральное распределение потока фотонов солнечного излучения:

- внеатмосферное излучение (АМ 0); 2 - наземное стандартизованное излучение (АМ1,5); 3 - спектр излучения абсолютно черного тела при Тс=5800К.

На вставке заштрихована доля полезно используемых кремниевыми фотоэлементами фотонов.

Энергия фотонов, эВ ( эВ -электронвольт - энергия, которую необходимо совершить, чтобы переместить электрон между двумя точками с разностью потенциалов 1 В. 1 эВ = 1,6·10-19 Дж), в излучении с длиной волны определяется из соотношения:

,

гдеh- постоянная Планка, 6,626196(50)·10-34 Дж·с; c- скорость света, - длина волны, мкм.

Граничная длина волны, начиная с которой фотоны будут поглощаться в материале солнечного элемента с шириной запрещенной зоны Eg

.

Более длинноволновое излучение не поглощается в полупроводнике и, следовательно, бесполезно с точки зрения фотоэлектрического преобразования.

Запрещенная зона характеризуется отсутствием энергетических уровней, различна по ширине для разных материалов.

.5 Физические основы фотоэлектрического преобразования

 

Фотоэлектрические свойства p-n перехода

Простейший солнечный элемент на основе монокристаллического кремния представляет собой следующую конструкцию: на малой глубине от поверхности кремниевой пластины p-типа сформирован p-n-переход с сетчатым металлическим контактом; на тыльную сторону пластины нанесен сплошной металлический контакт.

Пусть p-n-переход расположен вблизи от освещаемой поверхности полупроводника. При использовании солнечного элемента в качестве источника электроэнергии к его выводам должно быть подсоединено сопротивление нагрузки . Рассмотрим вначале два крайних случая: Rн=0 (режим короткого замыкания) и Rн=∞ (режим холостого хода). Зонные диаграммы для этих режимов изображены на рис.1.5. а, б.

Рис. 1.5. Зонные энергетические диаграммы p-n-перехода при освещении в режиме: а - короткого замыкания; б - холостого хода; в - включения на сопротивление нагрузки.

В первом случае зонная диаграмма освещенного p-n-перехода не отличается от зонной диаграммы при термодинамическом равновесии (без освещения и без приложенного напряжения смещения), поскольку внешнее закорачивание обеспечивает нулевую разность потенциалов между n- и p- областями. Однако через p-n-переход и внешний проводник течет ток, обусловленный фотогенерацией электронно-дырочных пар в p-области. Фотоэлектроны, образовавшиеся в непосредственной близости от области объемного заряда, увлекаются электрическим полем p-n-перехода и попадают в n-область. Остальные электроны диффундируют к p-n-переходу, стараясь восполнить их убыль, и в конечном итоге также попадают в n-область. В n-области возникает направленное движение электронов к тыльному металлическому контакту, перетекание во внешнюю цепь и в контакт к p-области. На границе контакта к p-области происходит рекомбинация подошедших сюда электронов с фотогенерированными дырками [32].

При разомкнутой внешней цепи p-n-перехода (рис. 1.5., б) фотоэлектроны, попадая в n-область, накапливаются в ней и заряжают n-область отрицательно. Остающиеся в p-области избыточные дырки заряжают p-область положительно. Возникающая таким образом разность потенциалов является напряжением холостого хода Uх.х.. Полярность Uх.х соответствует прямому смещению p-n-перехода.

Поток генерированных светом носителей образует фототок . Величина равна числу фотогенерированных носителей, прошедших через p-n-переход в единицу времени:

,

Где q- величина заряда электрона;мощность поглощенного монохроматического излучения частотой ν.

Здесь предполагается, что в полупроводнике каждый поглощенный фотон с энергией hν.≥Eg создает одну электронно-дырочную пару. Это условие хорошо выполняется для солнечных элементов на основе Si и GaAs.

При нулевых внутренних омических потерях в солнечном элементе режим короткого замыкания (рис. 1.5, а) эквивалентен нулевому напряжению смещения p-n-перехода, поэтому ток короткого замыкания Iк.з. равен фототоку

.

В режиме холостого хода (рис. 1.5., б) фототок уравновешивается инжекционным током Im- прямым током через p-n-переход, возникающим при напряжении смещения Uх.х.. Абсолютное значение инжекционного тока:

,

откуда при Iф>>I0

,

где - постоянная Больцмана, 1,38·10-23 Дж/К=0,86·10-4 эВ/К;

- абсолютная температура,ток насыщения;«коэффициент неидеальности»- параметр вольт-амперной характеристики p-n-перехода, меняющийся для разных отрезков графика от 1 до 2 по следующему закону:

,

где - приращение напряжения при приращении плотности тока (или абсолютного значения тока) по касательной на один порядок.

Для фотоэлементов хорошего качества при рабочих величинах солнечной освещенности А близок к единице.

Работа фотоэлемента сопровождается рекомбинацией неосновных носителей тока (в данном случае - электронов в p-области и дырок в n-области). При актах рекомбинации потенциальная энергия электронно-дырочных пар выделяется либо посредством излучения фотонов с hυ≈Eg, либо расходуется на нагревание кристаллической решетки. Оба процесса схематически показаны дополнительными стрелками на рис. 1.5., б. Режим холостого хода солнечного элемента эквивалентен режиму работы выпрямительных диодов в пропускном направлении.

1.6 Вольт-амперная характеристика солнечного элемента

Идеальная вольт-амперная характеристика солнечного элемента

Найдем обобщенное выражение для вольт-амперной характеристики освещенного p-n-перехода. При этом надо учесть, что весь ток фотогенерации в общем случае разделяется на две части - одна часть замыкается через сопротивление нагрузки и образует полезный рабочий ток фотоэлемента, а вторая замыкается внутри фотоэлемента и представляет собой прямой (инжекционный ток прямосмещенного перехода) ток диода, вычисленный при рабочем напряжении на диоде. Учитывая известное выражение для прямого тока диода можно записать равенство:

.

Направление тока в нагрузке всегда совпадает с направлением Iф. Тогда, если принять направление тока Iф за положительное, для Iн можно записать:

,

здесьUн- напряжение на нагрузке, равное напряжению на p-n-переходе; Остальные величины определены выше.

Выражение описывает нагрузочную вольт-амперную характеристику идеального освещенного p-n-перехода.

.7 Материалы солнечных элементов

Кремний, из которого изготовляются большая часть солнечных элементов, называют «нефтью 21-го столетия». Расчеты показывают, что солнечный элемент с КПД 15 %, на которые пошел 1 кг кремния, за 30 лет службы могут произвести 300 МВтч электроэнергии[8].

Равное количество электроэнергии можно получить, израсходовав 75 т нефти (с учетом КПД теплоэлектростанций 33 % и теплотворной способности нефти 43,7 МДж/кг). Таким образом, 1 кг кремния оказывается эквивалентен 75 т нефти.

Другие материалы пока используются мало

Монокристаллический кремний

В реально действующих структурах с гетеропереходами КПД достигает на сегодняшний день более 30%.

Но монокристаллический кремний все же лучше по совокупности параметров. Среднее значение КПД в солнечных батареях на монокристаллическом кремнии сегодня около 12%, хотя достигает и 18%. Кремний является значительно более доступным и освоенным в производстве материалом, чем арсенид галлия. Кремний широко распространён в природе, и запасы исходного сырья для создания ФЭП на его основе практически неограниченны. Технология изготовления монокристаллических кремниевых ФЭП хорошо отработана и непрерывно совершенствуется. Существует реальная перспектива снижения стоимости кремниевых ФЭП на один - два порядка при внедрении новых автоматизированных методов производства, позволяющих в частности, получать кремниевые ленты, солнечные элементы большой площади и т.п.

Производство структур на основе монокристаллического кремния - процесс технологически сложный и дорогостоящий. Поэтому внимание было обращено на такие материалы, как сплавы на основе аморфного кремния (a-Si:H), арсенид галлия и поликристаллические полупроводники.

Поликристаллический кремний.

При производстве солнечных элементов на основе поликристаллического кремния операция вытягивания (получения монокристалла) опускается, оно менее энергоемкое и значительно дешевле. Однако внутри кристалла поликристаллического кремния имеются области, отделенные границами зерен, вызывающие ухудшение эффективности элементов.

Кроме того, благодаря существующим технологиям получения тонких пленок аморфного кремния большой площади не требуется операции резки, шлифовки и полировки, необходимых для СЭ на основе монокристаллического кремния. По сравнению с поликристаллическими кремниевыми элементами изделия на основе a-Si:Н производят при более низких температурах (300°С): можно использовать дешевые стеклянные подложки, что сократит расход кремния в 20 раз.

Пока максимальный КПД промышленных элементов на основе а-Si:Н - 12% - несколько ниже КПД промышленных кристаллических кремниевых СЭ (~18%). Однако не исключено, что с развитием технологии КПД элементов на основе а-Si:Н достигнет теоретического потолка - 16 %.

Арсенид галлия - один из наиболее перспективных материалов для создания высокоэффективных солнечных батарей. Это объясняется следующими его особенностями:

·   почти идеальная для однопереходных солнечных элементов ширина запрещенной зоны 1,43 эВ;

·   повышенная способность к поглощению солнечного излучения: требуется слой толщиной всего в несколько микрон;

·   высокая радиационная стойкость, что совместно с высокой эффективностью делает этот материал чрезвычайно привлекательным для использования в космических аппаратах;

·   относительная нечувствительность к нагреву батарей на основе GaAs;

·   характеристики сплавов GaAs с алюминием, мышьяком, фосфором или индием дополняют характеристики GaAs, что расширяет возможности при проектировании солнечных элементов.

Главное достоинство арсенида галлия и сплавов на его основе -широкий диапазон возможностей для дизайна СЭ. Фотоэлемент на основе GaAs может состоять из нескольких слоев различного состава. Это позволяет разработчику с большой точностью управлять генерацией носителей заряда, что в кремниевых солнечных элементах ограничено допустимым уровнем легирования. Типичный солнечный элемент на основе GaAs состоит из очень тонкого слоя AlGaAs в качестве окна.

Основной недостаток арсенида галлия - высокая стоимость. Для удешевления производства предлагается формировать СЭ на более дешевых подложках; выращивать слои GaAs на удаляемых подложках или подложках многократного использования.

Поликристаллические пленочные элементы

Поликристаллические тонкие пленки также весьма перспективны для солнечной энергетики. Чрезвычайно высока способность к поглощению солнечного излучения у диселенида меди и индия (CuInSe2) - 99 % света поглощается в первом микроне этого материала (ширина запрещенной зоны - 1,0 эВ). Наиболее распространенным материалом для изготовления окна солнечной батареи на основе CuInSe2 является CdS. Иногда для улучшения прозрачности окна в сульфид кадмия добавляют цинк. Немного галлия в слое CuInSe2 увеличивает ширину запрещенной зоны, что приводит к росту напряжения холостого хода и, следовательно, повышению эффективности устройства.

Теллурид кадмия (CdTe) - еще один перспективный материал для фотовольтаики. У него почти идеальная ширина запрещенной зоны (1,44 эВ) и очень высокая способность к поглощению излучения. Пленки CdTe достаточно дешевы в изготовлении. Кроме того, технологически несложно получать разнообразные сплавы CdTe c Zn, Hg и другими элементами для создания слоев с заданными свойствами.

Подобно CuInSe2, наилучшие элементы на основе CdTe включают гетеропереход с CdS в качестве оконного слоя. Оксид олова используется как прозрачный контакт и просветляющее покрытие. Серьезная проблема на пути применения CdTe - высокое сопротивление слоя p-CdTe, что приводит к большим внутренним потерям. Но она решена в p-i-n-структуре с гетеропереходом CdTe/ZnTe. Пленки CdTe обладают высокой подвижностью носителей заряда, а солнечные элементы на их основе - высокими значениями КПД, от 10 до 16%.

Органические материалы

Среди солнечных элементов особое место занимают батареи, использующие органические материалы.

Органические полупроводники - пока еще малораспространенный, но очень перспективный материал для фотоэнегетики. Основная трудность при разработке фотоэлементов - очень малая подвижность носителей в этих материалах. Это приводит к возрастанию внутреннего сопротивления , увеличению рекомбинации и падению К.П.Д.

Синтерированные материалы - материалы на основе наноструктурных комплексов органических и неорганических материалов, обычно органических красителей и оксидных полупроводников. Разные функции здесь разделены между разными материалами - органический краситель поглощает свет, а переносит заряды оксидный полупроводник. Коэффициент полезного действия солнечных элементов на основе диоксида титана, покрытого органическим красителем, потенциально весьма высок - ~11 %. Основа солнечных элементов данного типа -TiO2, покрытый монослоем органического красителя. Принцип работы элемента основан на фотовозбуждении красителя и быстрой инжекции электрона в зону проводимости TiO2.

Нагрузки переменного тока

Входное напряжение

Нагрузки, питающиеся от сети переменного тока как правило рассчитаны на переменное напряжение 220В частотой 50Гц. К таким видам нагрузки относятся подавляющее большинство бытовых устройств. Исключение - устройства, питающиеся от гальванических элементов.

Реже используется переменное напряжения 110 или 220В частотой 60Гц (американский стандарт). Обычно бытовые приборы, рассчитанные на 220В, 60Гц хорошо работают и при 50Гц. Многие виды нагрузки с импульсными блоками питания (телевизоры, зарядные устройства) нормально работают при любом напряжении от 90 до 230В 50 или 60Гц, однако это необходимо проверить по паспорту прибора.

Нагрузки постоянного тока меньше распространены, и обычно рассчитаны на питание от автомобильной сети 12ч14В или ниже.

Ток потребления

Номинальный ток потребления определяется номинальной мощностью прибора и напряжением питания: Iном=Pном / Uпит

Однако довольно часто нагрузка может быть резко нелинейной или иметь очень большие пусковые токи.

Лампы накаливания

Сопротивление холодной нити лампы накаливания почти в 10 раз меньше, чем горячей. Поэтому пусковой ток 100Вт лампы накаливания достигает 4,5А. Такой большой ток может привести к обрыву нити накала (лампа перегорает в момент включения), но более опасна ситуация, когда в момент обрыва нити возникает дуговой разряд в лампе, лампа может взорваться, а аварийный ток при этом равен току короткого замыкания. Большие пусковые токи могут повредить инвертор. Из-за малой экономичности и больших пусковых токов лампы накаливания недопустимо применять в солнечных системах.

Приборы с импульсивными источниками питания (телевизоры, компьютеры и так далее).

Отличаются тем, что при включении в сеть происходит заряд емкостного фильтра - конденсатора емкостью 50ч470мФ. Для ограничения пускового тока обычно используется терморезистор, встроенный в источник питания. Сопротивление такого терморезистора в холодном состоянии - около 10 Ом и, следовательно, стартовый ток примерно 22А. Однако при работе прибора сопротивление терморезистора из-за нагрева резко падает( примерно до 0,5 - 1 Ом). Если электропитание будет «моргать», то это приведет к большим импульсным перегрузкам инвертора, и возможно, к повреждению импульсного источника питания.

Конструкции некоторых импульсных блоков питания выполнены так, что допустимый диапазон напряжений первичной сети от 90В до 230В при любой частоте от 50 до 60 Гц. Такие электроприборы работают в сетях 110 и 220В без переключения. Существует также потенциальная возможность использовать и постоянное напряжение (например, от аккумуляторной батареи) в диапазоне от 90 до 230В, однако конструкцией большинства блоков питания это не предусмотрено.

Важной особенностью всех импульсных блоков питания является повышенный уровень помех, генерируемых внутри схемы и неразрывно связанных с принципом их действия. Для ослабления помех должны использоваться специальные фильтры, встроенные в блоки питания. Однако в большинстве БП китайского производства таких фильтров нет. Это может привести к взаимным помехам, например, помеха может быть видна на экране телевизора в виде регулярных или случайных полосок или других нарушений изображения.

Аналогичные явления могут происходить и при использовании инверторов упрощенной конфигурации с прямоугольным выходным напряжением. Решение подобных проблем - в установке специальных фильтров в цепи питания.

Приборы с асинхронными двигателями (водяные насосы, холодильники, вентиляторы)

Асинхронные двигатели как нагрузка весьма чувствительны по всем параметрам сети - напряжению, частоте, форме.

Если асинхронный двигатель запускается при номинальной механической нагрузке (например в холодильнике), то пусковой ток в течении 1-2 секунд будет в 8-10 раз превышать номинальный. Это приводит к большим перегрузкам инвертора и заставляет использовать инверторы повышенной мощности. Частота вращения двигателя пропорциональна вращению сети, а форма напряжения сети влияет на нагрев двигателя. Использование инвертора с прямоугольным выходным напряжением приводит к перегреву асинхронного двигателя, и поэтому весьма нежелательно. Если напряжение в сети понижено на 20% двигатель холодильника может вообще не запуститься, что также вызывает перегрев.

Запуск асинхронного двигателя с «вентиляторной» механической нагрузкой обычно не приводит к перегрузкам инвертора.

Запуск водяного насоса - промежуточный случай, однако и здесь как правило возникают 5-7 кратные перегрузки по току в течении нескольких секунд.

Нагрузки со значительной индуктивностью или сильно нелинейные.

Присутствие в нагрузке значительной индуктивности или сильной зависимости тока потребления от напряжения (нелинейности) приводит к необходимости строго соблюдать параметры частоты, номинального напряжения и формы выходного напряжения инвертора. Использование простых инверторов с прямоугольной формой выходного напряжения весьма нежелательно, хотя иногда и возможно. Основной вид нагрузки такого вида - люминесцентные лампы на 110 или 220В с дросселем на частоту 50Гц и стартером. Кроме изменения яркости свечения, изменение напряжения или частоты может привести к сокращению срока службы ламп, иногда до 2раз.

Солнечные панели (модули)

Солнечные панели (модули) являются основным компонентом для построения фотоэлектрических систем. Собираются они из отдельных солнечных элементов, соединенных последовательно или параллельно-последовательно.

Промышленностью производятся в основном модули 3 типов:

·        Кремниевые монокристалличкские модули

·        Кремниевые поликристалличкские модули.

·        Модули на аморфном кремнии.

Монокристаллические элементы имеют наивысшую эффективность преобразования энергии. Основной материал - крайне чистый кремний, из которого изготовлены монокристаллические солнечные панели, хорошо освоен в области производства полупроводников

КПД солнечной панели на основе монокристаллического кремния составляет 14-17%.

Внутри кристалла поликристаллического кремния имеются области, отделенные границами зерен, вызывающие ухудшение эффективности элементов.

КПД солнечной панели на основе поликристаллического кремния составляет 10-12%.

Аморфный кремний получается при помощи плазмохимического осаждения или другими способами.

Эта технология имеет ряд недостатков и преимуществ:

·        процесс производства солнечных панелей на основе аморфного кремния относительно простой и недорогой;

·        возможно производство элементов большой площади;

·        низкое энергопотребление.

Однако:

·        эффективность преобразования значительно ниже, чем в кристаллических элементах;

·        элементы подвержены процессу деградации.

Основные типы фотоэлектрических модулей, производимых в мире:

Стандартные монокристаллические модули. Такие модули дороже, поэтому менее распространены, по сравнению с поликристаллическими модулями. В настоящее время производится модули из псевдоквадратных элементов. Монокристаллические фотоэлектрические модули имеют важное преимущество - практически не ограниченный срок службы (первые фотоэлектрические станции на монокристаллических модулях работают более 20 лет без существенного изменения параметров).

Поликристаллические кремниевые модули. Это наиболее распространенная технология в мире. Такие модули отличаются на вид от остальных вследствие случайной структуры кристаллов элементов. Поликристаллические ФЭП имеют более низкий КПД, чем монокристаллический, а также менее стабильны во времени. Однако стоят дешевле и вследствие лучшего заполнения площади модуля, его КПД ненамного меньше, чем у модулей из монокристаллического кремния.

Тонкопленочные модули из аморфного кремния. Классический тонкопленочный модуль производится на базе аморфного кремния. У аморфного кремния хуже полупроводниковые свойства и, следовательно, меньше КПД преобразования света. Однако для производства элементов необходимо гораздо меньше кремния, и он может быть нанесен практически на любую поверхность - стекло, металл или другой материал. КПД элементов из аморфного кремния с одним слоем - около 6%. Доля модулей из аморфного кремния на рынке незначительна, но постоянно растет.

Модули с поликристаллическими ленточными элементами. При производстве ленточных ФЭП кристаллы кремния не разрезаются проволочными пилами, а плавятся специальными струнами (технология Evergreen Solar). Либо применяются специальные способы выращивания кристаллов (Edge defined film-fed growth компании Schott Solar). КПД таких модулей ниже, чем обычных кристаллических модулей (не более 11,6%).

Тонкопленочные CdTe модули. 2 компании производят CdTe модули серийно. Это немецкая компания Antec Solar и First Solar LLC из США. Эта специальная тонкопленочная технология имеет большой потенциал для снижения стоимости фотоэлектрических модулей. КПД модулей достигает 9%. Содержание кадмия в модуле меньше, чем в обычной пальчиковой батарейке, и производители обещают принимать на переработку все произведенные ими «отработанные» модули. В 2005 году было произведено 29 МВт таких модулей, что составило 1,6% от общего производства фотоэлектрических модулей в мире.элементы от Sanyo. Hetero Junction with Intrinsic Thin Layer (гетеропереходы с внутренним тонким слоем) элементы от Sanyo имеют рекордную эффективность. КПД достигает 16,8 % в серийных модулях. N-легированная монокристаллическая пластина покрыта тончайшим слоем нелегированного аморфного кремния с 2-х сторон (intrinsic layer). Снаружи элемент покрыт p-легированным слоем аморфного кремния, а с задней стороны - n-легированным слоем аморфного кремния. Максимальная мощность модулей HIT составляет 270 Вт.модули. Основные ингредиенты CIS модулей - медь, индий, селен, и иногда галлий (тогда элементы обозначаются как CIGS). CIS имеют наибольший КПД в группе тонкопленочных ФЭП (до 11% в модуле). Несколько компаний уже заявили о готовящемся в этом или следующем году серийном выпуске CIS модулей с общей мощностью до 62 МВт. В 2005 году, однако, было выпущено 3,5 МВт таких модулей, что составляло 0,2% от общего производства фотоэлектрических модулей.

Глава 2. «Системы солнечного теплоснабжения»

 

2.1 Классификация и основные элементы гелиосистем


Системами солнечного отопления называются системы, использующие в качестве теплоисточника энергию солнечной радиации. Их характерным отличием от других систем низкотемпературного отопления является применение специального элемента - гелиоприемника, предназначенного для улавливания солнечной радиации и преобразования ее в тепловую энергию. По способу использования солнечной радиации системы солнечного низкотемпературного отопления подразделяют на пассивные и активные.[10]

Пассивными называются системы солнечного отопления, в которых в качестве элемента, воспринимающего солнечную радиацию и преобразующего ее в теплоту, служат само здание или его отдельные ограждения: здание-коллектор, стена-коллектор (рис. 2.1.), кровля-коллектор и т. п..[11]

Рис. 2.1. Пассивная низкотемпературная система солнечного отопления «стена-коллектор»:

- солнечные лучи; 2 - лучепрозрачный экран; 3 - воздушная заслонка; 4 - нагретый воздух; 5 - охлажденный воздух из помещения; 6 - собственное длинноволновое тепловое излучение массива стены; 7 - черная лучевоспринимающая поверхность стены; 8 - жалюзи.

Активными называются системы солнечного низкотемпературного отопления, в которых гелиоприемник является самостоятельным отдельным устройством, не относящимся к зданию. Активные гелиосистемы могут быть подразделены:

·   по назначению (системы горячего водоснабжения, отопления, комбинированные системы для целей теплохолодоснабжения);

·        по виду используемого теплоносителя (жидкостные - вода, антифриз и воздушные);

·        по продолжительности работы (круглогодичные, сезонные);

·        по техническому решению схем (одно-, двух-, многоконтурные).

Теплоносители

Воздух является широко распространенным незамерзающим во всем диапазоне рабочих параметров теплоносителем. При применении его в качестве теплоносителя возможно совмещение систем отопления с системой вентиляции. Однако воздух - малотеплоемкий теплоноситель, что ведет к увеличению расхода металла на устройство систем воздушного отопления по сравнению с водяными системами.

Вода является теплоемким и широкодоступным теплоносителем. Однако при температурах ниже 0°С в нее необходимо добавлять незамерзающие жидкости. Кроме того, нужно учитывать, что вода, насыщенная кислородом, вызывает коррозию трубопроводов и аппаратов. Но расход металла в водяных гелиосистемах значительно ниже, что в большой степени способствует более широкому их применению.

Виды тепловых гелиосистем

Сезонные гелиосистемы горячего водоснабжения обычно одноконтурные и функционируют в летние и переходные месяцы, в периоды с положительной температурой наружного воздуха. Они могут иметь дополнительный источник теплоты или обходиться без него в зависимости от назначения обслуживаемого объекта и условий эксплуатации (например, летняя дача).

Гелиосистемы отопления зданий обычно двухконтурные или, чаще всего, многоконтурные, причем для разных контуров могут быть применены различные теплоносители (например, в гелиоконтуре - водные растворы незамерзающих жидкостей, в промежуточных контурах - вода, а в контуре потребителя - воздух).

Комбинированные гелиосистемы круглогодичного действия для целей теплохолодоснабжения зданий многоконтурные и включают дополнительный источник теплоты (дублер) в виде традиционного теплогенератора, работающего на органическом топливе, или трансформатора теплоты. Как правило, в таких системах тепловой насос можно использовать и для кондиционирования воздуха летом.

Элементы активных гелиосистем

Основными элементами активной солнечной системы являются: гелиоприемник, аккумулятор теплоты, дополнительный источник или трансформатор теплоты (тепловой насос), потребитель (системы отопления и горячего водоснабжения зданий). Выбор и компоновка элементов в каждом конкретном случае определяются климатическими факторами, назначением объекта, режимом теплопотребления, экономическими показателями.

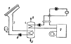
Пример принципиальной схемы системы солнечного теплоснабжения здания приведен на рис.2.2. Имеется три контура циркуляции два жидкостных и один воздушный.

·        первый контур, состоящий из солнечных коллекторов 1, циркуляционного насоса 8 и жидкостного теплообменника 3;

·        второй контур, состоящий из бака-аккумулятора 2, циркуляционного насоса 8 и теплообменника 3;

·        - третий контур, состоящий из бака-аккумулятора 2, циркуляционного насоса 8, водовоздушного теплообменника (калорифера) 5.

Рис. 2.2. Принципиальная схема системы солнечного теплоснабжения:

-солнечный коллектор; 2 - бак-аккумулятор; 3 - теплообменник; 4 - здание; 5 - калорифер; 6 - дублер системы отопления; 7 - дублер системы горячего водоснабжения; 8 - циркуляционный насос; 9 - вентилятор.

Функционирует система солнечного теплоснабжения следующим образом: Теплоноситель (антифриз) теплоприемного контура, нагреваясь в солнечных коллекторах 1, поступает в теплообменник 3, где теплота антифриза передается воде, циркулирующей в межтрубном пространстве теплообменника 3 под действием насоса 8 второго контура. Антифриз необходим из-за возможного замерзания коллектора ночью в зимнее время. Можно также сливать воду из коллекторов в ночное время. Нагретая вода поступает в бак-аккумулятор 2. Из бака-аккумулятора вода забирается насосом горячего водоснабжения 8, доводится при необходимости до требуемой температуры в дублере 7 и поступает в систему горячего водоснабжения здания. Подпитка бака-аккумулятора осуществляется из водопровода. Для отопления вода из бака-аккумулятора 2 подается насосом третьего контура 8 в калорифер 5, через который с помощью вентилятора 9 пропускается воздух и, нагревшись, поступает в здание 4. В случае отсутствия солнечной радиации или нехватки тепловой энергии, вырабатываемой солнечными коллекторами, в работу включается дублер 6.

Выбор и компоновка элементов системы солнечного теплоснабжения в каждом конкретном случае является довольно сложной задачей и определяются климатическими факторами, назначением, режимом теплопотребления, экономическими показателями.

.2 Типы солнцеприемников активных систем отопления

 

Концентрирующие гелиоприемники

Конструкции концентрирующих гелиоприемников представлены на рисунке 2.3.

Для обеспечения высокой эффективности процесса улавливания и преобразования солнечной радиации концентрирующий гелиоприемник должен быть постоянно направлен строго на Солнце. С этой целью гелиоприемник снабжают системой слежения, включающей датчик направления на Солнце, электронный блок преобразования сигналов, электродвигатель с редуктором для поворота конструкции гелиоприемника в двух плоскостях (рис. 2.3.,а). Параболоцилиндрические концентраторы наводятся только в одной плоскости, и поэтому более распространены[12].

Рис.2.3. Конструкции концентрирующих гелиоприемников:

а - параболический концентратор; б - параболоцилиндрический концентратор;

- солнечные лучи; 2 - тепловоспринимающий элемент (солнечный коллектор); 3 - зеркало; 4 - механизм привода системы слежения; 5 - трубопроводы, подводящие и отводящие теплоноситель.

На рис. 2.4. представлена принципиальная схема жидкостной комбинированной двухконтурной системы солнечного отопления с параболоцилиндрическим концентратором и жидкостным теплоаккумулятором. В контуре гелиоприемника в качестве теплоносителя применен антифриз, а в контуре системы отопления - вода.

Преимуществом систем с концентрирующими гелиоприемниками является способность выработки теплоты с относительно высокой температурой (до 100 °С) и даже пара. К недостаткам следует отнести высокую стоимость конструкции; необходимость постоянной очистки отражающих поверхностей от пыли; потребность в аккумуляторах относительно большого объема; большие энергозатраты на привод системы слежения за ходом Солнца.

Рис. 2.4. Жидкостная комбинированная двухконтурная система солнечного отопления с параболоцилиндрическим концентратором и жидкостным аккумулятором:

- параболоцилиндрический концентратор; 2 - жидкостный теплоаккумулятор; 3 - дополнительный теплоисточник; 4 - термометр; 5 - контур системы отопления; 6 - регулирующий вентиль; 7 - циркуляционный насос.

Эти недостатки сдерживают широкое применение активных низкотемпературных систем солнечного отопления с концентрирующими гелиоприемниками. Наиболее часто для солнечных низкотемпературных систем отопления применяют плоские гелиоприемники (коллекторы).

Область применения концентрирующих гелиоприемников - нагрев технологической воды в промышленности.

Солнечные коллекторы

Плоские солнечные коллекторы (рис. 2.5.) состоят из стеклянного или пластикового покрытия (одинарного, двойного, тройного), тепловоспринимающей панели черного цвета, тепловой изоляции на обратной стороне, и корпуса (металлического, пластикового, стеклянного, деревянного).

В качестве тепловоспринимающей панели можно использовать любой металлический или пластмассовый лист с каналами для теплоносителя. Изготавливаются тепловоспринимающие панели из меди, алюминия или стали двух типов: лист-труба и штампованные панели (из листа).

Рис. 2.5. Плоский солнечный коллектор:

- солнечные лучи; 2 - остекление; 3 - корпус; 4 - тепловоспринимающая поверхность; 5 - теплоизоляция; 6 - уплотнитель; 7 - собственное длинноволновое излучение тепловоспринимающей пластины[14].

Под действием солнечной радиации тепловоспринимающие панели разогреваются до температур 70-80°С, превышающих температуру окружающей среды, что ведет к возрастанию конвективной теплоотдачи панели в окружающую среду и ее собственного излучения на небосвод. Пластмассовые панели из-за недолговечности и быстрого старения под действием солнечных лучей, а также из-за малой теплопроводности и возможности расплавления не находят широкого применения.

Для достижения более высоких температур теплоносителя поверхность пластины покрывают спектрально-селективными слоями, активно поглощающими коротковолновое излучение солнца и снижающими ее собственное тепловое излучение в длинноволновой части спектра. Такие конструкции на основе «черного никеля», «черного хрома», окиси меди на алюминии, окиси меди на меди и другие дорогостоящи, но обеспечивают более высокий К.П.Д. коллектора.

Другим способом улучшения характеристик неконцентрирующих селективных коллекторов является создание вакуума между тепловоспринимающей панелью и прозрачной изоляцией для уменьшения тепловых потерь (трубчатые солнечные коллекторы вакуумного типа). Устройство вакуумной теплоизоляции удорожает и утяжеляет конструкцию гелиоприемника, однако вакуумные коллекторы дают более высокие температуры, имеют высокий К.П.Д. и хорошо работают в зимнее время.

На рис. 2.6. представлена более сложная схема водяной низкотемпературной системы солнечного отопления с солнечными коллекторами, в которой предусмотрен автоматический дренаж коллекторов при прекращении воздействия солнечной радиации.

Рис. 2.6. Схема водяной низкотемпературной системы солнечного отопления с плоскими коллекторами и их автоматическим дренажем при прекращении циркуляции:

- солнечные плоские коллекторы; 2 - расширительный бак; 3 - дополнительный теплоисточник; 4 - теплообменник; 5 - отопительные приборы; 6, 8 - циркуляционные насосы; 7 - бак-теплоаккумулятор.

Недостатки солнечных систем с плоскими коллекторами.

Опыт эксплуатации солнечных установок на основе солнечных коллекторов выявил ряд недостатков подобных систем.

Прежде всего, это довольно высокая стоимость хороших коллекторов. Увеличение эффективности их работы за счет селективных покрытий, повышение прозрачности остекления, вакуумирования приводит к повышению цены.

Существенным недостатком является необходимость очистки стекол от пыли, что практически исключает применение коллекторов в промышленных районах.

При длительной эксплуатации солнечных коллекторов, особенно в зимних условиях, наблюдается частый выход их из строя за счет нарушения целостности остекления из-за неравномерности расширения освещенных и затемненных участков стекла.

Отмечается также большой процент выхода из строя коллекторов при транспортировке и монтаже.

Самым значительным недостатком работы любых систем с солнечными коллекторами является также неравномерность генерации тепла в течение года и суток, вынуждающая применять аккумуляторы тепла большого объема и стоимости

Опыт эксплуатации коллекторов в условиях Европы при высокой доле диффузной радиации (до 50%), показал невозможность создания круглогодичной автономной системы горячего водоснабжения и отопления. Все гелиосистемы с солнечными коллекторами в средних широтах требуют устройства больших по объему баков-аккумуляторов и включения в систему дополнительного источника энергии, что снижает экономический эффект от их применения. В связи с этим наиболее целесообразно их использование в районах с высокой средней интенсивностью солнечной радиации (не ниже 300 Вт/м2).

Для использования в средних широтах более перспективны солнечные системы с тепловыми насосами. Пример такой системы показан на рисунке 2.7.

Рис 2.7. Жидкостная двухконтурная комбинированная система солнечного отопления с плоскими коллекторами, тепловым насосом и двумя жидкостными теплоаккумуляторами:

- солнечные коллекторы; 2 - воздухосборник; 3 - низкотемпературный жидкостный теплоаккумулятор; 4 - испаритель теплового насоса; 5 - компрессор; 6 - дроссельный вентиль; 7 - высокотемпературный жидкостной теплоаккумулятор; 8 - конденсатор теплового насоса; 9 - дополнительный теплоисточник; 10 - вентиль; 11 - датчик температуры; 12 - отопительные приборы; 13 -циркуляционный насос.

.3 Конструкции солнечных коллекторов

 

Солнечные абсорберы

Солнечные абсорберы - низкотемпературные коллекторы.

Они состоят из тепловоспринимающей панели с каналами, по которым циркулирует теплоноситель (рис. 2.8.). Тепловоспринимающая панель не изолируется остеклением и теплоизоляцией с обратной стороны. В связи с этим отпадает необходимость в корпусе, что значительно снижает стоимость данной конструкции по сравнению с солнечными коллекторами. Теплоноситель подается с постоянной температурой на 3-5 °С ниже температуры окружающего воздуха. За счет этого возможно полезное использование не только прямой и рассеянной солнечной радиации, но и теплоты атмосферы. Возможна также утилизация части теплопотерь дома через ограждающие конструкции при совмещении с ними абсорбера. Наибольшее распространение такие конструкции получили для сезонного подогрева воды в бассейнах, их высокий К.П.Д. возможен только при очень малом перепаде температур и принудительной циркуляции воды.

Солнечные абсорберы фактически не имеют потерь тепла. Лишь 5-10% падающей на их поверхность солнечной радиации отражается от нее в зависимости от цвета и качества покрытия. Собственное тепловое излучение абсорбера на небосвод и окружающие поверхности также или отсутствует, или абсорбер сам воспринимает длинноволновое излучение небосвода и окружающих поверхностей. Абсорберы не требуют очистки от пыли, так как она увеличивает коэффициент поглощения солнечной радиации.

К устройству солнечных абсорберов предъявляются следующие требования: высокие поглотительные свойства поверхности за счет ее структуры, цвета, ориентации, высокие теплопроводность, долговечность, низкая стоимость. Поэтому их часто выполняют из фанеры или пластика, а также работающими без избыточного давления теплоносителя. Самые простые конструкции - наклонные поверхности по которым свободно стекает подогреваемая вода. Даже потери на испарение воды мало влияют на их эффективность.

Основной недостаток солнечных абсорберов - необходимость поддержания постоянно низкого температурного уровня теплоносителя, из-за чего невозможно его использование для отопления и горячего водоснабжения.

Рис 2.8. Солнечный абсорбер с трубами прямоугольного сечения:

- теплопоглощающий лист; 2 - сварной трубный регистр из труб прямоугольного сечения; 3 - присоединительные штуцеры; 4 - крепежные болты; 5 - скобы прямоугольного сечения; 6 - пластины.

Конструкции плоских коллекторов

Рис.2.9. Схемы абсорберов плоских жидкостных коллекторов:

а-труба в листе;б-соединение гафрированного и плоского листов;в- штампованный абсорбер;г-лист с приваренными прямоугольными каналами.

В качестве поглотителя солнечного излучения в коллекторе типа труба в листе (рис. 2.9., а) для жидкого теплоносителя используется ряд параллельных труб диаметром 12-15 мм, припаянных или приваренных сверху, снизу или в одной плоскости к металлическому листу и расположенных на расстоянии 50-150 мм друг от друга. Верхние и нижние концы этих труб присоединяются путем пайки или сварки к гидравлическим коллекторам. с ребрами (рис. 11,б) или гофрированного (рис. 2.9,в), из стеклянных пластин, наполовину зачерненных и наполовину прозрачных (рис.2.9.,г). В плоском КСЭ площадь «окна», через которое солнечная энергия попадает внутрь коллектора, равна площади лучепоглощающей поверхности, и поэтому плотность потока солнечной радиации не увеличивается. При использовании концентраторов,т.е.оптических устройств типа зеркал или линз, достигается повышение плотности потока солнечной энергии. Это имеет место в фокусирующих коллекторах солнечной энергии, требующих специального механизма для слежения за Солнцем. Зеркала - плоские, параболоидные или параболоцилиндрические - изготовляют из тонкого металлического листа,фольги или других материалов с высокой отражательной способностью.

Рис. 2.10. Концентраторы солнечной энергии:

а- параболоцилиндрический концентратор; б-фоклии; в-параболойдный концентратор; г-линза Фрекеля; д-поле гелиостатов с центральным приемником излучения: 1-отражатель, 2-приемник излучения.

Конструкции вакуумных коллекторов

Кроме описанных двух основных типов КСЭ - плоских и фокусирующих коллекторов - разработаны и используются стеклянные трубчатые вакуумированные коллекторы, представляющие собой комбинацию КСЭ и аккумулятора теплоты.

Возможны различные варианты конструктивного выполнения вакуумированных коллекторов. Некоторые из них показаны на рис.2.11. (в разрезе). Внутри стеклянной оболочки из высококачественного боросиликатного стекла диаметром 100-150 мм помещаются трубка для теплоносителя, лучепоглощающая поверхность, отражатель. Трубка может иметь U-образную форму (рис.2.11.а и в) или представляет собой тепловую трубу (рис.2.11.б и г). Внутреннее пространство оболочки вакуумировано. Отражатель может быть выполнен в виде фоклина (рис.2.11,в), может составлять часть оболочки (рис.2.11.,г) или находиться в виде полос на боковых стенках вакуумированных труб, используемых в качестве прозрачной изоляции (рис.2.11.,д). В конструкции, показанной на рис.2.11.,д, лучепоглощающая поверхность расположена под вакуумированными трубами и надежно соединена с трубками для нагреваемой жидкости, помещенными в теплоизоляцию. Обычно модуль коллектора включает ряд (до 10) стеклянных вакуумированных труб, присоединенных к общей трубе, по которой движется нагреваемая жидкость. Как правило, модуль помещается в теплоизолированный корпус. В конструктивном отношении слабым местом является узел соединений стеклянных и металлических деталей, имеющих различные коэффициенты линейного расширения при нагревании.

Итак, для повышения эффективности вакуумированных коллекторов используются селективные покрытия, отражатели и т. д. На внутреннюю поверхность верхней части стеклянной оболочки наносят покрытие, например из диоксида индия, обладающее хорошей отражательной способностью для теплового (инфракрасного) излучения и не влияющее на коэффициент пропускания.

Рис.2.12.. Поперечное сечение вакуумированных стеклянных трубчатых коллекторов

- стеклянная оболочка; 2 - трубка для нагреваемой жидкости; 3 - лучепоглощающая поверхность; 4 - отражатель; 5 - теплоизоляция

Глава 3. «Тепловое аккумулирование энергии»

.1 Энергетический баланс теплового аккумулятора

Тепловое аккумулирование - это физические или химические процессы, посредством которых происходит накопление тепла в тепловом аккумуляторе энергии (ТАЭ).

Аккумулятор состоит из резервуара для хранения (обычно теплоизолированного), аккумулирующей среды (рабочего тела), устройств для зарядки и разрядки и вспомогательного оборудования.

Аккумулирующая система характеризуется способами, которыми энергия для зарядки аккумулятора отбирается от источника, трансформируется (при необходимости) в требуемый вид энергии и отдается потребителю.

На рис. 3.1. показан процесс теплового аккумулирование с использованием сосуда-аккумулятора. Баланс энергии для этого процесса в общем виде можно записать

вх − Eвых = Eак,

где Eвх - подведенная энергия,вых - отведенная энергия,ак - аккумулированная энергия.

Рис 3.1.Энергетический баланс аккумулятора.

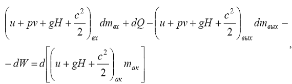
Применяя первый закон термодинамики для подведенной и отведенной энергии к этой открытой системе, получим основное уравнение аккумулирования энергии для открытых систем в дифференциальной форме:


где mак - масса аккумулирующей среды;- внутренняя энергия (отсчитываемая от произвольного нулевого уровня);- давление;- удельный объем;- ускорение силы тяжести;- высота (отсчитываемая от произвольного нулевого уровня);- удельная потенциальная энергия;скорость течения;удельная кинетическая энергия;- тепло, подведенное к системе;- работа системы, не зависящая от переноса массы (например, при движении стенок системы, электрическая энергия, энергия вала двигателя).

Исследование общего уравнения показывает, что аккумулирование энергии может осуществляться в результате изменения:

а) удельной внутренней энергии;

б) удельной потенциальной энергии;

в) удельной кинетической энергии;

г) массы системы.

К тепловому аккумулированию энергии обычно относят случай (а), а также случай (б), если удельная внутренняя энергия рабочего тела выше, чем окружающей среды.

Если накопление и кинетической, и потенциальной энергии исключено и если, кроме того, члены уравнения, соответствующие кинетической и потенциальной энергиям подводимой и отводимой масс, пренебрежимо малы, а работа ограничена движением поверхностей, ограничивающих систему, т. е. если


где Vак - объем аккумулятора;ак - давление в аккумуляторе,

то уравнение преобразуется к виду, справедливому для аккумулятора тепла:

= u + pv,

и, следовательно, энергетический баланс принимает вид:


Соответственно баланс массы запишется как:


Процессы зарядки и разрядки описываются в общем виде уравнениями, а в простых случаях возможно аналитическое решение. В других, более сложных случаях могут быть получены численные решения (в особенности это относится к процессу разрядки).

.2 Классификация аккумуляторов тепла

В соответствии с принятыми выше определениями и выводами можно провести классификацию аккумуляторов тепла.[15]

Аккумулирующая и теплообменная среды.

Прямое аккумулирование: аккумулирующей и теплообменной является одна и та же среда. Аккумулирующая среда может быть твердой, жидкой, газообразной или двухфазной (жидкость плюс газ).

Косвенное аккумулирование: энергия аккумулируется только посредством теплообмена (например, теплопроводностью через стенки резервуара) либо в результате массообмена специальной теплообменной среды в жидком, двухфазном или газообразном состоянии). Собственно аккумулирующая среда может быть твердой, жидкой или газообразной (процесс может протекать без фазового перехода, с фазовым переходом твердое тело - твердое тело, твердое тело - жидкость или жидкость - пар).Здесь теплообменная среда мало участвует в аккумуляции.

Полупрямое аккумулирование: процесс протекает как в предыдущем случае , за исключением того, что аккумулирующая емкость теплообменной среды играет более важную роль.

Сорбционное аккумулирование: в этом случае используется способность некоторых аккумулирующих сред абсорбировать газы с выделением тепла (и поглощением тепла при десорбции газа). Передача энергии может происходить непосредственно в форме тепла или с помощью газа

Масса аккумулирующей среды.

Постоянная масса. Обычно это случай косвенного аккумулирования. Однако может иметь место и прямое аккумулирование, если перемещаемая часть массы после охлаждения (при разрядке) или нагрева (при зарядке) полностью возвращается в аккумулятор ( вытеснительное аккумулирование).

На практике не применяются конструктивно сложные виды аккумуляторов, такие или пневматические, с тепловыми насосами и другие.

Наиболее приемлемы системы прямого и полупрямого аккумулирования в активных системах и косвенного в пассивных системах отопления.

.3 Системы аккумулирования тепловой энергии

Для выполнения своих функций аккумулирующая система должна иметь помимо аккумулирующих сосудов и их внутренних устройств также и внешнее оборудование. При тепловом аккумулировании для зарядки и разрядки могут понадобиться насосы, теплообменники, испарители, клапаны, трубопроводы.

Основные типы аккумуляторов:

·        Баки - аккумуляторы.

·        Солнечные бассейны.

·        С фазовым переходом

·        Гравийные и водо-воздушные

·        Монолитные стены.

Типичная схема активной системы теплоснабжения с тепловым аккумулированием энергии для получения горячей воды (рис. 3.2.) включает первичный контур на антифризе, теплообменник в нижней части аккумулирующего бака и дополнительный нагреватель в верхней его части. Так как эффективность солнечного коллектора снижается с увеличением разности температур первичного контура и окружающей среды, температуру первичного контура следует поддерживать на возможно более низком уровне. Для этого следует обеспечить небольшой перепад температур в теплообменнике, воспрепятствовать перемешиванию в баке и обеспечить подвод тепла только в самую холодную часть бака.[15]

Рис.3.2.Схема получения горячей воды для бытовых нужд с использованием солнечной энергии:

- солнечные коллекторы; 2 - первичный цикл (антифриз); 3 - циркуляционный насос; 4 - аккумулирующий бак; 5 - солнечный теплообменник; 6 - подача холодной воды; 7 - дополнительный нагреватель; 8 - линия подачи.

Баки - аккумуляторы

Выбор соотношения между размерами солнечного коллектора и бака-аккумулятора для кратковременного (горячая бытовая вода) и долговременного (обогрев) аккумулирования - интересная оптимизационная задача. Общий оптимум получается, когда оптимальны характеристики, как коллектора, так и аккумулятора. Удельные емкости аккумуляторов для кратковременного аккумулирования обычно составляют 50-100 кг воды на 1 м2 площади коллектора, а для долговременного аккумулирования в климатических условиях.

Центральной Европы необходимы значения удельной емкости 1000 кг/м2.

Солнечный бассейн, где коллектор и аккумулятор совмещены, является частным случаем аккумулирования с использованием горячего теплоносителя. Солнечная радиация поглощается донной поверхностью бассейна. В теплоносителе создается и поддерживается градиент концентрации соли (концентрация увеличивается с глубиной) между верхним конвективным слоем (под действием ветра) и нижним конвективным слоем (в результате отвода тепла). Благодаря этому конвекция и связанный с ней теплоотвод к поверхности подавляются, и слой толщиной ~ 1 м, в котором нет конвекции, служит тепловой изоляцией.

Таким способом можно достичь температуры воды 100°С, а 90°С является обычным расчетным значением в зонах с жарким климатом.

Рис.3.3. Схема солнечного бассейна с градиентом концентрации соли:

-поверхностный слой воды; 2 - поверхность земли; 3 - выход горячего соляного раствора к потребителю тепла или к теплообменнику; 4 - конвективная (аккумулирующая) область; 5 -возврат холодного соляного раствора; 6 - неконвективный (изолирующий) слой.

Аккумуляторы с фазовым переходом.

Были предложены и разработаны системы аккумулирования на основе использования теплоты фазового перехода для зарядки и разрядки воздухом (рис. 3.4.) или водой (рис 3.5.).

На рис. 3.4. показан вариант теплообменника с оребренными кольцевыми каналами с раздельными контурами зарядной и разрядной сред. Таким образом, теплообменник позволяет проводить одновременно зарядку и разрядку. Каждый теплообменный элемент состоит из внутренней и наружной трубок, тепловой контакт между которыми обеспечивается продольными ребрами из материала с хорошей теплопроводностью (например, алюминия). Кольцевое пространство между ребрами заполнено материалом, аккумулирующим энергию фазового перехода (равную теплоте плавления). В этом варианте система теплового аккумулирования работает как гибридный аккумулятор, в котором используются теплота фазового перехода и теплота нагрева рабочего тела.

Рис.3.4. Блок энергоаккумулирующих стержней с 2400 кг СаСl2·6H2O (Tф=27,2°С) в полиэтиленовых цилиндрах для отопления квартиры.

Рис.3.5.Агрегат CALMAC для аккумулирования теплоты фазового перехода на Na2S2O3-5H2O или MgCl2-6H2O:

- съемная крышка; 2 - двигатель для перемешивания; 3 - вход воды; 4 - гидрат соли; 5 - пластиковый теплообменник; 6 - бак; 7 - выход воды.

Рис.3.6. Теплообменник с оребренными кольцевыми каналами для аккумулирования энергии с использованием теплоты фазового перехода:

- элемент теплообменного блока: 2 - термоаккумулирующее вещество; 3 - продольное ребро; 4 - горячий теплоноситель; 5 - резервуар (кожух); 5 - холодный теплоноситель для разрядки.

Гравийные аккумуляторы

Галечный аккумулятор теплоты (рис. 3.7.). В солнечных воздушных системах теплоснабжения обычно применяются галечные аккумуляторы теплоты, представляющие собой емкости круглого или прямоугольного сечения, содержащие гальку размером 20-50 мм в виде насадки из плотного слоя частиц. Аккумуляторы этого типа обладают рядом достоинств, но по сравнению с водяным аккумулятором в этом случае требуется больший объем. Галечный аккумулятор может располагаться вертикально или горизонтально.

Горячий воздух, поступающий днем из солнечной коллектора в аккумулятор, отдает гальке свою теплоту и таким образом происходит зарядка аккумулятора. При разрядке аккумулятора ночью или в ненастную погоду воздух движется в обратном направлении и отводит теп лоту к потребителю.

При одинаковой энергоемкости объем галечного акккумулятора теплоты в 3 раза больше объема водяного бака-аккумулятора

Рис.3.7.Общий вид галечного аккумулятора:

-крышка, 2-бункер, 3-бетонный блок, 4-теплоизоляция, 5-сетка, 6-галька

Мнолитные стены используются преимущественно в системах пассивного отопления и рассмотрены ниже.

Глава 4 «Системы пассивного отопления»

.1 «Солнечный дом»

В использовании Солнца в качестве источника теплоты нет ничего нового. Еще 2400 лет тому назад Сократ писал: «Сейчас в домах с видом на юг солнечные лучи проникают в галереи зимой, а летом путь солнца лежит над нашими головами и выше крыш так, что имеется тень. Если это наилучшее устройство, то мы должны будем строить южный фасад дома более высоким, чтобы в дом поступали лучи зимнего солнца и северный фасад более низким, чтобы защитить дом от зимних ветров».

В то время как Греческий дом, описанный Сократом, терял тепло так же быстро, как и собирал из-за конвективных и радиационных потерь, римляне обнаружили что если портик (галерею) и окна южной ориентации остеклить, то солнечная энергия будет уловлена и можно будет сохранить полученное тепло на ночной период времени. Этот простой феномен получил название «тепличный эффект». Сегодня дом, в котором используется эффект теплицы для отопления, мы называем «пассивным солнечным домом».[16]

Существует общее эмпирическое правило, согласно которому грамотно спроектированный пассивный солнечный дом в сравнении с традиционно спроектированным домом той же площади поможет снизить затраты на отопление на 50-75% при удорожании строительства всего лишь на 25...10%.

Характеристики пассивного солнечного дома

Пассивный солнечный дом имеет некоторые отличительные проектные особенности:

·   В северном полушарии значительная часть его окон ориентирована на юг (в южном - на север). Солнечная радиация, главным образом видимая часть солнечного спектра, проникает через ориентированное на солнце остекление окон дома или теплицы и поглощается поверхностями материалов, находящихся внутри теплоизолированной оболочки дома. Поскольку эти нагретые поверхности вторично излучают энергию в интерьер дома, температура воздуха в нем повышается, но теплота не проникает назад через остекление.

·        В идеале, внутренние поверхности - материалы высокой плотности: бетон, кирпич, камень, саман. Эти материалы из-за эффекта тепловой инерции (способность поглощать энергию и отдавать ее через какое-то время) могут запасать тепловую энергию для постоянного медленного ее излучения, снижая температурные колебания в здании и вероятность перегрева внутреннего воздуха. Таким образом, значительную часть отопительной нагрузки зданий может нести солнечная энергия.

·        В ранних пассивных солнечных зданиях, всячески стремились уменьшить площади восточных, западных и северных окон дома в противовес увеличению площади окон южной ориентации. Это все еще общее эмпирическое правило, но появление теплопоглощающих и теплоотражающих пленок, располагаемых с разных сторон остекления окна, позволило проектировщикам и строителям снизить жесткость требований этого правила. Это хорошая новость для мест, в которых есть красивый вид на окружающую природу не только в южном направлении. Западные окна - источник перегрева в летнее время, и летом должны быть обязательно затенены. Вообще, план дома с удлинением по оси запад-восток и оптимизированным фасадом южной ориентации будет самым лучшим для пассивного солнечного дома.

·        Пассивные солнечные дома должны быть хорошо теплоизолированы и иметь незначительные вентиляционные потери для сохранения солнечного тепла в пределах оболочки здания.

·        Поскольку требования в отношении дополнительных источников тепла в пассивном солнечном доме существенно уменьшены по сравнению с обычным домом, то дровяные печи часто являются оптимальным выбором для системы вспомогательного отопления на длительные облачные периоды.

·        Пассивные солнечные дома часто имеют открытую планировку (общее пространство) для облегчения термосифонного эффекта в перемещении солнечного тепла от южного фасада через весь дом. Для распределения теплого воздуха в зданиях с многими комнатами иногда используются небольшие вентиляторы и воздуховоды.[17]

Пассивные солнечные концепции

Прямой солнечный обогрев

Имеются 2 основных пути получения пассивными солнечными домами солнечной энергии, прямой и косвенный обогрев.

Дома с прямым обогревом, считающиеся простейшими типами, обогреваются через окна южной ориентации, называющиеся солнечными окнами. Они могут быть в виде традиционных открывающихся или глухих окон южного фасада дома или стандартными изолирующими стеклянными панелями в стене теплицы или солярия. В то время, когда часть теплоты используется немедленно, стены, полы, потолки и мебель запасают избыточную теплоту, излучающуюся в пространство днем и ночью. Во всех случаях эффективность системы и комфорт помещения с прямым обогревом возрастут при увеличении термической массы (бетон, бетонные блоки, кирпичи), размещенной в пределах этого помещения.

Обычно эту систему подразделяют на системы:

·   прямого солнечного обогрева жилых помещений через окна южной ориентации

·   обогрева изолированного объема, т.е. теплицы.

Предпочтительно располагать термическую массу на пути лучей прямого солнечного света (радиационный нагрев), но масса, размещенная за его пределами (нагрев конвекцией воздуха) также важна для общей эффективности системы. Теплоаккумулирующая масса в 4 раза эффективнее в том случае, когда она находится на пути лучей прямого солнечного света и передает свое тепло конвекционным потокам воздуха нежели тогда, когда она лишь нагревается конвекционными потоками. Рекомендуемое соотношение между площадями поверхности теплоаккумулирующей массы и остекления южной ориентации 6:1. Вообще, комфорт и эффективность системы солнечного отопления увеличиваются с увеличением термической массы и для ее количества нет никакого верхнего предела.

Покрытия, расположенные поверх термической массы из таких материалов, как: ковры, пробка, древесноволокнистая плита будут эффективно изолировать термическую массу от поступающей солнечной энергии, затрудняя ее аккумулирование. Такие материалы, как: керамические плитки для пола или кирпич являются значительно лучшим выбором для покрытия пола, на который падает поток прямого солнечного излучения. Плитки должны быть уложены на цементный раствор для полного термического контакта с основанием, а не наклеены точечно.

В термической массе, на которую падает прямое солнечное излучение, основное значение имеет площадь поверхности, поэтому тонкие теплоаккумулирующие плиты эффективнее толстых. Наиболее эффективная толщина для бетонной теплоаккумулирующей плиты - 100 мм, увеличение толщины более 150 мм является бессмысленным в более жарком климате.

Наиболее эффективно расположение термической массы между двумя помещениями, в которые поступает прямое солнечное излучение, т.к. в этом случае теплоаккумулирующая стена поглощает солнечное тепло обеими поверхностями.

Внутренние теплоаккумулирующие стены, ориентированные по оси север-юг и находящиеся между помещениями, в которые поступает прямое солнечное излучение (а), и по оси запад-восток, между теплицей, в которую поступает прямое солнечное излучение и расположенным к северу от нее помещением с клересторием (окнами верхнего света) (б).

Предметы с незначительной массой и поверхности, покрытые материалами с низкой плотностью, должны иметь светлую окраску для отражения солнечного излучения на материалы с высокой плотностью. Если более половины площади стен в пространстве, куда поступает прямое солнечное излучение, имеют большую массу, то они должны быть светлых тонов. Если теплоаккумулирующая масса сконцентрирована в единственной стене, то эта стена должна иметь темную окраску, но если ее поверхность ориентирована таким образом, что на нее падает солнечный свет ранним утром, то окраска ее должна быть светлой, чтобы рассеять свет и теплоту в остальную часть помещения. Массивные полы должны иметь темную окраску для аккумулирования теплоты. Клересторий должен быть расположен таким образом, чтобы обеспечить максимально равномерное освещение на всю глубину помещения. Если же клересторий освещает только верхнюю часть помещения, то окраска стен должна быть настолько светлой, чтобы рассеять свет и теплоту по всей площади помещения.

В холодном климате перемещаемая теплоизоляция в виде драпировок, панелей, внутренних ставней, объемных штор часто используется для снижения теплопотерь через остекление в холодные зимние ночи. В связи с тем, что значительное количество солнечного света отражается летом от ориентированного на юг вертикального остекления, то приток тепла не столь велик в летнее время и консольные затеняющие карнизы не настолько необходимы, как считали ранние пассивные солнечные проектировщики. В жарком климате карнизы и наружно устанавливаемые жалюзи необходимы.

В связи с тем, что через остекление сохраняется хорошая видимость, эта методика наиболее приемлема там, где существуют приятные виды на окружающую природу через остекление южной ориентации. Некоторым людям неприятен ослепительный солнечный свет, присутствующий в помещениях с прямым солнечным обогревом, кроме того, он приводит к выцветанию обивочных и драпировочных тканей. Проблемой также является то, что если жильцы дома могут видеть все, что происходит снаружи, то и снаружи виден весь интерьер жилища.

Помимо обеспечения теплом в зимнее время, хорошо спроектированный пассивный солнечный дом должен создавать прохладу и хорошую вентиляцию летом. Существует устойчивый миф, распространяемый через средства массовой информации и идущий от проектов некоторых первых ранних пассивных солнечных домов, что перегрев в летнее время вообще характерен для зданий этого типа.

Косвенный солнечный обогрев

Еще одним типом пассивного солнечного дома является дом с косвенным обогревом, в котором энергия улавливается и запасается в одной зоне дома и используется естественное перемещение теплоты для нагревания остальных зон дома. Один из наиболее изобретательных проектов косвенного обогрева использует теплоаккумулирующую стену или стену Тромба, расположенную на расстоянии 75...100 мм от остекления южной ориентации. Названная по имени ее французского изобретателя Феликса Тромба стена возводится из материалов высокой плотности: камень, кирпич, кирпич-сырец ,наполненные водой контейнеры и окрашена в темные тона (черный, темно-красный, коричневый, фиолетовый или зеленый) для более эффективного поглощения солнечной радиации.

Некоторые проектировщики используют материалы с селективной поверхностью (хромированную медную или алюминиевую фольгу), позволяющие увеличить поглощательную способность стены до 90% по сравнению с 60% для окрашенной поверхности. Эти материалы помогают стене Тромба поглощать радиационную теплоту и в значительной степени снижать количество теплоты, теряющейся посредством излучения в окружающую среду в ночное время. Краска может наноситься кистью или распылителем и по своим характеристикам превосходит черную сажу на 10...20%.

Теплота, собранная и аккумулированная в стене в течение дня, может затем медленно излучаться в помещение почти сутки. Стена Тромба обеспечивает эффективное солнечное отопление без повреждения ультрафиолетовым излучением обивочных и драпировочных тканей и деревянной отделки в отличие от домов с системой прямого солнечного обогрева. Стены Тромба также обеспечивают визуальную защиту там, где это необходимо.

Рекомендуются следующие размеры стены Тромба:

«В холодном климате (средняя зимняя температура -7...-1°С) следует применять для стены Тромба двойное остекление южного фасада и каменную теплоаккумулирующую стену с площадью поверхности 40...100% или стену из контейнеров с водой с площадью поверхности 30...70% от площади пола жилого помещения.

В умеренном климате (средняя зимняя температура (2...7°С) следует применять каменную теплоаккумулирующую стену с площадью поверхности 20...70% или стену из контейнеров с водой с площадью поверхности 15...45% от площади пола жилого помещения.»

 

4.2 Солнечные теплицы

солнечный излучение отопление биомасса

Архитекторы и строители выяснили, что двухсветная теплица, пристроенная к дому, с открывающимися вентиляционными окнами в верхней части и вблизи пола, способна обеспечить естественную вентиляцию дома в течение всего лета. Через открытые в солнечный день верхние вентиляционные окна, поднимающаяся масса нагретого воздуха, выходит наружу и из-за понижения атмосферного давления в теплицу засасывается прохладный воздух через нижние вентиляционные окна или через смежные с теплицей окна помещений дома. Названный «эффектом дымовой трубы» этот принцип может также поддерживать прохладу в пассивном солнечном доме в летнее время без использования вентиляторов или кондиционеров.

Затеняющие устройства, смонтированные на южном фасаде дома, также могут защитить от перегрева в летнее время. Опускающиеся затенения или парусиновые навесы с наружной стороны окон южной ориентации, солярия, стен Тромба могут значительно снизить теплопоступления. Лиственные деревья и кусты, посаженные таким образом, чтобы затенить остекление южной ориентации, могут также создавать микроклимат, позволяющий понизить температуру на несколько градусов. После того, как осенью листья опадут, излучение зимнего солнца будет беспрепятственно проникать в дом

Исследования, проведенные в последние годы доказывают, что в холодных районах высаживать деревья и кусты перед южным фасадом все же не следует, т.к. в зимнее время ветви заметно снижают поступление солнечной энергии.[16]

Теплицы солнечного обогрева

Для отопления прямым солнечным обогревом весьма широко используется теплица. Для многих домовладельцев теплица с красивыми видами, открывающимися из нее, является любимым помещением в доме. Теплица может, если должным образом спроектирована и расположена, обеспечить до 50% потребностей дома в отоплении. В этом случае жилые помещения (в том числе и спальни) лучше всего расположить в южной части дома (сделать их смежными с теплицей), а с северной стороны дома расположить помещения не требующие много тепла (подсобные помещения). В крупных зданиях для освещения северных комнат можно применить клересторий.

Продовольственная теплица/оранжерея

Оранжерея, например, должна в первую очередь являться комфортабельным и здоровым помещением для растений. Растения нуждаются в свежем воздухе, воде, большом количестве света и защите от экстремальных температур. Оранжереи потребляют значительное количество энергии при испарении воды. 1 литр испарившейся воды - это потеря около 2,32 МДж энергии, которая могла бы быть использована для отопления.

Для укрепления здоровья и освобождения от насекомых и болезней растения нуждаются в адекватной вентиляции, даже зимой. Имеются системы кондиционирования воздуха типа воздухо-воздушных теплообменников, которые вентилируют помещение без значительных потерь теплоты, но они заметно увеличивают стоимость проекта. Световые требования к помещению для выращивания растений - верхнее остекление, усложняющее строительство и обслуживание, и остекление торцевых стен, увеличивающее потери тепла.

Будут существовать некоторые экономические выгоды от выращивания овощей и конечно много можно говорить о получении удовлетворения от вида помещения, пристроенного к дому, полного здоровых растений. Тем не менее, теплица, спроектированная как идеальная садоводческая среда, не даст достаточно энергии для использования ее в качестве дополнительного источника отопления помещений дома.

Теплица как коллектор солнечного отопления

Если задача теплицы - улавливание солнечного тепла и распространение его в смежные с теплицей жилые помещения, то Вы стоите перед выбором различных проектных критериев. Максимальная эффективность будет достигнута с наклонным остеклением, незначительным количеством растений, и теплоизолированными незастекленными торцевыми стенами.

Помните, что получите большее количество поступления полезной теплоты в жилые помещения, если в теплице отсутствуют растения и, соответственно, поглощение большого количества теплоты. Нагретый солнцем воздух может быть перемещен в дом через двери или открытые окна в смежной с теплицей стене, а также передан по воздуховоду в более отдаленные области.

Теплица как жилое помещение

Если теплица будет являться жилым помещением, то должен будет рассматриваться комфорт, удобство и свободу пространства в дополнение к энергетической эффективности. Комната, в которой планируется жить, должна быть теплой зимой, прохладной летом, иметь невысокую контрастность освещения и умеренную влажность.

Вертикальное остекление - выбор значительного числа проектировщиков по разным причинам. Прежде всего, хотя наклонное остекление улавливает большее количество теплоты, но зимой оно также и теряет большее количество этой теплоты в ночное время, что сводит на нет получение дневного тепла. Применение наклонного остекления может также привести к перегреву в более теплую погоду, обычно весной и осенью, когда Вы не нуждаетесь в отоплении.

Вертикальное остекление южной стены намного более соответствует требованиям отопительной нагрузки. Оно эффективно зимой, когда солнце находится низко над горизонтом и позволяет уменьшить поступление солнечного тепла, когда солнце находится вблизи зенита в летнее время. Хорошо спроектированный карниз над южным остеклением - может быть все, что необходимо, чтобы затенить его от солнечных лучей, когда помещение не нуждается в дополнительном теплопоступлении. Вертикальное остекление также более дешевое и более простое в монтаже и изоляции, и не склонно к протечкам, конденсату и поломкам.

Теплица, разработанная для проживания, требует тщательного размещения термической массы, специальные меры должны быть приняты для того, чтобы прямые солнечные лучи не падали на эту теплоаккумулирующую массу. Каменный пол, покрытый коврами и мебелью, очевидно не столь эффективная термическая масса как каменная кладка, находящаяся на пути прямых солнечных лучей.

Когда солнце садится, те же самые окна, что улавливали теплоту в течение всего дня начинают излучать полученную теплоту в окружающее пространство. Для минимизации ночных потерь теплоты и повышения комфорта (человеческое тело тоже излучает теплоту в направлении холодных поверхностей) можно захотеть включить в проект подвижную теплоизоляцию окна или решить вопрос с установкой стеклопакетов, имеющих минимальные тепловые потери.

Основные принципы проектирования теплицы

Остекление.

Идеальная ориентация для остекления теплицы - строго на юг, хотя отклонение до 30° к западу или востоку вполне допустимо. Для получения максимального количества солнечного теплопоступления стекло должно быть наклонено под углом 50...60° к горизонту. Многие проектировщики в их проектной стратегии предпочитают вертикальное остекление или комбинацию вертикального и наклонного остекления.

Вертикальное остекление южной ориентации имеет преимущество перед наклонным остеклением, т.к. с ним проще защититься от протечек и от высоко стоящего летнего солнца, но его зимние характеристики на 10...30% хуже, чем у наклонного остекления при той же площади. Эффективность помещения, в котором скомбинированы вертикальное остекление и остекление крыши, выше, чем помещения, в котором остеклена лишь южная стена.

В районах с постоянным зимним снеговым покровом вертикальное остекление может оказаться более эффективным за счет высокой отражательной способности снега.

Аккумулирование тепла

Если глубина теплицы больше ее высоты, само пространство уловит излучение, если цвета поверхностей, на которые падает свет, приемлемы. Иными словами, поверхности теплоаккумулирующих материалов (термическая масса) должны быть темных тонов для поглощения по крайней мере 70% энергии падающего на них солнечного света. Чтобы дать некоторое понятие об относительном коэффициенте поглощения света поверхностями различных цветов следует сказать, что сажа имеет коэффициент поглощения около 95%, поверхность темно-синего цвета около 90% и поверхность темно-красного цвета приблизительно 86%. Материалы, не используемые для аккумулирования тепла должны быть светлых тонов для того, чтобы отражать свет на термическую массу, не расположенную на пути лучей прямого солнечного излучения.

Пол, северная стена, восточная и западная боковые стены - хорошее место для теплоаккумулирующей массы. В них должны быть применены материалы с высокой теплопроводностью: бетон, вода, кирпич. Пенобетон не приемлем в качестве теплоаккумулирующего материала, а бетон наиболее эффективен при толщине от 100 до 150 мм. При использовании пустотелых бетонных (цокольных) блоков все пустоты должны быть залиты цементным раствором.

Если каменный пол и массивные стены - единственные материалы, аккумулирующие тепло в помещении, 3 м2поверхности каменной кладки на 1 м2южного остекления - рекомендуемое соотношение. Если вода в контейнерах - единственная использующаяся теплоаккумулирующая среда, рекомендуемое отношение - 14 л воды на 1 м2остекления.

Увеличение массы стабилизирует внутренние температуры, делая помещение удобнее для людей и растений. Общая стратегия состоит в том, чтобы использовать от 100 до 150 мм неизолированной каменной стены в качестве северной стены теплицы. Стена остается неизолированной для того, чтобы теплота из теплицы могла проходить через нее во внутренние помещения дома.

Сохранение тепла. Использование подвижной наружной или внутренней изоляции.

Если теплица должна использоваться для выращивания растений или в качестве жилого помещения, то рекомендуется как минимум двойное остекление. В случае применения однослойного остекления потери теплоты в ночное время весьма велики, что делает помещение некомфортабельным для пребывания людей и растений. Подвижная теплоизоляция или система остекления с более высоким термическим сопротивлением значительно улучшат характеристику остекления.

Любой из этих методов увеличивает стоимость проекта, а очевидное неудобство подвижной изоляции заключается в том, что кто-то должен перемещать ее ежедневно, и некоторые проектировщики отказываются по этой причине ее использовать. С другой стороны, существует возможность управления теплоизоляцией автоматически с использованием электродвигателей и термостатов, и теплоизоляция может создавать закрытость, летнее затенение, повышать комфорт в холодные зимние ночи.

Распределение тепла

Для распределения нагретого воздуха из теплицы в другие помещения дома вентиляционные отверстия размещены в стене, разделяющей теплицу и остальные помещения дома. Теплота передается термосифонной циркуляцией воздуха. Нагретый воздух поднимается к потолку теплицы, проходит в смежное помещение через верхние вентиляционные отверстия, а прохладный воздух из смежного помещения всасывается в теплицу через нижние вентиляционные отверстия для нагревания и повторения цикла.

Если отверстия являются просто открытыми дверями между теплицей и домом высотой 2 м, то рекомендуемая минимальная площадь 0,08 м2 двери на 1 м2 остекления теплицы. Если используются отверстия в верхней и нижней части смежной стены с расстоянием между ними 2,4 м, то рекомендуемая минимальная площадь отверстий - 0,025 м2на 1 м2остекления теплицы.

Средства управления

Воздух в теплице может сильно перегреться если система вентиляции была спроектирована неправильно. Результат - мертвые растения и непригодное для проживания помещение. Было упомянуто, что перегрев наиболее вероятен в конце лета или ранней весной, когда солнце уже невысоко на небосводе, а температура наружного воздуха все еще высока в течение дня.

Вентиляционные проемы размещены в верхней части теплицы, где температура самая высокая, и в нижней ее части, где температура самая низкая, для создания эффекта «дымовой трубы». Электодвигатели, управляемые термостатом, могут быть установлены для открывания вентиляционных проемов автоматически, если никого не будет дома, чтобы открыть их.

Площадь этих вентиляционных проемов должна быть достаточно большой.

Площадь вентиляционных проемов зависит от:

·      угла наклона стекла;

·              расстояния между верхними и нижними вентиляционными проемами;

·              допустимой внутренней температуры;

·              мощности двигателя вентилятора в случае применения принудительной вентиляции.

·              Рекомендуется иметь регулируемые в ручную или автоматически вентиляционные проемы площадью порядка 10-20% общей площади остекления.

.3 Другие применения солнечного тепла

На протяжении столетий человек использовал тепловое действие солнечных лучей в различных областях своей деятельности, многие из которых имеют важное экономическое и социальное значение в развитии общества. Например, для получения соли путем выпаривания ее из морской воды или сушки таких пищевых продуктов, как фрукты и рыба. Обычно подобные заготовки носят сезонный характер. Удаление воды из пищевых продуктов предотвращает размножение в них бактерий и позволяет сохранить их в течение года.

Сушка на солнце происходит медленно, и это ограничивает производительность таких процессов, как получение соли, заготовка дров, каучука и т.п. Ускорение сушки позволяет повысить эффективность перечисленных процессов. Проводятся поиски возможных путей повышения эффективности сушки за счет более рационального размещения обезвоживаемых предметов на солнце и лучшего использования солнечной энергии. Примером подобного исследования может служить работа, проведенная в Национальной физической лаборатории Индии. Было показано, что с помощью простейших солнечных концентраторов можно существенно ускорить процесс сушки пальмовых листьев и сахарного тростника, которые используются сельскими жителями в качестве топлива и для получения сахара.

Солнечные кухни

Солнечное излучение также используется и для приготовления пищи. Один из вариантов конструкции солнечной печи показан на рис.4.6. Такая простая печь быстро нагревается и позволяет приготовить пищу за несколько часов. Затраты энергии на приготовление пищи (около 300 Вт-ч/кг) обычно не превышают количества энергии идущей на нагревание самой печи. Если печь защищена от ветра, равновесная температура устанавливается в ней в течение часа. Для более быстрого приготовления пищи и осуществления таких требующих высокой температуры процессов, как, например, жарение, солнечные печи снабжаются параболическими рефлекторами. Конструкции, подобные изображенным на рис.4.7., с диаметром зеркала около 1,5 м испытывали в различных частях земного шара. Эффективный коэффициент концентрации таких систем с краевым углом 30° (даже при плохо обработанной поверхности зеркала) достигает 500-1000. В тропических условиях мощность, получаемая в фокусе такого устройства, составляет 0,5- 11,0 кВт. Тень, отбрасываемая на зеркало сосудом для приготовления пищи диаметром около 15 см, весьма незначительна, но, тем не менее, несколько раз в течение часа необходимо регулировать положение зеркала относительно солнца.[17]

4.4 Солнечные опреснительные установки

Во многих богатых солнцем районах земного шара люди испытывают недостаток пресной воды. И не удивительно, что издавна солнечную энергию здесь использовали для получения питьевой воды из загрязненных или соленых источников. Хорошо известна конструкция опреснителя, включаемая в аварийное снаряжение летчиков и моряков многих государств - плавающая пластмассовая установка.

Но в большинстве случаев это разнообразные стационарные устройства различной степени сложности и размеров.

На рис.4.8. показана одна из простейших систем подобного назначения. Предназначенная для очистки вода набирается в поддон, расположенный в нижней части устройства, где она нагревается за счет поглощения солнечной энергии. Поверхность под дона обычно чернят, так как вода почти беспрепятственно пропускает коротковолновую часть солнечного излучения. С повышением температуры движение молекул воды становится более интенсивным и часть из них испаряется. Насыщенный водяными парами воздушный поток поднимается вверх, охлаждается; соприкасаясь с поверхностью прозрачного покрытия, пары частично конденсируются, а образовавшиеся капли стекают по покрытию вниз. Охлажденный воздух вновь опускается к поверхности воды, замыкая цикл конвективного движения.

Рис.4.8. Простой солнечный опреснитель

Для повышения эффективности системы необходимо, чтобы при конденсации на поверхности покрытия образовывалась водная пленка, так как при конденсации воды в виде капель значительная часть падающей на поверхность покрытия солнечной радиации отражается ими; даже при сравнительно больших, углах наклона поверхности, когда вода довольно быстро стекает, примерно половина всей поверхности покрытия занята каплями воды. На тщательно очищенной от следов жира стеклянной поверхности обычно образуется пленка воды, тогда как почти на всех, даже более чистых пластмассовых поверхностях сконденсированная вода выпадает в виде капель. На некоторых новых пластических материалах возможна пленочная конденсация воды, но такие материалы вследствие высокой стоимости (приближающейся к стоимости стекла) для рассматриваемых целей малопригодны.

Очевидно, что производительность такой солнечной опреснительной установки меняется в течение дня в соответствии с изменением интенсивности солнечной радиации Р.

При очень мелком поддоне скорость получения питьевой воды в любой момент времени зависит только от величины Р.

При глубоком поддоне температура воды устанавливается лишь через несколько дней, и в дальнейшем питьевую воду можно получать непрерывно на протяжении суток. Для этого необходимо, чтобы количество воды в таком резервуаре во много раз превышало дневную производительность установки, например 100 кг/м2 при глубине около 10 см.

Глава 5 «Биоэнергетика»

.1 Понятие биоэнергии

Биоэнергия была самой распространенной формой энергии до тех пор, пока человечество не начало использовать гидроэнергию и энергию невозобновляемых источников. Выбросы углекислого газа от сжигания биотоплива не изменяют содержания углекислого газа в атмосфере до тех пор, пока сжигаемое количество не превышает ежегодный прирост биомассы. Это происходит потому, что деревья и растения потребляют углекислый газ для своего роста.

Зеленые листья улавливают солнечное излучение в процессе фотосинтеза с помощью особого зеленого вещества - хлорофилла. В результате фотосинтеза из простых химических веществ - углекислого газа и воды - синтезируются органические вещества и выделяется кислород.

Несмотря на кажущуюся простоту фотосинтеза, на Земле, пожалуй, нет более удивительного процесса, который смог бы в такой степени преобразовать нашу планету. Фотосинтез - энергетическая основа биологических процессов. Энергия при фотосинтезе образуется в очень удобной для биологического использования форме - молекулярной, в виде богатых энергией химических связей в сахарах, белках, жирах, которые в любой момент могут быть использованы растениями для роста, а затем и съевшими эти растения животными или людьми. Именно благодаря фотосинтезу солнечная энергия может быть запасена на миллионы лет (при образовании нефти, газа, угля, торфа). Практически вся живая материя на Земле представляет собой прямой или отдаленный результат фотосинтетической деятельности растений.

Масштабы фотосинтетического преобразования солнечной энергии огромны. Общее потребление энергии в мировом масштабе составляет только 10% всей энергии, запасаемой за год благодаря фотосинтезу! Оберегая от вырубки леса - легкие нашей планеты, мы сохраняем и преумножаем результаты фотосинтетического труда миллиардов растений, а с ними - жизнь на Земле. Запасенная через фотосинтез в биомассе солнечная энергия сама может служить потом источником энергии. Обычно это тепловая энергия. Но из биомассы можно производить и электроэнергию, жидкое топливо и водород.

Приведем примеры самых важных источников биомассы:

•отходы лесной и деревообрабатывающей промышленности;

•отходы целлюлозно-бумажной промышленности;

• биологические отходы в сельском хозяйстве;

• сельскохозяйственные технические культуры (рапс и др. );

• органические бытовые и промышленные отходы;

• сточные воды.

Распространенными источниками биомассы являются отходы бумажной и деревообрабатывающей промышленности, санитарная вырубка лесов.

Общий прирост биомассы на Земле достигает 130 миллиардов тонн сухого вещества в год. Это соответствует 660 000 ТВт•ч в год. Мировое потребление биоэнергии составляет 15000 ТВт•ч в год, это примерно 15% мирового энергопотребления. Для половины на селения мира биомасса является основным энергоисточником[19].

Возможности для роста потребления биоэнергии велики, частично путем увеличения производства и использования биомассы, частично путем улучшения энергопроизводства. Но увеличение потребления биомассы в производстве энергии может вступить в противоречие с необходимостью увеличения использования биомассы в производстве продуктов питания для растущего населения Земли.

Самый старый способ преобразования биомассы в биоэнергию - сжигание древесины. 70% населения развивающихся стран используют древесину как источник энергии. Средний расход древесины для производства энергии в этих странах составляет примерно 700 кг в год на одного человека.

Сжигание более половины вырубаемой древесины сжигается для получения тепла. Часто для этого используются старые печи, которые выбрасывают загрязняющие вещества в окружающую среду. Если использовать новые конструкции печей с катализаторами, нейтрализующими вредные вещества, загрязнение окружающей среды можно намного уменьшить.

Пиролиз - это разложение органических веществ без доступа воздуха при высокой температуре. Пиролиз древесины происходит при 450 - 500 °С. Продуктами пиролиза являются древесный уголь и горючие газы (метан, оксид углерода). Именно эти продукты используют как топливо для обогрева и как сырье в некоторых отраслях промышленности. Продукты пиролиза намного удобнее в применении, чем твердая биомасса, однако эта технология экологически грязная, так как требуется утилизация всех подобных продуктов пиролиза.

Отходы сельскохозяйственного производства

Даже навоз может служить источником энергии! Как топливо используют не только навоз, но и продукты его переработки. Перерабатывают навоз чаще совместно с отходами коммунального хозяйства. Дело в том, что оба вида биомассы содержат микроорганизмы, которые в определенных условиях (в частности, при температуре 50 - 60 °С, без доступа воздуха) разлагают органические вещества до биогаза. Этот процесс обязательно происходит с участием особых веществ - ферментов - и поэтому называется ферментацией. Основной составляющей биогаза является метан, при сгорании которого выделяется тепло. Установки для ферментации навоза очень удобно использовать на фермах, полностью обеспечивая их потребности в энергии. [8]

Это очень экономичная технология.

Производство биотоплива для транспорта: этанол, биодизель.

В Бразилии и США выполняются самые крупные в мире программы производства этилового спирта из биомассы. В Бразилии из сахарного тростника, выращенного специально для этих целей, производится столько этилового спирта, что это покрывает около половины потребностей страны в автомобильном топливе. Большинство автомобилей работает на спиртобензиновой смеси, содержащей 20% спирта, хотя некоторые используют как топливо чистый этиловый спирт. Использование спиртосодержащего топлива в автомобильных двигателях вместо бензина снижает загрязнение атмосферы выхлопными газами. В Европе использование спиртосодержащего топлива очень перспективно, потому что здесь образуются огромные отходы сельскохозяйственного производства и излишки сельскохозяйственной продукции, которые можно использовать для производства такого топлива.

Преимущества биоэнергии

•Биоэнергия - возобновляемая энергия.

Биоэнергия не увеличивает концентрацию углекислого газа в атмосфере.

• Биоэнергия решает проблему использования отходов.

• Технологии получения биоэнергии конкурентоспособны уже сейчас.

Недостатки биоэнергии

•Для производства биомассы нужны обширные территории

• Если вырубка лесов будет производится быстрее, чем естественный прирост, будет нанесен серьезный ущерб окружающей среде. Поэтому необходимо увеличивать высадку лесов и заботиться о них.

• Увеличение населения Земли и необходимость увеличения производства продуктов питания означает, что земля становится больше необходима для производства пшеницы, чем для производства биотоплива.

5.2 Производство биомассы для энергетических целей

Термин энергетическая ферма используется в очень широком смысле, обозначая производство энергии в качестве основного или дополнительного продукта сельскохозяйственного производства, лесоводства, аквакультуры, а кроме того, те виды промышленной и бытовой деятельности, в результате которых образуются органические отходы. Основной целью переработки сырья могло бы быть исключительно производство энергии, но более выгодно найти наилучшее соотношение между получением из различных видов биомассы энергии и биотоплива.

Наиболее характерный пример энергетических ферм представляют собой предприятия по выращиванию и комплексной переработке сахарного тростника.

Производство зависит от сжигания отходов переработки тростника, необходимого для снабжения энергией всей технологической цепи. При надлежащей механизации можно было бы получить дополнительную энергию для производства на продажу побочных продуктов (патоки, химикатов, корма для животных, этилового спирта, строительных материалов, электроэнергии). Следует отметить, что этиловый спирт и электроэнергию можно использовать для выращивания культур и выполнения транспортных операций. Развитие энергетики за счет использования сельскохозяйственных культур имеет как достоинства, так и недостатки. Один из наиболее существенных недостатков то, что производство энергии станет конкурировать с производством пищи. Крупномасштабное увеличение объема производства биотоплива (например, этилового спирта) по этой причине может оказать существенное отрицательное влияние на мировой рынок пищевых продуктов. Второй серьезный недостаток - возможность обеднения и эрозии почв в результате интенсификации выращивания «энергетических» культур. Очевидная стратегия спасения от этих явлений - выращивание культур, пригодных и для обеспечения человека (зерно), и для энергетических нужд при одновременном сокращении части урожая, скармливаемого животным. Для выращивания и переработки урожая необходима энергия в форме солнечного излучения и в форме, пригодной для получения топлива для работы сельхозмашин, создания самих этих машин, получения удобрения и т. п. Для оценки эффективности получения энергии из того или иного вида биомассы необходимо проведение энергетического анализа всего процесса - от выращивания биомассы до получения конечных продуктов.

Энергетический анализ - это определение затрат энергии энергопотребляющих и энергопроизводящих систем, позволяющий выделить технические и технологические аспекты процесса.

На практике энергетический анализ и связанный с ним анализ экономических факторов получения и переработки биомассы агропромышленным методом оказываются достаточно сложными.

.3 Пиролиз (сухая перегонка) и газификация

Под пиролизом подразумеваются любые процессы, при которых органическое сырье подвергают нагреву или частичному сжиганию для получения производных топлив или химических соединений. Изначальным сырьем могут служить древесина, отходы биомассы, городской мусор и конечно уголь. Продуктами пиролиза являются газы, жидкий конденсат в виде смол и масел, твердые остатки в виде древесного угля и золы.

Схема установки для осуществления пиролиза приведена на рис.5.3. Наиболее предпочтительными считаются вертикальные устройства, загружаемые сверху.

КПД пиролиза определяется как отношение теплоты сгорания производного топлива к теплоте сгорания используемой в процессе биомассы. Достигаемый КПД весьма высок: 80-90%.

Чтобы процесс пиролиза шел успешно, должны соблюдаться определенные условия. Подаваемый материал предварительно сортируют для снижения негорючих примесей, подсушивают и измельчают. Критическим параметром, влияющим на температуру и на соотношение видов получаемых продуктов, является соотношение воздух - горючее.

.4 Химические процессы переработки

Биомасса может сжигаться или подвергаться пиролизу непосредственно после предварительной сортировки и измельчания. Однако, она может быть еще и обработана химически для того, чтобы получить исходный материал для спиртовой ферментации или вторичное топливо. Рассмотрим несколько наиболее важных примеров из большого числа возможных.

Гидрогенизация.

Измельченную, разложившуюся или переваренную биомассу, например навоз, нагревают в атмосфере водорода до температуры около 600 °С при давлении около 5 МПа. Получаемые при этом горючие газы, преимущественно метан и этан, при сжигании дают около 6 МДж на 1 кг сухого сырья.

Гидрогенизация с применением CO и пара. Ведется аналогично предыдущему процессу, но нагревание производится в атмосфере CO и водяного пара при температуре 400 °С и давлении 5 МПа. Из продуктов реакции извлекается синтетическая нефть, которую можно использовать как топливо. Соответствующие реакции идут в присутствии железного катализатора:

Гидролиз под воздействием кислот и ферментов.

Целлюлоза, составляющая основную массу сухого остатка растений (от 30 до 50%), трудно поддается гидролизу и сбраживанию с помощью микроорганизмов. Превращение целлюлозы в сахара, которые могут сбраживаться, возможно путем нагревания в серной кислоте или под воздействием фермента целлюлозы некоторых микроорганизмов. Полученные продукты можно использовать в качестве пищи для крупного рогатого скота.

Получение сахара используется для получения так называемого гидролизного этилового спирта.

Производство биодизеля. Преобразование масла кокосовых орехов в эфиры.

Белая мякоть кокосовых орехов (копра) примерно на 50% состоит из масла. Кокосовое масло может быть непосредственно использовано в качестве дизельного топлива в двигателях, оснащенных специальной системой подачи, однако при этом образуется ядовитый дым, кроме того, при температуре ниже + 23 °С масло затвердевает. Добавив в масло 20% метилового или этилового спирта, можно получить жидкие эфиры, являющиеся прекрасным дизельным топливом, и глицерин. Получаемые эфиры имеют теплоту сгорания около 38 МДж/кг, что выше, чем у перерабатываемого масла, и приближается к соответствующему показателю бензина (46 МДж/кг). Другие растительные масла также могут быть переработаны аналогичным образом.

Метиловый спирт в качестве топлива.

Метиловый спирт (метанол) - ядовитая жидкость, получаемая в процессе каталитической реакции между H2 и CO при температуре 330 °С и давлении 15 МПа:



Эти газы - основные компоненты синтетического газа, они могут получаться при газификации биомассы. Метанол можно использовать в качестве заменителя бензина с теплотой сгорания 23 МДж/кг или перерабатываются в высокооктановое топливо[20].

.5 Производство и использование спиртовых топлив

Методы получения спирта:

Этиловый спирт (этанол) C2H5OH в естественных условиях образуется из cахаров соответствующими микроорганизмами в кислой среде, pH -от 4 до 5. Подобный процесс спиртовой ферментации во всем мире используют для получения питьевого спирта. Наиболее часто используемые микро-организмы - дрожжи вида Saccharomyces cerevisiae - погибают при концентрации спирта выше 10%, поэтому для повышения концентрации используют перегонку или фракционирование. После перегонки (дистилляции) получается кипящая при постоянной температуре смесь: 95% этанола и 5% воды. Обезвоженный этанол в промышленных условиях производится путем азеотропной перегонки перегонки с растворителем типа бензола или талуола. При брожении теряется лишь 0,5% энергетического потенциала cахаров, остальные затраты энергии связаны с перегонкой. Необходимую тепловую энергию можно получить, сжигая остающиеся отходы биомассы.

Процессы производства этанола из различных культур в порядке возрастания трудностей переработки.

Из сахарного тростника. Обычно промышленную сахарозу получают из сока сахарного тростника, а остающуюся патоку используют для получения спирта (рис. 5.4.). Основная реакция превращения сахарозы в этанол имеет вид:


На практике выход ограничивается конкурирующими реакциями и потреблением сахарозы на увеличение массы дрожжей. Промышленный выход составляет около 80% выхода, определяемого.

Из сахарной свеклы. Вначале получают сахар для сбраживания, но свекла не дает достаточного количества отходов для получения тепла. Из-за этого этанол дорожает.

Из растительного крахмала. Источником крахмала служат злаковые культуры, картофель, маниок. Крахмал можно подвергнуть гидролизу на сахар. Это основной энергоаккумулирующий углевод растений. Состоит из двух компонентов с большой молекулярной массой, амилозы и амилопектина. Эти крупные молекулы линейны и состоят из глюкозных остатков, соединенных углеродными связями, которые могут быть разрушены ферментами солода, содержащегося в некоторых культурах, например в ячмене, или ферментами подходящих плесеней (грибков). Разрушить углеродные связи в крахмале можно и при обработке их сильными кислотами ( pH≈1,5) при давлении 0,2 МПа, но выход сахаров при этом снижается, а сам процесс по сравнению с ферментацией удорожается[21].

Из целлюлозы. Целлюлоза содержится в количестве до 40% сухой биомассы и потенциально является обширным возобновляемым источником энергии. Это тоже полимер глюкозы. Соответствующие связи молекул глюкозы в целлюлозе значительно труднее поддаются гидролизу, чем у крахмала. В растениях целлюлоза тесно связана с лигнином, препятствующим ее гидролизу до сахаров. Подобно крахмалу возможен гидролиз целлюлозы в кислой среде, однако этот процесс дорог и требует подвода энергии. Гидролиз удешевляется и становится менее энергоемким при использовании грибков, но в этом случае процесс идет слишком медленно. В основе промышленного процесса лежит использование измельченной древесной массы или старых газет. Механическое разрушение древесины - наиболее энергоемкая и дорогая стадия процесса.

В настоящее время большое количество спирта получают из древесины и ее отходов путем гидролиза растворами серной кислоты в автоклавах при повышенной температуре и последующего сбраживания полученных сахаристых веществ (из 1 т сухих опилок можно получить 180-200 л ректификата).


В условиях региона с покупным природным газом и избытком отходов пищевой и лесотехнической продукции наиболее подходят два первые варианта. Однако основной процесс получения этанола путем ректификации связан с высокими энергозатратами (доля энергозатрат при получении этилового спирта достигает 60% и более).

Промышленное производство этанола зависит и от многих местных факторов, включая энергетические и экономические. Необходимо обратить внимание на то обстоятельство, что максимальное использование различных видов отходов биомассы для выработки электроэнергии и обеспечения производства теплом - основа рентабельности получения этанола.

В табл. 5.1. приведены данные по производству этанола из некоторых технических культур.

Табл. 5.1.

Использование этанола в качестве топлива на транспорте

Жидкие топлива чрезвычайно важны из-за удобства использования и хорошего управления сгоранием в двигателях. Можно вводить в несколько переделанные бензиновые двигатели прямо 95%-ный этанол, а можно подавать в обычный двигатель смесь из 100%-ного этанола (обезвоженный) с бензином в соотношении 1:10-1:5.

Обезвоженный этанол - жидкость в интервале температур от -117 до +78 °С с температурой воспламенения 423 °С. Применение его в двигателе внутреннего сгорания требует специального карбюратора. Поэтому и смешивают бензин с обезвоженным этанолом (20 % по объему) и используют эту смесь (газохол) в обычных бензиновых двигателях. Газохол в настоящее время - обычное топливо в Бразилии (этанол там получают из сахарного тростника и маниока), используют его и в США (этанол из кукурузы). Важная особенность этанола - способность выдерживать ударные нагрузки без взрыва, из-за этого он гораздо предпочтительнее добавок из тетраэтилсвинца, вызывающего серьезные загрязнения атмосферы. Превосходные свойства этанола как горючего обеспечивают двигателям 20%-ное увеличение мощности по сравнению с чистым бензином. Массовая плотность и теплотворная способность этанола ниже, чем бензина, соответственно теплота сгорания (24 МДж/м3) на 40% ниже чем бензина (39 МДж/м3). Однако лучшее горение этанола компенсирует это уменьшение теплотворной способности. Опыт подтверждает, что двигатели потребляют примерно одинаковое количество газохола и бензина.

.6 Экологическаяхарактеристика использования биоэнергетических установок

Биоэнергетические станции по сравнению с традиционными электростанциями являются наиболее экологически безопасными. Они способствуют избавлению окружающей среды от загрязнения всевозможными отходами. Так, например, анаэробная ферментация - эффективное средство не только переработки отходов животноводства, но и обеспечения экологической чистоты, так как твердые органические вещества теряют запах и становятся менее привлекательными для грызунов и насекомых (в процессе перегнивания разрушаются болезнетворные микроорганизмы). Кроме того, образуются удобрения. Городские стоки и твердые отходы, отходы при рубках леса и деревообрабатывающей промышленности, представляя собой возможные источники сильного загрязнения природной среды, являются в то же время сырьем для получения энергии, удобрений, ценных химических веществ. Поэтому широкое развитие биоэнергетики эффективно в экологическом отношении. Однако неблагоприятные воздействия на объекты природной среды при энергетическом использовании биомассы имеют место. Прямое сжигание древесины дает большое количество твердых частиц, органических компонентов, окиси углерода и других газов. По концентрации некоторых загрязнителей они превосходят продукты сгорания нефти и ее производных. Другим экологическим последствием сжигания древесины являются значительные тепловые потери.

По сравнению с древесиной биогаз - более чистое топливо, непроизводящее вредных газов и частиц. Вместе с тем необходимы меры предосторожности при производстве и потреблении биогаза, так как метан взрывоопасен. Поэтому при его хранении, транспортировке и использовании следует осуществлять регулярный контроль для обнаружения и ликвидации утечек. При ферментационных процессах по переработке биомассы в этанол образуется большое количество побочных продуктов (промывочные воды и остатки перегонки), являющихся серьезным источником загрязнения среды, поскольку их вес в несколько раз (до10) превышает вес этилового спирта. Еще более опасные отходы получаются в процессе пиролиза.

Глава 6 «Ветроэнергетика»

 

.1 Энергоресурсы ветра


Ветер является одним из наиболее мощных энергетических источников и может быть утилизирован в народном хозяйстве в значительно больших масштабах, чем в настоящее время.

Причиной возникновения ветров является поглощение земной атмосферой солнечного излучения, приводящее к расширению воздуха и появлению конвективных течений. В глобальном масштабе на эти термические явления накладывается эффект вращения Земли, приводящий к появлению преобладающих направлений ветра. Кроме этих общих, или синоптических, закономерностей многое в этих процессах определяется местными особенностями, обусловленными определенными географическими или экологическими факторами. Скорость ветров увеличивается с высотой, а их горизонтальная составляющая значительно больше вертикальной. Последнее обстоятельство является основной причиной возникновения резких порывов ветра и некоторых других мелкомасштабных эффектов.

Таблица 6.1.

Сила ветра по шкале Бофорта и ее влияние на условия работы ветроагрегатов.

Баллы Боффора

Скорость ветра, м/с

Характеристика ветра

Наблюдаемые эффекты действия

Воздействие ветра на ВЭУ

Условия для работы ВЭУ

 1

 0,4 - 1,8

 Тихий

Дым из труб слегка отклоняется; на воде появляется рябь

 Нет

Отсутствует

  2

  1,8 - 3,6

  Легкий

Ветер ощущается лицом, шелестят листья, на воде отчетливые волнения

  Нет

  Отсутствует

  3

  3,6 - 5,8

  Слабый

Колеблются листья на деревьях, развиваются легкие флаги; на отдельных волнах появляются барашки

Начинают вращаться лопасти тихоходных ВЭУ

Плохие для всех установок

  4

  5,8 - 8,5

 Умеренный

Колеблются тонкие ветки деревьев, поднимается пыль, на воде много барашков

 Начинают вращаться колеса всех ВЭУ

 Хорошие

  5

  8,5 - 11

  Свежий

Начинают раскачиваться лиственные деревья, все волны в барашках

Мощность ВЭУ достигает 30% проектной

 Очень хорошие


Достоверно оценить, какая доля энергии ветра может быть использована, вряд ли возможно, так как эта оценка очень сильно зависит от уровня развития ветроэнергетики и ее потребителей. Тем не менее, официальные оценки возможной доли ветроэнергетики в энергетике в целом, например, в Великобритании и Западной Германии, не предполагающие каких-либо серьезных изменений в сложившейся инфраструктуре энергопотребления, дают не менее 20%. При определенных изменениях инфраструктуры доля ветроэнергетики может быть существенно большей. Автономные ветровые энергоустановки весьма перспективны для вытеснения дизельных электростанций и отопительных установок, работающих на нефтепродуктах, особенно в отдаленных районах и на островах.

Метеорологические условия

К главным факторам, определяющим возможность использования энергии ветра, относятся метеорологические условия, выбор оптимального расположения ветроэнергетической установки (ВЭУ), метод преобразования кинетической энергии ветра в электрическую, ее использование в общей системе энергоснабжения и, кроме того, экономическая эффективность.

Важнейшей характеристикой, определяющей энергетическую ценность ветра, является его скорость и направление. Эти величины зависят от влияния сил, действующих как в горизонтальном, так и в вертикальном направлениях на движущиеся воздушные массы. В силу ряда метеорологических факторов (возмущения атмосферы, изменения солнечной активности, количества тепловой энергии, поступающей на Землю, и др.), а также вследствие влияния рельефных условий непрерывная длительность ветра в данной местности, его скорость и направление изменяются по случайному закону. Поэтому мощность, которую способна выработать ВЭУ в различные периоды времени, можно предсказать с малой вероятностью. В то же время суммарная выработка агрегата, особенно за длительный промежуток времени, рассчитывается с высоким уровнем достоверности, так как средняя скорость ветра и частота распределения скоростей в течение года или сезона изменяются мало[22].

Характеристики ветра

Интересующие нас параметры ветра регистрируются, как правило, на одной стандартной высоте 10 м на метеостанциях вблизи аэропортов и городов, т.е. мест, возможно, наиболее защищенных от ветра. Поэтому эти данные можно использовать лишь для грубой оценки ветроэнергетических ресурсов рассматриваемого района, но их недостаточно для принятия конкретных технических решений, как, например, выбор оптимальной конструкции ветроустановки. Для этого, как правило, необходимы более детальные наблюдения в большем числе точек местности и на разных высотах в различные месяцы года.

Скорость ветра классифицируется метеослужбами по исторически сложившейся шкале Бофорта, в основе которой лежат визуальные наблюдения. Скорость ветра при стандартных метеорологических измерениях определяется осреднением за 10-минутный отрезок времени показаний анемометра, находящегося на 10-метровой высоте. Эти измерения могут повторяться каждый час, но обычно они проводятся значительно реже, поэтому по ним трудно судить о флуктуациях скорости ветра и его направления, что необходимо для расчета характеристик ветроустановок.

Направление ветра определяется стороной света, откуда дует ветер. Метеоданные о направлении ветра обычно представляют в виде розы ветров, показывающей среднюю скорость ветра в различных направлениях.

Информация о направлении ветра чрезвычайно важна, когда ветроустановки размещают в горной местности, вблизи зданий или других ветроустановок, т.е. в тех случаях, когда возможно их затенение при некоторых направлениях ветра.

Зависимость параметров ветра от высоты. Скорости ветра на разных высотах различны, естественно, различны и воздействия ветра на ветроколеса, расположенные на разной высоте. На поверхности земли (z=0) скорость ветра всегда равна нулю. Затем до высоты, равной примерно высоте расположенных в данном месте различных препятствии (зданий, деревьев и т. п.), скорость ветра увеличивается очень сложным образом, при этом его направление может изменяться практически случайно.

Следовательно, ветроколесо должно устанавливаться достаточно высоко над местными препятствиями, чтобы набегающий на него ветровой поток был сильным, однородным и с минимальными флуктуациями скорости и направления, а наилучшим местом для размещения ветроустановки является гладкая, куполообразная, ничем не затененная возвышенность. Вообще желательно, чтобы ветроустановка в радиусе нескольких сотен метров была окружена полями или водной поверхностью. Как правило, головки ветроустановок находятся на высоте от 5 до 50 м.

Изменение параметров ветра во времени. При практическом использовании ветроэнергетических установок важно знать, не суммарное количество энергии, которое может выработать ветроустановка, например, за год, а ту мощность, которую она может обеспечивать постоянно.

При сильном ветре, большем, например, 12 м/с, ветроустановки вырабатывают вполне достаточно электроэнергии, а зачастую ее приходится сбрасывать или запасать. Трудности, естественно, возникают в периоды длительного затишья или слабого ветра.

Поэтому для ветроэнергетики является законом считать районы со средней скоростью ветра менее 5 м/с малопригодными для размещения ветроустановок, а со скоростью более 8 м/с - очень хорошими. Но независимо от этого во всех случаях требуется тщательный выбор параметров ветроустановки применительно к местным метеоусловиям.

Энергетические ресурсы ветра

Необходимо различать три вида энергетических ресурсов ветра:

·        природные ресурсы (теоретический потенциал);

·        ресурсы, пригодные для практического использования (технический потенциал);

·        экономические ресурсы (экономический потенциал).

Природные ресурсы энергии ветра - это содержащаяся в нем кинетическая энергия. Наибольшая доля кинетической энергии ветра, которая в соответствии с законами природы и современным уровнем развития техники может быть преобразована в полезную энергию, составляет ресурсы, пригодные для практического использования. Доля энергии, которую можно преобразовать в традиционный вид энергии с экономически оправданными затратами по сравнению с обычными энергоресурсами, относится к экономическим ресурсам.

.2 Оценка ресурсов ветра

Кинетическая энергия единицы массы воздушного потока равна v2/2, а массовый расход потока через данное поперечное сечение площадью А составляет ρAv. Теоретическая располагаемая мощность воздушного потока есть произведение этих двух величин:


где v - скорость движения воздуха,

ρ - его плотность.

Если А является площадью круга, описываемого лопатками ветроколеса диаметром D, то:


и располагаемая мощность составляет:


Фактически располагаемую мощность удобно представить в виде:


где Кг - коэффициент использования энергии ветра, учитывающий динамику ветра и эффективность роторной системы.

Максимальное количество энергии, которое может быть получено от движущегося воздушного потока, которое составляет 0,59259 теоретически располагаемой энергии. Это количество энергии может быть получено только при совершенной конструкции лопастей, причем скорость движения концов лопастей должна в шесть раз превышать скорость ветра. Любой аэрогенератор может работать только в определенном диапазоне скоростей ветра, начиная с минимальной (пусковой) скорости Vn и кончая номинальной рабочей скоростью Vном. Обычно отношение Vном к Vn находится в пределах от 2 до 3. Если при скоростях ветра, превышающих Vном, можно изменять угол установки лопастей, система может продолжать работу при номинальной энергии генерируемой мощности, причем предельное значение скорости зависит только от конструкции. В некоторых системах во избежание поломки ветроколеса при больших скоростях ветра оно целиком выводится из-под ветра.

У многих современных ветроагрегатов КПД при передаче мощности с вала ветроколеса на выводы генератора достигает 75%. Принимая во внимание, что три нормальном атмосферном давлении (1000 Па) и температуре 290К плотность воздуха р=1,201 .кг/м3, и полагая, что КПД при передаче мощности с вала ветроколеса до выводов генератора составляет 75%, получаем:


Влияние высоты мачты ветроагрегата на его характеристики может быть значительным. Идеальным местом установки ветроагрегата является длинный, пологий склон холма[24].

.3 Основы ветроэнергетики

Мощность ветроагрегата

Ветроэнергетика с ее современным техническим оснащением является вполне сложившимся направлением энергетики.

Ниже будет показано, что при скорости ветра u0 и плотности воздуха ρ ветроколесо, ометающее площадь A, развивает мощность:

=CpA ρ (ru3/2)

Здесь Cp-параметр, характеризующий эффективность использования ветроколесом энергии ветрового потока и называемый коэффициентом мощности.

Из уравнения видно, что мощность Р пропорциональна ометаемой площади А и кубу скорости u. Коэффициент мощности Cp зависит от конструкции ветроколеса и скорости ветра.

Так как скорость ветра непостоянна, а мощность очень сильно зависит от скорости, то выбор оптимальной конструкции ветроколеса во многом определяется требованиями потребителя энергии.

Обычно среднегодовая мощность, снимаемая с единицы площади ветроколеса, пропорциональна Cp, плотности воздуха и кубу средней скорости, т. е.

Р~ Cp ρ (u)3.

Максимальная проектная мощность ветроэнергетической установки (ВЭУ) определяется для некоторой стандартной скорости ветра. Обычно эта скорость равна примерно 12 м/с, при этом снимаемая с 1 м2 ометаемой площади мощность - порядка 300 Вт при значении Cp от 0,35 до 0,45.

В районах с благоприятными ветровыми условиями среднегодовое производство электроэнергии составляет 25-33% его максимального проектного значения.

Энергия ветра в механических установках, например на мельницах и в водяных насосах, используется уже несколько столетий. После резкого скачка цен на нефть интерес к таким установкам вспыхнул вновь, и было построено множество современных ветроагрегатов при широком использовании микроэлектроники для контроля и управления ими.

Кроме того, скорость ветра очень колеблется во времени, что может привести к усталостным разрушениям, а для лопастей к тому же существенны переменные гравитационные нагрузки[25].

.4 Классификация ветроустановок

Ветроэнергетические установки классифицируются по двум основным признакам - геометрии ветроколеса и его положению относительно направления ветра. На рис.6.2. показаны взаимодействие воздушного потока с лопастью ветроколеса и возникающие при этом силы.

Пусть воздушный поток, имеющий скорость u и, набегает на лопасть, перемещающуюся со скоростью v и, тогда скорость потока относительно лопасти будет vr. При взаимодействии потока с лопастью возникают:

) сила сопротивления FD, параллельная вектору относительной скорости набегающего потока vr;

) подъемная сила FL, перпендикулярная силе FD. Слово «подъемная» в этом термине, конечно, не означает, как в аэродинамике, что эта сила направлена вверх;

) завихрение обтекающего лопасти потока. В результате это приводит к закрутке воздушного потока за плоскостью ветроколеса, т. е. к его вращению относительно вектора скорости набегающего потока;

) турбулизация потока, т. е. хаотические возмущения его скорости по величине и направлению. Турбулентность возникает как за колесом, так и перед ним, в результате лопасть часто оказывается в потоке, турбулизированном другими лопастями;

) препятствие для набегающего потока. Это его свойство характеризуется параметром, называемым геометрическим заполнением и равным отношению площади проекции лопастей на плоскость, перпендикулярную потоку, к сметаемой ими площади. Так, например, при одинаковых лопастях четырехлопастное колесо имеет вдвое большее геометрическое заполнение, чем двухлопастное.

Ветроколесо с горизонтальной осью.

Рассмотрим горизонтально-осевые ветроколеса пропеллерного типа. Основной вращающей силой у колес этого типа является подъемная сила. Относительно ветра ветроколесо в рабочем положении может располагаться перед опорной башней или за ней. При переднем расположении ветроколесо должно иметь аэродинамический стабилизатор или какое-либо другое устройство, удерживающее его в рабочем положении. При заднем расположении башня частично затеняет ветроколесо и турбулизирует набегающий на него поток. При работе колеса в таких условиях возникают циклические нагрузки, повышенный шум и флуктуации выходных параметров ветроустановки. Направление ветра может изменяться довольно быстро, и ветроколесо должно четко отслеживать эти изменения. Поэтому в ВЭУ мощностью более 50 кВт для этой цели используются электрические серводвигатели.

В ветроэлектрогенераторах обычно используются двух- и трехлопастные ветроколеса, последние отличаются очень плавным ходом. Электрогенератор и редуктор, соединяющий его с ветроколесом, расположены обычно на верху опорной башни в поворотной головке. В принципе их удобнее размещать внизу, но возникающие при этом сложности с передачей крутящего момента обесценивают, преимущества такого размещения. Многолопастные колеса, развивающие большой крутящий момент при слабом ветре, используются для перекачки воды и других целей, не требующих высокой частоты вращения ветрового колеса.

Ветроэлектрогенераторы с вертикальной осью.

Ветроэлектрогенераторы с вертикальной осью вращения вследствие своей геометрии при любом направлении ветра находятся в рабочем положении.

Кроме того, такая схема позволяет за счет только удлинения вала установить редуктор с генераторами внизу башни. Принципиальными недостатками таких установок являются:

·        гораздо большая подверженность их усталостным разрушениям из-за более часто возникающих в них автоколебательных процессов

·        пульсация крутящего момента, приводящая к нежелательным пульсациям выходных параметров генератора.

Из-за этого подавляющее большинство ветроэлектрогенераторов выполнено по горизонтально-осевой схеме, однако исследования различных типов вертикально-осевых установок продолжаются.

Типы вертикально-осевых установок

Чашечный ротор (анемометр)

Ветроколесо этого типа вращается силой сопротивления. Форма чашеобразной лопасти обеспечивает практически линейную зависимость частоты вращения колеса от скорости ветра.

Ротор Савониуса

Это колесо также вращается силой сопротивления и частично реактивными силами. Его лопасти выполнены из тонких изогнутых листов прямоугольной формы, т. е. отличаются простотой и дешевизной. Вращающий момент создается благодаря различному сопротивлению, оказываемому воздушному потоку вогнутой и выгнутой относительно него лопастями ротора. Из-за большого геометрического заполнения это ветроколесо обладает большим крутящим моментом и используется для перекачки воды.

Ротор Дарье

Вращающий момент создается подъемной силой, возникающей на двух или трех тонких изогнутых несущих поверхностях, имеющих аэродинамический профиль. Подъемная сила максимальна в тот момент, когда лопасть с большой скоростью пересекает набегающий воздушный поток. Ротор Дарье используется в ветроэлектрогенераторах. Раскручиваться самостоятельно ротор, как правило, не может, поэтому для его запуска обычно используется генератор, работающий в режиме двигателя.

Ротор Масгрува

Лопасти этого ветроколеса в рабочем состоянии расположены вертикально, но имеют возможность вращаться или складываться вокруг горизонтальной оси при отключении. Существуют различные варианты роторов Масгрува, но все они отключаются при сильном ветре.

Ротор Эванса

Лопасти этого ротора в аварийной ситуации и при управлении поворачиваются вокруг вертикальной оси.

Глава 7 «Геотермальная энергия»

.1 Тепловой режим земной коры

Под геотермикой (от греческих слов «гео» - земля и «термо» - тепло) понимается наука, изучающая тепловое состояние земной коры и Земли в целом, его зависимость от геологического строения, состава горных пород, магматических процессов и целого ряда других факторов.

Критерием теплового состояния земного шара является поверхностный градиент температуры, позволяющий судить о потерях тепла Земли. Экстраполируя градиент на большие глубины, можно в какой-то степени оценить температурное состояние земной коры. Величина, соответствующая углублению в метрах, при котором температура повышается на 1° С, называется геотермической ступенью.[7]

В связи с изменением интенсивности солнечного излучения тепловой режим первых 1,5-40 м земной коры характеризуется суточными и годовыми колебаниями. Далее имеют место многолетние и вековые колебания температуры, которые с глубиной постепенно затухают. На любой глубине температура горных пород (T ) приближенно может быть определена по формуле


где tв - средняя температура воздуха данной местности;- глубина, для которой определяется температура;- глубина слоя постоянных годовых температур;

σ - геотермическая ступень.

Средняя величина геотермической ступени равна 33 м, и с углублением от зоны постоянной температуры на каждые 33 м температура повышается на 1 °С.

Геотермические условия чрезвычайно разнообразны. Это связано с геологическим строением того или иного района Земли. Известны случаи, когда увеличение температуры на 1° С происходит при углублении на 2-3 м. Эти аномалии обычно находятся в областях современного вулканизма. На глубине 400-600 м в некоторых районах, например Камчатки, температура доходит до 150-200 °С и более. В настоящее время получены данные о довольно глубоком промерзании верхней зоны земной коры. Геотермические наблюдения в зоне вечной мерзлоты позволили установить, что мощность мерзлых горных пород достигает 1,5 тыс. м. Так, в районе реки Мархи (приток Вилюя) на глубине 1,8 тыс. м температура составляет всего лишь 3,6 °С. Здесь геотермическая ступень составляет 500 м на 1 °С. На отдельных платформенных частях территории (на Русской платформе) температура с глубиной примерно следующая: 500 м - не выше 20° С, 1 тыс. м - 25-35° С; 2 тыс. м - 40-60° С; 3-4 тыс. м -до 100° С и более.

.2.Подземные термальные воды (гидротермы)

В земной коре существует подвижный и чрезвычайно теплоемкий энергоноситель - вода, играющая важную роль в тепловом балансе верхних геосфер. Вода насыщает все породы осадочного чехла. Она содержится в породах гранитной и осадочной оболочек, а вероятно, и в верхних частях мантии. Жидкая вода существует только до глубин 10-15 км, ниже при температуре около 700 °С вода находится исключительно в газообразном состоянии.

На глубине 50-60 км при давлениях около 3·104 атм. исчезает граница фазовости, т.е. водяной газ приобретает такую же плотность, что и жидкая вода. В любой точке земной поверхности, на определенной глубине, зависящей от геотермических особенностей района, залегают пласты горных пород, содержащие термальные воды (гидротермы). В связи с этим в земной коре следует выделять еще одну зону, условно называемую «гидротермальной оболочкой». Она прослеживается повсеместно по всему земному шару только на разной глубине. В районах современного вулканизма гидротермальная оболочка иногда выходит на поверхность. Здесь можно обнаружить не только горячие источники, кипящие грифоны и гейзеры, но и парогазовые струи с температурой 180-200° С и выше. Температура подземных вод колеблется в широких пределах, обусловливая их состояние, влияя на состав и свойства. В соответствии с температурой теплоносителя все геотермальные источники подразделяют на эпитермальные, мезотермальные и гипотермальные[27].

К эпитермальным источникам обычно относят источники горячей воды с температурой 50-90°С, расположенные в верхних слоях осадочных пород, куда проникают почвенные воды.

К мезотермальным источникам относят источники с температурой воды 100-200 °С.

В гипотермальных источниках температура в верхних слоях превышает 200 °С и практически не зависит от почвенных вод.

Происхождение термальных вод может быть связано с деятельностью тепловых очагов, но чаще всего вода, тем или иным способом попадая в пласт породы, совершает долгий путь, пока не приходит в контакт с тепловым потоком или постепенно разогревается, отбирая тепло у пород.

Жидкая фаза воды и тепло могут происходить из одного источника лишь в том случае, если таковым является остывающий магматический расплав. Перегретая вода в виде паровых струй выделяется из расплава вместе с газами и легколетучими компонентами, устремляясь в верхние, более холодные горизонты. Уже при температурах 425-375 °С пар может конденсироваться в жидкую воду; в ней растворяется большинство летучих компонентов- так появляется гидротермальный раствор «ювенильного» (первозданного) типа. Под термином «ювенильные» геологи подразумевают воды, которые никогда прежде не участвовали в водообороте; такие гидротермы в прямом смысле слова являются первичными, новообразованными. Полагают, что подобным образом сформировалась вся поверхностная гидросфера морей и океанов в эпоху молодой магматической активности планеты, когда только-только зарождались твердые консолидированные «острова» материковых платформ.

Прямой противоположностью «ювенильных» вод являются воды инфильтрационного происхождения. Если «ювенильные» воды, отделяясь от магматического расплава, поднимаются к поверхности, то преобладающее движение инфильтрационных вод - от поверхности вглубь. Источник вод этого типа представляет собой атмосферные осадки или вообще поверхностные водотоки. По поровому пространству пород или трещинным зонам эти воды проникают (инфильтруются) в более глубокие горизонты. По пути движения они насыщаются различными солями, растворяют подземные газы, нагреваются, отбирая тепло у водопроводящих пород. В зависимости от глубины проникновения инфильтрационных вод они становятся более или менее нагретыми. При средних геотермических условиях для того, чтобы инфильтрационные воды стали термальными (т.е. с температурой более 37 °С), необходимо их погружение на глубину 800-1000 м.

Инфильтрационные гидротермы способны изливаться на поверхность в виде горячих источников, если существует возможность разгрузки воды на поверхность по разломам, выклиниваниям слоев, что происходит в более низких относительно области питания участках. Причем, чтобы вода оставалась термальной, подъем ее к поверхности должен происходить очень быстро, например, по широким трещинам разломов. При медленном подъеме гидротермы остывают, отдавая аккумулированное тепло вмещающим породам.

Однако, если пробурить скважину на глубину 3-4 тыс. м и обеспечить быстрый подъем воды, можно получить термальный раствор с температурой до100 °С. Все это касается областей со средними геотермическими показателями и не относится к вулканическим районам или зонам недавнего горообразования.

Вулканический тип термальных вод следует выделить особо. Как уже говорилось, горячие источники вулканических районов нельзя целиком считать «ювенильными», т. е. магматическими. Опыт исследований показывает, что в подавляющем случае вода вулканических терм имеет поверхностное инфильтрационное происхождение. Помимо гейзеров вулканический тип гидротерм включает грязевые грифоны и котлы, паровые струи и газовые фумаролы.

Все перечисленные типы термальных вод имеют разнообразнейший химический и газовый состав. Их общая минерализация колеблется от ультрапресных категорий (менее 0,1 г/л) до категорий сверхкрепких рассолов (более 600 г/л). Гидротермы содержат в растворенном состоянии различные газы: активные (агрессивные), такие, как углекислота, сероводород, атомарный водород, и малоактивные - азот, метан, водород.

В геотермальной энергетике могут быть использованы практически все виды термальных вод: перегретые воды - при добыче электроэнергии, пресные термальные воды - в коммунальном теплообеспечении, солоноватые воды - в бальнеологических целях, рассолы - как промышленное сырье.

.3 Запасы и распространение термальных вод

К областям распространения месторождений термальных вод относятся: вулканическое кольцо бассейна Тихого океана, Альпийский складчатый пояс, рифтовые долины континентов, срединно-океанические хребты, платформенные погружения и предгорные краевые прогибы

По своему происхождению месторождения термальных вод можно подразделить на два типа, различающиеся способом переноса тепловой энергии.

Первый тип образуют геотермальные системы конвекционного происхождения, отличающиеся высокой температурой вод, разгружающихся на дневную поверхность. Это районы расположения современных или недавно потухших вулканов, где на поверхность выходят не только горячие воды, но и пароводяная смесь с температурой до 200 °С и более. На сегодняшний день все геотермальные электростанции работают в районах современного вулканизма.

К месторождениям конвекционного типа относятся также гидротермальные проявления так называемых рифтовых зон, характеризующихся активным тектоническим режимом и умеренно повышенными геотермическими градиентами - 45-70 °С/км. (Рифтовые зоны и связанные с ними термоаномалии, как правило, простираются на огромные расстояния. Например, Северо-Мексиканский бассейн термальных вод протянулся на 1,5 тыс. км, от северо-восточной части Мексики до Флориды. Одна из скважин здесь с глубины 5859 м дает пароводяную смесь с температурой 273 °С, причем этот флюид выходит при высоком давлении.)[28].

Второй тип геотермальных месторождений образуется при преобладающем кондуктивном прогреве подземных вод, сосредоточенных в глубоких платформенных впадинах и предгорных прогибах. Они располагаются в невулканических районах и характеризуются нормальным геотермическим градиентом - 30-33 °С/км.

Бурением на нефть и газ, а частично и на воду обнаружены сотни подземных артезианских бассейнов термальных вод, занимающих площади в несколько миллионов квадратных километров. Как правило, артезианские бассейны, расположенные в равнинных областях и предгорных прогибах, содержат воду с температурой 100-150° С на глубине 3-4 км.

Можно без преувеличения сказать, что любой отмеченный на карте предгорный прогиб, который был сформирован в эпоху альпийского горообразования, содержит бассейн термальных вод. Таковы артезианские бассейны предгорных прогибов Пиренеев, Альп, Карпат, Крыма, Кавказа, Копет-Дага, Тянь-Шаня, Памира, Гималаев. Термальные воды этих бассейнов демонстрируют уникальное многообразие химических типов от пресных (питьевых) до рассольных, употребляющихся как минеральное сырье для извлечения ценных элементов. Больше половины всех известных минеральных (лечебных) вод выходят в виде источников или выводятся скважинами в пределах альпийских предгорных и межгорных прогибов. Опыт показывает, что термальные воды подобных малых бассейнов являются наиболее перспективными для комплексного использования в практических целях.

Подсчеты запасов термальных вод основываются на имеющихся данных об объемах гравитационных вод, заключенных в пластах, объемах самих водоносных горизонтов и коллекторских свойствах слагающих их горных пород. Запасы термальных вод представляют собой общее количество выявленных термальных вод, находящихся в порах и трещинах водоносных горизонтов, имеющих температуру 40-200° С, минерализацию до 35 г/л и глубину залегания до 3,5 тыс. м от дневной поверхности.

С развитием глубокого бурения на 10-15 км открываются многообещающие перспективы вскрытия высокотемпературных источников тепла. На таких глубинах в некоторых районах страны (исключая вулканические) температура вод может достигнуть 350° С и выше.

Районы выхода на поверхность кристаллического фундамента (Балтийский, Украинский, Анабарский щиты) и приподнятые горные сооружения(Урал, Кавказ, Карпаты и т. д.) совершенно не имеют запасов термальных вод. На участках погружения фундамента, т. е. при увеличении толщины осадочного чехла, в недрах наблюдается некоторое «потепление» до 35-40 °С на платформах и до 100-120 °С в глубоких предгорных впадинах.

К числу районов, имеющих максимально «теплые» земные недра, несомненно, относится Курило-Камчатская вулканическая зона. Здесь нагретость пород и содержащихся в них вод зависит не только от глубины их залегания, но в большей степени от близости к вулканическим центрам и разломам в земной коре.

Таким образом, температура пород, а следовательно, и вод находится в зависимости от глубины залегания и от района, который характеризуется большей или, меньшей геотермической активностью.

.4 Прямое использование геотермальной энергии

Геотермальные станции в вулканических районах базируются на месторождениях пароводяной смеси, добываемой из природных подземных трещинных коллекторов с глубины 0,5-3 км. Пароводяная смесь в среднем имеет степень сухости 0,2-0,5 и энтальпию 1500-2500 кДж/кг. В среднем одна эксплуатационная скважина обеспечивает электрическую мощность 3-5 МВт, средняя стоимость бурения составляет 900 долларов за метр.

.5 Использование геотермальной энергии для теплоснабжения жилых и производственных зданий

Для отопления и горячего водоснабжения жилых и производственных зданий можно широко использовать как горячую термальную воду, так и теплую.

В последнем случае она служит для предварительного подогрева котельной воды или как источник тепла в тепловом насосе.

Для отопления и горячего водоснабжения жилых и производственных зданий необходима температура воды не ниже 50-60° С.

Наиболее рациональное использование термальных вод может быть достигнуто при последовательной их эксплуатации: первоначально в отоплении, а затем в горячем водоснабжении. Но это представляет некоторые трудности, так как потребность в горячей воде по времени года относительно постоянна, тогда как отопление является сезонным, оно зависит от климатических условий района, температуры наружного воздуха, времени года и суток.

Глава 8. «Энергетические ресурсы океана»

.1 Баланс возобновляемой энергии океана

Основная доля энергии, поступающей в Мировой океан - результат поглощения им солнечного излучения. Энергия поступает в океан также в результате гравитационного взаимодействия космических тел и водных масс планеты, создающего приливы, и поступления тепла из глубины планеты. Поверхность Мирового океана занимает около 70 % поверхности всей планеты и составляет примерно 360 млн. км2. Большая часть этой поверхности постоянно свободна ото льда и хорошо поглощает солнечное излучение. В океанской воде примерно 65 % солнечного излучения поглощается первым метром водной толщи и до 90 % - десятиметровым слоем. В дневное время в низких широтах вода прогревается примерно на 10 м и более за счет процессов теплопроводности и турбулентного перемешивания (твердая поверхность суши прогревается не более чем на 0,5 м).

Запасенное океаном тепло частично в виде длинноволнового излучения[31].

(λ >10 мкм) переизлучается, а частично передается в атмосферу теплопроводным пограничным слоем и вследствие испарения. Относительная роль этих процессов различна для разных районов планеты, но на широтах от 70° с.ш. до 70° ю.ш. характеризуется примерно одинаковыми значениями : длинноволновое излучение в атмосферу и космическое пространство 41 %; передача тепла атмосфере за счет теплопроводности 5 %; потери на испарение 54 %.

За счет движения воздушных и водных масс, запасенная океаном энергия переносится по всей планете. Причем в области между экватором и 70° с. ш. - в среднем 40 % тепла переносится океанскими течениями; а на 20° с. ш.- вклад океана в перенос энергии составляет до 74%. Ежегодно с поверхности океана испаряется слой воды толщиной примерно 1 м (около 340·1012 т) и около 36·1012 т воды возвращается со стоком рек, ледников и т.п. Примерно 2/3 суммарного солнечного излучения испытывают в океане и на поверхности суши различные изменения. Преобразуются в тепло 43 %; расходуются на испарение, образование осадков 22 %; сообщение энергии рекам, ветру, волнам, различным видам течений в океане 0,2 %. Примерно 0,02 % всей энергии воспринятого солнечного излучения идет на образование продукции фотосинтеза и частично на образование ископаемого топлива. Соизмерим с этой величиной суммарный поток энергии, поступающей из недр Земли и в виде приливной энергии. Выделить из указанных потоков те, что непосредственно имеют отношение только к океану, достаточно трудно. Для энергетики важны не абсолютные величины мощностей различных источников, а лишь та их часть, которую можно преобразовать в требуемые для хозяйственной деятельности виды энергии. Сотрудниками океанографического института Скриппса (США) выполнены оценки суммарных и допустимых для переработки мощностей различных океанических источников энергии за пять лет. Соответствующие данные приведены на диаграммах рис., на которых отмечены два уровня - суммарный и допускающий преобразование (заштрихован). Более поздние оценки сделаны с учетом целого ряда технологических и экологических факторов. Они, как правило, в части допустимой к использованию энергии оказались ниже

При оценке возможностей приливной энергетики учтено, что работать на полную мощность ПЭС могут только в течение 30 % времени. Данные по океанским течениям получены с учетом 1 % допустимого замедления скорости течения. При оценке возможностей энергетического использования продукции океанского фотосинтеза приняты во внимание 50% эффективности преобразования бурых водорослей в метан и возможность размещения соответствующих ферм в 20 % районов естественного апвеллинга. Апвеллинг - подъем глубинных вод, богатых биогенными веществами, играющими роль удобрений. Для прибрежных волновых генераторов установлены КПД 50 % и время работы 40 % годового бюджета времени. КПД преобразования градиента солености принят равным 3%, а градиента температур - 5 %, причем в последнем случае считается реальным разместить преобразователи на 2 % поверхности океана в тропической зоне. Для ветровых станций коэффициент преобразования энергии ветра принят равным 60%, и допустимым уровнем изъятия мощности считают 1 % мощности ветров, дующих на удалении от берега.

.2 Преобразования энергии волн

Огромные количества энергии можно получить от морских волн. Мощность, переносимая волнами на глубокой воде, пропорциональна квадрату их амплитуды и периоду. Поэтому наибольший интерес представляют длиннопериодные (T ≈10 с) волны большой амплитуды (a ≈2м), позволяющие снимать с единицы длины гребня в среднем от 50 до 70 кВт/м. Наибольшее число волновых энергетических устройств разрабатывается для извлечения энергии из волн на глубокой воде. Это наиболее общий тип волн, существующий при условии, что средняя глубина моря D превышает величину половины длины волны λ /2.[33]

Поверхностные волны на глубокой воде имеют следующие основные характерные особенности:

− волны являются неразрушающимися синусоидальными с нерегулярной длиной, фазой и направлением прихода;

− движение каждой частицы жидкости в волне является круговым (в то время как изменяющиеся очертания волн свидетельствуют о распространении волнового движения, сами по себе частицы не связаны с этим движением и не перемещаются в его направлении);

− амплитуда движения частиц жидкости экспоненциально уменьшается с глубиной.

− существенно, что амплитуда волны а не зависит от ее длины λ , скорости распространения c, периода T , а зависит лишь от характера предшествовавшего взаимодействия ветра с морской поверхностью. В волнах на глубокой воде нет поступательного движения жидкости. В подповерхностном слое жидкости ее частицы совершают круговое движение с радиусом орбиты a , равным амплитуде волны (рис. 8.2.). Высота волны H от вершины гребня до основания равна ее удвоенной амплитуде (H = 2a ). Угловая скорость движения частиц ω измеряется в радианах в секунду. Изменение формы волновой поверхности таково, что наблюдается поступательное движение, хотя сама вода не перемещается в направлении распространения волны (слева направо). Это кажущееся перемещение есть результат наблюдения фаз смещения последовательно расположенных частиц жидкости; как только одна частица в гребне опускается, другая занимает ее место, обеспечивая сохранение формы гребня и распространение волнового движения вперед.

Рис.8.2.Характеристики волны.

Соотношение, устанавливающее зависимость между частотой и длиной для поверхностной волны на глубокой воде

 

Период движения волны

 

Скорость частицы жидкости в гребне волны


Скорость перемещения поверхности волны в направлении x определится как



Скорость c называют фазовой скоростью распространения волн, создаваемых на поверхности жидкости. Эта величина не зависит от амплитуды волны и неявным образом связана со скоростью движения частиц жидкости в волне.

Преобразователи энергии волн

Преобразователи, отслеживающие профиль волны

В этом классе преобразователей остановимся в первую очередь на разработке профессора Эдинбургского университета Стефана Солтера, названной в честь создателя «утка Солтера». Техническое название такого преобразователя - колеблющееся крыло. Форма преобразователя обеспечивает максимальное извлечение мощности.

Волны, поступающие слева, заставляют утку колебаться. Цилиндрическая форма противоположной поверхности обеспечивает отсутствие распространения волны направо при колебаниях утки вокруг оси. Мощность может быть снята с оси колебательной системы с таким расчетом, чтобы обеспечить минимум отражения энергии. Отражая и пропуская лишь незначительную часть энергии волн (примерно 5%), это устройство обладает весьма высокой эффективностью преобразования в широком диапазоне частот возбуждающих колебаний.

Дальнейшие разработки Солтера направлены на то, чтобы обеспечить утке способность противостоять ударам максимальных волн и создать заякоренную гирлянду преобразователей в виде достаточно гибкой линии. Предполагается, что характерный размер реальной утки будет равен пример-но0,1λ , что для 100-метровых атлантических волн соответствует 10 м. Нить из уток протяженностью несколько километров предполагается установить в районе с наиболее интенсивным волнением западнее Гебридских островов. Мощность всей станции будет примерно 100 МВт.

Другой вариант волнового преобразователя с качающимся элементом -

контурный плот Коккерелла. Его модель также в 1/10 величины испытывалась в том же, что и «утка Солтера», году в проливе Солент вблизи г. Саутгемптона. Контурный плот - многозвенная система из шарнирно соединенных секций. Как и «утка», он устанавливается перпендикулярно к фронту волны и отслеживает ее профиль.

Детальные лабораторные испытания модели плота в масштабе 1/100 показали, что его эффективность составляет около 45 %. Это ниже, чем у «утки» Солтера (но плот привлекает другим достоинством: близость конструкции к традиционным судостроительным). Изготовление таких плотов не потребует создания новых промышленных предприятий и позволит поднять занятость в судостроительной промышленности.

Преобразователи, использующие энергию колеблющегося водяного столба

При набегании волны на частично погруженную полость, открытую под водой, столб жидкости в полости колеблется, вызывая изменения давления в газе над жидкостью. Полость может быть связана с атмосферой через турбину. Поток может регулироваться так, чтобы проходить через турбину в одном направлении, или может быть использована турбина Уэлса. Основной принцип действия колеблющегося столба показан на рис. В Тофтестоллене он используется в 500-киловаттной установке, построенной на краю отвесной скалы[34].

Рис.8.5.Схема установки, в которой используется принцип колеблющегося водного столба (разработана Национальной инженерной лабораторией NEL, Великобритания, размещается непосредственно на грунте, турбина приводится в действие потоком одного направления):

- волновой подъем уровня; 2 - воздушный поток; 3 - турбина; 4 - выпуск воздуха; 5 - направление волны; 6 - опускание уровня; 7 - впуск воздуха.

Рис.8.6.Пневмобуй Масуды:

- корпус; 2 - электрогенератор; 3 - клапан; 4 - воздушная турбина.

Глава 9. «Гидроэнергетика»

.1 Состояние и развитие малой гидроэнергетики

Гидроагрегаты для малых ГЭС предназначены для эксплуатации в широком диапазоне напоров и расходов с высокими энергетическими характеристиками. В комплект поставки входят: турбина, генератор и система автоматического управления.

Микро-ГЭС - надежные, экологически чистые, компактные, быстроокупаемые источники электроэнергии для деревень, хуторов, дачных поселков, фермерских хозяйств; а также мельниц, хлебопекарен, небольших производств в отдаленных, горных и труднодоступных районах, где нет поблизости линий электропередач, а строить такие линии сейчас и дольше, и дороже, чем приобрести и установить микро-ГЭС.

В комплект поставки входят: энергоблок, водозаборное устройство и устройство автоматического регулирования. Малые ГЭС (микро-ГЭС) получили развитие во многих странах мира в ХХ веке. Они характеризовались большой часовой наработкой, значительными конструктивными запасами и высокой надежностью, но требовали постоянного присутствия обслуживающего персонала.

Развитие энергосистем и строительство крупных ГЭС привели к снижению стоимости электроэнергии и неконкурентноспособности малых ГЭС из-за больших эксплуатационных расходов. Но разразившийся мировой энергетический кризис способствовал тому, что интерес к использованию имеющихся энергоресурсов и строительству малых ГЭС во многих странах значительно повысился. При новых подходах к созданию микро-ГЭС широкие возможности для их возведения имеются при существующих гидротехнических сооружениях, эксплуатируемых ГЭС, ТЭС, АЭС; на гидроузлах, построенных для орошения и водоснабжения; при строящихся гидроузлах различного назначения; на высокогорных стоках, вблизи селений и сельскохозяйственных построек; в составе систем технического водоснабжения на промышленных предприятиях.

Большее число микро-ГЭС может быть построено на эксплуатируемых и намеченных у сооружению водоснабжающих и ирригационных гидроузлах и их сооружениях (быстротоки, гасители энергии, пороги, отклонители); на водосборных каналах и системах каптажа крупных гидроузлов.

В системах водоснабжения на участках трассы с большой разницей отметок поверхности вместо различного рода шахтных сопряжений, энергогасителей и других сооружений могут быть построены микро-ГЭС. При расходах воды в пределах от 5 до 100 л/с их мощность может достигать от 20 до 200 кВт.

В настоящее время разработана методика определения эффективности и программы освоения энергетического потенциала малых водостоков. Микро-ГЭС в основном предназначены для покрытия местных нужд и изолированно работы от энергосистем. При строительстве целесообразно применять стандартизированные и укрупненные сооружения (блоки).

Малые ГЭС в настоящее время могут быть рентабельными при упрощении схемы их управления (например, за счет балластной нагрузки) и работы без обслуживающего персонала. Эффективность микро ГЭС может быть повышена за счет многоцелевого использования ее сооружений, а также при выдаче мощности в местную сеть. При работе микро-ГЭС на изолированную нагрузку возникает необходимость регулирования частоты и напряжения. Если водохранилище имеет достаточную емкость, можно обеспечивать суточное и недельное регулирование, в противном случае рекомендуется регулирование с помощью балластной нагрузки.

.2 Классификация микро-ГЭС

В данной главе рассмотрим классификацию существующих на сегодняшний день установок малых ГЭС.

В области малой и нетрадиционной энергетики разрабатываются гидроагрегаты:

. с ортогональными турбинами для напоров 1-5 м;

. с пропеллерными турбинами для напоров 5-20 м;

. с турбинами типа «Банки» для напоров 20-150 м.

Диапазон единичных мощностей разрабатываемых гидроагрегатов находится в пределах от 1 до 1000 кВт при изменении максимального расхода от 0,1 до 100 м3/с. Установки предназначены для выработки электроэнергии в сеть. Они также могут быть укомплектованы электротехническим оборудованием для работы на автономную нагрузку.

Разрабатываются способы и оборудования для электролизной защиты, которая используется для предотвращения полного биологического обрастания на бетонных поверхностях и на оборудовании турбинных водоводов на весь срок эксплуатации.

Итак, установки подразделяются:

. По принципу работы.

Применительно к различным природным условиям можно выделить два типа микро-ГЭС, реализующих:

.1. потенциальную энергию водостока;

.2.кинетическую энергию водостока.

Примерами первого типа являются микро-ГЭС с традиционным оборудованием, русловые или деривационные, а также, разрабатываемые в последние годы так называемые рукавные ГЭС (разновидность деривационных).

Микро-ГЭС второго типа устанавливаются непосредственно в водостоке. Примерами их являются разработанные и применяющиеся гирляндные ГЭС конструкции, триллексная вертикальная, штанговая плоскопараллельная и плоскоподъемная, роторного типа и капсульные гидроагрегаты, применяемые за рубежом.

Технические решения, применяемые при создании микро-ГЭС, разнообразны. Это и традиционные: применение практически всех гидротурбин (радиально-осевых, пропеллерных, ковшовых); а также много нетрадиционных предложений, например, гирляндные ГЭС

. По напору воды:

.1. низконапорные (осевые горизонтальные и вертикальные прямоточные установки, капсульные турбины);

.2. средненапорные (радиально-осевые с горизонтальным или вертикальным валом, установки с неподвижным направляющим валом);

.3. высоконапорные (ковшовые турбины).

Диапазон напора воды колеблется от 3 до 80 м.

. По конструктивному исполнению турбины (по требованиям регулирования):

.1. с неподвижными лопатками направляющего аппарата и лопастями рабочего колеса;

.2. с неподвижными лопастями рабочего колеса и регулируемым направляющим аппаратом;

.3. с регулируемыми лопастями рабочего колеса и неподвижным направляющим аппаратом;

.4. с регулируемым направляющим аппаратом и поворотными лопастями рабочего колеса.

. По скорости течения воды (по расходу воды):

.1. на малых водостоках (расход до 5 куб. м., длина до 10 км);

.2. на средних водостоках (расход до 50 куб. м., длина до 100 км);

.3. на больших водостоках (расход более 50 куб. м., длина более 100 км).

. По мощности:

По существующей классификации ООН к малым относятся ГЭС мощностью до 10-15 МВт, в том числе:

.1. микро-ГЭС - мощностью до 0,1 МВт;

.2. мини-ГЭС - от 0,1 до 1 МВт;

.3. малые ГЭС - от 1 до 10 МВт.

. По номинальному напряжению:

.1. низкого напряжения (до 1 кВ - 230 В, 400 В);

.2. высокого напряжения (более 1 кВ - 6 кВ, 10 кВ).

. По частоте вращения турбины:

Ряд значений частоты вращения турбины колеблется от 200 до 1500 об/мин.

Малые ГЭС в отличие от дизельных электростанций все-таки требуют индивидуального проектирования.

Одним из типов микро-ГЭС являются гирляндные свободно-проточные, использующие кинетическую энергию водостока, работающие без специальных устройств для направления водного потока и без каких-либо гидротехнических сооружений. Гирляндные ГЭС создавались для работы на больших и малых водостоках каналов. Условиями для их использования являются возможность свободного обтекания гидротурбины водным потоком. Их мощность - от 0,5 до 5 кВт в зависимости от скорости воды в реке (1,2-3,0 м/с). Экологические воздействия данных ГЭС минимальные, эксплуатационные неудобства состоят в решении вопросов пропуска малых судов, катеров и лодок, сплавляемой древесины.

Заключение

Потребление энергии из возобновляемых источников в Узбекистане к 2006 году составило 22 млрд. кВт•ч.

Специалисты института "Физика-Солнце" подсчитали, что количество солнечной энергии, попадающей на территорию Узбекистана, в четыре раза больше всей потребляемой в настоящее время в стране энергии из других источников.

ООО "Узгелиоспецмонтаж" осуществляет конкретные проекты по установке гелиосистем на ряде объектов Узбекистана. Так, в Самаркандской области начала действовать первая электростанция на солнечной энергии и уже монтируется еще одна фотоэлектрическая станция, преобразующая энергию солнца в электрическую.

Серийное производство фотоэлектрических станций малой мощности освоило совместное узбекско-российское предприятие "Солеко". Одним из его учредителей стало Агентство по космическим исследованиям Узбекистана - "Узбеккосмос". Работающие на солнечной энергии фотоэлектрические станции обеспечат электричеством стойбища чабанов далеко в пустынях и на альпийских лугах, небольшие поселки геологов, ведущих разведку полезных ископаемых, высокогорные пасеки. Фотоэлектрические станции очень удобны в употреблении. Стоит установить на станции дополнительные модули и мощность ее увеличится. Модули представляют собой ленты из нержавеющей стали со слоем аморфного кремния. Когда пастухи решают перегнать скот на другое пастбище, они свертывают эти ленты в рулон и перевозят на новое место. Эти рулоны можно использовать и для покрытия крыши в постоянных поселках. Тогда каждый дом может иметь на крыше свою миниатюрную электростанцию.

Министерством телекоммуникаций Узбекистана совместно с Исследовательским Центром коммуникаций и Главгидрометом осуществляется проект по созданию комбинированного ветро-солнечного энергетического комплекса для удаленных самодостаточных телекоммуникационных объектов (радио- и телепередатчиков). Мощность такого энергетического комплекса составляет 9 кВт (6 кВт от фотопреобразующих модулей и 3 кВт от ветрогенератора). Было проведено исследование по изучению распределения ветровых нагрузок на локальных территориях Узбекистана. Объект было решено строить рядом с ретрансляционным пунктом Республиканского телевизионного передающего центра возле Чарвакского водохранилища на 1172 метрах над уровнем моря. К началу августа 2000 года объект был введен в опытную эксплуатацию. За два года гибридная установка выработала более 16 тыс. кВт•ч электроэнергии, из которых на работу ретранслятора затрачено более 13 тыс. кВт•ч и сэкономлено ровно столько же промышленного электричества.

В 1987 году в поселке Паркент под Ташкентом сдана в эксплуатацию солнечная печь. Она предназначена для получения жаропрочных тугоплавких материалов и проведения теплофизических исследований. Подготовка сухофруктов традиционно представляет собой достаточно длительный процесс, который может нарушаться периодами плохой погоды. Сегодня энергия солнца используется в фруктосушильной установке, где знаменитый кишмиш получают в более короткие сроки. Гелиосушильные установки применяются и для сушки каракульских смушек, что ускоряет процесс в 2-3 раза.

Во многих районах Узбекистана для использования доступна соленая вода. С целью улучшения питьевых качеств ее опресняют, для чего используются парниковые опреснители, принцип работы которых довольно прост: залитая в них вода испаряется под действием солнечного тепла. Водяные пары, лишившиеся соли, конденсируются на внутренней стороне покатой стеклянной крыши и стекают в специальный водосборник.

Утилизация биомассы, получение и использование биогаза является перспективным направлением энергетики. Правда энергия, получаемая из биомассы, может удовлетворить энергетические потребности Узбекистана лишь на 15-19%. Но это тоже важно, так как использование биомассы для получения энергии в определенной степени решит проблему охраны окружающей среды и снабдит сельское хозяйство высококачественными удобрениями.

Особенность биомассы заключается в том, что, в отличие от нефти, природного газа и угля, она представляет собой постоянно возобновляющийся источник энергии. Источниками биомассы являются твердые бытовые, промышленные отходы, отстой городских сточных вод, отходы животноводства, растительные остатки, продукты леса, в частности отходы при заготовке и транспортировке леса, отходы при производстве лесоматериалов, древесной массы, бумаги и т.д.

Большой интерес с точки зрения получения энергии представляют отходы животноводства при содержании животных в закрытых помещениях в крупных откормочных хозяйствах. Энергию из биомассы можно получить: непосредственным сжиганием, термическим разложением и шлакованием, процессом пролива со ступенчатым испарением, сжиганием биомассы, газификацией топлив, анаэробной ферментацией и т.д. Наиболее эффективный способ получения энергии из отходов животных -это анаэробная ферментация и биогазофикация. В результате используется не только получаемый метан, но и остатки перегнивания, которые применяются в качестве органических удобрений или как корм для скота.

Биогазовые установки успешно функционируют на птицефабриках и откормочных животноводческих комплексах, однако широкого распространения они пока не получают. Министерством коммунального хозяйства Узбекистана совместно с Главгидрометом принято решение о проведении двух пилотных проектов. Первый подразумевает строительство станции, перерабатывающей 55000 т биомассы в год (в том числе твердый домашний мусор, силос, отходы животноводческих ферм). Подобные прототипы работают в Швеции, США и Канаде. Во втором проекте планируется строительство комбинированной котельной-электростанции, работающей на мусоре. Действующий прототип такой котельной работает в Дании.

Существенной экономии энергозатрат можно достигнуть за счет увеличения теплоизолирующих свойств строительных материалов, используя в том числе и растительные отходы, то есть ту же биомассу. В Узбекистане большие площади занимают посевы хлопчатника, кенафа, табака, подсолнечника. И если стебли хлопчатника до сих пор частично использовались как сырье для производства спирта, бумаги, то стебли остальных растений, как правило, просто сжигались. А ведь по природному происхождению и химическому составу они близки к древесине! И это при том, что лесных насаждений в стране очень мало. Ученые Узбекистана разработали технологию получения из этих отходов растениеводства экологически чистых строительных материалов, обладающих хорошими теплоизоляционными свойствами и достаточно высоким сопротивлением к разрыву, что немаловажно для этого сейсмически активного региона.

Развитие гидроэнергетики базируется на использовании малых водотоков с гидроэнергетическим потенциалом порядка 1 млрд. кВт*ч. Планируется строительство до 15 новых ГЭС мощностью выше 10 МВт каждая.

В Узбекистане имеется большой потенциал так называемой малой гидроэнергетики, который сегодня используется на 3,2%. Проведенные исследования выявили возможность выработке на малых ГЭС до 8 млрд. кВт*ч электроэнергии в год. Минсельводхозом принята программа развития малых ГЭС на водохозяйственных объектах со строительством до 2008 года 15 таких станций суммарной мощностью 1,3 млрд. кВт*ч.

Список используемой литературы

1. Ахмедов Р.Б. Нетрадиционные и возобновляемые источники энергии. - М.:«Знание», 1988.

. Калашников Н.П. Альтернативные источники энергии. - М.:«Знание», 1987.

. Твайделл Дж., Уэйр А. Возобновляемые источники энергии:М. Энергоатомиздат. 1990.

. Алферов Ж.И.”Земные профессии солнца”М,1999

. Мировая энергетика: прогноз развития до 2020 г.:М.: Энергия, 1980/

. Андреев В.М., Грилихес В.А., Румянцев В.Д. Фотоэлектрическое преобразование концентрированного солнечного излучения. - Л.: Наука, 1989.

. Андреев В.М. Фотоэлектрическое преобразование солнечной энергии- 1996

. Мейтин М. Фотовольтаика: материалы, технологии, перспективы.

. Фаворский О.Н. Установки для непосредственного преобразования тепловой энергии в электрическую. - М.: Высшая. школа, 1995

. Богословский В.Н., Сканави А.Н. Отопление: Учеб. для вузов. - М.:Стройиздат, 1991.

. ВСН 52-86. Установки солнечного горячего водоснабжения. Нормы проектирования. - М.: Госгражданстрой, 1988.

. Плешка М.С., Вырлан П.М., Стратан Ф.И. и др. Теплонасосные гелиосистемы отопления и горячего водоснабжения зданий. - Кишинев: Штиинца,1990

. РД 34.20.115-89. Методические указания по расчету и проектированию систем солнечного теплоснабжения. - М.: СПО Союзтехэнерго, 1990.

. Шершнев В., Дударев Н. Солнечные системы теплоснабжения // Строительная инженерия. - 2006. - №1.

. Бекман Г, Гилли П. Тепловое аккумулирование энергии: Пер. с англ. - М.:Мир, 1987.

16. http://www.intersolar.ru/ <http://www.stroing.ru/>.

.<http://www.ilies.ru/>.

.<http://www.solar-battery.narod.ru/>.

. Бойлс Д. Биоэнергия: технология, термодинамика, издержки. - М. Агропромиздат, 1987.

. Дубровский В.С., Виестур У.Э. Метановое сбраживание сельскохозяйственных отходов. - Рига: Зинатие, 1988.

. Твайделл Дж., Уэйр А. Альтернативные источники энергии: -М. Энергоатомиздат, 1990.

. Фатеев Е.М. Ветродвигатели и ветроустановки. - М.: ОГИЗ-Сельхозгиз,1948

. Шефтер Я.И., Рождественский И.В. Ветронасосные и ветроэлектрические агрегаты. - М.:,1997.

. http://www.awea.org - The American Wind Energy Assocication

. http://www.ewea.org - The European Wind Energy Assocication

. Р.Огарков Светлячок-Моделист-конструктор,1969

. Дворов И.М. Геотермальная энергетика. - М.: Наука, 1996.

. http://acre.murdoch.edu.au/ - The Australian Renewable Energy Website.

. http://www.mtu-net.ru/lge/ - Лаборатория геотермальной энергетики ЭНИН «России».

. Бернштейн. Л.Б. и др. Приливные электростанции.

. Коробков В.А. Преобразование энергии океана. - Л.: Судостроение, 1986.

. http://acre.humon.edu.au/

. В.И. Сичкарев, В.А. Акуличев Волновые энергетические станции в океане

. Коробков В.А. Преобразование энергии океана. - М.:, 1996.

. http://www.stroing.ru/.

. Васильев Ю.С., Хрисанов Н.И. Экология использования возобновляющихся энергоисточников. - Л.:Изд-во Ленингр.ун-та. 1991. 343с.

Похожие работы на - Альтернативные источники энергии

 

Не нашли материал для своей работы?
Поможем написать уникальную работу
Без плагиата!
Без нейросетей!