Експертиза проекту

  • Вид работы:
    Контрольная работа
  • Предмет:
    Финансы, деньги, кредит
  • Язык:
    Украинский
    ,
    Формат файла:
    MS Word
    28,11 Кб
  • Опубликовано:
    2012-10-04
Вы можете узнать стоимость помощи в написании студенческой работы.
Помощь в написании работы, которую точно примут!

Експертиза проекту

Експертиза проекту

1. Експертиза проекту

Експертиза проекту - це найважливіший етап проектного циклу, на якому інвестор, або сам проводить експертизу інвестиційного проекту по всім напрямкам, або залучає для цього авторитетну консалтингову компанію.

Експертиза забезпечує остаточну оцінку всіх аспектів проекту перед запитом чи рішенням про його фінансування. На заключному етапі розробки проекту готується детальне обґрунтування його доцільності та здійснимості із зазначенням тих компонентів проекту, які дадуть максимальний прибуток. На стадії експертизи увага, як правило, зосереджується на оптимальному варіанті. Провадиться докладне вивчення фінансово-економічної ефективності, факторів невизначеності й ризиків, а також окремих змін у керівництві або політиці, які можуть вплинути на успіх здійснення проекту.

Експертиза проекту передбачає вивчення, аналіз і оцінку проекту, тобто спеціальну перевірку і оцінку можливості виконання та достатності очікуваної ефективності проекту з метою прийняття рішення щодо реалізації проекту або участі в його реалізації.

Послідовність кроків під час експертизи проекту така:

• перевірка повноти наявної документації для проекту, зокрема повноцінності (відповідно до типового складу) змісту кожного документа;

• оцінка загального рівня розробленості проекту (комплексність, детальність, глибина, використані методики, кількісне і якісне обґрунтування);

• оцінка достовірності інформації, що використовується у проекті: зовнішня інформація (макроекономічне середовище, стан ринку продукції проекту, стан фінансового ринку, ціни, техніко-економічні параметри устаткування, соціальне оточення проекту, вимоги до екології, відносини з місцевою владою, наявність трудових ресурсів для проекту), якість застосованих у проекті методик, зокрема методів прогнозування;

• оцінка організаційних умов проекту: можливості для організації виробництва товарів чи послуг, організаційний план виробництва та матеріально-технічного забезпечення, складські умови, можливості зберігання товарно-матеріальних цінностей, обслуговування технічної бази проекту, охорона, юридичні аспекти проекту, вибір базового підприємства для проекту, оцінка впливу розподілу прав власності щодо активів проекту на процес його реалізації;

• оцінка плану керування реалізацією проекту (з поділом на стадію створення інвестиційного об'єкта і стадію його поточної експлуатації);

• перевірка комерційної можливості виконання проекту (реалістичності маркетингового плану, збалансованості фінансових аспектів проекту, достатності наявних ресурсів, потенційної достатності прибутку, наявності резервів часу та коштів у разі ускладнень, що виникають при реалізації проекту);

• оцінка спроможності учасників (юридичних і фізичних осіб) проекту - їхня реальна зацікавленість у проекті, поточний стан і перспективи конкурентоспроможності протягом періоду життя проекту;

• аналіз інвестиційного ризику проекту: рівень реального ризику, якість відображення ризику у планах реалізації та документації проекту, достатність передбачених у проекті заходів зниження впливу слабких сторін проекту;

• аналіз очікуваної авторами ефективності проекту: прогнозоване макроекономічне середовище, критерії оцінки ефективності, методика розрахунку показників, внутрішня взаємоузгодженість розділів проекту, урахування загальної інфляції та цінових змін на ринку, урахування зміни вартості грошей у часі, вибір кількісних орієнтирів щодо порівняльної середньоринкової прибутковості на прогнозований період.

Експертиза проекту може здійснюватись як особами, котрі проводили передінвестиційні дослідження й розробку проекту, так і сторонніми експертами.

Експертиза забезпечує детальний аналіз усіх аспектів проекту та його наслідків. На цьому етапі закладається основа для реалізації проекту. План проекту, прийнятий на етапі експертизи, є базою для оцінки успішності проекту. Експертизі можуть підлягати як проект, так і організації, що беруть участь у реалізації проекту.

Завданням експертизи проекту є визначення того, наскільки позитивні результати проекту перевищать його негативні наслідки.

Комерційна експертиза вимагає проведення аналізу:

♦ доступності і якості ресурсів та їх вартісної оцінки;

♦ попиту на продукцію, заходів по маркетингу та ймовірних Цін;

♦ витрат і прибутків для визначення комерційної життєздатності суб'єкта.

Технічна експертиза містить оцінку:

♦ масштабу проекту;

♦ процесів, матеріалів, обладнання та надійності технічних систем;

♦ придатності технічного плану для місця розташування проекту;

♦ доступності та якості потрібних для проекту ресурсів;

♦ рівня сервісу й надійності існуючої інфраструктури, яку використовуватиме проект;

♦ строків і графіка виконання технічних вирішень для реалізації проекту.

Екологічна експертиза дозволяє оцінити вплив проекту на довколишнє середовище в таких напрямах:

♦ забруднення повітряного басейну, ґрунтів та водойм;

♦ зниження біологічної різноманітності;

♦ перевезення, використання або віддалення небезпечних чи токсичних відходів;

♦ засоленість та заболоченість земель. Соціальна експертиза має відповісти на питання:

♦ якою мірою люди, які повинні дістати вигоду від проекту, мають доступ або контролюють виробничі ресурси району;

♦ яким чином структура сім'ї поліпшує чи погіршує перспективи для успіху проекту;

♦ чи мають дрібні виробники доступ до інформації про ширші ринки збуту та регіональну економіку;

♦ яким чином система землекористування та землеволодіння, а також можливості альтернативного працевлаштування можуть вплинути на ступінь зацікавленості в видах діяльності, запропонованих згідно з проектом, для гаданих одержувачів вигоди від його реалізації.

Інституційні аспекти експертизи містять:

♦ обґрунтування можливостей реалізації проекту в існуючому політичному, економічному та правовому середовищі;

♦ мотивацію формування команди проекту;

♦ оцінку потенціалу та структури організації, що здійснює

проект;

♦ визначення організаційних змін, необхідних для успішної реалізації проекту;

♦ визначення критеріїв, які використовуються для оцінки правильної й раціональної організації.

Фінансова експертиза дає змогу перевірити фінансову життєздатність проекту і визначити заходи, необхідні для обґрунтованого фінансового управління проектом. Окрім того, фінансова експертиза може також брати до уваги деякі або всі нижченаведені чинники:

♦ рентабельність проекту;

♦ фінансові наслідки для замовників або інвесторів проекту, включаючи оцінку ризиків;

♦ стандарти фінансової діяльності, яких слід дотримуватися під час здійснення проекту.

Фінансова експертиза включає поточну й перспективну оцінку:

♦ бухгалтерського балансу;

♦ звіту про прибутки й збитки;

♦ руху коштів;

♦ можливості фінансування за рахунок різних джерел. Економічна експертиза дозволяє оцінити:

♦ чи є виправданим використання проектом національних ресурсів з огляду на наявність конкурентного попиту на ці ресурси;

♦ вигоди, які буде одержано в результаті реалізації проекту, для суспільства в цілому;

♦ необхідні стимули для різних учасників проекту.

. Методи оцінки ефективності інвестиційного проекту

Ефективність інвестиційного проекту визначається через оцінювання співвідношення грошових потоків за проектом. Позитивний чистий грошовий потік (як різниця між припливом та відпливом коштів) формує економічну вигоду проекту для інвестора.

Загальна доходність проекту визначається як середньорічний приріст активів проекту, поділений на вартість активів на початок року.

Для будь-якого проекту спочатку характерні інвестиційні витрати, а потім - доходи від проекту. Іноді частково це відбувається водночас. Проте проект скуповується лише через певний час, потрібний для того, щоб доходи, нагромаджуючись, зрівнялися з первинними інвестиційними витратами організатора проекту. При цьому слід ураховувати, що кожна гривня, яку має інвестор сьогодні і вкладає у проект, і гривня, яку інвестор планує отримати в майбутньому від проекту, не рівноцінні й не тільки через інфляцію.

Методологічним принципом оцінки ефективності є порівняння результатів і витрат. Для інвестиційних проектів це означає порівняння обсягів доходів і витрат, що їх забезпечили. Використовують кілька показників, що базуються на різних варіантах співвідношення між доходами і витратами при інвестуванні.

Введемо умовні позначення економічних показників, що будуть використані при визначенні оцінки інвестиційного проекту:

Р - обсяг доходів від проекту (найчастіше це доходи від реалізації продукції, послуг або активів проекту);

Ви - інвестований капітал (інвестиційні витрати);

Ве - поточні витрати за проектом (витрати на виробництво продукції або послуг за проектом), тобто експлуатаційні витрати;

А - річна амортизація основних фондів, в які інвестовано капітал;

Т - період реалізації проекту (кількість років);

t - порядковий номер кожного року (у вигляді індексу при відповідних показниках) (t = 1,2, ..., Т);

r - річна дисконтна ставка, яку використовують для приведення грошових потоків майбутніх періодів до умов поточного року. Для кожного проекту залежно від критеріїв, якими керується інвестор, рівень r може бути різний, враховуючи макроекономічну ситуацію у країні, рівень ризикованості економіки країни, галузі, проекту, середню дохідність капіталу інвестора, вартість його капіталу, співвідношення позиченого і власного капіталу та інші причини;



Річна дисконтна ставка для приведення майбутніх грошових потоків у поточні умови обліку є суб'єктивним показником відношення інвестора (розрахунки виконують передусім для нього, тому що саме він ризикує при інвестуванні своїм капіталом і приймає рішення) до зміни з часом вартості грошей. Як правило, дисконтну ставку можна подати у вигляді суми трьох елементів:

• середня дохідність на фінансовому ринку грошових коштів при використанні безризикових фінансових інструментів (це альтернатива будь-якому проекту інвестування);

• рівень ризику, пов'язаний з нестабільністю економіки країни (вірогідність для прогнозованого періоду того, що буде досягнуто макроекономічним рівнем, який несподівано погіршить показники проекту);

• рівень ризику, пов'язаний з проектом, для якого встановлюється дисконтна ставка (вірогідність у прогнозованому періоді негативних подій у керуванні проектом, що позначаться на проекті).

Виходячи із зазначених умовних позначень існують такі методи оцінки ефективності проекту:

. Чиста приведена вартість (цінність) проекту визначається як загальна різниця між приведеними доходами і витратами за проектом за всі роки його реалізації:


Проект отримає позитивну оцінку, якщо NPV> 0.

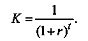
2. Термін окупності проекту Tk - це мінімальна кількість років реалізації проекту, при якій загальний приведений прибуток перевищуватиме обсяг інвестованого капіталу. Для певного терміну окупності має виконуватися рівність


де Тk - кількість років, потрібних для того, щоб обсяг прибутку від інвестицій зрівнявся з обсягом Ви (термін окупності).

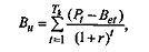
. Коефіцієнт доходів і витрат (співвідношення доходів і витрат) свідчить про те, який дохід за проектом припадає на одиницю загальних витрат (інвестованого капіталу та поточних експлуатаційних витрат). Обидві величини (чисельник і знаменник) розраховують як приведені до поточного моменту часу:


Проект отримає позитивну оцінку, якщо к > 1.

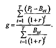
4. Коефіцієнт прибутковості (співвідношення прибутку та інвестованого капіталу) свідчить про те, скільки (за весь час реалізації проекту) приведеної вартості поточного прибутку припадає на одиницю приведеної вартості інвестованого капіталу:


Проект отримає позитивну оцінку, якщо g > 1.

5. Внутрішня норма прибутковості R - це дисконтна ставка г, при використанні якої чиста приведена вартість (цінність) інвестування дорівнюватиме нулю, тобто виконуватиметься рівність


Проект отримає позитивну оцінку, якщо внутрішня норма його прибутковості перевищуватиме дохідність капіталу інвестора, на яку він сподівається: R > Rn.

Внутрішня норма прибутковості є тією межею, вище якої проект дає від'ємну загальну прибутковість. Розраховане для проекту значення R0 має порівнюватися з дохідністю використання капіталу, яку очікує і на яку згоден інвестор R

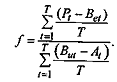
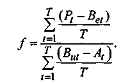
. Показник фондовіддачі f проекту визначає співвідношення поточного прибутку за проектом (у чисельнику) і залишкової вартості інвестованого капіталу (у знаменнику) з урахуванням їх щорічної амортизації (зношення):


Цей показник свідчить про те, який у середньому прибуток отримає інвестор на 1 грн інвестованого капіталу.

3. Комерційний аспект проектного аналізу

Метою комерційного аналізу інвестиційного проекту є оцінка інвестиції з погляду перспектив кінцевого ринку для продукції чи послуг.

Завданнями комерційного аналізу є відповіді на питання:

♦ якими є характеристики ринку, де реалізуватиметься продукція або послуги проекту;

♦ за якою ціною продаватимуться продукція чи послуги;

♦ які заходи з управління маркетингом треба буде здійснити для виведення продукції чи послуг на ринок і яка вартість цих заходів.

Для розв'язання завдань, які ставить перед комерційним аналізом проектне планування, використовуються ефективні підходи до оцінки ціни, попиту і пропозиції, розроблені світовою практикою. Передбачається також, що протягом часу здійснення проекту застосовується стратегія активного впливу на ринок, яка характеризується відмовою від практики пасивного пристосування до ринкових умов і переходом до політики впливу на ринок конкретного споживача продукції. Комерційний аналіз ураховує, що орієнтація на ринок збуту є дуже важливою ознакою маркетингової стратегії управління інвестиційним проектом і виражається в перенесенні центрів економічних рішень у збутові ланки. З цього випливає, що основними об'єктами вивчення і впливу стають споживач, конкурент, кон'юнктура ринку, якісні характеристики товару, умови руху товару та заходи по просуванню товару на ринок.

Комерційний аналіз ґрунтується на п'яти основних підходах, згідно з якими організації ведуть свою промислово-ринкову діяльність. Це такі концепції:

♦ вдосконалення виробництва;

♦ вдосконалення товару;

♦ інтенсифікація комерційних зусиль;

♦ маркетинг;

♦ соціально-етичний маркетинг.

Метою комерційного аналізу інвестиційного проекту є оцінка інвестиції з погляду перспектив кінцевого ринку для продукції чи послуг.

Завданнями комерційного аналізу є відповіді на питання:

♦ якими є характеристики ринку, де реалізуватиметься продукція або послуги проекту;

♦ за якою ціною продаватимуться продукція чи послуги;

♦ які заходи з управління маркетингом треба буде здійснити для виведення продукції чи послуг на ринок і яка вартість цих заходів.

Для розв'язання завдань, які ставить перед комерційним аналізом проектне планування, використовуються ефективні підходи до оцінки ціни, попиту і пропозиції, розроблені світовою практикою. Передбачається також, що протягом часу здійснення проекту застосовується стратегія активного впливу на ринок, яка характеризується відмовою від практики пасивного пристосування до ринкових умов і переходом до політики впливу на ринок конкретного споживача продукції. Комерційний аналіз ураховує, що орієнтація на ринок збуту є дуже важливою ознакою маркетингової стратегії управління інвестиційним проектом і виражається в перенесенні центрів економічних рішень у збутові ланки. З цього випливає, що основними об'єктами вивчення і впливу стають споживач, конкурент, кон'юнктура ринку, якісні характеристики товару, умови руху товару та заходи по просуванню товару на ринок.

Комерційний аналіз ґрунтується на п'яти основних підходах, згідно з якими організації ведуть свою промислово-ринкову діяльність. Це такі концепції:

♦ вдосконалення виробництва;

♦ вдосконалення товару;

♦ інтенсифікація комерційних зусиль;

♦ маркетинг;

♦ соціально-етичний маркетинг.

Аналіз комерційної здійснюваності проекту передбачає дослідження двох аспектів: потенційних можливостей продажу продукції (чи послуги) у запланованих обсягах та цінах і забезпечення проекту необхідними ресурсами, насамперед матеріальними - сировиною, матеріалами, комплектуючими виробами, паливом, енергією.

Маркетинговий план проекту має забезпечити намічені обсяги продажу, а отже, у ньому передбачено комплекс основних заходів для забезпечення доходів проекту. Адже зазвичай реалізація продукції й послуг - основне джерело припливу коштів. Інші аспекти проекту порівняно з продажем, місцем проекту на ринку, ставленням до проекту споживачів є забезпечуючими, навіть (частково) другорядними.

Основне завдання маркетингового плану проекту - прогнозування попиту та цін на продукцію, розробка заходів щодо її збуту. Дуже ймовірними є помилки у прогнозах поведінки ринку після виходу на нього продукції проекту і відповідні відхилення від прогнозів обсягу ринку щодо продукції проекту.

Прогнози попиту на продукцію потребують постійних коригувань навіть при реалізації проекту. Спрогнозувати зміни у технології, доходах споживачів, цінах на сировину і матеріали можна лише орієнтовно, особливо на тривалу перспективу. Тому маркетинговий план повинен мати достатній резерв щодо оцінки майбутнього попиту на продукцію з тим, щоб непередбачені коливання ринкової кон'юнктури не вибили проект із запланованого рівня прибутковості.

Те саме стосується і ринкової стратегії. Необхідно попередньо розроблювати заходи для нейтралізації непередбачених значних змін У ситуації на ринку.

Аналіз комерційної здійснюваності проекту передбачає дослідження:

• повноти і комплексності маркетингових заходів щодо проекту;

• рівня розробки і привабливості продукції проекту;

• репутації підприємства і продукції;

• правильності вибору цінової політики;

• плану просування товару на ринок;

• ефективності взаємозв'язку продавця і покупця, організації роботи із споживачами (особливо постійними) продукції проекту;

• організації збуту продукції;

• опису ринку продукції проекту і його можливої реакції на продукцію проекту;

• використовуваних методів прогнозування попиту; можливої конкуренції з боку товарів-замінників;

• організації впливу на ринок для адаптації продукції проекту;

• основних факторів успіху продукції проекту (якість, організація продажу, можливість розробки нових продуктів, репутація підприємства, реклама, витрати виробництва, ціна продукції, фінансова стабільність підприємства).

Одночасно з ринковою стратегією проекту опрацьовують питання забезпечення проекту необхідними матеріальними ресурсами. Глибина дослідження залежить від стану відповідних регіональних ресурсних ринків. При цьому необхідно проаналізувати не лише поточний стан цих ринків, а й спрогнозувати можливі зміни сировинних (для проекту) ринків на період реалізації проекту.

Як і при прогнозуванні збуту продукції, для ресурсного забезпечення проекту важливо обґрунтувати прогноз цін на потрібні матеріальні ресурси для поточної експлуатації проекту. Помилки в оцінці вартості ресурсного забезпечення проекту накопичуються до кінцевого етапу реалізації, який найбільше віддалений від поточного періоду, коли розроблюється і обґрунтовується проект. Тому помилки прогнозу особливо позначаються на завершальному етапі реалізації проекту.

При аналізі чутливості проектів щодо окремих факторів ризику перше місце за впливом на загальну прибутковість проекту належить прогнозуванню очікуваної ціни реалізації продукції проекту, а друге -прогнозуванню цін на основні матеріальні ресурси. Еластичність зміни прибутковості проекту при зміні цих факторів виявляється для проекту найбільшою серед інших факторів (вартість обладнання і проектування, залишкова вартість проекту, вартість підготовки персоналу, кількісні обсяги реалізації продукції тощо). Це означає, що помилки у прогнозуванні цін збуту та цін на матеріальні ресурси матимуть найгірші наслідки для проекту.

Робота із забезпечення проекту ресурсами за рівнем значущості для проекту поступається лише роботі із забезпечення реалізації продукції.

Для вирішення питань, які ставить перед комерційним аналізом проектний аналіз, використовується комплекс маркетингових прийомів, об'єднаних у процес управління маркетингом. Процес управління маркетингом включає в себе аналіз ринкових можливостей, відбір цільових ринків, розробку комплексу маркетингу і реалізацію маркетингових заходів, які в сукупності дозволяють дати відповіді на такі питання: на якому ринку реалізовуватиметься продукція проекту; які характеристики ринку; за якою ціною продаватиметься продукція проекту; які заходи по управлінню маркетингом треба здійснити для виведення продукції на ринок.

Аналіз ринкових можливостей використовує систему ринкової інформації, що в свою чергу поділяється на системи внутрішньої звітності, зовнішньої інформації, маркетингових досліджень, аналізу інформації.

Розробка комплексу маркетингу - це розробка товарів з урахуванням товарної стратегії проекту, ціноутворення, організація руху товару та стимулювання збуту.

Вибір пріоритету здійснюється при постановці завдань ціноутворення, оцінюються цінові межі попиту, проводиться оцінка витрат, порівнюються ціни і споживчі характеристики товарів конкурентів, вибирається метод ціноутворення (як правило, це встановлення ціни на основі забезпечення цільового прибутку), для чого використовується графік беззбитковості і робиться остаточний прогноз ціни з урахуванням знижок та надбавок.

Далі вибираються канали руху товару і визначаються їх прогнозовані показники (оперативністю виконання замовлень, якістю складської мережі, координацією асортименту і т.д.). Визначаються способи просування продукції, розробляється план кампанії по просуванню продукції проекту на ринок, оцінюються витрати на маркетингові заходи.

Маркетингові заходи здійснюються на базі стратегічних планів, які призначені для створення і підтримання стратегічної відповідності між цілями проекту та його маркетинговими можливостями (розробляється програма проекту, визначаються завдання й цілі, складаються плани розвитку товарного портфеля, виробляється стратегія зростання проекту), а також на базі оперативних деталізованих планів маркетингу.

План маркетингу містить зведення контрольних показників, опис наявної маркетингової ситуації, визначає поточні завдання й проблеми, формулює стратегію маркетингу конкретного товару, містить програму дій, бюджет та порядок контролю. Контроль полягає у порівнянні поточних показників з контрольними цифрами плану. Контролюється прибутковість для виявлення найперспективніших напрямів вкладення коштів.

Обов'язковим елементом маркетингової діяльності є маркетингова ревізія, що являє собою комплексне, системне, об'єктивне і регулярне дослідження маркетингової діяльності проекту. Ревізії зазнає маркетингове середовище, стратегія маркетингу, діяльність служби маркетингу, а також окремі системи маркетингу.

Для вирішення питань, які ставить перед комерційним аналізом проектний аналіз, використовується комплекс маркетингових прийомів, об'єднаних у процес управління маркетингом. Процес управління маркетингом включає в себе аналіз ринкових можливостей, відбір цільових ринків, розробку комплексу маркетингу і реалізацію маркетингових заходів, які в сукупності дозволяють дати відповіді на такі питання: на якому ринку реалізовуватиметься продукція проекту; які характеристики ринку; за якою ціною продаватиметься продукція проекту; які заходи по управлінню маркетингом треба здійснити для виведення продукції на ринок.

Аналіз ринкових можливостей використовує систему ринкової інформації, що в свою чергу поділяється на системи внутрішньої звітності, зовнішньої інформації, маркетингових досліджень, аналізу інформації.

Розробка комплексу маркетингу - це розробка товарів з урахуванням товарної стратегії проекту, ціноутворення, організація руху товару та стимулювання збуту.

Вибір пріоритету здійснюється при постановці завдань ціноутворення, оцінюються цінові межі попиту, проводиться оцінка витрат, порівнюються ціни і споживчі характеристики товарів конкурентів, вибирається метод ціноутворення (як правило, це встановлення ціни на основі забезпечення цільового прибутку), для чого використовується графік беззбитковості і робиться остаточний прогноз ціни з урахуванням знижок та надбавок.

Далі вибираються канали руху товару і визначаються їх прогнозовані показники (оперативністю виконання замовлень, якістю складської мережі, координацією асортименту і т.д.). Визначаються способи просування продукції, розробляється план кампанії по просуванню продукції проекту на ринок, оцінюються витрати на маркетингові заходи.

Маркетингові заходи здійснюються на базі стратегічних планів, які призначені для створення і підтримання стратегічної відповідності між цілями проекту та його маркетинговими можливостями (розробляється програма проекту, визначаються завдання й цілі, складаються плани розвитку товарного портфеля, виробляється стратегія зростання проекту), а також на базі оперативних деталізованих планів маркетингу.

План маркетингу містить зведення контрольних показників, опис наявної маркетингової ситуації, визначає поточні завдання й проблеми, формулює стратегію маркетингу конкретного товару, містить програму дій, бюджет та порядок контролю. Контроль полягає у порівнянні поточних показників з контрольними цифрами плану. Контролюється прибутковість для виявлення найперспективніших напрямів вкладення коштів.

Обов'язковим елементом маркетингової діяльності є маркетингова ревізія, що являє собою комплексне, системне, об'єктивне і регулярне дослідження маркетингової діяльності проекту. Ревізії зазнає маркетингове середовище, стратегія маркетингу, діяльність служби маркетингу, а також окремі системи маркетингу.

інвестиційний фінансовий прибутковість окупність

4. Задача

Визначити чисту теперішню вартість та коефіцієнт вигод/витрат за проектом за ставки дисконтування - 10 %, якщо проект розраховано на три роки й інвестиції - 100 тис. грн.

Чиста теперішня вартість визначається за формулою:

ЧТВ = ,

P - грошові потоки,

I - інвестиції,

d - ставка дисконтування.

ЧТВ = (0-100)*() = (-100) *(0,91 + 0,83 + 0,75) = (-100)*2,49 = -249 тис. грн.

Коефіцієнт вигід / витрат визначається за формулою:

КВВ = = = = 0,01

5. Задача

Визначити рентабельність інвестицій за проектом за ставки дисконтування - 10 %, якщо проект розраховано на три роки й інвестиції - 100 тис. грн.

Рентабельність інвестицій визначається за формулою:

РІ = (Р - І)*(1+d)/ І *(1+d)

Тоді РІ = (-100)*2,49 / 100*2,49 = -1

Література

1. Ковалев В.В. Методы оценки инвестиционных проектов. - М.: Финансы и статистика, 1998. -144с.

. Москвін С.О. Проектний аналіз. - К.: Лібра, 1998.

. Пересада А.А. Управління інвестиційним процесом. - К: Лібра, 2002. - 472 с.

. Титаренко Н.О., Підручник А.М. Теорії інвестицій: Навч. посібник. - К.: КНЕУ, 2000. - 160с.

. Цигилик І.І., Кропельницька СО., Білий М.М., Мозіль О.І. Аналіз і розробка інвестиційних проектів: Навчальний посібник. - Київ: Центр навчальної літератури, 2005. - 160 с

. Щукін Б. М. Аналіз інвестиційних проектів: Конспект лекцій. - К.: МАУП, 2002. - 128 с: іл. - Бібліогр.: с 125.

Похожие работы на - Експертиза проекту

 

Не нашли материал для своей работы?
Поможем написать уникальную работу
Без плагиата!
Без нейросетей!