Выбор оптимальной стратегии ремонта и замены оборудования
Министерство
высшего и профессионального образования
Российской
Федерации
Самарский
государственный технический университет
Кафедра «Экономика промышленности»
Курсовая работа
По курсу
«Оптимизация управленческих решений»
тема
«Выбор
оптимальной стратегии ремонта и замены оборудования»
выполнила:
студентка
V-ИЭ-4 Камалетдинова А.
проверил:
Ладошкин А.И.
Самара 2012
г.
Содержание
Задание на
курсовую работу
Введение
Глава 1.
Теоретическая часть
1.1 Ремонтное
хозяйство на предприятии
.2 Система
планово-предупредительных ремонтов
.3
Особенности эксплуатации и ремонта нефтяного оборудования
Глава 2.
Расчетная часть
.1 Описание
предприятия
2.2
Обоснование дохода в задачи о замене оборудования
.3 Методика
расчета стратегии сохранения или замены оборудования по варианту
.3.1 Подход
максимизации дохода
.3.2 Подход
минимизации затрат
2.4 Расчет
оптимальной стратегии замены оборудования
Заключение
Список
литературы
Задание на курсовую работу
На основании задачи о замене оборудования рассчитать оптимальную
стратегию сохранения или замены оборудования.
Вариант 5.5.
Таблица 1.
Исходные данные
|
Годы
|
0
|
1
|
2
|
3
|
4
|
5
|
6
|
7
|
8
|
9
|
10
|
|
R(t)
|
41
|
39
|
37
|
34
|
32
|
31
|
28
|
26
|
33
|
19
|
18
|
|
U(t)
|
0
|
1
|
3
|
4
|
6
|
7
|
10
|
11
|
13
|
14
|
17
|
где Т - плановый период (10 лет)
R -
получаемый доход
U- издержки
по эксплуатации оборудования
Цена нового оборудования - 43 усл. ед.
Введение
В современных условиях повышенные требования к обслуживанию производства
предъявляются вследствие перехода предприятий на новые экономические условия,
отличительной чертой которых является экономия производственных ресурсов. Это
диктует увеличение непрерывности производственных процессов, конструктивное и
технологическое совершенствование выпускаемой продукции, улучшение
использования основных фондов и оборотных средств.
Перевод экономики на интенсивный путь развития требует, прежде всего
улучшения использования производственных мощностей, основных производственных
фондов. Улучшение использования машин, механизмов, оборудования, как по его
техническим возможностям, так и во времени позволяет увеличить выпуск продукции
или объем выполняемых работ, повысить производительность труда работников и
фондоотдачу. Вместе с тем растет значение своевременного поддержания основных
производственных фондов в рабочем состоянии, предупреждения поломок и остановок
оборудования, преждевременного его изнашивания. Это обеспечивается проведением
ремонта основных фондов.
Целью данной курсовой работы является разработка оптимальной стратегии
замены оборудования на плановый период функционирования предприятия.
Глава 1. Теоретическая часть
.1 Ремонтное хозяйство на предприятии
В распоряжении современных предприятий находится разнообразное
оборудование, установки, механизмы, транспортные средства и другие виды
основных фондов. В процессе эксплуатации оборудование теряет свои рабочие
качества из-за износа и разрушения отдельных деталей или их поверхностных
слоёв, что приводит к снижению точности, производительности; при
несвоевременном ремонте создаются предпосылки для прогрессирующего износа оборудования,
снижения качества выпускаемой продукции вплоть до выпуска брака и возможного
аварийного состояния оборудования.
Обеспеченность предприятия отдельными видами машин, механизмов,
оборудования, помещений устанавливается сравнением фактического их наличия с
плановой потребностью, необходимой для выполнения плана по выпуску продукции.
В целях ликвидации износа и поддержания оборудования в нормальном
работоспособном состоянии необходимо своевременно и качественно заменять
износившиеся части или восстанавливать их первоначальные свойства и размеры,
проводить регулирование и выверку всех координат агрегата.
Все виды ремонта основных фондов должны производиться в предупредительном
порядке. Организационные и технические мероприятия для профилактического ухода
и надзора призваны предотвращать преждевременный износ и аварии, поддерживать
основное оборудование в состоянии эксплуатационной пригодности.
Функции поддержания оборудования в исправном состоянии на предприятии
выполняются специальной службой - ремонтным хозяйством, осуществляющим все виды
ремонта, модернизацию и межремонтное обслуживание оборудования.
Основными задачами ремонтного хозяйства предприятия являются обеспечение
нормальной работоспособности оборудования, сокращение времени и затрат на
ремонт.
Ремонтное хозяйство предприятия представляет собой совокупность отделов и
производственных подразделений, занятых анализом технического состояния
технологического оборудования, надзором за его состоянием, техническим
обслуживанием, ремонтом, разработкой мероприятий по замене изношенного
оборудования на более прогрессивное и улучшению его использования. Выполнение
этих работ должно быть организовано с минимальным простоем оборудования, в
кратчайшие сроки, своевременно, качественно и с минимальными затратами.
Эффективность работы ремонтного хозяйства во многом предопределяет
себестоимость выпускаемой продукции, её качество и производительность труда на
предприятии, так как удельный вес затрат на содержание и ремонт оборудования в
себестоимости продукции достигает 10%.
Организация ремонтного хозяйства на предприятии включает в себя
выполнение комплекса работ, который можно укрупнено объединить в три блока:
А) экономический: работы по учету и анализу эффективности использования
основных производственных фондов; разработке норм потребности в оборудовании
для замены его изношенной части, технического перевооружения, капитального
строительства; разработке норм потребности в запасных частях и материальных
ресурсах для технического обслуживания, использовании и ремонта ОПФ;
Б) технический: осуществление технического надзора за состоянием
оборудования и других элементов ОПФ; проведение технического обслуживания
технологического оборудования; проектирование, изготовление и восстановление
запасных частей; исполнение различных видов ремонта элементов ОПФ
В) организационный: организация материально-технического обеспечения
ремонтного хозяйства; организация входного и выходного контроля качества
материалов, комплектующих изделий, запасных частей и оборудования, поступающих
в ремонтное хозяйство или выходящих из него; разработка элементов ОПФ;
внедрение прогрессивных для данных условий форм организации производства;
совершенствование организационной и производственной структур ремонтного
хозяйства.
Ремонтное хозяйство может включать в себя следующие подразделения:
ü Экономический отдел
ü Технический отдел
ü Организационный отдел
ü Ремонтно-механический цех
ü Склад
Основными направлениями совершенствования ремонтного хозяйства и
повышения эффективности его функционирования могут быть:
в области организации производства
в области планирования производства ОПФ
в области проектирования и изготовления запасных частей
в области организации работ
в области технического надзора, обслуживания и ремонта ОПФ
Различают три формы организации ремонтов: централизованную,
децентрализованную, смешанную.
При централизованной форме организации все виды ремонтов выполняются
производственным аппаратом главного механика. Весь ремонтный персонал и
материальные ресурсы, необходимые для производства ремонта и изготовления
сменных деталей, сосредотачиваются в ремонтно-механическом цехе предприятия. За
основными цехами при этом сохраняется только межремонтное обслуживание
оборудования и связанные с ним мелкие ремонты, выполняемые дежурными слесарями.
При децентрализованной форме организации средства ремонта рассредоточены:
в каждом цехе создаются ремонтные бригады и организуются ремонтные мастерские,
изготавливающие сменные детали для нужд цеха. За главным механиком сохраняется
общее руководство ремонтным хозяйством и контроль работы цехов в этой области.
Смешанная форм организации ремонта характеризуется между
ремонтно-механическим цехом и ремонтно-механическими мастерскими основных
цехов. При этом капитальные ремонты, равно как и изготовление большей части сменных
деталей, выполняются ремонтно-механическим цехом, текущие же ремонты - силами
ремонтных рабочих основных цехов. В последнее время всё большее распространение
получает выполнение капитальных ремонтов подрядными организациями.
.2 Система планово-предупредительного ремонта
Работоспособность различного рода оборудования во многом зависит от того,
в каком техническом состоянии оно находится. Любой вид оборудования состоит из
значительного числа конструктивных элементов. Долговечность конструктивных элементов
основных фондов различна из-за неравномерности нагрузок при эксплуатации.
Сущность ремонта заключается в том, чтобы путем восстановления или замены
некоторой части конструктивных элементов, полностью израсходовавших свой
ресурс, обеспечить использование эксплуатационных ресурсов других, еще не
изношенных элементов.
Система ППР предусматривает проведение по заранее составленному графику
совокупности организационных и технических мероприятий профилактического
характера по уходу, надзору за оборудованием, по его обслуживанию и ремонту,
цель которых - предотвращать прогрессивный износ оборудования, предупреждать
аварии и поддерживать станочный парк предприятия в постоянной эксплуатационной
готовности. Система ППР призвана увеличить межремонтные сроки работы
оборудования, снизить расходы на выполнение ремонтных операций и повысить
качество ремонтов. Она включает в себя межремонтное обслуживание, осмотры,
текущий ремонт, капитальные ремонты.
Межремонтное обслуживание - это повседневный уход и надзор за работой
оборудования. Оно предполагает проведение смазки и чистки станков, регулировку
механизмов и устранение всевозможных мелких неисправностей без замены деталей и
узлов. Эта работа выполняется специальным дежурным ремонтным персоналом без
нарушения основного производственного процесса.
Текущий ремонт - минимальный по объему вид планового ремонта, при котором
заменой или восстановлением небольшого числа изношенных деталей, срок службы
которых равен межремонтному периоду или меньше его, и регулированием механизмов
обеспечивается нормальная эксплуатация оборудования до очередного капитального
ремонта.
Текущий ремонт проводится комплексной бригадой по плану-графику,
утвержденному главным инженером на основании структуры ремонтного цикла, при
принудительной обязательной остановке оборудования на срок выполнения ремонта.
Капитальный ремонт - ремонт, осуществляемый с целью восстановления
исправности и полного или близкого к полному восстановления ресурса
оборудования путем замены или восстановления любых его частей, включая базовые,
с проведением полного комплекса проверок, испытаний, проводимых для нового
оборудования.
При капитальном ремонте проводится модернизация оборудования с целью
увеличения долговечности службы деталей и улучшения производственных
показателей оборудования.
Капитальный ремонт предполагает полную разработку оборудования, ремонт и
замену всех изношенных узлов и деталей, сборку и испытание оборудования.
.3 Особенности эксплуатации и ремонта нефтяного оборудования
Современное нефтепромысловое оборудование, наземное и скважинное,
работает в неблагоприятных условиях окружающей среды и подвергается воздействию
высоких нагрузок. В отношении организации работ по техническому обслуживанию и
ремонту нефтепромысловое оборудование также занимает особое положение.
Неблагоприятные условия эксплуатации нефтепромыслового оборудования
предопределяют характерные для него сложность и специфичность условий
технического обслуживания и ремонта.
Специфические требования, важные с точки зрения производства,
эксплуатации, технического обслуживания и ремонта:
) достижение высокого уровня общей функциональной надежности оборудования
в различных неблагоприятных условий эксплуатации;
) установление параметров технической характеристики во времени и
сохранение работоспособности в течение технологически замкнутого цикла
эксплуатации;
) высокий уровень ремонтопригодности оборудования;
) высокий уровень унификации и взаимозаменяемости узлов.
Улучшение организации ремонта - большая производственно-технологическая
проблема. Затраты на ремонт весьма велики, поэтому необходимо ускорять и
удешевлять ремонт при широком внедрении мероприятий по совершенствованию
технологии и организации проведения ремонтных работ. Большое значение имеет
модернизация оборудования.
Таким образом, перед НГДУ стоит задача не только улучшении организации
ремонтных работ, но и рационализации, модернизации, замены устаревшего
оборудования.
стратегия
замена нефтяной оборудование
Глава 2. Расчетная часть
.1 Описание предприятия
НГДУ «Сорочинскнефть» сегодня - это более 1000 сотрудников. Ежегодно
сорочинские нефтяники увеличивают добычу нефти с 7 млн. 835 тыс. тонн в 2007
году - до 8 млн. 631 тыс. - в 2008 г, более 9 млн - в 2009г. Интенсивно ведется
бурение.
октября 2009 года в НГДУ «Сорочинскнефть» ОАО «Оренбургнефть» ТНК-ВР
добыта 100-миллионная тонна нефти. Не случайно за большие достижения в развитии
топливно-энергетической промышленности, за ускоренное освоение новых скважин и
месторождений нефтяникам НГДУ «Сорочинскнефть» в разное время вручались
почетные грамоты, награды, присваивались звания. Среди лучших сотрудников
управления - начальник ЦНИПР В. В. Пивкин, его стаж работы в нефтяной отрасли
составляет 37 лет; электрогазосварщик ЦДНГ № 1 А. М. Летов, проработавший в
«нефтянке» 31 год; оператор ППД ЦДНГ № 1 С. В. Аносов, посвятивший 30 лет
добыче «черного золота»; оператор ДНГ ЦДНГ № 1 С. В. Хмелевских, отдавший
любимому делу 29 лет.
Напряженным трудом нескольких поколений оренбургских нефтяников в
советский период создана в степи мощная нефтяная отрасль, ставшая основой
экономики Оренбургского региона. Нефть наравне с пшеничным колосом и пуховым
платком стала символом Оренбуржья. Нефтяники вкладывали огромные средства в
развитие не только своего производства, но и области, особенно «нефтяных»
городов и районов.
Самоотверженный труд и богатый опыт старшего поколения оренбургских
нефтяников, являясь достоянием истории и гордостью Оренбуржья, как основа и
фундамент сегодня в новых условиях способствуют развитию нефтяного комплекса
области, помогают нынешним нефтяникам добиваться замечательных результатов.
Оренбургская нефтяная отрасль имеет славное прошлое, достойное настоящее
и отличные перспективы развития в будущем.
год для предприятия был весьма удачным. Добыча нефти составила 9
миллионов 165 тысяч тонн, в эксплуатацию введено 57 добывающих скважин,
выполнено 499 ГТМ, дополнительная добыча от бурения скважин и ГТМ составила
почти 2 миллиона тонн нефти.
В конце 2009 года, в рамках структурных изменений ОАО «Оренбургнефть»,
НГДУ «СН» стало самостоятельным дочерним обществом Компании ТНК-ВР.
Дополнительно к четырем отделам, создано четыре новых отдела. Соответственно
цели и задачи стоящие перед геологами управления значительно расширились,
особенно усилилось направление геологоразведки новых месторождений нефти.
В 2009 году начаты планомерные работы по поиску залежей нефти на новых
четырех нефте-газоразведочных участках, Алисовском, Родниково Врезовском,
Восточно-Толкаевском и Ново-Малаховском, общей площадью 1129 квадратных
километров. На них проведены сейсморазведочные работы, ведется интерпретация
результатов сейсмики и подготовка выявленных перспективных нефтеносных структур
к оценочному бурению.
Самым значимым событием года ушедшего можно назвать открытие
Восточно-Калинового месторождения на Ананьевской нефте-газоразведочной площади.
Сегодня оформляется лицензия, скоро будет реализован проект по добыче нефти и
газа на данном месторождении.
Планы на 2010 год - напряженные, все они ориентированы на увеличение
добычи нефти до 9 миллионов 876 тысяч тонн, будет введено в эксплуатацию 40
эксплуатационных и 2 разведочные скважины, количество ГТМ возрастет до 510.
.2 Обоснование дохода в задачи о замене оборудования
Доход от оборудования - это разность между результатом и затратами,
позволяющий судить о том, что же получит предприятие в результате эксплуатации
оборудования.
Ожидаемый годовой доход от оборудования возраста t лет определяется следующим образом:
) Цена на произведенную продукцию составляет 2,1 д.е., постоянные
издержки 0,09 д.е, тогда получаем: Пмарж = Ц - Спр =2,1-0,09=2,01
тыс. д.е
Спр = См + Сзп
+ ΔСзп +
Сэ/эн + Спр , =0,09
где См - затраты на материалы
Сзп - затраты на оплату труда рабочих
ΔСзп - отчисления в фонды
социального страхования и обеспечения
Сэ/эн - затраты на электроэнергию
Спр - прочие затраты
) Далее рассчитаем маржинальную прибыль для общего количества продукции =
28 шт. Получаем: Пмарж общее= 2,01*39=78,39 тыс.д.е.
) Для расчёта налогооблагаемой прибыли рассчитаем амортизацию
А=
тыс.д.е.
Тогда, Пмаржн/о = Пмарж - А
=78,39-4,3=74,09 тыс.д.е.
) ЧПмарж = (1 - 0,2) ∙ Пмаржн/о =0,8*74,09=59,27
тыс.д.е.
4) Cash-flow = R(t) = ЧПмарж + А=59,27+4,3= 63,57 тыс.д.е.
Срок использования оборудования - 10 лет, таким образом, Na=10%. Налог на прибыль - 20%.
Для определения чистого дохода d(t) нам необходимо представить схему
калькуляции затрат на обслуживание нашего оборудования.
Таблица 1. Калькуляция затрат на одну ремонтную единицу
|
Статьи затрат
|
Структура, доли ед.
|
|
Материалы
|
0,05
|
|
Энергия
|
0,003
|
|
Заработная плата ремонтного
персонала с налоговыми вычетами
|
0,02
|
|
Амортизация ремонтного
оборудования
|
0,003
|
|
Прочие затраты
|
0,01
|
|
ИТОГО:
|
0,09
|
Таблица 2. Динамика затрат на содержание оборудования, тыс.д.е.
|
Показатели
|
Годы
|
|
1
|
2
|
3
|
4
|
5
|
6
|
7
|
8
|
9
|
10
|
|
Ожидаемое количество ремонтных
единиц
|
11
|
33
|
44
|
66
|
77
|
111
|
122
|
144
|
155
|
188
|
|
Затраты
|
1
|
3
|
4
|
6
|
7
|
10
|
11
|
13
|
14
|
17
|
Сформируем структуру затрат непосредственно на содержание оборудования,
представленную в таблице 3.
Таблица 3. Оценка динамики издержек на содержание оборудования, тыс.д.е.
|
Статьи затрат
|
Годы
|
|
1
|
2
|
3
|
4
|
5
|
6
|
7
|
8
|
9
|
10
|
|
Межремонтное обслуживание
|
0,1
|
0,2
|
0,3
|
0,4
|
0,5
|
-
|
0,7
|
0,82
|
0,9
|
1
|
|
Осмотры
|
0,04
|
0,42
|
0,4
|
0,6
|
0,75
|
-
|
1,52
|
2,1
|
2,3
|
2,4
|
|
Текущий ремонт
|
-
|
1,2
|
1,94
|
3,1
|
3,3
|
-
|
4,1
|
5,1
|
6,2
|
7,7
|
|
Капитальный ремонт
|
-
|
-
|
-
|
-
|
-
|
6,5
|
-
|
-
|
-
|
-
|
|
Зарплата ремонтного
персонала
|
0,04
|
0,26
|
0,26
|
0,84
|
1,39
|
-
|
2,1
|
2,8
|
2,9
|
4,4
|
|
Прочие затраты
|
0,02
|
0,12
|
0,3
|
0,26
|
0,26
|
2,7
|
1,78
|
1,38
|
0,9
|
0,7
|
|
Амортизация ремонтного
оборудования
|
0,8
|
0,8
|
0,8
|
0,8
|
0,8
|
0,8
|
0,8
|
0,8
|
0,8
|
0,8
|
|
ИТОГО:
|
1
|
3
|
4
|
6
|
7
|
10
|
11
|
13
|
14
|
17
|
Применяется линейный способ амортизации исходя из первоначальной
стоимости оборудования и нормы амортизации, исчисленной исходя из полезного
срока его использования.
Из таблицы видно, что при росте коэффициента износа затраты на текущий
ремонт и заработная плата ремонтного персонала, осуществляющего ремонт и
осмотры, растут. Поэтому стоит рассмотреть пути снижения издержек:
внедрение современных технологий и оборудования. В этом случае, как
правило, растут амортизация и затраты на содержание оборудования, но снижаются
нормы расхода сырья, материалов и энергоресурсов;
развитие специализации и кооперации. Это приводит к повышению
производительности труда; снижение себестоимости будет проходить по статье
«заработная плата» и «начисления»;
введение режима экономии материальных и энергоресурсов, снижение потерь;
рациональное использование отходов;
улучшение материально-технического снабжения.
.3 Методика расчета стратегии сохранения или замены оборудования
В процессе эксплуатации оборудование подвергается физическому и моральному
износу. Существует два способа восстановления оборудования - полное и
частичное. При полном восстановлении оборудование меняется на новое, при
частичном оборудование ремонтируется. Для оптимального использования
оборудования нужно найти возраст, при котором его необходимо заменить, чтобы
доход от машины был максимальным или, если доход подсчитать не удается,
издержки на ремонтно-эксплуатационные нужды были минимальными. Данный подход
рассматривается с позиции экономических интересов потребителя.
Для оптимизации ремонта и замены оборудования требуется разработать на
плановый период стратегию по замене машины. В качестве экономических интересов
может быть использован один из двух подходов:
1. Максимум дохода от машины за определенный промежуток времени.
2. Минимум затрат на ремонтно-эксплуатационный нужды, если доход
подсчитать не удается.
Данная задача решается методом динамического программирования. Основная
идея этого метода заключается в замене одновременного выбора большего
количества параметров поочередным их выбором. Этим методом могут быть решены
самые различные задачи оптимизации. Общность подхода к решению самых различных
задач является одним из достоинств этого метода.
Рассмотрим механизм оптимизации ремонта и замены оборудования. Для решения
задачи введем следующие обозначения:
t -
возраст оборудования;
d(t) - чистый годовой доход от
оборудования возраста t;
U(t) - издержки на
ремонтно-эксплуатационные нужды машины возраста t;
С - цена нового оборудования.
Для решения этой задачи введем функцию fn(t) , которая показывает величину максимального дохода за
последние n - лет при условии, что в начале
периода из n - лет у нас была машина возраста t - лет.
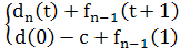
Алгоритм решения задачи следующий:
d(t)
1) f1(t) = max d(0) - С
) fn(t) = max fn-1(t+1) + d(t)
fn-1(1) + d(0) - С
Увеличение издержек приведет к снижению чистого дохода, который
рассчитывается так:
d(t) = r(t) - u(t)
r(t) - годовой объем дохода от
оборудования возраста t;
u(t) - годовые затраты на ремонтно -
эксплуатационные нужды
оборудования возраста t.
2.3.1 Подход максимизации дохода
Для решения этой задачи введем функцию fn(t) , которая показывает величину максимального дохода за
последние n - лет при условии, что в начале
периода из n-лет у нас было оборудование возраста
t-лет.
Если до конца периода остался 1 год
(t) = max
Если до конца периода осталось n лет
(t) = max
где t - возраст оборудования;
d (t) - чистый годовой доход от
оборудования возраста t;
C -
цена нового оборудования.
Увеличение издержек приведет к снижению чистого дохода, который
рассчитывается так
(t) = r(t) - u(t)
где r (t) - годовой
объем дохода от оборудования возраста t;
u(t) - годовые затраты на ремонтно-экплуатационные
нужды оборудования возраста t.
Рассчитаем чистый доход по
формуле, зная динамику поступления дохода и роста издержек на ремонт.
Таблица 2. Чистый доход от
оборудования по годам
|
Годы
|
0
|
1
|
3
|
4
|
5
|
6
|
7
|
8
|
9
|
10
|
|
R(t)
|
39
|
37
|
36
|
34
|
31
|
29
|
28
|
27
|
24
|
20
|
15
|
|
U(t)
|
0
|
1
|
3
|
4
|
7
|
8
|
10
|
12
|
13
|
15
|
18
|
|
D(t)
|
39
|
36
|
33
|
30
|
24
|
21
|
18
|
15
|
11
|
5
|
-3
|
Рассчитаем оптимальную стратегию замены и сохранения оборудования, зная
динамику поступления дохода и роста издержек на ремонт и цену нового изделия
С=44 усл. ед.
Таблица 3. Стратегия замены оборудования
|
t
|
0
|
1
|
2
|
3
|
4
|
5
|
6
|
7
|
8
|
9
|
10
|
d(0)-ц+fn-(1)
|
|
f(n)
|
|
|
|
|
|
|
|
|
|
|
|
|
|
f1
|
39
|
36
|
33
|
30
|
24
|
21
|
18
|
15
|
11
|
5
|
-3
|
-5
|
|
f2
|
75
|
72
|
64
|
56
|
50
|
42
|
36
|
36
|
36
|
36
|
36
|
31
|
|
f3
|
108
|
102
|
90
|
80
|
70
|
70
|
70
|
70
|
70
|
70
|
70
|
64
|
|
f4
|
138
|
128
|
114
|
100
|
100
|
100
|
100
|
100
|
100
|
100
|
100
|
94
|
|
f5
|
162
|
152
|
134
|
130
|
126
|
126
|
126
|
126
|
126
|
126
|
126
|
142
|
|
f6
|
183
|
172
|
164
|
156
|
152
|
150
|
150
|
150
|
150
|
150
|
150
|
160
|
|
f7
|
213
|
202
|
190
|
182
|
176
|
174
|
170
|
170
|
170
|
170
|
170
|
170
|
|
f8
|
243
|
228
|
216
|
206
|
200
|
200
|
200
|
200
|
200
|
200
|
200
|
200
|
|
f9
|
269
|
254
|
240
|
230
|
226
|
226
|
226
|
226
|
226
|
226
|
226
|
226
|
|
f10
|
295
|
278
|
264
|
256
|
252
|
252
|
252
|
252
|
252
|
252
|
252
|
252
|
Поле сохранения Поле замены
Построим «оптимальную» стратегию замены оборудования на период 10 лет,
которому в начале замены было 1 год. В таблице 3 она показана стрелками, а в
сокращенной записи будет иметь следующий вид:
С - С - С - С - З - С - С - С - С - С
Чистый доход за 10 лет от оборудования возраста 1 год при выборе этой
стратегии замены составит:
F10(2) = 34 + 30 + 26 + 24 - 2 + 38 + 34
+ 30 + 26 + 24 = 264
2.3.2 Подход
минимизации затрат
В случае, если доход подсчитать не удается, в качестве экономических
интересов может быть использован подход минимума затрат на
ремонтно-эксплуатационные нужды при разработке стратегии по замене оборудования
на плановый период. В данном случае, формулы расчета примут следующий вид:
Если до конца периода остался 1 год:
(t) = min
Если до конца периода осталось n лет:
(t) = min
где fn(t) - функция, которая показывает величину минимальных издержек
за последние n-лет при условии, что в начале периода из n-лет у нас было
оборудование возраста t-лет;(t) - издержки от оборудования возраста t-лет.
Далее рассчитаем оптимальную стратегию замены и сохранения оборудования,
если известны только издержки на ремонт и цена нового изделия С=43 усл. ед.
Таблица 4
|
t
|
0
|
1
|
2
|
3
|
4
|
5
|
6
|
7
|
8
|
9
|
10
|
d(0)+ц+fn-(1)
|
|
f(n)
|
|
|
|
|
|
|
|
|
|
|
|
|
|
f1
|
0
|
1
|
3
|
4
|
6
|
7
|
10
|
11
|
13
|
14
|
17
|
43
|
|
f2
|
1
|
4
|
7
|
10
|
13
|
17
|
21
|
24
|
27
|
31
|
44
|
44
|
|
f3
|
4
|
8
|
13
|
17
|
23
|
28
|
34
|
38
|
44
|
47
|
47
|
47
|
|
f4
|
8
|
14
|
20
|
27
|
34
|
41
|
48
|
51
|
51
|
51
|
51
|
51
|
|
f5
|
14
|
21
|
30
|
38
|
47
|
55
|
57
|
57
|
57
|
57
|
57
|
57
|
|
f6
|
21
|
31
|
41
|
51
|
61
|
64
|
64
|
64
|
64
|
64
|
64
|
64
|
|
f7
|
31
|
42
|
54
|
65
|
70
|
71
|
74
|
74
|
74
|
74
|
74
|
74
|
|
f8
|
42
|
55
|
68
|
74
|
77
|
81
|
84
|
85
|
85
|
85
|
85
|
85
|
|
f9
|
55
|
69
|
77
|
81
|
87
|
91
|
95
|
96
|
98
|
98
|
98
|
98
|
|
f10
|
69
|
78
|
84
|
91
|
97
|
102
|
106
|
109
|
111
|
112
|
112
|
112
|
Поле сохранения Поле замены
Построим «оптимальную» стратегию замены оборудования на период 10 лет,
которому в начале замены было 1 год. В таблице 4 она показана стрелками, а в
сокращенной записи будет иметь следующий вид:
С - С - С - С - З - С - С - С - С - С
F10(2) = 3 + 4 + 6 + 7 + 43 + 1 + 3 + 4
+ 6 + 7 = 84
.4 Расчет оптимальной стратегии замены оборудования
Затем рассчитаем оптимальную стратегию замены и сохранения оборудования,
с новыми издержками на ремонт и ценой нового изделия также С=43усл. ед.
Таблица 5
|
t
|
0
|
1
|
2
|
3
|
4
|
5
|
6
|
7
|
8
|
9
|
10
|
d(0)+ц+fn-(1)
|
|
f(n)
|
|
|
|
|
|
|
|
|
|
|
|
|
|
f1
|
0
|
1
|
2
|
3
|
4
|
5
|
6
|
7
|
8
|
10
|
12
|
43
|
|
f2
|
1
|
3
|
5
|
7
|
9
|
11
|
13
|
15
|
18
|
22
|
44
|
44
|
|
f3
|
3
|
6
|
9
|
12
|
15
|
18
|
21
|
25
|
30
|
46
|
46
|
46
|
|
f4
|
6
|
10
|
14
|
18
|
22
|
26
|
31
|
37
|
49
|
49
|
49
|
49
|
|
f5
|
10
|
15
|
20
|
25
|
30
|
36
|
43
|
53
|
53
|
53
|
53
|
53
|
|
f6
|
15
|
21
|
27
|
33
|
40
|
48
|
58
|
58
|
58
|
58
|
58
|
58
|
|
f7
|
21
|
28
|
35
|
43
|
52
|
63
|
64
|
64
|
64
|
64
|
64
|
64
|
|
f8
|
28
|
36
|
45
|
55
|
67
|
69
|
70
|
71
|
71
|
71
|
71
|
71
|
|
f9
|
36
|
46
|
57
|
70
|
73
|
75
|
77
|
78
|
79
|
79
|
79
|
79
|
|
f10
|
46
|
58
|
72
|
76
|
79
|
82
|
84
|
86
|
87
|
89
|
89
|
89
|
Поле сохранения Поле замены
Построим «оптимальную» стратегию замены оборудования на период 10 лет,
которому в начале замены было 1 год. В таблице 5 она показана стрелками, а в
сокращенной записи будет иметь следующий вид:
С - С - С - С - З - С - С - С - С - С
Чистый доход за 10 лет от оборудования возраста 1 год при выборе этой
стратегии замены составит:
F10(2) = 2 + 3 + 4 + 5 + 43 + 1 + 2 + 3
+ 4 + 5 = 72
Рассчитаем оптимальную стратегию замены и сохранения оборудования, с
суммированными издержками на ремонт и суммированной ценой нового изделия С=43 +
43 = 86 усл. ед.
Таблица 6
|
t
|
0
|
1
|
2
|
3
|
4
|
5
|
6
|
7
|
8
|
9
|
10
|
d(0)+ц+fn-(1)
|
|
f(n)
|
|
|
|
|
|
|
|
|
|
|
|
|
|
f1
|
0
|
2
|
5
|
7
|
10
|
12
|
16
|
18
|
21
|
24
|
29
|
86
|
|
f2
|
2
|
7
|
12
|
17
|
22
|
28
|
34
|
39
|
45
|
53
|
88
|
88
|
|
f3
|
7
|
14
|
22
|
29
|
38
|
46
|
55
|
63
|
74
|
93
|
93
|
93
|
|
f4
|
14
|
24
|
34
|
45
|
56
|
67
|
79
|
92
|
100
|
100
|
100
|
100
|
|
f5
|
24
|
36
|
50
|
63
|
77
|
91
|
108
|
110
|
110
|
110
|
110
|
110
|
|
f6
|
36
|
52
|
68
|
84
|
101
|
120
|
122
|
122
|
122
|
122
|
122
|
122
|
|
f7
|
52
|
70
|
89
|
108
|
130
|
134
|
138
|
138
|
138
|
138
|
138
|
138
|
|
f8
|
70
|
91
|
113
|
137
|
144
|
150
|
154
|
156
|
156
|
156
|
156
|
156
|
|
f9
|
91
|
115
|
142
|
151
|
160
|
166
|
172
|
174
|
177
|
177
|
177
|
177
|
|
f10
|
115
|
144
|
156
|
167
|
176
|
184
|
190
|
195
|
198
|
201
|
201
|
201
|
Поле сохранения Поле замены
Построим «оптимальную» стратегию замены оборудования на период 10 лет,
которому в начале замены было 1 год. В таблице 6 она показана стрелками, а в
сокращенной записи будет иметь следующий вид:
С - С - С - С - З - С - С - С - С - С
Чистый доход за 10 лет от оборудования возраста 1 год при выборе этой
стратегии замены составит:
F10(2) = 5 + 7 + 10 + 12 + 86 + 2 + 5 +
7 +10 + 12 = 156
А теперь рассчитаем оптимальную стратегию замены и сохранения
оборудования, изменяя издержки и цену. (С= 47усл.ед)
Таблица 7
|
t
|
0
|
1
|
2
|
3
|
4
|
5
|
6
|
7
|
8
|
9
|
10
|
d(0)+ц+fn-(1)
|
|
f(n)
|
|
|
|
|
|
|
|
|
|
|
|
|
|
f1
|
0
|
5
|
9
|
12
|
15
|
18
|
20
|
23
|
27
|
30
|
34
|
47
|
|
f2
|
5
|
14
|
21
|
27
|
33
|
38
|
43
|
50
|
52
|
52
|
52
|
52
|
|
f3
|
14
|
26
|
36
|
53
|
61
|
61
|
61
|
61
|
61
|
61
|
61
|
|
f4
|
26
|
41
|
54
|
65
|
73
|
73
|
73
|
73
|
73
|
73
|
73
|
73
|
|
f5
|
41
|
59
|
74
|
85
|
88
|
88
|
88
|
88
|
88
|
88
|
88
|
88
|
|
f6
|
59
|
79
|
94
|
100
|
103
|
106
|
106
|
106
|
106
|
106
|
106
|
106
|
|
f7
|
79
|
99
|
109
|
115
|
121
|
124
|
126
|
126
|
126
|
126
|
126
|
126
|
|
f8
|
99
|
114
|
124
|
133
|
139
|
144
|
146
|
149
|
149
|
149
|
149
|
149
|
|
f9
|
114
|
129
|
142
|
151
|
159
|
164
|
169
|
172
|
176
|
176
|
176
|
176
|
|
f10
|
129
|
147
|
160
|
171
|
179
|
187
|
192
|
199
|
203
|
206
|
206
|
206
|
Поле сохранения Поле замены
Построим «оптимальную» стратегию замены оборудования на период 10 лет,
которому в начале замены было 1 год. В таблице 7 она показана стрелками, а в
сокращенной записи будет иметь следующий вид:
С - С - С - С - З - С - С - С- С - С
Чистый доход за 10 лет от оборудования возраста 1 год при выборе этой
стратегии замены составит:
F10(2) = 9 + 12 + 15 + 18 + 47 + 5 +9 +
12 +15+18 = 160
Здесь мы рассчитываем также новую стратегию замены и сохранения
оборудования, изменяя издержки и цену. (С=60усл.ед)
Таблица 8
|
t
|
0
|
1
|
2
|
3
|
4
|
5
|
6
|
7
|
8
|
9
|
10
|
d(0)+ц+fn-(1)
|
|
f(n)
|
|
|
|
|
|
|
|
|
|
|
|
|
|
f1
|
0
|
12
|
15
|
18
|
24
|
28
|
32
|
35
|
39
|
43
|
47
|
60
|
|
f2
|
12
|
27
|
33
|
42
|
52
|
60
|
67
|
72
|
72
|
72
|
72
|
72
|
|
f3
|
27
|
45
|
57
|
70
|
84
|
87
|
87
|
87
|
87
|
87
|
87
|
87
|
|
f4
|
45
|
69
|
85
|
102
|
105
|
105
|
105
|
105
|
105
|
105
|
105
|
105
|
|
f5
|
69
|
97
|
117
|
123
|
129
|
129
|
129
|
129
|
129
|
129
|
129
|
129
|
|
f6
|
97
|
129
|
138
|
147
|
153
|
157
|
157
|
157
|
157
|
157
|
157
|
157
|
|
f7
|
129
|
150
|
162
|
171
|
181
|
185
|
189
|
189
|
189
|
189
|
189
|
189
|
|
f8
|
150
|
174
|
186
|
199
|
209
|
217
|
221
|
224
|
224
|
224
|
224
|
224
|
|
f9
|
174
|
198
|
214
|
227
|
241
|
249
|
256
|
259
|
263
|
263
|
263
|
263
|
|
f10
|
198
|
226
|
242
|
259
|
273
|
284
|
291
|
298
|
302
|
306
|
306
|
306
|
Поле сохранения Поле замены
Построим «оптимальную» стратегию замены оборудования на период 10 лет,
которому в начале замены было 1 год. В таблице 8 она показана стрелками, а в
сокращенной записи будет иметь следующий вид:
С - С - С - С - З - С - С - С - С - С
Чистый доход за 10 лет от оборудования возраста 1 год при выборе этой
стратегии замены составит:
F10(2) = 15 + 18 + 24 + 28 + 60 + 12 +15
+ 18 + 24 + 28 = 242
И в заключении, мы рассчитываем последнюю стратегию замены и сохранения
оборудования, изменяя издержки и цену (С=78усл. ед)
Таблица 9
|
t
|
0
|
1
|
2
|
3
|
4
|
5
|
6
|
7
|
8
|
9
|
10
|
d(0)+ц+fn-(1)
|
|
f(n)
|
|
|
|
|
|
|
|
|
|
|
|
|
|
f1
|
0
|
1
|
2
|
5
|
6
|
8
|
9
|
11
|
13
|
14
|
15
|
78
|
|
f2
|
1
|
3
|
7
|
11
|
14
|
17
|
20
|
24
|
27
|
29
|
79
|
79
|
|
f3
|
3
|
8
|
13
|
19
|
23
|
28
|
33
|
38
|
42
|
81
|
81
|
81
|
|
f4
|
8
|
14
|
21
|
28
|
34
|
41
|
47
|
53
|
86
|
86
|
86
|
86
|
|
f5
|
14
|
22
|
30
|
39
|
47
|
55
|
62
|
92
|
92
|
92
|
92
|
92
|
|
f6
|
22
|
31
|
41
|
52
|
61
|
70
|
100
|
100
|
100
|
100
|
100
|
100
|
|
f7
|
42
|
54
|
66
|
76
|
108
|
109
|
109
|
109
|
109
|
109
|
109
|
|
f8
|
42
|
55
|
68
|
81
|
114
|
117
|
118
|
120
|
120
|
120
|
120
|
120
|
|
f9
|
55
|
69
|
83
|
119
|
123
|
126
|
129
|
131
|
133
|
134
|
135
|
133
|
|
f10
|
69
|
84
|
121
|
128
|
132
|
137
|
140
|
144
|
147
|
149
|
147
|
147
|
Поле сохранения Поле замены
Построим «оптимальную» стратегию замены оборудования на период 10 лет,
которому в начале замены было 1 год. В таблице 9 она показана стрелками, а в
сокращенной записи будет иметь следующий вид:
С - С - С - С - З - С - С - С - С- С
Чистый доход за 10 лет от оборудования возраста 1 год при выборе этой
стратегии замены составит:
F10(2) = 2 + 5 + 6 + 8 + 78 + 1 + 21 + 5
+ 6 + 8 = 121
Заключение
В результате выполненной работы можно сделать выводы, что для осуществления
эффективной и прибыльной деятельности предприятия необходимо выбрать
оптимальную стратегию замены оборудования, в этом случае предприятие получит
максимальный доход.
Чем дольше работает оборудование, тем больше оно физически и морально
изнашивается. Поэтому увеличивается количество проводимых осмотров и ремонтов,
повышается трудоемкость ремонтных работ. Это приводит к ситуации, когда затраты
на содержание оборудования оказываются большего получаемого с его помощью
дохода. Если предприятие в момент снижения дохода и увеличения издержек на РЭН
не примет соответствующих мер (либо покупка нового оборудования, либо
капитальный ремонт уже действующего оборудования), то оно не получит ожидаемой
прибыли от данного оборудования.
Список литературы
1. Ладошкин
А.И. «Организация производства: учеб. пособие» Ладошкин А.И., Мюллер Е.В. -
Самара, СамГТУ, 2008. - 74с.
. «Экономика
предприятия» / учебник, под ред. Н.А. Сафронова, Москва
. Ладошкин
А.И., Майорова И.А., Харитонова Е.А. «Разработка и оптимизация управленческих
решений» / учеб. пособие. Самара, 2011г.
. Конспект
лекций по курсу «Оптимизация управленческих решений», Ладошкин А.И.