Проникающая радиация Воздействие на людей, здания и технику
Финансовая
академия при Правительстве РФ
Кафедра
…
Реферат
на тему
«Проникающая радиация. Воздействие на людей, здания и технику»
Москва 2001 г.
1.
Проникающая радиация. 2
2.
Поражающее воздействие проникающей радиации. 4
3.
Радиоактивное заражение местности, приземного
слоя атмосферы и объектов 5
Список
использованной литературы.. 12
Проникающая радиация ядерного
взрыва представляет собой совместное g-излучение и нейтронное излучение.
g-излучение и нейтронное излучение различны по
своим физическим
свойствам, а общим для них является то, что они
могут распространяться в воздухе во все стороны на расстояния до 2,5—3 км. Проходя через биологическую ткань, g-кванты
и нейтроны ионизируют атомы и молекулы, входящие в состав живых клеток, в результате чего нарушается нормальный обмен веществ
и изменяется характер
жизнедеятельности клеток, отдельных органов и систем организма, что приводит к возникновению специфического заболевания — лучевой болезни.
Источником проникающей радиации
являются ядерные
реакции деления и синтеза, протекающие в боеприпасах в момент взрыва, а также радиоактивный
распад осколков деления.
g-кванты могут быть мгновенными,
испускаемыми в ходе протекания ядерных реакций взрыва, при взаимодействии нейтронов с конструкционными материалами
боеприпаса и с ближайшими к нему
слоями воздуха, осколочными, образуемыми при радиоактивном
распаде осколков деления, или захватными,
возникающими при ядерных реакциях захвата нейтронов атомами воздуха и грунта на значительных расстояниях от центра
взрыва боеприпаса.
Нейтроны проникающей радиации
могут быть мгновенными, испускаемыми в ходе протекания ядерных реакций взрыва, и «запаздывающими»,
образующимися в процессе распада осколков деления в течение первых 2—3 с после взрыва.
Время действия проникающей
радиации при взрыве зарядов
деления и комбинированных зарядов не превышает нескольких секунд. При взрыве зарядов деления и
комбинированных зарядов время действия проникающей радиации определяется временем подъема
облака взрыва на такую
высоту, при которой излучение поглощается толщей воздуха и практически не достигает поверхности
земли.
Поражающее действие проникающей
радиации характеризуется величиной дозы излучения, т. е. количеством энергии радиоактивных излучений,
поглощенной единицей массы облучаемой среды. Различают дозу излучения в воздухе (экспозиционную дозу) и
поглощенную дозу.
Экспозиционная доза ранее
измерялась внесистемными единицами — рентгенами Р. Один рентген — это такая доза рентгеновского
или g-излучения, которая создает в 1
см3 воздуха
2,1 • 109 пар ионов. В новой системе единиц СИ экспозиционная доза измеряется в
кулонах на килограмм (1Р
= 2,58• 10-4 Кл/кг). Экспозиционная доза в рентгенах достаточно надежно характеризует
потенциальную опасность
воздействия ионизирующей радиации при общем и равномерном облучении тела человека.
Поглощенную дозу измеряли в радах
(1 рад = 0,01 Дж/кг=100
Эрг/г поглощенной энергии в ткани). Новая единица поглощенной дозы в системе СИ
— грэй (1 Гр = 1 Дж/кг=100 рад).
Поглощенная доза более точно определяет
воздействие ионизирующих излучений на биологические ткани организма, имеющие различные атомный состав и плотность.
В данном издании для
характеристики проникающей радиации используются внесистемные единицы: рентген — для g-излучения и биологический эквивалент рентгена (бэр)—для дозы нейтронов. Один бэр — это такая доза нейтронов, биологическое воздействие которой
эквивалентно воздействию одного
рентгена g-излучения. Поэтому при оценке общего эффекта воздействия
проникающей радиации
рентгены и биологический эквивалент рентгена можно суммировать:
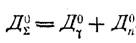
где Д0сум—
суммарная доза проникающей радиации, бэр; Д0g—доза g-излучения, Р; Д°п—
доза нейтронов, бэр (ноль у символов
доз показывает, что они определяются перед
защитной преградой).
Доза проникающей радиации зависит
от типа ядерного заряда, мощности и вида
взрыва, а также от расстояния до центра
взрыва.
Проникающая радиация является
одним из основных поражающих факторов при взрывах нейтронных боеприпасов и
боеприпасов деления сверхмалой и малой мощности. Для взрывов большей мощности радиус поражения
проникающей
радиацией значительно меньше радиусов поражения ударной волной и световым излучением. Особо важное значение проникающая
радиация приобретает в случае взрывов нейтронных боеприпасов, когда основная доля дозы излучения образуется
быстрыми нейтронами.
Таблица 1.
Расчетные значения доз излучения при воздушном взрыве
нейтронного боеприпаса мощностью 1 тыс. т
Расстояние от эпицентра взрыва, м
|
Доза излучения, Р (бар)
|
|
По g-излучению
|
По нейтронам
|
Суммарная
|
|
300
|
100 000
|
400 000
|
500 000
|
|
500
|
30 000
|
70000
|
100000
|
|
700
|
5000
|
10000
|
15000
|
|
1000
|
800
|
1200
|
2000
|
|
1200
|
350
|
500
|
850
|
|
1500
|
100
|
100
|
200
|
|
1800
|
45
|
30
|
75
|
|
2000
|
10
|
5
|
15
|
Примечания: 1. При взрыве нейтронного боеприпаса мощностью
q тыс. т дозы
излучения будут в q раз
больше (меньше) указанных в таблице.
2. При взрыве
ядерною заряда деления той же мощности при |прочих равных условиях дозы
излучения будут меньше в 5—10 раз.
Из табл. 1 следует, что на близких расстояниях от
эпицентра взрыва в зоне смертельных и тяжелых поражений доза нейтронов
значительно превосходит дозу g-излучения и только на границе легких поражений, т. е.
на расстоянии 1 500—1 800 м, их значения будут примерно одинаковыми.
Поражающее воздействие проникающей радиации на личный состав и на состояние его боеспособности
зависит от величины дозы излучения и времени, прошедшего после взрыва. В
зависимости от дозы излучения различают четыре степени лучевой болезни: первую
(легкую), вторую (среднюю), третью
(тяжелую) и четвертую (крайне тяжелую).
Лучевая болезнь I степени возникает при суммарной дозе излучения 150—250 Р. Скрытый период продолжается
две-три недели, после чего появляются недомогание, общая слабость, тошнота,
головокружение, периодическое повышение
температуры. В крови уменьшается содержание белых кровяных шариков.
Лучевая болезнь I степени излечима.
Лучевая болезнь II
степени возникает при суммарной дозе
излучения 250—400 Р. Скрытый период длится около недели. Признаки заболевания
выражены более ярко. При активном лечении наступает выздоровление через 1,5—2 мес.
Лучевая болезнь III степени
наступает при дозе 400— 700 Р. Скрытый
период составляет несколько часов. Болезнь протекает интенсивно и
тяжело. В случае благоприятного исхода выздоровление может наступить через 6—8
мес.
Тяжесть поражения, в известной мере, зависит от состояния организма до облучения и его
индивидуальных особенностей. Сильное
переутомление, голодание, болезнь, травмы,
ожоги повышают чувствительность организма к воздействию проникающей
радиации. Сначала человек теряет физическую
работоспособность, а затем — умственную.
В боевой технике и вооружении под действием нейтронов может образоваться наведенная активность,
которая оказывает влияние на боеспособность экипажей и личный состав ремонтно-эвакуационных подразделений.
В приборах радиационной разведки под действием наведенной активности в детекторных блоках
могут выйти из строя
наиболее чувствительные поддиапазоны измерений. При больших дозах излучения и потоках быстрых
нейтронов
утрачивают работоспособность комплектующие элементы систем радиоэлектроники и
электроавтоматики. При дозах более 2 000 Р стекла оптических приборов темнеют, окрашиваясь в фиолетово-бурый
цвет, что снижает или полностью исключает
возможность их использования для наблюдения. Дозы излучения 2—3 Р приводят в
негодность фотоматериалы,
находящиеся в светонепроницаемой упаковке.
Защитой от проникающей радиации
служат различные материалы,
ослабляющие g-излучение и нейтроны. При решении вопросов защиты следует учитывать разницу в механизмах взаимодействия g-квантов и нейтронов, что предопределяет выбор защитных
материалов, g-излучение сильнее всего
ослабляется тяжелыми материалами, имеющими высокую электронную плотность (свинец, сталь, бетон). Поток нейтронов
лучше ослабляется легкими материалами,
содержащими ядра легких элементов, например водорода
(вода, полиэтилен).
Дозы, Р, по каждому виду
излучений после прохождения защитной
среды (преграды) можно вычислить по формулам:
где Дап
и Д°g— дозы до защитной среды
(преграды); Дп и Дg —дозы после защитной среды
(преграды); h — толщина защиты, см; dп и dg —слои
половинного ослабления соответственно по
нейтронам и по g-излучению, см (табл. 2).
Таблица 2. Толщина слоев половинного ослабления проникающей
радиации
Материал
|
Плотность,
г/см3
|
Слой половинного ослабления, см
|
|
по нейтронам
|
по g-излучению
|
|
Вода
|
1,0
|
3-6
|
14-20
|
|
Полиэтилен
|
0,92
|
3-6
|
15-25
|
|
Броня
|
7,8
|
5-12
|
2-3
|
|
Свинец
|
11,3
|
9-20
|
1.4-2
|
|
Грунт
|
1,6
|
11—14
|
10-14
|
|
Бетон
|
2,3
|
9-12
|
6-12
|
|
Дерево
|
0,7
|
10-15
|
15-30
|
Примечание. Интервалы значений толщины слоев половинного ослабления обусловлены различным устройством
ядерных зарядов, а также энергией
нейтронов и g-квантов.
В подвижных объектах для защиты от
проникающей радиации необходима
комбинированная защита, состоящая из
легких водородсодержащих веществ и материалов с высокой плотностью. Без
специальных противорадиационных экранов, например, средний танк имеет кратность
ослабления проникающей радиации, равную примерно 4, что недостаточно для
обеспечения надежной защиты экипажа. Поэтому
вопросы защиты личного состава должны решаться выполнением комплекса различных мероприятий.
Наибольшей кратностью ослабления
дозы проникающей радиации
обладают фортификационные сооружения (перекрытые
траншеи — до 100, убежища — до 15000).
В качестве средств, ослабляющих действие ионизирующих
излучений на организм человека, могут быть использованы различные противорадиационные препараты (радиопротекторы).
Радиоактивное заражение местности, приземного слоя
атмосферы, воздушного пространства, воды и других объектов возникает в результате выпадения радиоактивных веществ из
облака ядерного взрыва.
Значение радиоактивного заражения как поражающего
фактора определяется тем, что высокие уровни радиации могут наблюдаться не только в районе, прилегающем к месту
взрыва, но и на расстоянии десятков и даже сотен километров от него. В отличие
от других поражающих факторов, действие
которых проявляется в течение относительно короткого времени после
ядерного взрыва, радиоактивное заражение
местности может быть опасным на протяжении нескольких суток и недель
после взрыва.
Наиболее сильное заражение местности происходит при
наземных ядерных взрывах, когда площади заражения с опасными уровнями радиации
во много раз превышают размеры зон поражения ударной волной, световым излучением
и проникающей радиацией. Сами радиоактивные вещества и испускаемые ими ионизирующие
излучения не имеют цвета, запаха, а скорость их распада не может быть изменена
какими-либо физическими или химическими методами.
Зараженную местность по пути движения облака, где
выпадают радиоактивные частицы диаметром более 30— 50 мкм, принято называть ближним следом заражения. На больших расстояниях — дальний след — небольшое
заражение
местности не влияет на боеспособность личного состава.
Источниками радиоактивного излучения при ядерном взрыве являются: продукты деления (осколки
деления) ядерных взрывчатых веществ (Pu-239, U-235
и U-238); радиоактивные
изотопы (радионуклиды), образующиеся в грунте
и других материалах под воздействием нейтронов — наведенная активность;
неразделившаяся часть ядерного заряда.
Рис 1. Пример радиоактивных превращений
двух осколков
деления ядра урана-235
Продукты деления, выпадающие из
облака взрыва, представляют собой первоначально смесь около 80 изотопов 35 химических элементов
средней части периодической системы Д. И. Менделеева: от цинка (№ 30) до гадолиния (№64). Почти все
образующиеся ядра изотопов перегружены
нейтронами, являются нестабильными и претерпевают b-распад с испусканием g-квантов. Первичные ядра осколков деления в последующем испытывают в
среднем три-четыре распада и в итоге
превращаются в стабильные изотопы.
Таким образом, каждому первоначально образовавшемуся ядру (осколку) соответствует своя цепочка радиоактивных
превращений. Пример последовательных превращений,
по двум цепочкам, когда их «родоначальниками»
являются изотопы циркония 9740Zr и теллура 13752Те,
приведен на рис. 1,
где показано, что каждое радиоактивное
ядро, образовавшееся при делении, распадается с испусканием b-частиц и g-квантов до тех пор, пока не
образуется
стабильный изотоп. Всего на разных этапах радиоактивного распада возникает
около 300 различных радионуклидов.
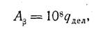
Суммарная активность смеси
продуктов деления Аb, Ки, через
1 мин после взрыва может быть определена по формуле
где qдел — тротиловый эквивалент взрыва
по делению, т.
В системе СИ активность измеряется
в беккерелях (Бк), 1 Бк равен одному распаду в
секунду (1 Ки = 3,7*1010Бк).
Изотопный состав смеси осколков деления зависит от вида ЯВВ, использованных в ядерном заряде, и от
времени, прошедшего после взрыва.
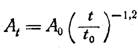
Изменение активности во времени, как и уровней радиации на местности или плотности заражения,
определяют по формуле
где ао
и At — активность
осколков деления ко времени t0 и t после взрыва.
По мере увеличения времени,
прошедшего после взрыва, величина
активности осколков деления быстро падает.
Образование наведенной активности
в грунте в пределах
зоны распространения нейтронов имеет практическое значение при воздушном ядерном взрыве. В грунте в основном образуются радиоактивные Al-28, Na-24, количество которых пропорционально выходу нейтронов при взрыве данного ядерного заряда.
Максимальное количество нейтронов на
единицу мощности заряда образуется при взрыве нейтронного боеприпаса.
Активность неразделившейся части
ядерного заряда следует
учитывать только в случае аварийных взрывов ядерных боеприпасов или при их ликвидации взрывом обычного ВВ.
При наземном ядерном взрыве
светящаяся область касается поверхности
земли и образуется воронка выброса. Значительное
количество грунта, попавшего в светящуюся область, плавится, испаряется
и перемешивается с радиоактивными
веществами. По мере остывания светящейся
области и ее подъема пары конденсируются, образуя радиоактивные частицы различной величины. Сильный
прогрев грунта и приземного слоя воздуха способствует образованию в районе
взрыва восходящих потоков воздуха, которые формируют пылевой столб («ножку»
облака). Когда плотность
воздуха в облаке взрыва станет равной
Рис. 2. Схема наземного
ядерного взрыва:
Л — активность; Н — высота
подъема верхней кромки облака; Дв— вертикальный
размер облака; Дг - горизонтальный диаметр облака: q — мощность взрыва; V
— скорость среднего
ветра; R— расстояние от центра взрыва
Таблица 3
Зависимость высоты подъема и размеров радиоактивного облака от мощности ядерных
взрывов
Мощность взрыва.
тыс. т
|
Высота подъема
облака, км
|
Размеры облака, км
|
горизонтальный
диаметр
|
высота
|
|
1
|
3,5
|
2,0
|
1,3
|
|
5
|
5,0
|
3,0
|
1.6
|
|
10
|
7,0
|
4,0
|
2,0
|
|
30
|
9,0
|
5,0
|
3,0
|
|
50
|
10,5
|
6,0
|
3,5
|
|
100
|
12,2
|
10,0
|
4,5
|
|
300
|
15,0
|
14,0
|
6,0
|
|
500
|
17,0
|
18,0
|
7,0
|
|
1000
|
19,0
|
22,0
|
8,5
|
|
5000
|
24,0
|
34,0
|
12,0
|
|
10000
|
25,0
|
43,0
|
15,0
|
В каждой точке следа, например в точке А, находящейся на удалении R от центра взрыва, выпадают радиоактивные частицы разного размера;
средний размер частиц уменьшается по мере
удаления от места взрыва.
На местности, подвергшейся радиоактивному
заражению при ядерном
взрыве, образуются два участка: район взрыва
и след облака (рис. 3). В свою очередь в районе взрыва различают наветренную и подветренную
стороны.
Рис. 3. Схема радиоактивного заражения
местности в районе взрыва и по следу движения облака
Причиной заражения местности в районе взрыва является оседание
осколков деления и образование наведенной активности. Плотность заражения местности,
уровни радиации
на ней, а значит, и дозы до полного распада радиоактивных веществ на границах зон заражения
убывают с удалением от центра взрыва. Радиус района взрыва не превышает 2 км. С подветренной стороны заражение
местности в районе взрыва увеличено за счет наложения на след облака.
Границы зон радиоактивного заражения с разной степенью опасности для
личного состава можно характеризовать как мощностью дозы излучения (уровнем
радиации)
, Р/ч, на определенное время после взрыва, так и дозой до полного
распада РВ,Р.
По степени опасности зараженную местность по следу облака взрыва
принято делить на следующие четыре зоны.
Зона А — умеренного заражения. Дозы до полного распада РВ на внешней
границе зоны Д∞ = 40 Р, на внутренней границе Д∞=400Р. Ее
площадь составляет 70—80% площади
всего следа.
Зона Б —сильного заражения. Дозы на границах Д∞ = = 400 Р и Д∞ =1200 Р. На долю этой зоны приходится примерно 10% площади радиоактивного следа.
Зона В
— опасного заражения. Дозы излучения на ее
•внешней границе
за период полного распада РВ Д∞ — 1200 Р, а на внутренней границе Д∞=4000
Р. Эта зона занимает примерно 8— 10% площади следа облака взрыва.
Зона Г — чрезвычайно опасного заражения. Дозы излучения на ее внешней границе за период
полного
распада РВ Д∞ = 4000 Р, а в середине зоны Д∞
=10000 Р.
|
Рис.
4. Схема распределения уровней радиации на время образования
радиоактивного заражения в сечениях:
а — по следу
низкого воздушного ядерного взрыва, б — по следу наземного ядерного взрыва
|
Уровни радиации на внешних границах этих зон через 1 ч после взрыва составляют
соответственно
8, 80, 240 и 800 Р/ч, а через 10 ч — 0,5; 5; 15 и 50 Р/ч. Со временем уровни радиации на
местности
снижаются по зависимости, записанной в формуле (2.4), или ориентировочно в 10 раз
через
отрезки времени, кратные 7. Например, через 7 ч после взрыва мощность дозы уменьшается в 10 раз, а через 49 ч — в 100 раз.
Объем воздушного пространства, в котором происходит осаждение
радиоактивных частиц из облака взрыва и верхней части пылевого столба, принято
называть шлейфом облака (см. рис. 2). По мере приближения шлейфа к объекту уровни
радиации возрастают вследствие
tвып, ч, начала выпадения
определяется по формуле
Вначале из облака выпадают наиболее крупные частицы с высокой степенью их активности, по мере
удаления от места взрыва — более мелкие, а
уровень радиации при этом постепенно
снижается. В поперечном сечении следа уровень радиации уменьшается от оси следа к его краям. На рис.
4 приведено распределение уровней радиации на местности при наземном и низком
воздушном взрывах.
Мощности
доз излучения на следе облака в чрезвычайно опасной зоне заражения к моменту
подхода фронта радиоактивного заражения могут доходить до тысяч рентген в час,
что при открытом расположении личного состава приведет к дозе облучения до
10000 Р. Поскольку облучение в дозах 250—400 Р вызывает тяжелые поражения
человека, то пребывание личного состава в этой зоне возможно только в
сооружениях с кратностью ослабления дозы около 1 000, т. е. до величины ниже
опасного уровня.
Инженерные сооружения и объекты подвижной военной техники обеспечивают
разный уровень защиты от γ-излучения радиоактивно зараженной местности (табл. 4).
Таблица 4 Кратность ослабления дозы излучения от
зараженной местности
|
Укрытия
|
Косл
|
|
Дезактивированные
открытые щели, траншеи, окопы
|
20
|
|
Недезактивированные
открытые щели, траншеи, окопы
|
3
|
|
Перекрытые
щели
|
40
|
|
Убежища
|
1000
|
|
Дома:
деревянные
одноэтажные
|
3
|
|
каменные:
одноэтажные
|
10
|
|
двухэтажные
|
20
|
|
трехэтажные
|
40
|
|
многоэтажные
|
70
|
|
Подвалы
домов:
одноэтажных
|
40
|
|
двухэтажных
|
100
|
|
многоэтажных
|
400
|
|
Автомобили
|
2
|
|
Бронетранспортеры
|
4
|
|
Танки
|
10
|
Кратность ослабления излучений отражает степень снижения дозы только при условии, если
личный состав пребывает в данном укрытии непрерывно. При периодическом
использовании укрытий можно применять среднюю кратность ослабления дозы излучения Сср,
определяемую по формуле
|
(1)
|
где t∑ —
общее время действий личного состава в зараженном
районе (t1 + t2 + t3), t1— время работы на открытой местности; t2 и tз — время пребывания в укрытиях с кратностью ослабления, равной соответственно КОСЛ2
и КОСЛз. ' Результаты расчета доз излучения могут
использоваться как исходные данные для оценки боеспособности войск. В
зараженном районе на следе облака наиболее точно доза излучения Д, Р, определяется
по формуле
(2)
где ро— мощность дозы, Р/ч, к
моменту времени t0, ч,
после ядерного взрыва; t1—время начала облучения, ч; t2—время окончания
облучения, ч (t1 и t2 отсчитываются от момента взрыва).
Если в формуле (2) t1 = t0 = tвып,, то мощность дозы Р0 будет равна начальному значению Рвып на
момент подхода фронта радиоактивного заражения к району расположения войск.
При длительности облучения t2,
стремящейся к бесконечности, формула (2) преобразуется в соотношение
(3)
по которому можно рассчитывать
дозу Д∞ до полного распада радиоактивных веществ.
Дозу излучения можно
определить и по упрощенной формуле

(4)
где — среднее
значение мощности дозы за
время пребывания
на зараженной местности, Р/ч; t — длительность
пребывания на зараженной местности, ч; рн и Рк—мощность дозы на
время начала и окончания облучения соответственно, Р/ч.
По формуле (4) можно рассчитывать
дозу излучения, в
частности, на случай движения войск по зараженной радиоактивными веществами
местности.
При подходе фронта радиоактивного заражения к какому-либо рубежу на местности одновременно с
повышением радиации увеличивается и концентрация радиоактивных веществ в
приземном слое воздуха, которая достигает максимального значения примерно к середине
периода выпадения радиоактивных веществ, когда проходит центр шлейфа, и затем уменьшается к концу
периода выпадения.
Поскольку в органы дыхания человека практически не
могут попадать частицы диаметром более 100 мкм, а именно вместе с крупными
частицами выпадает основная доля активности, то общее количество РВ, которое
может накопиться в незащищенных органах дыхания за период формирования следа,
не вызовет острых радиационных поражений личного состава. Еще меньше РВ
попадает в незащищенные органы дыхания при вторичном заражении воздуха, когда
осевшая радиоактивная пыль поднимается в воздух во время движения техники в
сухую погоду или при выполнении инженерных работ на местности.
О степени заражения
радиоактивными веществами поверхностей различных объектов, обмундирования
личного состава и кожных покровов принято судить по величине мощности дозы
γ-излучения вблизи зараженных поверхностей, определяемой в миллирентгенах
в час (мР/ч), а также по числу распадов ядер за единицу времени на определенной
площади или в определенном объеме и обозначать соответственно: расп./(мин*см2),
расп./(мин*см3), расп./(мин*л) и расп./(мин*г) (табл. 5).
Таблица 5. Предельно
допустимые величины заражения различных предметов
Наименование объекта
|
Мощность дозы, мР/ч
|
|
Поверхность тела человека
|
20
|
|
Нательное белье
|
20
|
|
Лицевая часть противогаза
|
10
|
|
Обмундирование, снаряжение, обувь,
средства индивидуальной защиты
|
30
|
50
|
|
Техника и техническое имущество
|
200
|
|
Инженерные сооружения,
корабли, самолеты, стартовые комплексы:
внутренние поверхности
|
100
|
|
наружные поверхности
|
500
|
|
борта кораблей
|
1000
|
Внутренние поверхности хлебопекарен,
продовольственных складов, шахтных колодцев
|
50
|
При
оценке степени заражения поверхностей объектов обычно исходят из связи между
плотностью заражения местности QM, расп./(мин*см2), и уровнем радиации Р,
Р/ч, на высоте 1 м от ее поверхности:
QM = 2*107Р (5)
При
первичном заражении техники оседающими аэрозолями (после прохождения шлейфа
облака) относительная плотность заражения ее поверхностей в зонах умеренного
и сильного заражения ориентировочно равна 10% плотности заражения окружающей
местности. Следовательно, с учетом формулы (5) плотность заражения военной
техники QT и вооружения можно определять по формуле
QT=2*106P (6)
Для
военной техники плотность заражения 25000 расп./(мин • см2) на ее
поверхности соответствует мощности дозы γ-излучения, равной 1 мР/ч. По
такому соотношению оценивается степень заражения техники (мР/ч). При действии
войск на следе ядерного взрыва возможное радиоактивное заражение воздуха,
поверхностей техники и вооружения по сравнению с поражающим воздействием внешнего
γ-излучения от продуктов взрыва, выпавших на местность, имеет
второстепенное значение, не приводящее к снижению боеспособности личного
состава.
- Защита от оружия массового
поражения. В.В. Мясников. – М.: Воениздат, 1984.
- Бобок С.А., Юртушкин В.И.
Чрезвычайные ситуации: защита населения и территорий. – М.: «Издательство
ГНОМ и Д», 2000.