Планирование эксперимента
Оглавление
Введение
. Исходные данные
. Сущность и особенности
планирования эксперимента
. Расчётная часть
.1 Кодирование исходных
факторов эксперимента
.2 Составление плана
эксперимента и проведение расчётов согласно заданию
Заключение
Список литературы
Введение
Планирование эксперимента состоит в выборе числа и условий проведения
опытов, позволяющих получить необходимые знания об объекте исследования с
требуемой точностью.
Важнейшим условием научно-поставленного эксперимента является минимизация
числа опытов, а следовательно затрат материальных, трудовых и временных
ресурсов, однако это не должно существенно отражаться на качестве полученной
информации, применение методов планирования эксперимента ограничено сложностью
или невозможностью постановки эксперимента в реальных условиях.
Однако методы моделирования позволяют проводить с помощью ЭВМ различные
эксперименты с моделями объектов исследования. Функционально реальные системы,
связанные со случайным проявлением действия некоторого фактора легко эмитируется
в машинном эксперименте с помощью специальных программ.
1.
Исходные данные
Составить план эксперимента типа 23 для определения
зависимости концентрации меди (Y) от
расхода шихты (X1), расхода
технического кислорода (X2) и
содержания кислорода в дутье (X3).
Определить оценку равноточности опытов, найти коэффициенты регрессии
аппроксимирующего полинома первой степени с учётом эффектов парного
взаимодействия. Дать интерпретацию полученных результатов в терминах объекта
исследования. Проверить адекватность найденного уравнения регрессии. Расчёты
выполнить в Mathcad.
Таблица 1
|
x1
|
x2
|
x3
|
Y
|
|
103,94
|
19748,17
|
62,36
|
81,25
|
|
177,40
|
16853,37
|
53,22
|
73,83
|
|
95,19
|
30460,64
|
57,11
|
27,83
|
|
198,91
|
31825,01
|
59,67
|
69,40
|
|
104,54
|
19862,89
|
99,31
|
60,12
|
|
198,85
|
18890,86
|
94,45
|
50,58
|
|
105,87
|
33879,49
|
100,58
|
45,38
|
|
212,22
|
33955,80
|
100,81
|
88,99
|
|
91,01
|
17291,25
|
54,60
|
84,08
|
|
205,68
|
19539,47
|
61,70
|
71,05
|
|
91,08
|
29145,74
|
54,65
|
26,80
|
|
185,75
|
29720,59
|
55,73
|
68,68
|
|
94,14
|
17886,16
|
89,43
|
63,11
|
|
191,52
|
90,97
|
54,90
|
|
100,69
|
32219,54
|
95,65
|
45,41
|
|
210,04
|
33605,84
|
99,77
|
87,92
|
|
92,43
|
17562,36
|
55,46
|
80,24
|
|
190,03
|
18052,84
|
57,01
|
74,43
|
|
95,91
|
30691,53
|
57,55
|
29,33
|
|
193,48
|
30956,56
|
58,04
|
65,70
|
|
99,38
|
18882,10
|
94,41
|
66,36
|
|
211,62
|
20104,31
|
100,52
|
54,34
|
|
202,13
|
32340,01
|
96,01
|
83,58
|
2.
Сущность и особенности планирования эксперимента
Суть данного метода обработки данных и его особенности рассматривается по
пунктам:
1. Выбор входных и выходных переменных
Входные
переменные Хi, i=
, которые определяют состояние объекта исследования
называется влияющими факторами. Основное требование, предъявляемое к ним - это
достаточная управляемость, то есть возможность установить нужный уровень
фактора, стабилизируя его в течение всего опыта.
Выходная
переменная Y - реакция объекта исследования на влияющие факторы -
функция отклика. Выбор этой функции определяется целью исследования, которая
может представлять собой оптимизацию экономической (стоимость,
производительность), технологической (точность, качество, быстродействие), конструктивной
(надёжность) или другой характеристикой объекта исследования.
2. Выбор области экспериментирования
Область эксперимента - область факторного пространства, изучение которой
представляет интерес для исследования. Границы этой области по каждому фактору
Хi, обусловлены его min и max значением, то есть Xi min < Xi < Xi max , как показано на Рис. 1.

Рисунок 1. Схема определения области эксперимента для 2-х факторного
эксперимента
В случае 3-х факторного эксперимента область эксперимента будет
представлять собой параллелепипед. При большем числе факторов область
эксперимента ограничена гиперплоскостями в k-мерном пространстве.
Оценка границ области эксперимента или области существенных факторов
производится на основе принципиального ограничения либо из других соображений.
Первый вид ограничений не может быть нарушен не при каких обстоятельствах,
например, для температуры нижний предел - абсолютный ноль. При выборе
ограничений второго вида исследования руководствуются конкретными
обстоятельствами, например, временем протекания процесса, стоимостью материала.
Устанавливая область определения необходимо также выполнить условие
совместимости факторов, то есть значения факторов должны быть выбраны так,
чтобы эксперимент можно было реализовать.
3. Выбор математической модели объекта исследования
Если аналитическую зависимость, связывающую функцию отклика (Y) с влияющими факторами (Xi), найти невозможно, и вид функции
априори неизвестен, то есть Y=f(X1, X2, …., Xi), то целесообразно использовать
степенной ряд:
(1),
где
k - число влияющих факторов.
Выражение
(1) служит математической моделью исследуемого объекта, так как, исходя из
требований практики, число членов степенного ряда ограничивается, то
аппроксимируемая функция представляет собой степенной ряд некоторой степени.
Для
определения коэффициента аппроксимирующего полинома, применяется наиболее
универсальный метод - метод наименьших квадратов.
Как
отмечалось выше, при его использовании необходимым условием является выполнение
неравенства (N>S), где N - число опытов, S - количество
коэффициентов аппроксимирующего полинома, то есть количество проведённых опытов
должно быть больше чем число коэффициентов аппроксимирующего полинома. Увеличить
количество опытов N возможно повторением опытов в исходных точках либо
увеличением количества этих точек.
Для
удобства обработки результатов экспериментов целесообразно все факторы
представить в безмерной форме для чего проводится операция кодирования
переменных. Её сущность заключается в том, что начало координатного факторного
пространства переносится в точку с координатой
- эта
точка центр эксперимента:
(2).
Кроме
того интервал варьирования факторов разбивается на ряд уровней симметрично
относительно центра эксперимента. В случае составления симметричных
двухуровневых планов все k - факторов изменяются на 2-х уровнях. При этом Xi min ставится в соответствии с кодированием переменных -1,
а Xi max - +1.
Для
количественных факторов связь между физическими (Xi) и
кодированными (хi) значениями факторов определяется
следующим соотношением:
(3),
(4),
где
Ii - интервал варьирования.
4. Составление плана эксперимента
Выбрав математическую модель объекта исследования определяем какое
значение должен принимать каждый из факторов в каждом из опытов. Таблица,
составленная из значений факторов для каждого опыта - матрица планирования. Она
включает как независимые факторы, так и зависимые. Та её часть, которая
включает независимые факторы, называется планом эксперимента. Эксперимент, в
котором реализуются все возможные сочетания уровней факторов - полный факторный
эксперимент (ПФЭ).
Если k - факторов варьируются на 2-х
уровнях, то число всех возможных сочетаний факторов равен 2к,
следовательно ПФЭ будет называться ПФЭ типа 2к. Если k - факторов варьируются на n - уровнях, то получится ПФЭ типа nк. Таким образом число опытов ПФЭ типа nк будет находиться по формуле: N= nк, где n - число уровней, к - число факторов.
В общем случае ПФЭ типа 2к обладает следующими свойствами:
. Симметричность относительно центра эксперимента. При этом
алгебраическая сумма элементов вектора столбца для каждого фактора равна 0:
2. Соответствие условиям нормировки. При этом сумма квадратов элементов
каждого столбца равна числу опытов:
3. Соответствие условиям ортогональности. При этом сумма почленных
произведений любых 2-х вектор-столбцов матрицы планирования равно 0:
Ортогональность
матриц планирования позволяет при обработке данных при методе наименьших
квадратов получить независимые друг от друга оценки коэффициентов. При
выполнении данных условий коэффициенты аппроксимирующего полинома находятся по
формуле:
(5),
(6).
Модель,
включающая в себя только линейные эффекты и эффекты парных взаимодействий
факторов, имеет соответствующие ей планы, которые называются планами первого
порядка. В случае необходимого учёта нелинейного влияния фактора
аппроксимирующий полином должен содержать члены более высокого порядка, в связи
с этим для оценки коэффициентов аппроксимирующего полинома следует пользоваться
более сложными планами, чем планы 1-го порядка.
5. Обработка результатов эксперимента
Обработка результатов проведённого эксперимента осуществляется по
следующей схеме:
. На основании данных параллельных наблюдений оценивается дисперсия
воспроизводимости (отклонение) для каждой строки плана:
(7).
Затем
определяется критерий Кохрена - критерий равноточности погрешности опыта:
(8).
При
этом расчётное значение критерия Кохрена сравнивают с табличным. В случае, если
Gрасч < Gтабл. приходят к выводу, что все опыты выполнены с равной
погрешностью. Если Gрасч > Gтабл. делают вывод, что опыты выполнены не с равной
погрешностью и эксперимент нужно переделать.
Также
осуществляется расчёт погрешности опыта и проверка однородности дисперсии
опыта:
(9),
где
m - число повторений опытов.
2. С помощью метода наименьших квадратов определяются коэффициенты
аппроксимирующего полинома (формулы (5) и (6)). Найденные коэффициенты
подставляем в аппроксимирующий полином.
3. Производится проверка адекватности модели по критерию Фишера:
(10),
где
Dy адекв -
дисперсия адекватности
(11),
где
N - число опытов,
S - число
коэффициентов полинома,
YPi -
расчётное значение,
Yi -
экспериментальное,
Dy
опыт - дисперсия опыта.
Полученное
значение критерия Фишера сравнивается с табличным. Если F<
Fтабл., то
модель считается адекватной. Если F > Fтабл., то модель считается неадекватной.
4. Проверка значимости коэффициентов аппроксимирующего полинома по
критерию Стьюдента:
(12),
(13),
(14).
Где δai - среднеквадратическое отклонение коэффициента
аппроксимирующего полинома, tai - коэффициент Стьюдента, Dai - дисперсия коэффициента
аппроксимирующего полинома.
Для оценки значимости коэффициента аппроксимирующего полинома расчётные
значения критерия Стьюдента необходимо сравнить с табличным. Если tр > tт приходят к выводу, что коэффициент оказывает существенное
влияние и из рассмотрения не исключается. Если tр < tт, то следует, что коэффициент не
оказывает существенное влияние и этот коэффициент исключают из полинома.
. Интерпретация модели в терминах:
Анализ результатов эксперимента завершается интерпретацией модели в
терминах объекта исследования. Прежде всего выясняется в какой мере каждый из
факторов влияет на функцию отклика, то есть X на Y. Чем
больше коэффициент аi, тем
сильнее влияние. Знак коэффициента позволяет судить о характере зависимости
функций отклика от соответствующих факторов. Если положительный коэффициент, то
связь прямо пропорциональная, если отрицательный, то обратно пропорциональная.
Затем следует проанализировать эффекты парных взаимодействий.
3. Расчётная часть
Все расчёты выполнены в среде Mathcad.
.1 Кодирование исходных факторов эксперимента
Для удобства обработки результатов эксперимента целесообразно все факторы
представить в безразмерной форме, для чего проводим операцию кодирования
переменных:
1. Исходные значения физических факторов х1, х2, х3:
2. Определение максимальных и минимальных значениий факторов
в каждом столбце, указанном выше:
3. Определение основного уровня или точек - центров
эксперимента:
4. Определение интервалов варьирования для каждого фактора:
5. Расчёт кодированных значений факторов Х1, Х2, Х3
соответственно физическим факторам:
Все кодированные значения, полученные в ходе расчётов выше, перекодируем
в +1 и -1 для лёгкости расчётов. По этому, если полученное значение больше 0,
то кодируем его как +1, если меньше 0, то -1. В итоге получаем новые столбцы
кодированных факторов.
6. Новые столбцы кодированных факторов:
Согласно заданию необходимо составить план эксперимента типа 23,
для этого столбцы факторов должны состоять N=23 строк, то есть из 8. Из полученных столбцов
кодированных факторов видно, что если разделить каждый столбец на 3 части по 8
строк, то в итоге получатся одинаковые части. В связи с этим проводим
объединение данных частей в каждом столбце соответственно и формируем новые
столбцы факторов (Х1, Х2, Х3):
В ходе расчётов проведённых в первой части были получены кодированные
факторы, необходимые для составления плана эксперимента и проведения дальнейших
расчётов, а также были рассчитаны значения факторов и их уровней, которые
приведены ниже в табл. 2.
Таблица 2
Значения
факторов и их уровней
|
Параметр
|
Фактор
|
|
Расход шихты Х1
|
Расход технического кислорода Х2
|
Содержание кислорода в дутье Х3
|
|
Основной уровень 151,615
|
25400
|
77,015
|
|
|
Интервал варьирования Ii
|
60,605
|
8551
|
23,795
|
|
Верхний уровень , +1212,22
|
33951
|
100,81
|
|
|
Нижний уровень , -191,01
|
16849
|
|
3.2 Составление плана эксперимента и проведение расчётов
согласно заданию
Анализ имеющихся сведений об объекте свидетельствует о том, что
наибольший интерес представляют линейные эффекты и парные взаимодействия.
Поэтому модель объекта имеет вид:
.
Наиболее
простой план, допускающий оценку всех коэффициентов такой модели (S = 7
- количество коэффициентов аппроксимирующего полинома) - ПФЭ типа 23,
где N = 8 - число опытов. В данном случае число повторений опытов m=3.
Последовательность проведения удовлетворяет требованиям рандомизации, т.е.
организации случайной последовательности опытов, позволяющей минимизировать
влияние помех.
1. Запишем функции отклика: Влияющие
факторы:
план эксперимент математический модель

2. Среднее значение функции отклика: Дисперсия
воспроизводимости:

. Определение критерия Кохрена:
Для оценки равноточности погрешности опыта применяется критерий Кохрена.
При этом расчётное значение сравнивается с табличным.

Табличное значение G при m - 1 = 2
и N = 8 равно 0,516. Так как G = 0,269 < Gt = 0,516, то гипотеза равноточности
не отвергается, т.е. все опыты выполнены с равной погрешностью.
4. Дисперсия опыта:
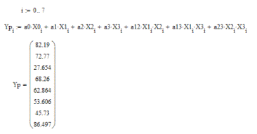
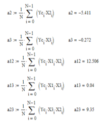
. Коэффициенты регрессии:
. Подставляем найденные численные значения коэффициентов аi в аппроксимирующий полином, получим:

7. Выполняем проверку адекватности:
Дисперсия адекватности:
Определение критерия Фишера:
При числе степеней свободы N - s = 8 - 7 = 1 и N(m - 1) = 8(3 - 1) = 16 имеем Fт = 4,49 > F =
0,589. Следовательно, гипотеза об адекватности выбранной модели не отвергается.
8. Коэффициент Стьюдента:
Для проверки значимости коэффициентов необходимо определить коэффициент
Стьюдента.
Дисперсия аппроксимирующего полинома:
Среднеквадратическое отклонение аппроксимирующего полинома:
Расчетное значение критерия Стьюдента:
Табличное значение критерия Стьюдента, определенное для числа степеней
свободы ν=
N(m - 1) = 8(3 - 1) = 16, составляет tт = 2,13.
Для оценки значимости коэффициентов аппроксимирующего полинома расчётное
значение критерия Стьюдента сравниваем с табличным.
Если tai<ttabl следует, что коэффициент существенного влияния на
функцию отклика не оказывает, и этот коэффициент исключают из полинома.
Рассматриваемая проверка показала, что из рассмотренного уравнения
следует исключить a3 и a13, тогда аппроксимирующий полином
примет вид:
9. Повторная проверка адекватности модели:
По данным проверки можно сделать вывод, что модель адекватна, т.к. Fnew<Ftabl.
10. Интерпретация модели в терминах:
Анализ модели объекта исследования показал, что значимыми являются не
только линейные эффекты, но и некоторые парные взаимодействия. Из 3-х факторов,
линейно влияющих на функцию отклика, выделились только 2: Х1 (расход шихты) и
Х2 (расход технического кислорода). Причём Х1 оказывает сильное влияние, чем
Х2:
Х3 (содержание кислорода в дутье) существенного влияния на функцию
отклика не оказывает.
Значимыми также оказались 2 коэффициента из 3-х совместных факторов, т.е.
совместимость эффектов (Х1 и Х2) и (Х2 и Х3). Совместное влияние (Х1 и Х2)
оказывает более сильное, чем (Х2 и Х3):
Взаимное влияние (Х1 и Х3) существенного влияния на функцию отклика не оказывает.
11. Нахождение оптимальных условий протекания процесса:
Полученная модель процесса позволяет определить оптимальные условия его
протекания. На основе аппроксимирующих сведений известно, что наилучшее
качество протекания процесса достигается при:
Х1= -1 .. 1
Х2= -1 .. 1
Х3= -1 .. 1
Для нахождения оптимальных условий протекания процесса исследуем
уравнения при Х2= -1; -0,5; 0,5; 1 и Х1= -1; 1.
Поочерёдно подставим указанные значения Х1 и Х2 в уравнение и задавая y=0, что соответствует оптимальному
протеканию процесса.
Анализ полученных результатов показал, что нам подходят только данные
4-го и 8-го уравнений, т.к. остальные значения Х3 выходят за заданные границы
интервала [-1;1]. Поэтому для определения оптимальных условий работы необходимо
использовать только 4-ое и 8-ое уравнения.
Находим натуральные величины факторов:
Расчёт производим с учётом найденных оптимальных условий.
Таким образом, оптимальные условия протекания процесса будет следующими: Xnat1=91,01, Xnat2=33950, Xnat3=67,735 и Xnat1=212,22, Xnat2=33950, Xnat3=57,313.
Интерпретация модели в терминах:
В рассмотренном примере опыт подтвердил значимость не только линейных
эффектов, но и некоторых парных взаимодействий. Из трех факторов, линейно
влияющих на функцию отклика, выделились два: расход шихты Х1 и расход
технического кислорода Х2, причем расход шихты (Х1), судя по количественной
оценке коэффициентов, оказалась наиболее сильно влияющим фактором. Характер
влияния обоих факторов Х1 и Х2 не одинаков, так как а1>0, а2<0,
следовательно, увеличение значений Х1 приводит к увеличению функций отклика, а
увеличение значений Х2 приводит к уменьшению функций отклика. Содержание
кислорода в дутье Х3 в выбранных интервалах варьирования не влияет значимо на
отклик (коэффициент а3 незначим).
Значимыми также оказались 2 коэффициента из 3-х совместных факторов, то
есть совместимость эффектов (Х1 и Х2) и (Х2 и Х3). Совместное влияние (Х1 и Х2)
оказывает более сильное, чем (Х2 и Х3). Так как а12 > 0,
следовательно, увеличение функции отклика связано с изменением факторов Х1 и Х2
в одном направлении. Коэффициент а23 > 0, а значит, увеличение
функции отклика связано также с изменением факторов Х2 и Х3 в одном
направлении. Этот эффект взаимодействия заметно уступает всем остальным
значимым эффектам.
Полученная модель процесса позволяет определить и оптимальные условия его
протекания. Для этого были произведены расчёты, по результатам которых были
получены следующие оптимальные условия, а также найдены натуральные величины
факторов:
) х1=-1, х2=1 , х3=-0,39
Xnat1=91,01
Xnat2=33950
Xnat3=67,735.
) х1=1, х2=1 , х3=-0,828
Xnat2=33950
Xnat3=57,313.
Заключение
В данной курсовой работе был рассмотрен метод обработки данных -
планирование эксперимента, его особенности и этапы его реализации. С помощью
данного метода был составлен план эксперимента типа 23, с помощью
которого была определена зависимость концентрации меди от расхода шихты,
расхода технического кислорода и содержания кислорода в дутье. Также были
определена оценка равноточности опыта, уравнение регрессии, коэффициенты
аппроксимирующего полинома найденного уравнения, проведена адекватность этого
уравнения, дана интерпретация полученных результатов в терминах объектов
исследования.
Найденная модель процесса позволила определить оптимальные условия его
протекания. Для этого были произведены расчёты, по результатам которых были
получены следующие оптимальные условия данного процесса, а также найдены
натуральные величины факторов:
) х1=-1, х2=1 , х3=-0,39
Xnat1=91,01
Xnat2=33950
Xnat3=67,735.
) х1=1, х2=1 , х3=-0,828
Xnat1=212,22
Xnat2=33950
Xnat3=57,313.
Список
литературы
1. Власов
К.П. Методы научных исследований и организации эксперимента. - Санкт-Петербург,
РИЦ СПГГИ, 2000. 116 с.
. Методы
исследований и организация экспериментов /под ред. проф. К.П. Власова. Х.:
Издательство «Гуманитарный центр», 2002. 255 с.