Дослідження операції
Криворізький
національний університет
Контрольна
робота
з
дисципліни: Дослідження операції
Кривий
Ріг, 2012
Обчислити залежність продуктивності
праці у від факторів хі
Y
- обсяг нормативно чистої продукції, млн. грн.;
Х1 - чисельність
робітників, чол.;
Х2 - вартість основних
виробничих фондів, млн. грн;
Х3 - продуктивність
праці, тис. грн / чол.
Таблиця 1.1
Статистичні
показники, що характеризують вхідні спостереження над факторами
|
№
п/п
|
Значення
результативної ознаки У
|
Значення
впливових факторів
|
|
|
Х1
|
Х2
|
Х3
|
|
1
|
9
|
480
|
7
|
18,8
|
|
2
|
7
|
400
|
6,5
|
17,5
|
|
3
|
4,3
|
300
|
4,1
|
14,3
|
|
4
|
8,9
|
450
|
5,6
|
19,8
|
|
5
|
2,6
|
340
|
2,5
|
7,6
|
|
6
|
14
|
500
|
10
|
28,8
|
|
7
|
3,5
|
300
|
3
|
11,7
|
|
8
|
10,5
|
410
|
8,3
|
25,6
|
|
9
|
7,9
|
400
|
4,5
|
19,8
|
|
10
|
8
|
390
|
6,1
|
20,5
|
|
11
|
10,4
|
625
|
6,9
|
16,6
|
|
12
|
3,3
|
230
|
3,7
|
14,3
|
|
13
|
7,5
|
700
|
4,1
|
10,7
|
1.
Зробимо розрахунок статистичних характеристик
сукупностей
При множинному аналізі
на підставі вхідних значень табл. 1.1, визначають такі статистичні показники:
середнє

дисперсії

середньоквадратичне
відхилення

стандартна
похибка середнього

коефіцієнт
варіації

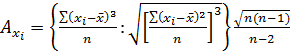
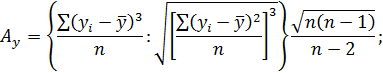
асиметрія

;
стандартна
похибка асиметрії

;
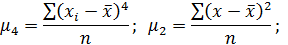
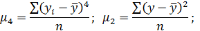
ексцес

де відповідно
стандартна
похибка ексцесу

Результати
розрахунків зводимо в таблицю 1.2.
Таблиця 1.2
Статистичні характеристики сукупностей
|
Показник
|
Ознаки
|
|
y
|
   
|
|
|
|
Мінімальне значення
|
2,6
|
230
|
2,5
|
7,6
|
|
Максимальне значення
|
14
|
700
|
10
|
2,8
|
|
Середнє
|
7,45
|
425
|
5,56
|
17,3
|
|
Дисперсія
|
10,18
|
15700
|
4,39
|
30,5
|
|
Середньоквадратичне відхилення
|
3,19
|
125,3
|
2,09
|
5,5
|
|
Стандартна похибка середнього
|
0,89
|
34,75
|
0,58
|
1,53
|
|
Коефіцієнт
варіації
|
42,8
|
29,5
|
37,6
|
31,9
|
|
Асиметрія
|
0,17
|
0,77
|
0,52
|
0,71
|
|
Стандартна
похибка
асиметрії
|
0,38
|
0,38
|
0,38
|
0,38
|
|
Ексцес
|
-0,3
|
0,53
|
-0,23
|
-0,14
|
|
Стандартна
похибка ексцесу
|
0,19
|
1,19
|
0,19
|
0,19
|
2.
Перевіримо відповідність розподілу початкової сукупності нормальному
розподілу
Необхідно зробити
перевірку відповідності початкових даних нормальному закону розподілу.
Використовуємо метод аналізу величини асиметрії | А |
та ексцесу | Е |. Дані не заперечують нормальному розподіленню, якщо
виконується нерівність

Для розглянутого
прикладу відповідно до /2.1/ маємо табл. 2.1.
Таблиця 2.1. Результати
перевірки нормальності розподілу
|
Ознака
|
| А |
|
|
| Е |
|
|
Відповідність нормальному розподілу
|
|
y
|
0,17
|
1,14
|
0,3
|
5,95
|
Так
|
|
|
0,77
|
1,14
|
0,53
|
5,95
|
Так
|
|
|
0,52
|
1,14
|
0,23
|
5,95
|
Так
|
|
|
0,21
|
1,14
|
1,14
|
5,95
|
Так
|
3.
Перевірка незалежності значень результативної ознаки
статистичний показник
взаємозв’язок фактор
Початкові дані за
результативною ознакою у являють собою ряди динаміки, виникає задача
перевірки присутності автокореляції в ряду початкових значень результативної
ознаки у, для перевірки якої застосовують критерій Дарбіна ватсона табл.
3.1;

Отже матимемо DW = 0.55.
Таблиця 3.1.
Значення критеріїв Дарбіна - Ватсона / q=5%
/
|
Кількість
початкових
значень
|
Значення критерію DW
за
кількістю
|
|
1
|
2
|
3
|
4
|
5
|
|
DW1
|
DW2
|
DW1
|
DW2
|
DW1
|
DW2
|
DW1
|
DW2
|
DW1
|
DW2
|
|
Менша або така, що дорівнює
|
|
|
|
|
|
|
|
|
|
|
|
15
|
1,08
|
1,36
|
0,95
|
1,54
|
0,82
|
1,75
|
0,69
|
1,97
|
0,56
|
2,21
|
|
16
|
1,10
|
1,37
|
0,98
|
1,54
|
0,86
|
1,73
|
0,74
|
1,93
|
0,62
|
2,15
|
|
17
|
1,13
|
1,38
|
1,02
|
1,54
|
0,90
|
1,71
|
0,78
|
1,0
|
0,67
|
2,10
|
Далі задамо рівняння
ймовірності і знайдемо табличне значення критеріїв DW1 та DW2 /при рівні
ймовірності 0,95/, скориставшись даними табл. 3.1.
При рівні значущості 5%
за даними табл. 2.1 матимемо
DW1 = 0.82; DW2 = 1.75.
Порівнюючи обчислене /DW/ значення критерію з
табличними значеннями / DW1 та DW2/.
4.
Перевірка статистичної незалежності факторів (мультиколінеарності)
Відповідно до вимог
множинного кореляційно-регресійого аналізу впливаючи фактори xi мают бути статистично
незалежні один від одного. Це питання має виключно велике значення , оскільки
присутність тісного лінійного зв’язку між аргументами моделі /про що свідчить
велике абсолютне значення відповідних парних коефіцієнтів кореляції/ спотворює
значення всіх параметрів множинної моделі, тим сильніше, чим чим віщі показники
парної кореляції. Це, в свою чергу, ускладнює або робить неможливим
застосування моделі для практичних цілей. Розв’язується задача так.
4.1
Загальна оцінка взаємозв’язку факторів
Висновок про присутність
взаємозв’язку між факторами /присутність мультиколінеарності/ дає застосування
критерію, до основаних на хі-квадрат /χ2/ розподіленні й
передбачає такі етапи.
) Визначити:
парні коефіцієнти
кореляції, що характеризують тісноту зв’язку між факторами xi та xj,
парні коефіцієнти
кореляції, що характеризують тісноту взаємозв’язку між факторами хі і
результативною ознакою у

коефіцієнти
детермінації
d=r2×100 .
Результати розрахунків
для початкових даних беремо з табл. 1.1 наведені у таблицях-матрицях 4.1 і 4.2
Таблиця 4.1 Парні
коефіцієнти кореляції
|
Показник
|
у
|
х1
|
х2
|
х3
|
|
|
у
|
1
|
0,63
|
0,92
|
0,84
|
|
х1
|
0,63
|
1
|
0,4
|
0,13
|
|
х2
|
0,92
|
0,4
|
1
|
0,89
|
|
х3
|
0,84
|
0,13
|
0,89
|
1
|
Таблиця 4.2 Парні
коефіцієнти детермінації
|
Показник
|
у
|
х1
|
х2
|
х3
|
|
|
у
|
-
|
81
|
25
|
70
|
|
х1
|
39
|
-
|
16
|
1.7
|
|
х2
|
85
|
16
|
-
|
80
|
|
х3
|
71
|
1.7
|
80
|
-
|
2) Визначаємо
обчислене значення критерію хі-квадрат:

Де 
натуральний логарифм; 
- обчислений детермінант
для кореляційної матриці факторів / у табл. 4.1 виділено 
/.
) Відшукати
табличне значення хі-квадрат рівня ймовірності 
для обраного рівня
ймовірності 
/з табл. 4.3 можна
взяти табличне значення при 
= 0,95/ та числа
ступенів вільності

Таблиця 4.3 Табличне значення хі-квадрат /рівень ймовірності 
= 0,95/
|
Кількість ступенів вільності f
|
|
Кількість ступенів вільності f
|
|
Кількість ступенів вільності f
|
|
|
1
|
3,8
|
11
|
19,7
|
21
|
32,7
|
6,0
|
12
|
21
|
22
|
33,9
|
|
3
|
7,8
|
13
|
22,4
|
23
|
35,2
|
|
4
|
9,5
|
14
|
23,7
|
24
|
36,4
|
Табличне значення
критерію 
взяте з табл. 4.3 для
кількості ступенів вільності :
4) Порівняємо
обчислене та табличне значення критерію , зробимо висновок про наявність взаємозалежності
між факторами, бо
4.2
Парна оцінка взаємозв’язку факторів
Цим прийомом
здійснюється виявлення тих факторів, що взаємозв’язані один з одним.
Застосовуючи цей прийом, необхідно
) Обчислити
показними значущості одержаних парних коефіцієнтів кореляції, використавши t-критерій Ст’юдента:

Таблица 4.4 Показники значущості парних коефіцієнтів кореляції 
|
Фактор
|
х1
|
х2
|
х3
|
|
х1
|
-
|
1,42
|
0,40
|
|
х2
|
1,42
|
-
|
6,64
|
|
х3
|
0,4
|
6,64
|
-
|
Таблица 4.5
|
Кількість ступенів вільності f
|
|
Кількість ступенів вільності f
|
|
Кількість ступенів вільності f
|
|
|
1
|
12,706
|
11
|
2,203
|
21
|
2,080
|
|
2
|
44,303
|
12
|
2,179
|
22
|
2,074
|
|
3
|
3,182
|
13
|
2,161
|
23
|
2,069
|
Кількість ступенів
вільності
f = 13-2=11;
Табличне значення
t-розподілення відповідно до даних табл.. 4.5 
=2,203
порівняти 
з даними табл.4.4
незначущість коефіцієнта кореляції, якщо
Результати
значущості/ незначущості/ коефіцієнтів кореляції, тобто присутність/відсутність/
взаємозв’язку між факторами згідно з даними табл.. 4.4 та наведені у табл.. 4.6
Таблиця 4.6
Присутність взаємозв’язку між факторами
|
Фактор
|
х1
|
х2
|
х3
|
|
х1
|
-
|
Ні
|
Ні
|
|
х2
|
Ні
|
-
|
Так
|
|
х3
|
Ні
|
Так
|
-
|
Зробити висновки про
ступінь статистичної незалежності факторів.
Для прикладу який
розглядаємо на основі результатів наведених у у табл. 4.1, 4.4, 4.6 робимо висновок
про високий ступінь взаємозв’язку між факторами х2 та х3.
У подальшому
аналізі доцільно один з факторів виключити з розгляду. Порівнюючи значення парних
коефіцієнтів кореляції цих факторів з результативною ознакою /див. табл. 4.1 / rx2y =0.92,
а 
доцільно включити
фактор х3 , тому що 
4.3
Оцінка групового взаємозв’язку факторів
Підсумковий
висновок про ступінь взаємозв’язку між факторами дає дослідження тісноти
взаємозв’язку кожного фактора з усіма іншими. Для розв’язання цієї задачі
виконаємо такі дії.
1) Обчислимо:
матрицю, обернену
кореляційній табл. 4.1, тобто

;

де - відповідних визначеному фактору елемент головної діагоналі
оберненої матриці;
коефіцієнт
детермінації факторів з усіма іншими факторами


2) Визначимо
обчислене значення F - критерію для кожного фактора

3) знайдемо табличне значення F-
розподілення для обраного рівня ймовірності α
таблиця.
4.7, кількості ступенів вільності відповідно до чисельника f1=k-1та
знаменника f2=n-k
за ймовірності α=0,
95 використовуємо дані табл. 4.1
Таблиця 4.7 Значення F-
розподілення Фішера при рівні ймовірності α=0,
95
|
Кількість ступенів вільності знаменника n-k
|
Кількість ступенів вільності чисельника k-1
|
|
2
|
4
|
6
|
8
|
10
|
20
|
40
|
>100
|
|
2
|
19,0
|
19,3
|
19,3
|
19,4
|
19,4
|
19,4
|
19,5
|
19,5
|
|
4
|
6,94
|
6,39
|
6,16
|
6,04
|
5,96
|
5,80
|
5,71
|
5,66
|
|
6
|
5,14
|
4,53
|
4,28
|
4,15
|
4,06
|
3,87
|
3,77
|
3,71
|
|
8
|
4,46
|
3,84
|
3,58
|
3,44
|
3,34
|
3,15
|
3,05
|
2,98
|
|
10
|
4,10
|
3,48
|
3,22
|
3,07
|
2,97
|
2,97
|
2,77
|
2,59
|
|
20
|
3,49
|
2,87
|
2,60
|
2,45
|
2,35
|
2,12
|
1,99
|
1,90
|
|
40
|
3,23
|
2,61
|
2,34
|
2,18
|
2,07
|
1,84
|
1,69
|
1,59
|
|
>100
|
3,09
|
2,46
|
2,19
|
2,03
|
1,92
|
1,86
|
1,51
|
1,39
|
4) Порівняємо значення 
і 
. Фактори, для яких 
, вважатимемо незалежними
від інших факторів; фактори, для яких 
, вважатимемо залежними
від останніх.
Коефіцієнти кореляції і показники їх
значущості наведені у таблиці 4.8
Таблиця 4.8
|
Показник
|
Фактор
|
|
х1
|
х2
|
х3
|
|
Коефіцієнт кореляції фактора з усіма іншими
факторами
|
0,64
|
0,94
|
0,92
|
|
Коефіцієнт детермінації фактора з усіма іншими
факторами, %
|
41
|
88
|
85
|
|
Обчислене значення критерію  3,4736,728,3
|
|
|
|
|
Табличне значення критерію  4,104,104,10
|
|
|
|
Значення 
брали з табл. 4.7 при
кількості ступенів вільності чисельника
f1=k-1=3-1-2
і знаменника
f2=n-k=13-3=10.
Порівнюючи обчислене значення
F-критерію
і табличне табл. 4.8 відповідно до співвідношень /2,12/ та /2,20/0 робимо
висновок про високу залежність факторів х2 та х3від
інших факторів /для них 
/
Виходячи з цього критерію
доцільно виключити з подальших досліджень фактор х2,
тому що F х2
= 36.7 > F х3
= 28.3 табл. 2.10.
Висновок
Для прикладу, який
розглядаємо, на підставі висновків пп. 2.3.2, 2.3.3, а також економічного
аналізу вилучаємо фактор х3, залишаючи х2
як найбільш первинний. Фактор х3 - продуктивність праці,
здобутий через інші.