Остановочный пункт 'Вокзал'
Введение
Для исследования в курсовой работе был выбран
остановочный пункт «Вокзал», расположенный на улице Победа.
Через остановочный пункт проходит множество
маршрутов транспортных средств, соединяющих Новобелицкий район с другими
районами города. Здесь проходят следующие маршруты троллейбусов:
№ 10 “Вокзал - Гомсельмаш”
№ 19 “Солнечная - Вокзал”
А также ряд важнейших автобусных маршрутов
городского сообщения:
№ 7 “ Вокзал - улица Олимпийская ”
№ 7а “Вокзал - мн. Кленкавский”
№ 3а “Вокзал-Новое жыцце ”.
Недалеко от остановочного пункта расположены:
ж/д вокзал, автовокзал, Белорусский Государственный Университете.
1. План и характеристика объекта
После детального изучения исследуемого участка
выполняется его план в масштабе. Участок дороги должен включать ОП, не менее 1
перекрестка и не менее 1 пешеходного перехода. На плане фиксируется дислокация
технических средств организации движения, число полос для движения, ширина
проезжей части и тротуара, зеленые насаждения, расположенные рядом здания и
т.д. План участка дороги представлен на рисунке 1.1.
остановочный пункт дорожный поток
Рисунок 1.1 - План участка дороги
2. Краткое описание объекта
Проезжая часть на исследуемом участке дороги
имеет ровное асфальтное покрытие без наплывов, гребенок, выбоин, волн, трещин и
т.д. Покрытие чистое без наносов грязи и без застоев воды. Непосредственно к
проезжей части прилегает тротуар. Проезжая часть отделена от тротуара бордюрным
камнем высотой около 20 мм. Ширина проезжей части составляет 13-15 м. Ширина
тротуара - 3 метра. За тротуаром имеется газон шириной около 2 м.
На перегоне улицы, на исследуемом участке
установлено достаточное количество дорожных знаков. Все дорожные знаки в
хорошем состоянии и хорошо различимы как для водителей, так и для пешеходов.
Дорожная разметка на проезжей части исследуемого участка так же находится в
хорошем состоянии.
Видимость в обоих направления движения не менее
300 м.Проезжая часть на исследуемом участке разделена разделительной полосой
шириной 13-15м.
По обе стороны от проезжей части установлены
фонари искусственного освещения с интервалом 25-30 метров. В темное время суток
работают все фонари, поэтому проезжая часть и прилегающие к ней тротуары
освещены в достаточной степени.
Проезжая часть имеет по 3 полосы для движения в
каждом направлении. Ширина каждой полосы около 2,5 метров. На исследуемом
участке имеются регулируемые перекрестки. На регулируемых перекрестках
установлены как транспортные, так и пешеходные светофоры. На перекрестках установлены
современные диодные светофоры, что исключает возможность появления
фантом-эффекта. На перекрестках исследуемого участка дороги имеются местные
уширения проезжей части.
Остановочный пункт расположен в достаточно
удобном месте, т.к. большинство пассажиров направляются на автовокзал либо ж/д
вокзал. Все выходящие из маршрутных транспортных средств пассажиры направляются
либо вперед по ходу движения к нерегулируемому пешеходному переходу, либо назад
- к нерегулируемому пешеходному переходу. Тротуары, прилегающие к остановочному
пункту, вымощены тротуарной плиткой и не имеют просадок либо трещин. Ширина
тротуара в приделах остановочного пункта - 4 метра.
В зоне остановочного пункта нет заездного
кармана, поэтому маршрутные транспортные средства используют для остановки
крайнюю правую полосу проезжей части. Это негативно влияет на движение
транспортного потока, т.к. остановившееся маршрутное транспортное средство
вынуждает водителей маневрировать и снижать скорость. Кроме того, проезжая
часть в районе остановочного пункта имеет колею, что также негативно влияет на
безопасность дорожного движения.
Остановочный пункт оборудован необходимыми
дорожными знаками, также на нем имеется вывеска с названием и расписание
движения маршрутных транспортных средств. Остановочный пункт оборудован навесом
из полупрозрачного пластика. Под навесом установлены скамейка и урна для
мусора. Так же на остановочном пункте расположен киоск.
Маршрутные транспортные средства останавливаются
непосредственно около остановочного пункта, что способствует быстрой
посадке-высадке пассажиров. В районе остановочного пункта тротуар выполняет
роль посадочной площадки, что создает помехи транзитному движению пешеходов по
тротуару в часы-пик. Причиной этому служит то, что в часы-пик наблюдается большое
скопление пассажиров на остановочном пункте (до 30-40 человек). Но, несмотря на
все вышеперечисленное, конфликтных ситуаций замечено не было.
Пешеходные переходы расположены на траектории
движения пешеходов. Основные объекты тяготения расположены в непосредственной
близости от пешеходных переходов. В темное время суток пешеходные переходы в
достаточной степени освещены.
3. Экспериментальные исследования
.1 Обследование условий движения
Обследование условий дорожного движения
оценивается по величине «треугольника боковой видимости» и степени его
прозрачности. Размеры этого треугольника определяются следующим образом. На
траектории движения пешеходов определяется самая опасная точка, от этой точки в
направлении обратном движению транспорта, откладывается сторона треугольника
S1= 3v1 (в городских условиях при отсутствии ограничений скорости S1
принимается равной 50 метров). И от этой же точки определяется наименьший
видимый отрезок пешеходного пути S2. Схема треугольника боковой видимости
конфликтных точек представлена на рисунке 3.1.
Рис. 3.1
3.2 Характеристики транспортных
потоков
Измеряется интенсивность движения и состав
транспортного потока (1), а также скорость движения транспорта (2), проходящего
через данный ОП.
. Измерение числа и типа транспортных средств,
прошедших перекресток, вблизи остановочного пункта «Вокзал» за 10 минут
Параметры распределения числа ТС, прошедших за 1
минуту
где Z - число замеров с одинаковым значением
;

- суммарное число
замеров (по условию работы 
=10);

- математическое
ожидание распределения;

- среднее
квадратическое отклонение от распределения;

- коэффициент
вариации распределения.
По сумме замеров подсчитывается:
Число правоповоротных (
), левоповоротных (
) и транспортных (
или просто n) ТС;
Число ТС каждого типа:
Рассчитываются следующие характеристики:
ИД для каждого минутного интервала времени
где 
- продолжительность
замера для каждой строки (по условию работы 
= 60 с);
Средняя ИД за время измерений
Средняя ИД по направлениям
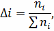
доля в потоке ТС каждого типа Δi
где ni - число ТС данного типа (мотоциклы,
легковые, грузовые и т.д.);
коэффициент приведения состава транспортного
потока
где Кпт, Кпн, Кпэ - частные коэффициенты
приведения ТС данного типа
Определим параметры распределения ТС, прошедших
за 1 минуту
;
.
ИД для каждого минутного интервала времени
Средняя ИД за время измерений
Средняя ИД по направлениям
доля в потоке ТС каждого типа Δi
;
;
;
;
коэффициент приведения состава транспортного
потока
;
;
.
Рисунок 3.2 - График неравномерности движения
Рисунок 3.3 - Картограмма и цифрограмма
интенсивности движения
Рисунок 3.4 - Диаграмма состава транспортного
потока
Замеры производятся с помощью секундомера.
Фиксируется окончание (либо начало) прохождения автомобиля через ориентиры.
Результаты замеров заносятся таблицу. Измеряется скорость, по возможности,
каждого проходящего по данной полосе автомобиля. Однако, если идет плотная
группа (пачка) автомобилей, измеряется скорость любого автомобиля из этой
пачки, идущего по исследуемой полосе, которая затем присваивается всем
автомобилям пачки. Производится такое количество замеров, чтобы число
автомобилей в выборке составило 50.
Подготовка к замерам заключается в определении
исходных данных и установке ориентиров (рисунок 3.1).С помощью рулетки или иным
способом измеряются величины So, bo и b1=4,5м. Искомая величина определяется из
соотношения
Рисунок 3.5 - Схема производства замеров
скорости
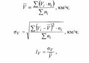
По каждому замеру подсчитывается (с точностью до
0,1 км/ч) и заносится в протокол скорость V:
V = 3,6
, км/ч.
где S - путь, который проходит автотранспортное
средство за время t.
Производится группирование скоростей таким
образом, чтобы образовалось не менее 5-8 групп. Обычно интервал (шаг)
группирования составляет 5 км/ч. Например, группа "35 км/ч" включает
скорости от 30,5 до 35,5 км/ч, а группа "40 км/ч" включает скорости
30,5 до 40,5 км/ч. При этом нижний предел скорости по договоренности входит в
данную группу, а верхний - в последующую, или наоборот.
Параметры определения скоростей рассчитываются
по формулам:
где ni - число замеров, соответствующих данному
значению скорости (или входящих в данную группу);- скорость данного замера (или
средняя скорость данной группы), км/ч.
По результатам измерений получили, что S=50 м.
Далее зафиксировали время прохождения мерного участка автомобилями при помощи
секундомера и рассчитали мгновенную скорость транспортных средств. Количество
выборки составило 50 автомобилей.
Определим параметры распределения скоростей:

Таблица 3.1 - Результаты измерения мгновенной
скорости ТП
|
№
п/п
|
Параметр
|
Индекс
|
Размерность
|
Значение
|
|
1
|
Число
замеров
|
п
|
шт.
|
50
|
|
2
|
Математическое
ожидание
|
V
|
км/ч
|
37,6
|
|
3
|
Среднеквадратическое
отклонение
|
σV
|
км/ч
|
8,87
|
|
4
|
Коэффициент
вариации
|
Iv
|
-
|
0,24
|
Рисунок 3.6 - Кумулятивная прямая распределения
скоростей
3.3 Характеристики пешеходных
потоков
Измеряется интенсивность движения пешеходов,
проходящих через проезжую часть (1) и интенсивность движения пешеходов вышедших
из МТС (2). Так как пешеходный переход нерегулируемый, то измерения проводились
для 10 циклов движений пешеходов (пересечение проезжей части пешеходом).
Подсчёт числа пешеходов произведён для: 1) число пешеходов идущих не по
переходу, nт; 2) прошедших через пешеходный переход без нарушений, nz.
Одновременно с измерением пешеходного движения подсчитано число, тип и
направление движения транспортных средств, движущихся через исследуемый
пешеходный переход. Данные замеров количества пешеходов и транспортных средств,
движущихся в различных направлениях через данный пешеходный переход, занесем в
таблицу 3.2.
Таблица 3.2 - Количество пешеходов и ТС
|
№
|
пешеходы
|
автомобили
|
|
nт1
|
nz1
|
nт2
|
nz2
|
nа1
|
nа2
|
|
1
|
-
|
4
|
-
|
7
|
15
|
17
|
|
2
|
-
|
3
|
-
|
8
|
11
|
19
|
|
3
|
-
|
7
|
-
|
11
|
17
|
22
|
|
4
|
-
|
2
|
-
|
3
|
13
|
15
|
|
5
|
-
|
9
|
-
|
12
|
14
|
16
|
|
6
|
-
|
5
|
-
|
8
|
10
|
14
|
|
7
|
-
|
3
|
-
|
5
|
18
|
15
|
|
8
|
-
|
11
|
-
|
4
|
15
|
17
|
|
9
|
-
|
9
|
-
|
1
|
21
|
15
|
|
10
|
-
|
6
|
-
|
2
|
16
|
10
|
|
итого
|
-
|
58
|
-
|
61
|
150
|
160
|
Обработка результатов:
Суммарное значение интенсивности движения
пешеходов

чел./ч;

чел./ч,

чел./ч,
где 
- суммарное время
измерений, 
, с.
Суммарное значение интенсивности движения
автотранспорта

=930 авт./ч.
Доля нарушителей:

;

nт=(0+0)/(0+0+58+61)=0
Годовое число нарушителей

нар./год,
где 
- годовой фонд
времени, 
ч/год.

нар./год.
Результаты работы занесем в таблицу 3.3.
Таблица 3.3 - Результаты исследования нарушения
правил пешеходами
|
№
|
параметры
|
индекс
|
раз-ть
|
значение
|
|
1
|
Цикл
регулирования
|
С
|
c
|
120
|
|
2
|
Продолжительность
ЗС для пешеходов
|
|
c
|
-
|
-
|
|
3
|
Число
полос для движения
|
i
|
шт.
|
6
|
|
4
|
Продолжительность
измерения
|
|
с
|
10·С
|
|
5
|
ИД
транспорта
|
Q
|
авт./ч
|
930
|
|
6
|
ИД
пешеходов
|
|
чел./ч
|
174
|
183
|
|
7
|
Доля
нарушителей сигнала светофора
|
|
-
|
-
|
-
|
|
8
|
Доля
нарушителей траектории
|
|
-
|
-
|
-
|
|
9
|
Суммарная
доля нарушителей
|
|
-
|
0
|
|
10
|
Годовой
фонд времени
|
|
ч/год
|
8760
|
|
11
|
Годовое
число нарушений
|
|
нар./год
|
0
|

nт=0 


Рисунок 3.7 - Картограмма интенсивности движения
пешеходов и ТС
При измерении интенсивности движения пешеходов,
вышедших из МТС, определяются основные направления движения, а затем
производится подсчет числа пешеходов по каждому направлению. Продолжительность
измерений не менее 20 подвижных единиц.
На схеме мы можем видеть, что вышедшие пешеходы
из МТС двигаются в двух направлениях от остановочного пункта.
Таблица 3.4 - Интенсивность движения пешеходов,
вышедших из МТС по направлениям
|
№
|
направления
движения
|
№
|
направление
движения
|
|
|
|
|
|
налево
|
направо
|
|
|
|
|
1
|
2
|
5
|
11
|
3
|
5
|
|
2
|
1
|
7
|
12
|
5
|
4
|
|
3
|
3
|
4
|
13
|
2
|
4
|
|
4
|
4
|
7
|
14
|
6
|
|
5
|
2
|
5
|
15
|
1
|
5
|
|
6
|
2
|
6
|
16
|
3
|
7
|
|
7
|
1
|
6
|
17
|
4
|
3
|
|
8
|
-
|
2
|
18
|
3
|
5
|
|
9
|
4
|
8
|
19
|
3
|
7
|
|
10
|
1
|
7
|
20
|
1
|
8
|
|
итого
|
20
|
57
|
итого
|
26
|
54
|
Из общего количества пассажиров сошедших на
остановке из МТС за все время измерения мы видим, что 46 из них повернуло
налево а 111-направо. Основная масса людей, повернувших направо продолжила
движение к пешеходному переходу и далее к железнодорожному либо автовокзалу. В
общем числе пешеходов преобладают люди среднего возраста и молодежи, их число
составляет 75 и 59 соответственно. За все время наблюдения из транспортных
средств вышло лишь 9 человек пожилого возраста. Основная масса пассажиров - это
пассажиры молодого и среднего возраста, добирающиеся на вокзал. Основная масса
людей, движущихся налево - студенты.
Темп у сошедших пешеходов из МТС, был различный,
но большинство из них двигались в умеренном темпе. У людей с детьми и пожилого
возраста тем был неторопливый. Конфликтные ситуации создавали движущиеся
имеющие ручной багаж и заполненность территории ОП. Выходящие из МТС люди с
тележками, не могли быстро сориентироваться, где им лучше обойти ожидающих
посадку людей, и тем самым создавали «пробку» для движения.
Исходя их этого, можно сделать вывод, что на
формирование конфликтных точек среди пешеходов на территории ОП влияет
плотность пешеходов, т.е. количество людей ожидающих МТС, число сошедших
пассажиров, наличие вещей и площадь территории, отведенной для ОП.
3.4 Исследование работы ОП
Обследуются условия движения и ожидания
пешеходов непосредственно на ОП и измеряется время прибытия, убытия подвижных
единиц, расстояние между бортовым камнем и правым колесом подвижной единицы.
Все данные сведены в таблицу 3.5.
Данный ОП павильонного типа, с оборудованными
внутри скамейками для сиденьями, и удаленного от бортового камня на расстояние
4 метра, ширина павильона составляет 3 метра. Рядом с павильоном ОП находится
ларек. Засоренность территории отсутствует. На тротуаре отсутствуют выбоины, в
которых во время дождя может скапливаться вода. Расстояние от проезжей части до
тротуара позволяет людям во время дождя ожидать транспорт на расстоянии,
позволяющем не быть обрызганными. Проходящими автомобилями. Возле остановочного
пункта на проезжей части в период осадков не скапливается вода и отсутствуют
лужи.
Таблица 3.5 - Исследование работы ОП
|
№
|
вр.
прибытия
|
вр.
отбытия
|
Простой,
c
|
расст.
до бортового камня, м
|
пассажирооборот
|
тр.ср
|
|
|
|
|
|
сошло
|
вошло
|
|
|
|
|
|
|
трот
|
пр.ч
|
трот
|
пр.ч
|
|
|
1
|
8.01.47
|
8.02.04
|
-
|
0,5
|
6
|
-
|
4
|
-
|
авт
|
|
2
|
8.04.06
|
8.04.21
|
-
|
0,3
|
4
|
-
|
5
|
-
|
авт
|
|
3
|
8.05.24
|
8.05.48
|
3
|
0,2
|
7
|
-
|
3
|
-
|
авт
|
|
4
|
8.08.19
|
8.08.41
|
-
|
0,2
|
9
|
-
|
4
|
-
|
тр
|
|
5
|
8.08.44
|
8.09.00
|
4
|
0,7
|
6
|
2
|
1
|
4
|
м
|
|
6
|
8.11.21
|
8.11.40
|
6
|
0,9
|
3
|
-
|
-
|
2
|
м
|
|
7
|
8.14.37
|
8.14.45
|
-
|
0,7
|
5
|
-
|
-
|
1
|
м
|
|
8
|
8.15.01
|
8.15.14
|
-
|
0,3
|
10
|
-
|
6
|
-
|
тр
|
|
9
|
8.19.07
|
8.9.22
|
-
|
0,5
|
3
|
-
|
1
|
-
|
авт
|
|
10
|
8.21.11
|
8.21.32
|
-
|
0,4
|
1
|
-
|
3
|
-
|
авт
|
|
11
|
8.22.34
|
8.22.47
|
-
|
0,5
|
5
|
-
|
4
|
-
|
тр
|
|
12
|
8.22.37
|
8.22.49
|
4
|
0,3
|
2
|
-
|
2
|
-
|
м
|
|
13
|
8.27.04
|
8.27.19
|
-
|
0,6
|
2
|
1
|
5
|
3
|
тр
|
|
14
|
8.33.17
|
8.33.29
|
-
|
0,5
|
6
|
-
|
5
|
4
|
авт
|
|
15
|
8.34.12
|
8.34.21
|
-
|
0,9
|
2
|
2
|
-
|
-
|
м
|
|
16
|
8.35.41
|
8.35.47
|
-
|
0,7
|
3
|
1
|
1
|
2
|
м
|
|
17
|
8.41.18
|
8.41.37
|
-
|
0,3
|
5
|
-
|
1
|
-
|
тр
|
|
18
|
8.44.28
|
8.44.37
|
-
|
0,4
|
11
|
-
|
6
|
-
|
авт
|
|
19
|
8.47.11
|
8.47.23
|
-
|
0,2
|
14
|
-
|
2
|
-
|
авт
|
|
20
|
8.47.18
|
8.47.45
|
15
|
0,9
|
5
|
-
|
-
|
5
|
м
|
Исходя, из данных результатов и визуальной
оценки ОП можно судить о том, что остановочный пункт удовлетворяет размерам и
техническому оснащению для имеющегося количества людей, ожидающих транспорт.
Тротуар в зоне остановочного пункта в хорошем состоянии.
3.5 Исследование взаимодействия
Для исследования взаимодействия транспорта в
зоне остановочного пункта в течении 30 минут осуществляется наблюдение и
фиксация маневров. Также составляется протокол, в котором указывается
обозначение маневра и степень опасности: б (безопасный), к (конфликтный), о
(опасный). При этом, опасные маневры подразделяются на 3 категории: легкая (л),
средняя (с), тяжелая (т).
Маневром называется существенное изменение
скорости и (или) направления движения ТС,- например, торможение, остановка,
трогание, объезд, разгон, поворот. В зависимости от характера взаимодействия с
другими участниками движения маневры подразделяются на категории:
бесконфликтный - выполняется свободно, без
видимого взаимодействия с другими участниками, когда ближайший главный
конфликтующий участник прибудет в конфликтную точку не ранее чем через 3 с
после оставления ее другим конфликтующим участником;
конфликтный, - когда для избежания коллизии
главный конфликтующий участник вынужден предпринять уклончивые действия или
второстепенный конфликтующий участник вынужден экстренно отказываться от
маневра;
опасный, - как правило, вызывающий конфликтную
ситуацию и имеющий место тогда, когда участники независимо от приоритета для
избежания коллизии вынуждены предпринимать экстренные уклончивые действия.
Таблица 3.6 - Протокол исследования
маневрирования
|
Опасность
|
Вид
|
|
|
Сумма
|
|
|
|
|
шт.
|
%
|
|
б
|
|
3
|
2
|
5
|
45,4
|
|
к
|
|
2
|
1
|
3
|
27.3
|
|
о
|
л
|
2
|
1
|
3
|
27,3
|
|
с
|
-
|
-
|
-
|
-
|
|
т
|
-
|
-
|
-
|
-
|
|
Сумма
|
7
|
4
|
11
|
100
|
|
|
|
|
|
|
|
Рассмотрим первый случай: конфликтная ситуация
происходит в связи с несоблюдением водителями пункта 116 главы 14 «Пешеходные
переходы и остановочные пункты маршрутных транспортных средств» Правил дорожного
движения, который гласит: при подъезде к нерегулируемому пешеходному переходу
водитель должен снизить скорость, вплоть до остановки транспортного средства,
чтобы уступить дорогу пешеходам. На данном участке дороги данное нарушение
водители совершают крайне часто, что нередко способствует аварийной ситуации.
Рассмотрим второй случай: конфликтная ситуация
происходит в связи с тем, что водители транспортных средств не соблюдают
требования, указанные в пункте 125 глава 15 ПДД и не уступают дорогу маршрутному
транспортному средству, начинающему движение от остановочного пункта.
Вывод: за время наблюдений произошло 2 ситуации,
в которых были конфликтные маневры. Опасных маневров не наблюдалось. Основной
причиной всех аварийных ситуаций является несоблюдение правил дорожного
движения.
4. Результаты исследования
.1 Анализ существующей организации
дорожного движения
Дорожные условия на рассматриваемом участке
хорошие. На дорожном покрытии отсутствуют выбоины и ямы, в которых в период
дождя скапливается вода, что снижает сцепные свойства автомобиля с дорогой и
может привести к аварийной ситуации. Зона остановочного пункта уложена
единичным дорожным элементом (мостовая), что полностью ликвидирует волнистость
дорожного покрытия, которая наблюдалась ранее после зимнего периода. Дорожная
разметка нанесена ярко. Имеются все необходимые технические средства
организации дорожного движения.
Скорость автомобилей ограничена 40 км/ч, но за
период обследования были выявлены нарушители скоростного режима. В зоне
остановочного пункта автомобили в основном движутся с умеренной скоростью.
Заторов в движении не наблюдается.
Остановочный пункт обустроен всем необходимым
для комфортного ожидания транспортных средств. Остановочный пункт оборудован
павильоном, ларьком, имеются рекламные щиты. Ширины остановочного пункта
достаточно для вмещения всех ожидающих транспортные средства людей даже в час
пик. Автобусы. Троллейбусы подъезжают вплотную к бортовому камню. Единственным
недостатком остановочного пункта является отсутствие заездного кармана.
Устройство заездного кармана сократит конфликтные точки и устранит препятствие
для транспортного потока, движущегося по данной полосе.
Рассмотрено 1 регулируемых и 1 нерегулируемый
пешеходный переход. На нерегулируемом пешеходном переходе неоднократно
происходили ДТП с участием пешеходов. Это очень сложный переход, т.к. здесь
массово переходят в основном пешеходы идущие на Вокзал. Данный пешеходный
переход необходимо сделать регулируемым, что не является возможным, т.к. в 20 м
от перехода расположена остановка и это затруднит движение и создаст простой ТС
и затор на дороге. При исследовании регулируемых пешеходных переходов была
определена доля нарушителей сигнала светофора и траектории движения. Доля
нарушителей сигнала светофора составила от 0,03 до 0,07.
Для улучшения ситуации и снижения конфликтных
точек возможно применение объемной дорожной разметки.
4.2 Предложения по совершенствованию
организации дорожного движения
Основным недостатком на обследуемом участке
улицы является отсутствие заездного кармана на остановочном пункте.
Остановившиеся транспортные средства занимают большую часть полосы, что
способствует выезду остального транспорта на встречную полосу движения. А также
необходимо учесть, что за остановочным пунктом расположено примыкание
второстепенной дороги, а также нерегулируемый пешеходный переход, поэтому
остановившееся на остановке маршрутное транспортное средство ограничивает
видимость следующего по соседней полосе автомобиля. Поэтому обустройство
заездного кармана решит немало задач в улучшении и совершенствовании
организации дорожного движения.
Также стоит применить объемную дорожную разметку
в зоне нерегулируемого пешеходного перехода.
Каждое предложение должно быть экономически
обоснованным, выгодным с точки зрения национальных интересов. Поэтому по всем
разработанным предложениям необходимо выполнить упрощенный расчет экономической
эффективности.
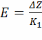
Годовая экономия от внедрения предложения ΔZ
определяется
по формуле

,
где 
- текущие затраты
при существующей организации дорожного движения, к ним относятся экономические
и аварийные потери, расходы на содержание транспортных средств регулирования и
т.д.;

- текущие затраты
при усовершенствовании организации дорожного движения.
Экономический эффект от внедрения предложений
определяется по формуле

,
где 
- единовременные
затраты, необходимые для внедрения предложений; 
- единые
нормативный коэффициент капитальных вложений, равный 0,15.
Коэффициент экономической эффективности
определяется из соотношения

.
Срок окупаемости определяется по формуле

, лет
Если 
≥
или 
≤ 6 лет, то
внедрение предложений экономически, безусловно выгодно.
Производим экономическую оценку:
Обустройство заездного кармана

;

;

0,005 года.
При определении экономической выгодности данного
мероприятия учитывались потери, при авариях - 165000 э.д.е., также затраты
связанные с простоем автомобилей 680 э.д.е., а также учли все затраты, для
внедрения данного предложения. Исходя из расчетов можно сделать вывод, что
данное предложение вполне осуществимо и не требует больших затрат.
Заключение
В данном курсовом проекте исследовался
остановочный пункт “Вокзал” (БелГУТ). Измерена интенсивность движения,
нарушения водителями скоростного режима, интенсивность движения пешеходов через
переход, а также нарушения пешеходами и водителями ПДД. Основным объектам
исследования стал остановочный пункт маршрутных транспортных средств. В
результате сделан вывод, что остановочный пункт необходимо оборудовать заездным
карманом, что сократит количество конфликтных точек движения, а также уменьшит
простой ТС. Интенсивность автомобилей в среднем составила 164 авт. в час.
Интенсивность пешеходов через переходы соответственно составила 183, 174 чел в
час. В работе остановочного пункта никаких нарушений выявлено не было.
Транспортные средства приезжают на остановочный пункт вовремя и на остановочном
пункте долгих задержек не выявлено. В результате проведения исследования и
расчетов предложено несколько мероприятий по улучшению организации дорожного
движения.
Список используемой литературы
1. Аземша
А.А. Обеспечение безопасности дорожного движения и перевозок: учеб пособие /
С.А. Аземша, В.А. Марковцев, Д.В. Рожанский; М-во образования Респ. Беларусь,
Белорус. Гос. ун-т трансп. - Гомель: БелГУТ, 2011. - 259 с.
2. Аземша
С.А. Правила дорожного движения с иллюстрациями и комментариями: учеб пособие /
С.А. Аземша, Т.В. Грищенко, С.В. Скирковский; М-во образования Респ. Беларусь,
Белорус. Гос. ун-т трансп. - Гомель: БелГУТ, 2010. - 271 с.
. Знаки
дорожные. Общие технические условия: СТБ 1140-99, с изм. и доп. - Введ.
26.02.99. - Мн.: Межгос. Совет по стандартизации, метрологии и сертификации:
Белорус. Гос. ин-т стандартизации и сертификации, 2005. - 110 с.
. Разметка
дорожная. Общие технические условия: СТБ 1231-2000, с изм. и доп. - Введ.
23.06.2000. - Мн.: Межгос. Совет по стандартизации, метрологии и сертификации:
Белорус. Гос. ин-т стандартизации и сертификации, 2005. - 48 с.
. Технические
средства организации дорожного движения. Правила применения: СТБ 1300-2007, с
изм. и доп. - Введ. 28.06.2007. - Мн.: Межгос. Совет по стандартизации,
метрологии и сертификации: Белорус. Гос. ин-т стандартизации и сертификации,
2007. - 117 с.
. Дороги
автомобильные и улицы. Требования к эксплуатационному состоянию допустимому по
условиям обеспечения безопасности движения: СТБ 1291-2001.- Введ. 21.11.2001. -
Мн.: Межгос. Совет по стандартизации, метрологии и сертификации: Белорус. Гос.
ин-т стандартизации и сертификации, 2001. - 15 с.