Метрологическое обеспечение процесса диагностирования эффективности тормозной системы автомобиля

  • Вид работы:
    Курсовая работа (т)
  • Предмет:
    Транспорт, грузоперевозки
  • Язык:
    Русский
    ,
    Формат файла:
    MS Word
    357,49 Кб
  • Опубликовано:
    2012-10-17
Вы можете узнать стоимость помощи в написании студенческой работы.
Помощь в написании работы, которую точно примут!

Метрологическое обеспечение процесса диагностирования эффективности тормозной системы автомобиля

Введение

Повышение эксплуатационной надежности и эффективности технических систем (ТС) в настоящее время во многом определяется уровнем метрологического обеспечения (МО) всех «жизненных» стадий изделий - их проектирования, производства и эксплуатации. При этом значительно возросла роль контроля, испытания и диагностирования - основных метрологических производственных операций в управлении качеством продукции. Эксплуатация ТС интегрально учитывает все предшествующие стадии и является самостоятельным объектом МО.

Единство принципов МО, заключающихся в получении достоверной измерительной информации, и единство целей, направленных на улучшение эксплуатационных показателей ТС при управлении качеством продукции, дают основания сформировать единый подход к изучению данной проблемы. Отсутствие такого подхода на практике при внедрении различных систем управления качеством продукции нередко приводит к необоснованным и волевым решениям.

Управление качеством технологических процессов осуществляется на основе измерительной информации, получаемой от различных источников. Качество же самой измерительной информации определяется уровнем МО процессов, связанных с техническим обслуживанием ТС.

Обеспечение требований к надежности ТС в значительной степени зависит от эффективности ее эксплуатационного контроля. В настоящий момент разрабатываются и внедряются различные методы и средства диагностирования ТС, применяется стратегия технического обслуживания изделий по состоянию с контролем диагностических параметров. В этой связи увеличивается объем измерительных операций в технологических процессах технического обслуживания.

Для повышения эффективности технического обслуживания и ремонта автомобилей требуется индивидуальная информация об их техническом состоянии до, и после обслуживания или ремонта. При этом необходимо, чтобы получение указанной информации было доступным, не требовало бы разборки агрегатов и механизмов и больших затрат труда. Индивидуальная информация о скрытых и назревающих отказах позволяет предотвратить преждевременный или запоздалый ремонт и профилактику, а также проконтролировать качество выполняемых работ. Средством получения такой информации является техническая диагностика автомобилей. Технической диагностикой называется отрасль знаний, изучающая признаки неисправностей автомобиля, методы, средства и алгоритмы определения его технического состояния без разборки, а также технологию и организацию использования систем диагностирования в процессах технической эксплуатации подвижного состава.

При разработке и выборе методик и средств эксплуатационного контроля с учетом этого должна решаться задача не только обеспечения требований к точности и достоверности контроля, но и достижения заданного уровня безотказности контролируемых изделий. Такая постановка задачи представляет собой принципиально новый подход к нормированию метрологических характеристик контроля. Она не может быть решена без теоретических и методических основ количественной оценки зависимости показателей безотказности изделий от метрологических требований к контролирующим системам.

Техническое диагностирование технической системы (ТС) и ее отдельных агрегатов, узлов, элементов направлено на решение одной или нескольких задач: на определение технического состояния; поиск и локализацию места отказа или неисправности; прогнозирование остаточного ресурса или вероятности безотказной работы на заданном интервале наработки.

Метрологическое обеспечение (МО) диагностирования и прогнозирования заключается в выборе диагностических параметров, разработке алгоритмов поиска и локализации неисправностей, обоснования точности и достоверности измерения диагностических параметров, оптимизации периодичности диагностирования, прогнозирования остаточного ресурса, типизации точности контрольно-диагностических методов, оценке влияния наработки ТС на изменение метрологических показателей диагностирования и управлении характеристиками достоверности в эксплуатации.

Целью данной работы является разработка метрологического обеспечения процесса диагностирования автомобиля по такому параметру безопасности, как эффективность тормозной системы.

1. Термины и определения

Диагноз - заключение о техническом состоянии технической системы (ТС) (или ее элемента) по принятой классификации состояний.

Диагностика - наука, отрасль знаний, включающая в себя теорию и методы организации процессов диагноза, а также принципы построения объектов и средств диагноза.

Диагностирование - процесс распознавания состояния объекта диагностирования

Диагностирование системы - процесс распознавания состояния элементов системы.

Диагностирование субъективное - процесс диагностирования, осуществляемый с помощью органов чувств и простейших средств для усиления сигнала.

Диагностирование объективное - процесс диагностирования, осуществляемый с помощью контрольно-измерительного оборудования и аппаратуры.

Диагностирование углубленное (поэлементное) - диагностирование ТС и ее элементов по диагностическим параметрам, характеризующее их техническое состояние с выявлением места, причины и характера неисправности и отказа.

Диагностирование функциональное - диагностирование, осуществляемое во время функционирования ТС, на которое поступает только рабочие воздействия.

Диагностическая информация - информация о ТС, полученная с помощью диагностических средств и используемая для планирования и управления производством технического обслуживания и ремонта, учета, анализа и прогнозирования безотказной работы ТС.

Диагностическая модель - формальное описание объекта диагностирования, учитывающее возможные изменения его технического состояния.

Диагностическая система - система средств технического диагностирования, реализующая определенный метод и осуществляющая его по правилам, установленным соответствующей документацией.

Диагностический параметр - косвенный диагностический признак проявления технического состояния объекта диагностирования.

Диагностический признак - признак объекта диагностирования, используемый в установленном порядке для определения его технического состояния.

Диагностический тест - одно или несколько тестовых воздействий и последовательность их выполнения, обеспечивающая диагностирование.

Диагностическое обеспечение - комплекс научных, технических и организационных мероприятий и средств на всех этапах жизненного цикла ТС, обеспечивающий качество и эффективное проведение технического диагностирования.

Долговечность - свойство ТС сохранять работоспособность до наступления предельного состояния при установленной системе технического обслуживания и ремонта.

Допускаемое значение параметра - показатель, представляющий собой величину предельного значения параметра, при которой обеспечивается заданный уровень вероятности безотказной работы на предстоящей межконтрольной наработке ТС.

Достоверность диагностирования - показатель степени объективного отображения результатами диагностирования действительного технического состояния ТС.

Измерение - нахождение значения ФВ опытным путем с помощью специальных технических средств.

Исправное состояние - состояние ТС, при котором она соответствует всем требованиям нормативно-технической и (или) конструкторской документации.

Испытание - оценка работоспособности ТС по заданной программе.

Контролепригодность - свойство ТС, характеризующее ее приспособленность к проведению контроля заданными средствами.

Коэффициент безразборного диагностирования - отношение числа контролируемых параметров ТС данного вида диагностирования, для измерения которых не требуются демонтажно-монтажные работы, к общему числу контролируемых параметров ТС.

Метод диагностирования - правила применения определенных принципов и средств диагностирования для определения технического состояния ТС.

МО - установление и применение научных и организационных основ, технических средств, правил и норм, необходимых для достижения единства и требуемой точности измерений.

Математической моделью ОД называется формальное описание его в аналитической, векторной, графической, табличной или других формах.

Математическая модель исправного ОД:

z=Ψ(X;Yнач;t), где

- n-переменный вектор, компонентами которого являются значения n входных переменных (х12…хn);нач - m-мерный вектор значений m внутренних переменных (у1…уm);- k-мерный вектор значений k выходных функций (z1,z2…zk).

Если ОД находится в i-ом неисправном состоянии, то математическая модель i-ого неисправного ОД запишется:

ii(X;Yнач.i;t),

Надежность - свойство ТС выполнять заданные функции, сохраняя во времени значения установленных эксплуатационных показателей в заданных пределах, соответствующих заданным режимам и условиям использования, технического обслуживания, ремонта, хранения и транспортирования.

Неработоспособное состояние - состояние ТС, при котором значение хотя бы одного параметра, характеризующего способность выполнять заданные функции, не соответствует требованиям нормативно-технической и (или) конструкторской документации.

Наработка - продолжительность или объем работы ТС.

Неисправное состояние - состояние ТС, при котором она не соответствует хотя бы одному из требований нормативно-технической и (или) конструкторской документации.

Номинальное значение параметра - значение параметра, определенное его функциональным назначением и служащее началом отсчета отклонений.

Объект диагностирования - автомобиль, прибор, единица оборудования или другое полнокомплектное изделие машино- или приборостроения и их составные части, техническое состояние которых подлежит определению.

Остаточный ресурс - наработка ТС до предельного изменения ее параметра технического состояния, начиная с момента диагностирования.

Отказ - событие, заключающееся в нарушении работоспособного состояния объекта.

Отказ внезапный - отказ, связанный со скачкообразным изменением параметра до предельного значения.

Отказ постепенный - отказ, обусловленный плавным изменением параметра до предельного значения.

Параметр технического состояния - ФВ, характеризующая работоспособность или исправность; различают структурные и диагностические параметры состояния ТС.

Предельное значение параметра - показатель, при котором дальнейшее применение объекта по назначению недопустимо и нецелесообразно либо восстановление его исправного или работоспособного состояния невозможно и нецелесообразно.

Прогнозирование остаточного ресурса - определение оставшейся неиспользованной наработки после диагностирования.

Прогнозирование технического состояния - определение совокупности значений параметров и признаков технического состояния объекта на будущий момент или интервал времени.

Работоспособное состояние - состояние объекта, при котором значения всех параметров, характеризующих способность выполнять заданные функции, соответствуют требованиям нормативно-технической и (или) конструкторской документации.

Ремонтопригодность - свойство ТС и ее приспособленность к предупреждению и обнаружению отказов, к восстановлению работоспособности и исправности путем проведения технического обслуживания и ремонта.

Ресурс (срок службы) - основной показатель долговечности, обусловленный выходом за допускаемые пределы характеристик ТС, при которых дальнейшая эксплуатация невозможна.

Ресурсный параметр - параметр, выход которого за предельное значение обусловливает утрату работоспособности объекта в силу исчерпания ресурса. Его восстанавливают посредством капитального ремонта и замены.

Система - целостная совокупность множества взаимосвязанных и взаимодействующих элементов, направленных на достижение поставленной цели и выраженных в получении конечного результата.

Сохраняемость - свойство объекта непрерывно сохранять исправное и (или) работоспособное состояние в течение и после хранения и (или) транспортирования.

Средний ресурс - математическое ожидание ресурса.

Средняя наработка до отказа - математическое ожидание наработки объекта до первого отказа.

Средняя оперативная трудоемкость диагностирования - средняя оперативная трудоемкость операций, необходимых для определения технического состояния объекта диагностирования.

Средство диагностирования - комплекс взаимодействующих средств, которые применяются при диагностировании.

Структурный параметр - качественная мера, характеризующая свойство структуры ТС или ее элемента; различают ресурсные и функциональные структурные параметры.

Тестовые воздействия - сигналы, которые подаются на объект для целей диагностирования.

Техническая диагностика - отрасль знаний, исследующая техническое состояние объектов диагностирования и проявления технических состояний, разрабатывающая методы их определения, а также принципы построения и организацию использования средств технического диагностирования.

ТС - технический объект в виде совокупности элементов, предназначенных для выполнения заданных функций.

Техническое состояние - совокупность значений параметров и признаков объекта, подверженных изменению в результате износа, старения, коррозии, усталости материалов и других деградационных процессов в условиях эксплуатации; различают следующие виды технического состояния: исправное, неисправное, работоспособное и неработоспособное.

Точность диагностирования - свойство диагностирования, характеризуемое близостью результатов диагностирования к действительным значениям характеристик объекта в определенных условиях диагностирования.

Трудоемкость диагностирования - трудовые затраты на проведение однократного диагностирования.

Функциональный параметр - параметр, выход которого за предельное состояние обуславливает утрату работоспособности или неисправность. Его восстанавливают при техническом обслуживании и текущем ремонте.

Экспресс-диагностирование - диагностирование ускоренными методами по ограниченному числу параметров объекта, отказы которых могут вызвать аварийные ситуации и оказать отрицательное влияние на окружающую среду.

Элемент - составная часть ТС, не подлежащая дальнейшему расчленению в рамках рассматриваемого функционирования.

Элементарная проверка ОД - является основным понятием, используемым при решении задач построения и реализации алгоритмов диагноза. Обозначается : Пj.

Эффективность диагностирования - технико-экономический результат применения диагностирования ТС в течение определенного периода времени.

2. Объект исследования

Безопасность автомобилей в значительной степени определяется их тормозными свойствами. Разработаны правила, регламентирующие методику проведения испытаний тормозов в дорожных условиях, и требования, предъявляемые к тормозным свойствам автомобиля.

Тормозная система предназначена для уменьшения скорости движения и/или остановки транспортного средства. Она также позволяет удерживать транспортное средство <#"582522.files/image001.gif">

(отдельно по каждой категории средств измерения) и построим график G=f(γ) (рисунок 3.1).

Таблица 3.1 Расчетные значения вероятностных показателей средств измерения тормозного пути

Тип средства измерения

Класс точности γ

Погрешность измерения Δизм, м

2Δизм/Т

Вероятность неверного заключения Рн. з

Рн. з/Рн. 0

С/С0

Целевая функция G

 Диагностическая линия Spesial 3.2 MSD

0,5

0,0635

0,127

0,015

0,3

0,99

1,29

ЭФФЕКТ

1

0,127

0,24

0,028

0,5

0,7

1,2

Стационарный универсальный стенд контроля тормозных систем СТС-10У-СП-11

1,5

0,197

0,4

0,05

1

0,87

1,87


Погрешность измерения

,

где γ - класс точности СИ; XMAX - максимальное значение измеряемого параметра (0,5м).

(м)

(м)

(м)


Рис. 3.1 Оптимизация выбора средства измерения

Из графика видно, что оптимальное значение точности СИ для измерения давления соответствует классу точности 1, т.е. выбор останавливаем на средстве для измерения эффективности тормозной системы ЭФФЕКТ.

Прибор предназначен для проверки технического состояния основных тормозных систем транспортных средств (ТС) методом дорожных испытаний по ГОСТ Р 51709 - 2001.

Требования к дорожному покрытию в соответствии с ГОСТ Р 51709 - 2001. Шины автотранспортного средства, проходящего поверку, должны быть чистыми и сухими.

Прибор используется при проверке тормозных систем грузовых и легковых автомобилей, автобусов и автопоездов при проведении государственного технического осмотра, выполнении автотехнической экспертизы транспортных средств, в процессе эксплуатации и иных случаях, требующих оперативного контроля состояния тормозной системы автомобилей.

Работу с прибором выполняет один оператор. Прибор включают кнопкой ВКЛ (рис.3.2). На индикаторе прибора появится надпись: «НАГРЕВ». В течении некоторого времени (не более 5 минут) прибор производит термостабилизацию входящих в его состав узлов. Затем на индикаторе появляется сообщение: «НОМЕР ТС». Далее вводится трехзначный номер ТС или переходят к следующей операции нажатием кнопки ВВОД.

Рис. 3.2 Измеритель эффективности тормозных систем автомобилей ЭФФЕКТ

Работа прибора основана на измерении в процессе торможения автомобиля с помощью датчиков ускорения и датчика усилия. По результатам измерений прибор автоматически рассчитывает начальную скорость торможения, величину тормозного пути, линейное отклонение автомобиля при торможении, время срабатывания тормозной системы. Результаты измерения могут быть распечатаны на портативном печатающем устройстве в виде протокола с указанием государственного номера АТС. Прибор может работать в составе автоматизированных линий технического осмотра АТС, объединенных в программно-аппаратный измерительный комплекс ЛТК с возможностью передачи измеренных характеристик в персональный компьютер.

Прибор измеряет и рассчитывает главные параметры эффективности торможения по стандартам безопасности ГОСТ Р51709: установившееся замедление Jуст, тормозной путь Sт, время срабатывания тормозной системы tср, начальную скорость V0. Это позволяет оценить работоспособность антиблокировочной системы автомобиля, эффективность работы различных контуров тормозных систем на высоких скоростях.

Специальная программа позволяет выводить и записывать в бортовой компьютер текущие значения измеряемых параметров в реальном масштабе времени в виде графиков и таблиц.

Технические характеристики прибора ЭФФЕКТ:

) Диапазон контроля установившегося замедления Jуст от 0 до 9,81 м/с2;

) Диапазон контроля усилия нажатия на педаль Рп от 10 до 100 кГс ;

) Диапазон контроля начальной скорости торможения V0 от 20 до 50 км/ч;

) Диапазон контроля пересчитанной нормы тормозного пути Sт от 0 до 50 м;

) Диапазон контроля времени срабатывания тормозной системы tср от 0 до 3 сек.;

) Электропитание от сети постоянного тока (бортовой сети автомобиля) 12 ± 2 В;

) Диапазон рабочих температур от -10 до +45 °С;

) Средний срок службы не менее 6 лет.

4. Методика выполнения измерений

Методики выполнения измерений определяют качество измерений, разрабатываются и применяются с целью обеспечения измерений ФВ с точностью, правильностью и достоверностью, удовлетворяющих регламентированным для них нормам. Аттестация МВИ и контроль реализации МВИ являются конечными этапами метрологической деятельности, направленной на обеспечение единства измерений. К применению допускаются реализации аттестованных методик выполнения измерений.

Исходные данные для разработки МВИ включают: назначение МВИ; характеристики измеряемой величины; нормы точности и правильности измерений; условия измерений; характеристики объекта измерений. Назначение МВИ включает описание измеряемой величины (ответ на вопрос «что измеряют?») и использования результата измерений (ответ на вопрос «для чего измеряют?»); величин, подвергаемых измерениям, связи между ними и результатом измерений.

.1 Вводная часть

Настоящая методика устанавливает МВИ тормозного пути в тормозной системе автомобиля ГАЗ - 3110 при диагностировании эффективности тормозной системы.

.2 Нормы точности и правильности измерений

Реализация данной МВИ обеспечивает выполнение измерений с максимально допустимым отклонением показания от измеряемой величины, не превышающим ±0,5м.

4.3 Средства измерений и вспомогательные устройства

При выполнении измерений применяют следующие СИ:

) Диагностическая линия Spesial 3.2 MSD:

—  калия обслуживаемых автомобилей - от 780 до 2200 мм;

—      размер роликового агрегата - 280х680х2320;

—      скорость вращения колес при тесте - соответствует 5 км/ч;

—      диапазон измерения - 0...8 кН;

—      цена деления шкалы не более 0,2;

—      точность результатов испытаний - 2% от конечной величины, 2% разница между левой и правой стороной.

) Измеритель эффективности тормозных систем автомобилей ЭФФЕКТ:

—  тормозной путь Sт - 0 - 50 м;

—      пределы основной допускаемой относительной погрешности:

установившееся замедление - ± 4%

усилие нажатия на тормозну - ± 5%;

—  диапазон рабочих температур - от -10 до +45 0С.

3) Стационарный универсальный стенд контроля тормозных систем СТС-10У-СП-11:

—  начальная скорость торможения, имитируемая на стенде не менее 4,4 км/ч;

—      измеритель тормозной силы (на одном колесе) - 1 - 6 Кн;

—      предел допускаемой основной погрешности - ± 2%;

—      предел допускаемой дополнительной погрешности - ± 5%.

.4 Метод измерений

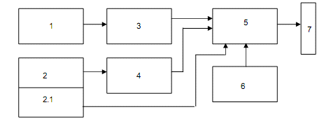
Измерение тормозного пути измерителем эффективности тормозных систем автомобилей ЭФФЕКТ основано на правилах эксплуатации, обслуживания и транспортирования. Принцип работы прибора основан на периодическом измерении замедления и усилия нажатия на педаль тормоза при торможении автомобиля. Проверяемый автомобиль разгоняется до необходимой скорости, после чего водитель, нажимая на педаль тормоза через датчик усилия, установленный на этой педали, начинает торможение. По сигналу кнопки 2.1 микропроцессор 5 определяет момент начала торможения. Аналоговые сигналы датчика замедления 1 и тензорезисторные датчики усилия 2, усиленные до необходимого уровня усилителями 3 и 4, поступают на аналоговые входа микропроцессора 5. Преобразованные в цифровой вид значения сигналов замедления и усилия запоминаются в памяти микропроцессора. Процесс измерения сигналов продолжается до полной остановки автомобиля, после чего микропроцессор на основе принятых данных вычисляет параметры эффективности тормозной системы автомобиля. Результаты измерения отображаются на индикации 7. Управление работой прибора производится с помощью клавиатуры управления 6.

Рис. 4.1 Функциональная схема прибора

4.5 Требования безопасности

При выполнении измерений тормозного пути соблюдается следующее требование безопасности: к работе с прибором допускаются лица, ознакомленные с руководством по эксплуатации.

4.6 Требования к квалификации операторов

К выполнению измерений и/или обработке их результатов допускаются лица, имеющие среднетехническое образование, а также неполное высшее образование.

.7 Условия выполнения измерений

Атмосферное давление, температура и влажность окружающего воздуха в помещении, в котором проводятся измерения, должны соответствовать нормальным значениям факторов внешней среды, регламентированным для эксплуатации изделий: температура окружающей среды от - 10 до + 45°С; относительная влажность окружающей среды до 80% при 25°С; атмосферное давление от 66,6 кПа до 106,6 кПа (от 500 мм рт.ст. до 800 мм рт. ст.).

.8 Подготовка к выполнению измерений

Установить машину в начале участка дороги, отведенного для испытаний, по направлению предполагаемого движения.

Установит прибор на подставку, совмещая, магнитные ловители с углублениями подставки. Подставку с прибором установить на горизонтальную поверхность пола кабины с учетом направления движения и направления стрелок на приборе. Направление стрелок, расположенных рядом с надписью «Эффект» на корпусе прибора должно совпадать с направлением движения. Не допускается размещать подставку на поверхность пола, не обеспечивающей устойчивость подставки. Если пол имеет твердое и скользкое покрытие, применяйте резиновый коврик размерами 300×300мм.

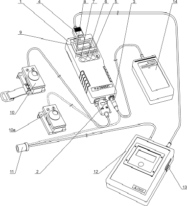
Закрепить прибор с помощью прижима, расположенного на задней стенке прибора, на стекле правой (или левой) двери автомобиля, предварительно опустив стекло (рис. 4.2). При этом направление стрелок, расположенных рядом с надписью «Эффект» на корпусе прибора должно совпадать с направлением движения ТС.

Рис. 4.2 Монтаж приборного блока «ЭФФЕКТ»

4.9 Выполнение измерений

Прибор включается кнопкой ВКЛ. Через некоторое время на индикаторе появляется сообщение: «Номер ТС». Вводится трехзначный номер ТС или переходят к следующей операции нажатием кнопки ВВОД. Затем на индикаторе прибора появляется сообщение: «Харак-ка ТС». Нажатием кнопки ВЫБОР выбирается категория ТС, соответствующая проверяемому ТС в соответствии с ГОСТ Р 51709 - 2001 (приложение 1). Также можно изменить тип ТС, его характеристику и год изготовления. Подтвердить свой выбор кнопкой ВВОД и на индикаторе появиться надпись «Работа». Для нормальной установки прибора необходимо, изменяя его положение на стекле боковой двери автомобиля, добиться на индикаторе сообщение: «Наклон в норме». При этом прозвучит звуковой сигнал и нажав кнопку ВВОД на индикаторе появится сообщение: «Готов к проверке ТС».

При измерении реализуется метод косвенных измерений, при этом погрешности метода измерений составляет ∆=0,05, а инструментальная погрешность измерения не должна превышать ±5%. Следовательно,

общ=∆м+∆и, т.е. ∆общ=±(0,05+0,05)= ±0,1.

Результаты измерений могут быть представлены в цифровом или графическом виде, наглядно показывающем динамику изменения замедления, усилия нажатия на педаль и ускорения линейного отклонения в процессе торможения ТС. При работе прибора в составе комплекта приборов «Линии технического контроля» результаты измерений передаются в базу данных компьютера.

4.10 Обработка результатов измерений

тормозной путь транспорт автомобиль

Если диапазон значений соответствует 12,2±0,5 м, значит, тормозная система находится в исправном состоянии. Если диапазон значений превышает допустимые параметры, это говорит об износе тормозных колодок, недостаточном уровне тормозной жидкости, увеличение промежутков между накладками колодок и тормозными барабанами, между поршнем главного тормозного цилиндра и штоком.

Результаты измерений обрабатываются персональным компьютером, создаются базы данных, а также оформляются протоколы проверки рабочей тормозной системы.

4.11 Оформление результатов измерений

Результаты измерений характеристик эффективности тормозных систем отображаются на буквенно-цифровом дисплее и хранятся в памяти прибора до отключения электропитания. Результаты измерения могут быть распечатаны на портативном принтере в виде протокола. При работе прибора в составе комплекта приборов «Линии технического контроля» результаты измерений передаются в базу данных компьютера.

5. Поверка СИ

Настоящая методика поверки распространяется на измерители эффективности тормозных систем автомобилей «ЭФФЕКТ», приборы определяют, в соответствии с ГОСТ Р 51709 - 2001, установившееся замедление Jуст в диапазоне - 0 - 9,81м/с², пиковое значение усилия нажатия на педаль Рпм - 10 - 100кГс, длину тормозного пути Sт - 0 - 50м, время срабатывания тормозной системы tср - 0 - 3с, начальную скорость торможения V0 - 20 - 50км/ч и линейное отклонение ТС при торможении и устанавливает методы и средства их первичной и периодической поверок.

.1 Операции и средства поверки

При проведении поверки должны выполняться операции и применяться средства поверки, указанные в таблице 5.1.

Таблица 5.1

Операции

Средства поверки и их нормативно-технические характеристики

Обязательность проведения операций при:



выпуске из производства

ремонте

Внешний осмотр


+

+

+

Опробование

Источник питания Б5 - 21

+

+

+

Определение основной погрешности при измерении установившегося замедления

Источник питания Б5-21, плита поверочная ГОСТ 0905-86, вольтметр универсальный цифровой В7-27А, устройство монтажное М 016.400.00 9.81м/с2 ± 0.39 м/с2

+

+

+

Определение основной погрешности при измерении усилия нажатия на педаль тормоза

Силозадающее устройство М 016.950.00 98, 196 392, 588 784, 980,Н ± 5%

+

+

+

5.2 Условия поверки

При проведении поверки должны соблюдаться следующие условия:

температура окружающей среды 20±5°С;

относительная влажность 45-75% при температуре воздуха (20±5) оС;

атмосферное давление 100±4 кПа (750 ± 30 мм. рт. ст.) ;

напряжение питающей сети 220±4 В;

частота питающей сети 50±0.5 Гц.

.3 Подготовка к поверке

Перед проведением поверки должны быть выполнены следующие подготовительные работы:

) выдержать прибор не менее 4 часов при температуре от 15 до 25°С, если он перед этим находился в предельных климатических условиях;

) подготовить вспомогательные устройства (кабели, плита поверочная);

) заземлить средства измерений.

5.4 Проведение поверки

При проведении внешнего осмотра должно быть установлено соответствие прибора ЭФФЕКТ следующим требованиям:

комплектность прибора согласно паспорту М 016.000.00 ПС;

отсутствие механических повреждений, влияющих на точность показаний прибора;

чистоту разъемов;

·   исправность кабеля питания и датчика усилия;

·   четкость маркировки.

Опробование

) Установить на блоке питания напряжение (12± 0.2) В. Подключить прибор к блоку питания и датчику усилия. Включить блок питания. Включить прибор, на индикации должна появиться надпись: "НАГРЕВ"

В течение некоторого времени (не более 5 минут) прибор производит термостабилизацию входящих в его состав узлов.

) Затем на индикаторе появится сообщение: "НОМЕР ТС"

Ввести любой трехзначный номер ТС. Набор номера начинается со старшей цифры кнопкой "Выбор". Выбрать значение старшей цифры. Нажать кнопку ВВОД и т.д.

) Затем на индикаторе прибора появляется сообщение: ХАРАК-КА ТС М1

4) Нажатием кнопок ВВОД, Выбор, Отмена проверить возможность перехода прибора из одного режима в другой согласно руководству по эксплуатации М016.000.00РЭ. В случае неисправности прибора отключить его и направить в ремонт.

Определение метрологических характеристик:

) Собрать схему испытаний согласно приложению А. Подготовить средства измерений и контроля согласно их эксплуатационной документации, подключить их к сети 220В 50Гц, включить и прогреть в течение 10 минут.

) Установить на источнике питания по вольтметру V напряжение (12±0,2) В и выключить источник.

) Установить прибор в монтажное устройство и соединить его с блоком питания и датчиком усилия. Включить прибор. С помощью кнопок управления войти в режим индикации показаний датчика замедления "J1" согласно руководству по эксплуатации М 016.000.00 РЭ.

) Установить прибор в монтажном устройстве на поверочной плите таким образом, чтобы плоскость прибора была параллельна плоскости поверочной плиты. Ослабив винты крепления прибора в монтажном устройстве, и изменяя положение прибора, добиться показаний на индикаторе прибора: 0.00 … 0.20 (м/с2)

Винтами крепления зафиксировать положение прибора в монтажном устройстве. Показания на индикаторе прибора не должны измениться.

) Повернуть монтажное устройство с прибором на 90о так, чтобы стрелки (на передней панели возле надписи "ЭФФЕКТ") указывали вниз. Значение замедления "J1" на индикаторе прибора должно измениться и составить: 9.81 ± 0.39 (м/с2).

) Вернуть прибор в исходное положение, установить датчик усилия в силозадающее устройство.

С помощью кнопок управления войти в режим индикации показаний датчика усилия "F". Значение на индикаторе прибора не должно превышать 5 кгс.

) Вращением рукоятки силозадающего устройства задать на датчик последовательно усилия 98, 196, 392, 588, 784, 980 Н, контролируя усилия по динамометру. При этом фиксировать значения на индикации прибора.

Снять усилие с датчика усилия и определить основную погрешность измерения усилия по формуле:

пр = g* (Рп - Рз) / Рпв * 100%, где

пр - основная погрешность прибора, %

Рп - показания поверяемого прибора, кгс

Рз - заданное значение усилия, Н

Рпв - верхний предел измерения прибора (100кгс=100кгс*9,8 м/с2= 980 Н)= 9,8 м/с2 - коэффициент пересчета кгс в Н.

Погрешность прибора не должна превышать ±5%.

5.5 Оформление результатов поверки

). Положительные результаты первичной поверки оформляются записью в паспорте прибора "Таблица поверки" и нанесением оттиска поверочного клейма или печатью, заверенной подписью поверителя.

При отрицательных результатах поверки прибор возвращается в производство.

). Положительные результаты периодической поверки оформляются записью в паспорте прибора "Таблица поверки" и нанесением оттиска поверочного клейма и по требованию владельца прибора выписывается свидетельство о поверке установленной формы.

При отрицательных результатах поверки на прибор выписывается извещение о непригодности к применению, клеймо предыдущей поверки гасят, свидетельство о поверке аннулируют.

6. Оборудование и персонал

Проверка ТС измерителем эффективности тормозных систем автомобилей ЭФФЕКТ проводится методом дорожных испытаний по ГОСТ 51709 - 2001. Проверка технического состояния автомобилей должна проводится при следующих условиях:

·              масса АТС не превышает разрешенной максимальной;

·              давление в шинах соответствует нормативному;

·              двигатель работает и отсоединен от трансмиссии (КП на “нейтрали”);

·              дополнительные ведущие мосты (при их наличии) отключены, а трансмиссионные (межколесные и межосевые) дифференциалы разблокированы <javascript:popBox('222-s4.html','NewWindow',450,100);>.

Рабочая тормозная система контролируется по следующим критериям:

1.      длине тормозного пути <javascript:popBox('222-s7.html','NewWindow',450,60);>;

.        способности автомобиля при торможении оставаться в пределах нормативного коридора движения;

.        усилию на педали тормоза.

Проверку проводят на прямой ровной горизонтальной сухой чистой дороге с цементно- или асфальтобетонным покрытием. Со скорости 40 км/ч производят экстренное торможение однократным нажатием на педаль на время не более 0,2 с до полной остановки автомобиля.

Замеряют длину тормозного пути и сравнивают ее с нормативной. Как и при проверке на роликовом стенде, сила торможения должна регулироваться плавно и без затруднений.

Выход АТС за пределы коридора движения оценивают визуально или по прибору, измеряющему величину бокового смещения АТС. Корректировка траектории движения при торможении не допускается (если этого не требует обеспечение безопасности).

АТС, оборудованные антиблокировочными тормозными системами, при торможении в снаряженном состоянии (с учетом массы водителя) с начальной скоростью не менее 40 км/ч должны двигаться в пределах коридора движения без видимых следов увода и заноса. Колеса не должны оставлять следов юза на дорожном покрытии до момента отключения АБС. Скорость, на которой она отключается, должна быть не более 15 км/ч.

Стояночная тормозная система в дорожных условиях проверяется на:

1.      способностью удержать автомобиль на нормативном уклоне;

2.      величину усилия, прикладываемого к рычагу стояночного тормоза.

Автомобиль размещают на поверхности с нормативным уклоном и затормаживают рабочей тормозной системой, а затем стояночной. Одновременно измеряют динамометром усилие, прикладываемое к рычагу стояночного тормоза. Оно должно быть не больше 392 Н для категории М1 и 588 Н для остальных категорий. Отпускают педаль рабочей тормозной системы. Автомобиль должен оставаться неподвижным не менее 1 мин.

Каждая проблема тормозной системы требует квалифицированной диагностики и ремонта, производимого в условиях автосервиса специально подготовленным персоналом.

Заключение

В данной курсовой работе было разработано метрологическое обеспечение процесса диагностирования эффективности тормозной системы автомобилей, включающее: выбор средств измерений (СИ) - измеритель эффективности тормозных систем автомобилей ЭФФЕКТ с учетом безошибочности контроля и стоимости СИ; разработку методики выполнения измерений выбранного прибора ЭФФЕКТ и методику его поверки; построение локальной поверочной схемы, т.е. графическое изображение ступеней передачи размера единицы измерений.

Список использованной литературы

1. ГОСТ 51709 - 2001 Автотранспортные средства. Требования безопасности к техническому состоянию и методы проверки.

. Сергеев А.Г. Метрологическое обеспечение эксплуатации технических систем. - М.: Росвузнаука, 1994. - 488 с.

. Романов В.Н. Методические указания к практическим занятиям по курсу «Методы и средства диагностирования АТС». - Владимир: Изд-во Владим. гос. ун-та,2007. - 52с.

. МИ 2455 - 98 Рекомендации ГСИ. Основные требования к МО при предоставлении услуг при ТО и Р АТС.

. Хазаров Г.А., Кривенко А.Д. Диагностирование легковых автомобилей на станциях ТО. - М.,1987.

. Сергеев А.Г., Крохин В.В. Метрология. - М.: Логос, 2000 - 408 с.

. М 016.000.00-04 РЭ. Измеритель эффективности тормозных систем автомобилей «ЭФФЕКТ».

. ИНТЕРНЕТ #"582522.files/image014.gif">

Приложение Б

Похожие работы на - Метрологическое обеспечение процесса диагностирования эффективности тормозной системы автомобиля

 

Не нашли материал для своей работы?
Поможем написать уникальную работу
Без плагиата!
Без нейросетей!