Розробка методологічних засад інтегрованого управління лісовими ресурсами
НАЦІОНАЛЬНА АКАДЕМІЯ АГРАРНИХ НАУК УКРАЇНИ
ІНСТИТУТ АГРОЕКОЛОГІЇ І ПРИРОДОКОРИСТУВАННЯ НААН
“ЗАТВЕРДЖУЮ”
Директор ІАіП НААН, д.е.н., проф., академік НААН
О.І.Фурдичко
“_____”____________________ 2012 р.
ЗВІТ
ПРО
НАУКОВО-ДОСЛІДНУ РОБОТУ
за
завданням 40.02/16-18
«Розробити
методологічні засади інтегрованого управління лісовими ресурсами» (проміжний)
Етап
2012 р.: «Охарактеризувати лісові ресурси модельних підприємств Криму,
Буковинських Карпат і Передкарпаття, Центрального Лісостепу, Західного Полісся»
Керівник роботи
Провідний науковий співробітник, д.с.-г.н., професор
Відповідальний виконавець, к.б.н.
В.В. Лавров
О.І. Блінкова
Звіт розглянуто і затверджено на
засіданні Координаційно-методичної ради НМЦ «Агроекологія» 04.12.2012 р.
Вчений секретар О.А. Слободенюк
Київ - 2012
Список виконавців
Керівник роботи: Розділи
Провідний науковий співробітник, д.с.-г.н., професор
В.В.Лавров 1-3,
висновки
Відповідальний виконавець:
завідувач лабораторії, к.б.н. О.І.Блінкова 1-3,
висновки
Виконавці від ІАіП НААН:
аспірант Д.І.Лисенко
1-3
аспірант Т.А.Козинятко
1-3
аспірант О.А.Мартинюк
1-3
Виконавці від інших установ:
провідний науковий співробітник, д.б.н.; Чернівецький
національний університет імені Юрія Федьковича В.Д.Солодкий
1-3
старший науковий співробітник,
к.с.-г.н.; Інституту сільського господарства Криму НААН
В.С.Паштецкий 1-3
РЕФЕРАТ
Звіт про НДР: 64 стор., 5 рис., 15
табл., 67 використаних джерел.
Об’єкт дослідження - лісові ресурси модельних підприємств
Криму, Буковинських Карпат і Передкарпаття, Центрального Лісостепу, Західного
Полісся.
Мета роботи - охарактеризувати лісові ресурси модельних
підприємств Криму, Буковинських Карпат і Передкарпаття, Центрального Лісостепу,
Західного Полісся та здійснити еколого-економічну оцінку лісових ресурсів
різного функціонально призначення, цільового використання і стану в умовах
антропогенного впливу.
Методи дослідження - системний і комплексний підходи,
конструктивно-географічний, ретроспективний, порівняльний аналізи, а також
методи лісознавства, ландшафтної екології, геоботаніки,
аналітично-розрахункові, еколого-економічної оцінки, лабораторні,
математико-статистичні.
Результати та їх новизна. Проаналізовано наявні
науково-методичну та інформаційну базу з оцінювання лісових ресурсів Криму,
Буковинських Карпат і Передкарпаття, Центрального Лісостепу, Західного Полісся
щодо їх відповідності принципам збалансованого лісокористування та
інтегрованого управління.
За обліковими, фондовими документами та шляхом
рекогносцирувальних обстежень відібрано модельні підприємства і ключові,
характерні об‘єкти лісових ресурсів в Криму, Буковинських Карпатах і
Передкарпатті, Центральному Лісостепу і Західному Поліссі з урахуванням наявних
особливостей антропогенної їх трансформації та місцевих природних негативних
чинників, у т.ч. стихійних явищ. Здійснено еколого-економічну оцінку лісових
ресурсів різного функціонально призначення, цільового використання і стану в
умовах антропогенного впливу.
Показано, що тривале орієнтування пріоритетів лісового
господарства на економічні інтереси спричинило в усіх досліджуваних регіонах
певну трансформацію лісового покриву, в деяких районах заміну природних лісів
на монокультури, збіднення біотичного і ландшафтного різноманіття. Усе це
призводить до зниження загальної продуктивності і біологічної стійкості лісових
екосистем, їхньої екологічної ролі у ландшафтах.
Встановлено, що основним перспективним напрямом впровадження
норм інтегрованого управління лісовими ресурсами є переорієнтація розвитку
лісогосподарського комплексу на засади біосферно орієнтованого, екосистемного
за суттю сталого лісокористування, враховуючи особливості кожного з
досліджувальних регіонів. Доведено, що необхідно створити умови для заміни
відомчого управління природними ресурсами на міжсекторальну співпрацю в межах
певних водозбірних басейнів щодо запровадження принципів збалансованого
природокористування. Лісові ресурси суспільство має використовувати відповідно
до їх функціонального призначення. Крім експлуатаційних лісів, пріоритетною є
їх екологічна роль, особливо в районах з потенційними еколого-економічними
загрозами та з об’єктами і територіями природно-заповідного фонду.
Результати досліджень 2012 року у Буковинських Карпатах і
Передкарпатті, виконаних д.б.н., професором В.Д. Солодким, увійшли до монографії
«Солодкий В.Д. Ліси Буковини: Буковинські Карпати та Передкарпаття: Монографія
/ В.Д. Солодкий. - Чернівці: Зелена Буковина, 2012. - 424 с.».
Галузь застосування - аграрне виробництво, лісове
господарство, охорона навколишнього природного середовища.
Економічна ефективність - опосередкована через підвищення
конкурентоздатності та ціни української лісової продукції (насамперед деревини
та виробів з неї) на світовому ринку сертифікованої лісової продукції, а також
завдяки створення умов збалансованого використання лісових ресурсів агросфери.
ІНТЕГРОВАНЕ УПРАВЛІННЯ, ЕКОЛОГО-ЕКОНОМІЧНА ОЦІНКА, ЛІСОВІ
РЕСУРСИ, ПРИРОДНІ ЕКОСИСТЕМИ, ЗБАЛАНСОВАНИЙ РОЗВИТОК, БІОРІЗНОМАНІТТЯ,
АНТРОПОГЕННИЙ ВПЛИВ.
ЗМІСТ
1. ЗАГАЛЬНА ХАРАКТЕРИСТИКА РОБОТИ
. ПРОГРАМА ТА МЕТОДИКА ДОСЛІДЖЕНЬ
.1 Програма досліджень
.2 Методика досліджень
. РЕЗУЛЬТАТИ ТА ЇХ ОБГОВОРЕННЯ
3.1 Науково-методичні засади еколого-економічної
оцінки лісових ресурсів
.1.1 Система критеріїв еколого-економічного оцінювання
лісових ресурсів та найбільш прийнятні методичні підходи з урахуванням
регіональних особливостей лісів, їх функціонально призначення, цільового
використання і стану в умовах антропогенного впливу
.2 Оцінка лісових ресурсів модельних підприємств
Криму, Буковинських Карпат і Передкарпаття, Центрального Лісостепу, Західного
Полісся щодо їх відповідності принципам збалансованого лісокористування та
інтегрованого управління
.2.1 Аналіз стану лісового фонду Буковинських Карпат і
Передкарпаття
.2.2 Еколого-економічна оцінка стану лісових ресурсів
Центрального Лісостепу в умовах антропогенного впливу
.2.3 Антропогенна трансформація природних умов та
лісових ресурсів Західного Полісся
.2.4 Еколого-економічна оцінка стану лісових ресурсів
степового Криму
ВИСНОВКИ
СПИСОК ВИКОРИСТАНИХ ДЖЕРЕЛ
1. ЗАГАЛЬНА ХАРАКТЕРИСТИКА РОБОТИ
Актуальність теми. Нині загальновизнаним є наукове положення,
що для збереження життя на планеті Земля і стабільного розвитку суспільства
необхідне системне забезпечення охорони біосфери без її розподілу на певні
природні зони, екосистеми, види природокористування, що порушує її цілісність
(Ріо-92). У підтриманні стабільності біосфери визначальну роль відіграють ліси
завдяки збереженню біорізноманіття та глобальному впливу на клімат планети.
Ліси виконують важливу роль і на регіональному та місцевих рівнях - як ключові
елементи ландшафтів, що забезпечують їх стабільність, та як джерела
біорізноманіття. Тому актуальною є гармонізація міжнародних процесів та
секторальних напрямів з удосконалення діяльності щодо лісів, досягнення
синергізму дій та забезпечення відповідної національної звітності перед
світовою спільнотою.
Пріоритети лісової рослинності зумовлені низкою причин:
рослинність є первинною ланкою трофічних мереж у біосфері; ліси серед наземних
екосистем є найбільшими екосистемами за ємкістю, біорізноманіттям, тривалістю
розвитку, утримуванням вуглецю, масштабами біосферних функцій; ліси - найменше
трансформовані діяльністю людини сучасні екосистеми.
Визнання світовою спільнотою екологічних, рекреаційних,
соціокультурних функцій та інших несировинних цінностей лісів як ресурсів
змінило типи, структуру та інтенсивність лісокористування в усьому світі.
Зростає необхідність надання переваги загальнолюдським, у т.ч. екологічним
цінностям лісів, розвивається міжнародна інтеграція при розв’язанні
еколого-економічних проблем світового лісового господарства. Для узгодженого
впровадження стандартів збалансованого розвитку розроблено спеціальні
нормативно-правові, ринкові та інформаційні механізми регулювання дій та
співпраці, яких дотримується Україна. Національний план дій щодо переходу на
принципи сталого розвитку орієнтує на розробку відповідних галузевих та
регіональних стратегій, співпрацю суб’єктів діяльності на усіх рівнях
управління задля забезпечення нормативно-правової та інституційної гармонізації
природокористування і охорони природи.
Відповідно до міжнародних і національних засад сталого
розвитку та їх організаційної методології - інтегрованого управління,
лісокористування в Україні має бути соціально-економічно-екологічно збалансованим,
екосистемно організованим і обмеженим природоохоронними нормами. Проте, досі не
розв’язаною є проблема міжвідомчо гармонізованого застосування
ландшафтно-екосистемного підходу в управлінні лісовими ресурсами та супутніми
екологічними загрозами, системної співпраці природокористувачів між собою та з
інституціями збереження навколишнього природного середовища (НПС).
У Лісовому кодексі України (2006) та Стратегії розвитку
лісової галузі (2006) враховано нові міжнародні принципи щодо використання
лісових ресурсів. Однак досі не достатньо чітко визначено пріоритети, цілі,
заходи, терміни, не завершено переорієнтування нормативно-правової бази на
еколого-економічні принципи управління, а також інституційне забезпечення
реалізації завдань, механізми координації дій між суб’єктами лісокористування
та екологічної політики з питань зниження екологічних загроз у ландшафтах,
збереження біорізноманіття, підвищення екологічної ролі лісів тощо.
Отже, необхідне науково-методичне забезпечення
переорієнтування лісового господарства України з антропоцентричних принципів
раціонального використання лісових ресурсів на засади збалансованого
лісокористування, еколого-економічний напрям розвитку лісової галузі як
підсистеми «суспільство - природа» на засадах теорії ноосфери, екосистемної
організації діяльності. Збалансованості природокористування досягають за умови,
коли враховані права та інтереси усіх груп користувачів, задоволені людські
потреби, а заплановані зміни структурно-функціональної організації певних
територіальних таксонів, у т.ч. втрати при цьому їхнього біорізноманіття та
зміни природного довкілля є суспільно прийнятними (Pegou, 1952).
Стан розв’язання проблеми. Концепція збалансованого розвитку
(Ріо-1992) передбачає взаємозалежне, погоджене вирішення трьох складників
будь-якої сфери діяльності - соціального, економічного та екологічного.
Водночас пріоритет рекомендовано надавати екологічним питанням, оскільки від
них залежить збереження сприятливих умов життя.
Науково-методичні, нормативно-правові засади оцінки лісових
ресурсів відповідно до норм сталого розвитку, збалансованого
природокористування, викладено у документах, що регламентують міжнародну
співпрацю України та виконання відповідних завдань на національному, галузевому
та регіональному рівнях, а також в галузевих нормативних документах.
Методологічні основи комплексного підходу щодо проблем природокористування та
охорони природного середовища на рівні регіону, елементи переходу до сталого
розвитку регіонів вже розроблено фахівцями конструктивної та соціально-економічної
географії (В.Д.Байтала та ін., 2000; А.М.Маринич, 1982, 1990; М.М.Паламарчук та
ін., 1998 тощо), ландшафтознавства (А.Г.Ісаченко, 1991; В.Н.Солнцев, 1981;
Сочава, 1978 та ін.).
Системні дослідження зазначеної проблеми в Україні лише
розпочинаються щодо: комплексної еколого-економічної оцінки лісових ресурсів
(М.А.Голубець, 2000, 2005; І.М.Синякевич, 2001, 2003, 2005; О.І.Фурдичко та
ін., 2006, 2007, 2009; Б.Ф.Остапенко, 2002; Ю.Ю.Туниця, 2002; Я.В.Коваль, 2002;
В.П.Краснов, 2000, 2005; Парпан В.І., 1994; В.В.Лавров, 2002, 2003, 2004, 2005,
2006, 2007; П.І.Лакида, 2002, 2005; А.П.Стадник 2008, 2009; В.П.Кравець, 2006;
Г.В.Бондарук та ін., 2004, 2006; В.С.Олійник, 2008; Ю.В.Плугатар, 2011); загроз
біорізноманіттю (Ю.Р.Шеляг-Сосонко, 1997, 1999, 2004; В.Г. Єна, 1989; А.В. Єна,
2002; В.А. Боков, 2002; Я.П. Дідух, 2005; В.В.Лавров, 2003, 2009); екологічної
ролі лісів та оптимізації структурно-функціональної організації водозбірних
ландшафтів (М.Д.Гродзинський, 1993; А.П.Травлєєв, 2007; О.С.Мігунова, 1993,
2001; М.А.Лохматов, 2007; А.П.Стадник, 2008; Л.І.Копій, 2005; Ю.В.Плугатар
2011; В.С.Олійник, 2008).
Окремим аспектам, пов'язаним із рентними відносинами у
лісоресурсній сфері, рентною концепцією економічної оцінки лісових ресурсів
присвячено праці Н.М. Большакова, О.В. Врублевської, А.А. Голуба, Я.В. Коваля,
А.С. Лазарєва, В.С. Міщенка, Н.Н. Панкратової, А.П. Петрова, С.В. Починкова,
М.А. Хвесика, В.З. Холявки, Н.П. Чупрова та ін.
Проте досі недостатньо досліджено цю проблему на
синекологічному рівні. Порівняно з доволі добре опрацьованими нормами
екологічної безпеки, орієнтованої на суспільство, значно більше потребують
імплементації у законодавство та в практику, в т.ч. у лісове господарство,
природоохоронні норми. Ці зміни мають ґрунтуватися на еколого-економічних
механізмах управління природокористуванням.
Значний досвід щодо наслідків лісових пожеж і боротьби з
ними, особливо в соснових лісах сухих екотопів Степу і Ліостепу, накопичено
фахівцями Дерлісагенції України. Проблемам пірогенної деградації торфовищ і
оптимізації використання вигорілих торфових ґрунтів присвячені праці Н.Н.
Бамбалова (1982, 1984), В.Н. Ефимова (1980, 1986), Ф.Р. Зайдельмана (1999,
2003, 2005-2011), А.П. Шварова (1999, 2003), Д.І. Морозової (2003, 2005), Р.Р.
Сулейманова та Т.Т. Гаріпова (2005), В.Н. Гаськевич (2008) тощо. Значно менше
досвіду щодо рекультивації вигорілих лісових торфовищ. Він узагальнений
фахівцями Поліського філіалу ННЦ ІГА ім. О.Н. Соколовського. На цей час
недостатньо вивченими залишається низка особливостей вигорілих лісових торфовищ
регіонів, особливо Західного Полісся, що стосується їх едафічних, гідрологічних
та ценотичних характеристик та питання можливості їх подальшого використання.
2. ПРОГРАМА ТА МЕТОДИКА ДОСЛІДЖЕНЬ
2.1 Програма досліджень
Базовими об‘єктами для здійсненння еколого-економічної оцінки
лісових ресурсів вибрано модельні підприємства і ключові в струткурі
водозбірних ландшафтів, характерні території в Криму, Буковинських Карпатах і
Передкарпатті, Центральному Лісостепу і Західному Поліссі. Це ліси різного
функціонально призначення, цільового використання. Вони відрізняються за
лісівничо-таксаційними показниками, зазнають різного за видом, інтенсивністю і
масштабом антропогенного впливу і тому відрізняються за санітарним станом і структурою.
Програмою досліджень передбачено:
- проаналізувати наявні науково-методичні підходи та
інформаційну базу з оцінювання лісових ресурсів щодо їх відповідності принципам
збалансованого лісокористування та інтегрованого управління;
- визначити систему критеріїв еколого-економічного
оцінювання лісових ресурсів та найбільш прийнятні методичні підходи з
урахуванням регіональних особливостей лісів, їх функціонально призначення,
цільового використання і стану в умовах антропогенного впливу;
підібрати модельні підприємства і ключові,
характерні об‘єкти в Криму, Буковинських Карпатах і Передкарпатті, Центральному
Лісостепу і Західному Поліссі та здійснити еколого-економічну оцінку лісових
ресурсів різного функціонально призначення, цільового використання і стану в
умовах антропогенного впливу;
- опрацювати результати досліджень та
розробити наукове видання «Заповідна справа і збереження біорізноманіття
Буковинських Карпат».
2.2 Методика досліджень
Методологічною основою дослідження є концепція сталого розвитку,
її секторальні складові - засади збалансованого землекористування,
лісокористування, водокористування, збереження біорізноманіття, необхідні для
комплексної оцінки усіх ресурсів лісу. Оцінку економіко-екологічних показників
лісових ресурсів у досліджуваних регіонах здійснювали відповідно до кадастру
лісів України та відповідних загальновизнаних наукових методів галузі. Для
одержання базової інформації використано фондово-облікові і статистичні
матеріали та літературно-патентний пошук. Дослідження ґрунтували на підходах і
методах ресурсознавства, лісівництва і лісознавства, економіки лісового
господарства, ландшафтної екології, геоботаніки.
Застосовували такі методи дослідження: лісівничо-таксаційні -
для закладки пробних площ та характеристики лісових екосистем;
еколого-економічної оцінки - для характеристики структури і запасів лісових
ресурсів; ландшафтної екології та лісознавства - для оцінки стану лісових
ресурсів та їх екологічної ролі у водозбірних ландшафтах; системного,
ретроспективного та порівняльного аналізів на популяційно-видовому,
біоценотичному, екосистемному та ландшафтному рівнях (інформаційно-аналітичні,
геоботанічні, гідрохімічні, фітоіндикаційні, методи дослідження ерозії, впливу
рекреації, пірогенної деградації тощо) - для виявлення просторових, часових і
структурних особливостей впливу негативних екологічних чинників, характеру,
інтенсивності та механізму їхньої дії; математико-статистичні - для обробки та
оцінки достовірності експериментальних даних.
Облік та аналіз природного підросту деревних рослин проводили
на пробних площах розмірами 5 х 5 м, закладених на відстані 1-500 м від стіни
лісу. Враховували життєздатний підріст віком два роки і старший. Кількісну
оцінку рослин здійснювали за відповідними шкалами [26]. Із біометричних показників
встановлювали: 1) відносний середній приріст у висоту за 2 роки, 2), середню
відносну протяжність крони вздовж стовбура. Отримані на пробних площах дані
опрацьовували варіаційно-статистичними методами з використанням табличного
редактора EXEL з пакета MS OFFICE 2003.
Для дослідження пірогенної деградації торфових ґрунтів
лісового масиву використано такі методи: порівняльно-географічний,
порівняльно-профільний, ґрунтових ключів, аналітичний, статистичний. Зразки
ґрунту для лабораторного аналізу відбирали з усіх генетичних горизонтів у межах
профілю. У відібраних зразках ґрунтів досліджували: гігроскопічну вологу,
щільність будови торфу, рН сольового та водного розчинів, вміст CaCO3,
гідролітичну кислотність, зольність торфу [15, 16]. Аналіз проб води проводили
загальноприйнятими в гідрохімічних дослідженнях методами. В польових умовах
досліджували також видовий склад рослин непорушеного лісового торфовища та
через рік після пожежі на пірогенних утвореннях.
Ступінь збалансованості, комплексності та ефективності
використання лісових ресурсів та їх екологічних і інших функцій оцінювали
еколого-економічними методами та методом системного аналізу.
3. РЕЗУЛЬТАТИ ТА ЇХ ОБГОВОРЕННЯ
3.1 Науково-методичні засади
еколого-економічної оцінки лісових ресурсів
Лісові ресурси - невід’ємна складова природних ресурсів, які
використовують разом з іншими ресурсами в процесі суспільного виробництва для
задоволення матеріальних і культурних потреб людства. В зв’язку з великими
обсягами використання природних ресурсів і енергії, проблема збалансованого
користування ресурсами лісу і їх відтворення є однією з важливих проблем
сучасності і має глобальний характер [18, 21, 23, 25, 26].
Завдяки великій біомасі, площі поширення, довговічності,
ємності та складності структури, ліси, крім великої кількості різноманітної
сировини, цінні тим, що вони є найвпливовішим природним компонентом суходолу в
регулюванні потоків речовини, енергії і інформації, у підтриманні природного
стану наземних екосистем біосфери, їх біорізноманіття, структурних
взаємозв’язків, функцій та механізмів взаємодії. Проте тривалий час у центрі
уваги суспільства, у т.ч. в Україні, залишались економічні цінності лісів,
насамперед якісна ділова деревина інші сировинні ресурси, оскільки лише вони
дають змогу вилучати найбільше коштів для забезпечення розвитку лісового
господарства. Це спричинило певне порушення базового галузевого принципу
«комплексності використання лісових ресурсів» та відповідну деградацію лісів
[17, 21, 23, 46, 51, 52].
У результаті недостатньо виваженого
господарювання, певних історичних та соціально-економічних причин ліси України
зазнали істотних змін [17, 21, 23, 31, 35, 46, 52]. Відбулося спрощення їхньої
структури за лісівничо-таксаційними показниками, збіднення біорізноманіття,
виснаження ресурсів, зниження продуктивності і екологічної ролі. Подекуди
корінні типи лісу змінили похідні лісостани [21, 231, 36, 46, 52]. Внаслідок
вирубок лісів, орієнтованих на економічні інтереси, особливо суцільних,
порушується лісове середовище, що ускладнює відтворення та збереження
біорізноманіття, знижує здатність лісів до водорегулювання і захисту ґрунтів,
збільшує інтенсивність негативних процесів у ландшафтах. Досвід ведення
лісового господарства показує, що рівень еколого-економічної збалансованості інтересів
щодо лісових ресурсів, підтримання їх продуктивності, стійкості та екологічної
ролі, природного їх поновлення істотно залежить від методологічних засад
системи рубок догляду, особливо рубок головного користування [36, 46, 52].
Нині фахівцями визнано, що протиріччя між екологічними
вимогами щодо збереження лісів, їхніх цінних функцій та економічними інтересами
щодо лісових ресурсів можна ефективно усунути або мінімізувати шляхом
впровадження у практику технологічних норм лісівництва, наближеного до природи
лісу. Концепцію наближеного до природного лісівництва обґрунтовано в працях
А.М. Голубця, В.І. Парпана, С.М. Стойка, О.І. Фурдичка, А.З. Швиденка, А.Й.
Швиденка та ін. [12, 36, 46, 51, 52, 56, 57]. Його суть полягає у прагненні до
мінімального порушення природних процесів розвитку лісових екосистем завдяки
дотриманню принципу вибіркової експлуатації ресурсів лісу, екологізації
лісокористування шляхом впровадження рівномірно-поступових рубок тощо. Це дає
змогу формувати насадження, які за видовим складом, віковою і ценотичної
структурою фітоценозу подібні до екосистем природного походження, здатних до
саморегулювання, самовідновлення і саморозвитку [56, 57]. Для дослідження
трансформованих лісів придатним є еколого-географічний (ландшафтознавчий) підхід.
Оптимізацію трансформованих деревостанів слід проводити у напрямі наближення
їхнього складу до екологічно стабільних природних лісів. Цей напрям у науковій
літературі отримав назву «наближене до природного лісівництво» [59].
Лісистість певних регіонів Укураїни значно відрізняється.
Зокрема в Карпатах ліси займають 40,2% території, у гірських районах Криму -
32,0%, на Поліссі - 26, в Лісостепу - 12,2, а у Степу - 3,8%. Лісистість
Дніпропетровської, Херсонської, Миколаївської та Запорізької областей є дуже низькою
- до 3,2-3,6%. Нерівномірною залишається також вікова структура лісів,
переважають молодняки і середньо-вікові насадження (76,1%), пристигаючих лише
12,7%, стиглих і перестиглих - 11,2%. Вікова структура лісів дещо здеформована,
оскільки стиглих і перестиглих лісів майже удвічі менше норми, що значно
зменшує можливості лісокористування, яке базується на зіставлені обсягів
рубання лісу з величиною приросту, обсягами і темпами лісовідновлення.
Негаразди є також в економічній оцінці лісових ресурсів. Загальновідомим
є той факт, що при неефективній економічній системі виникають суперечності в
еколого-економічних відносинах країни, породжуючи таким чином дисбаланс самого
процесу сталого розвитку. Це, зокрема надмірна експлуатація лісових ресурсів, в
якій ігноруються природоохоронні вимоги, відсутність цілісної екологічної
політики держави, все ще низький рівень екологічної свідомості суспільства. Не
менш важливими є економічний і організаційно-технологічний фактори. Перший з
них, зазвичай, базується на затратному підході розвитку економіки, другий -
недостатньо репрезентує екологічні інструменти лісової політики, а також
відповідні технологічні процеси [31, 36, 46, 52, 56, 57, 59].
3.1.1 Система критеріїв
еколого-економічного оцінювання лісових ресурсів та найбільш прийнятні
методичні підходи з урахуванням регіональних особливостей лісів, їх
функціонально призначення, цільового використання і стану в умовах
антропогенного впливу
Економічна оцінка лісових ресурсів, як складової біосфери,
має базуватися на теоретичній та методологічній основі, яка є спільною для всіх
ресурсів. За наявності різноманітних методичних підходів до оцінок, які
враховують специфіку певних об'єктів (видів або компонентів лісових ресурсів),
доцільно вибрати такі оцінки, які б базувалися на однаковій теоретичній
концепції. Вказане необхідно для того, щоб узагальнити методичні підходи оцінок
різних об'єктів природних ресурсів і об'єднати їх в єдину цілісну методику.
Слід підкреслити, що суттєвих суперечностей стосовно того, що відносити до
об'єктів лісокористування, немає, проте деякі автори дають різне трактування
цього питання [22, 27, 29, 34, 53, 62, 67].
Під економічною оцінкою лісових земель фахівці розуміють
оцінку їх у грошовому вираженні як основного засобу виробництва лісового господарства.
У зв'язку з тривалим періодом виробництва в лісовому господарстві, залежно від
мети оцінки, вона може бути поточною і капіталізованою. Для визначення
порівняльної вартості земель можуть здійснювати їх відносну оцінку, яку
виражають в балах. Поточну економічну оцінку лісових земель виражають
середньорічною величиною потенційного економічного ефекту у грошовому
еквіваленті, який може бути одержаний на цих землях на момент оцінки при
раціональному веденні комплексного лісового господарства. Капіталізована
економічна оцінка лісових земель - це підсумована в часі величина цього ефекту.
Для одержання економічної оцінки лісових земель попередньо оцінюють 1 га
лісових земель у лісах різних категорій захисності з урахуванням економічного
ефекту від використання всього комплексу продукції і корисностей, які можна
одержати на цих землях за раціонального використання їх в лісовому господарстві
[53].
Сировинну цінність лісових земель визначають за їх
потенційною продуктивністю, тобто здатністю за раціонального ведення лісового
господарства продукувати максимальну кількість продукції. Основними видами
продукції лісів є: деревина; другорядні лісові матеріали (хвоя, пеньки, сучки,
гілки, кора тощо); продукція побічного користування лісом.
Оскільки виробничі здатності лісових земель залежать від
кліматичних і грунтових факторів родючості, оцінки диференціюються за
природними (лісорослинними) даними і типами лісорослинних умов.
Фахівці стверджують, що в умовах переходу лісового
господарства на ринкові засади спостерігається певна трансформація оціночних
показників галузі, а деякі форми обліку і звітності спрощують. Це спрощення
інформаційних документів часто є необгрунтованим, відбувається стихійно, тому
не завжди виправдане. Недостатньо значення приділяється таким показникам як
оцінка використання лісових ресурсів, відсоток виходу ділових сортиментів,
відсоток виходу деревини. Серед оціночних показників не знаходить відображення
рівень використання ресурсів побічного лісового користування, мисливської
фауни, рекреаційних та й взагалі - екологічних функцій лісу, його
культурологічних цінностей тощо. Відсутні показники, що характеризують повноту
освоєння лісових ресурсів. Тоді як, сталий розвиток націлює суспільство на ті
заходи, які забезпечували б максимальний еколого-економічний ефект і були б
однаково доцільними, як з точки зору економіки, так і охорони природи. Розробка
еколого-економічного механізму щодо покращання використання природних ресурсів
має базуватися на критерії ефективності, що забезпечує максимізацію стійкого в
часі еколого-економічного ефекту, який одержуватиме суспільство зараз або в
майбутньому.
Стратегічною метою розвитку комплексних лісових підприємств
нині стає комплексне використання всіх видів лісових ресурсів, у т.ч. деревини,
недеревних продуктів лісу, продукції мисливства і рекреаційних функцій [8, 9,
17, 27, 30, 53-55].
На основі аналізу літературних джерел приведена інтерпретація
поняття «рентна» і «затратна» концепції економічної оцінки ресурсів лісу.
Встановлено, що ці концептуальні підходи оцінки не протипоставляються, а
доповнюють один одного, що є важливою умовою поліпшення методичних підходів
оцінки.
До затратної концепції економічної оцінки лісів відноситься
витратний та компенсаційний підходи, а з деякими застереженнями також і
збитковий. Компенсаційний підхід є випадком витратного підходу. За
"компенсації" відбувається повна заміна природного ресурсу, який має
корисні властивості, на "штучний" (техногенний), здатний відтворювати
втрачені корисності. Тобто йдеться про витрати на відновлення аналогічних
властивостей об'єкту оцінки. Хоча в основі збиткового підходу також лежать
витрати, вони мають дещо іншу природу, ніж ті, про які йдеться у витратному чи
компенсаційному підході. Компенсаційні витрати покликані відшкодувати збитки,
завдані не тільки лісам з метою відновлення їхньої продуктивної здатності, але
й іншим об'єктам НПС, створеного людиною капіталу та, власне, самій людині.
Зараховуючи збитковий підхід до затратної концепції економічної оцінки лісів,
необхідно наголосити на розширенні спектру витрат, які мають враховувати під
час оцінки. Це мають бути не тільки кошти на відновлення та підтримання в
належному стані лісових ресурсів, але й витрати на компенсацію збитків,
завданих іншим природним, матеріальним та людським ресурсам (Кравець, 2005).
В літературі є методичний підхід щодо економічної оцінки
земель лісового фонду, який базується не на відносних залежностях,
представлених корегуючими коефіцієнтами впливу недеревної лісопродукції,
корисних властивостей лісу і невідповідності лісистості території оптимальній,
на загальну величину грошової оцінки землі, а на основі фактичних
(узагальнених) екологічно і економічно обгрунтованих параметрах, що враховують
ефекти від побічного лісокористування та екологічної складової лісу, здатних всебічно
характеризувати цінність землі як просторового базису, засобу виробництва,
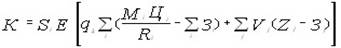
продукту природи і праці [4, 20, 25, 27]. Цей підхід відображає формула (1).
,
(1)
де
- економічна оцінка лісових земель, грн.;
- площа земель лісового фонду, що оцінюється, зайнята 
-ою
породою (або призначена для її вирощування), га;
-
запас насаджень за загальною продуктивністю
-ої
породи корінних (еталонних) насаджень у віці рубки, м3 на 1 га;
- ринкова (коренева) ціна 1 м3 деревини на корені,
грн.;
- вік рубки (вік стиглості) насаджень
-ої породи;
-
середньозважені витрати на відновлення, вирощування і збереження 1 м3
-ої породи, грн.;
-
норматив капіталізації середньорічного нормативного ефекту, який умовно
прийнято в розмірі 50 років, що відповідає 2-відсотковій ставці плати за
користування кредитом;
- коефіцієнт, що характеризує екологічну складову
кадастрової оцінки земель лісового фонду к-ої категорії захисності;
- оцінка (прогнозна) господарсько-можливого обсягу
(ліміт, квота) заготівлі побічної продукції лісу, т (ц, кг);
- закупівельна (ринкова) ціна одиниці
-го виду ресурсу, можливого для реалізації, грн.за
одиницю;
- витрати на відновлення, заготівлю і збереження
одиниці
-го ресурсу, грн. за одиницю. Екологічна складова
формули 1
визначається на підставі коефіцієнтів, розрахованих
Всеросійським науково-дослідним інститутом лісівництва і механізації лісового
господарства, що репрезентують цінність лісів в залежності від їх
народногосподарського призначення.
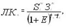
Широко використовують в практиці лісового господарства і
лісовпорядкування також і економічну оцінку лісових насаджень за методичними
підходами В.В.Варанкіна, В.Т.Воронкова, К.Г.Гофмана. В основу критерію оцінки
лісових культур, що не зімкнулися
,
замість середньорічного економічного ефекту (доходу), покладено середньорічні
витрати на одиницю відновлення ресурсу. Відповідна формула має вигляд (2):
(2)
де
- площа таксаційного виділу (ділянки) лісових культур
і-ої породи, га;
- середньорічні витрати на створення і догляд 1 га
лісових культур і-ої породи, грн.;
-
вік зімкнення крон лісових культур і-ої породи, років;
-фактичний вік лісових культур і-ої породи, років;
- норматив приведення витрат за фактором часу (0,02).
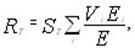
Територіальну оцінку продуктивності рослинних і мисливських угідь
визначають за показниками продуктивності: кількістю видів дикорослої продукції
і лікарсько-технічної сировини; мисливської фауни; біологічними та
господарсько-можливими запасами конкретних видів диких рослин і тварин, що
мають промислове значення. Відповідну економічну (грошову) оцінку території (
), як джерела одержання побічної продукції лісу і
мисливської фауни, визначають за формулою (3), сформульованою Я.В.Ковалем,
В.М.Мінарченко, М.В.Шадурою, яка має вигляд:
(3)
де
- площа угіддя як територіального об'єкта, га;
- середньорічний нормативний доход (ефект) від
використання і-го ресурса, грн./т, ц;
-
норматив капіталізації середньорічного нормативного ефекту (0,02).
Аналіз літературних джерел дає змогу зазначити таке: 1) рентні
лісоресурсні відносини фахівці розглядають у контексті формування
рентоорієнтованої системи оподаткування, використання якої в умовах ринкової економіки
дасть змогу підвищити ефективність лісокористування, забезпечить раціональне
використання та розширене відтворення лісових ресурсів, їх належну охорону та
збереження; 2) забезпечення дієвості механізму вилучення лісоресурсної ренти як
через систему податкових інструментів, так і через платежі за використання
лісових ресурсів на основі об'єктивної оцінки їх продуктивності та
диференціації рентних платежів за різними ознаками, сприятиме підвищенню
відтворювального та природоохоронного значення цього інструменту; 3) механізм
вилучення та розподілу лісоресурсної ренти повинен забезпечувати зосередження
рентного доходу у власника лісових ресурсів (держави), а не у суб'єктів
негалузевих структур, що сприятиме переходу лісової галузі на засади самофінансування
та самоокупності; 4) визначення економічної оцінки як земель лісового фонду,
лісових насаджень, продукції побічного користування, так і еколого-соціальних
функцій лісів на основі рентного підходу, що є особливо важливим в умовах
ринкової економіки, дасть змогу у вартісному вираженні оцінити продукцію
лісогосподарської діяльності, відобразити значення лісів в економіці країни,
поліпшити еколого-економічні показники, що характеризують користування лісовими
ресурсами, більш ефективно залучити різні компоненти лісу у господарський обіг.
Лісоресурсна рента (лісоресурсний рентний доход) - це регулярний,
стійкий у часі додатковий рентний дохід, який власник природного ресурсу
отримує внаслідок експлуатації обмежених різноякісних лісових ресурсів.
Лісоресурсна рента характеризує будь-який дохід, що отримується із земель
лісового фонду і лісових ресурсів, що безпосередньо не залежить від
під-приємницької діяльності. Рента вимірюють як різницю між доходом від
реалізації продукції лісокористування і витратами на її виготовлення, включаючи
нормативний прибуток виробника [7- 9, 17, 22, 27, 29, 53-55].
Основними факторами, що визначають можливість практичного використання
рентного підходу для економічної оцінки лісів, є: 1) можливість кількісного
вимірювання вуглецедепонувальної функції лісів (залежно від обраного критерію
оцінки - вартості річної продуктивності вуглецедепонувальної функції, запас
накопиченого лісовими насадженнями вуглецю); 2) наявність вуглецевого ринку,
оскільки економічна оцінка лісових ресурсів залежить від стану ринку цієї
продукції; 3) наявність стабільних ринкових цін на вуглецевому ринку, які
відображатимуть суспільні вигоди від використання вуглецедепонувальної функції
лісів; 4) можливість визначення витрат пропозиції лісових ресурсів, зокрема
вуглецедепонувальної функції лісів (наприклад індивідуальних витрат на
експлуатацію ресурсів, які охоплюють власне витрати господарювання, а також
нормативний прибуток, достатній для відтворення ресурсу).
Можливість кількісного вимірювання вуглецедепонувальної функції лісів
забезпечується внаслідок розробленого нормативно-інформаційного за-безпечення
оцінки фітомаси лісів України та відповідних перевідних коефі-цієнтів
перерахунку маси деревини в абсолютно сухому стані у обсяг депонованого вуглецю
[23]. Загалом використання рентного підходу для економічної оцінки
вуглецедепонувальної функції лісів є виправданим: для процесу використання
вуглецедепонувальної функції лісів характерним є утворення додаткового доходу.
Основа його утворення - це як власність на землі лісового фонду і лісові
насадження, так і обмеження кількості лісових ресурсів, як депонаторів вуглецю,
якісні відмінності насаджень, що визначають їхню вуглецедепонувальну здатність.
Таким чином кращі лісівничі характеристики лісових насаджень, що визначають
продуктивність вуглецедепонувальної функції лісів та не залежать від
результатів господарської діяльності, є основою виникнення додаткового доходу,
який у кількісному вираженні є працею, пов'язаною з використанням конкретної
ділянки для депонування вуглецю (підтвердженням є лінійний зв'язок між обсягами
деревини і обсягами біомаси, накопиченими лісовою екосистемою, за якими
розраховують обсяги депонованого лісовими насадженнями вуглецю);
вуглецедепонувальна функція лісів залучається в систему економічних від-носин
внаслідок міжнародної торгівлі квотами на викид парникових газів та можливостей
використання гнучких механізмів Кіотського протоколу (проекти спільного
впровадження); визначення споживчої цінності вуглецедепонувальної функції лісів
може бути здійснено за цінами на квоти на викид парникових газів, що склались
на міжнародному ринку [7- 9, 17, 22, 27, 29, 53-55].
Недоліками використання рентного підходу до економічної
оцінки вуглецедепонувальної функції лісів є:
- нульова оцінка ресурсів лісу у найгірших умовах
лісозростання та мінімальна оцінка близьких до них за параметрами ресурсів;
необхідність використання науково обґрунтованої вартості
продуктів та корисностей лісу, яка відображає їх народногосподарське значення,
що у випадку економічної оцінки вуглецедепонувальної функції лісів ускладнено
коливанням ціни за 1 тонну емісії вуглецю в ринкових умовах, визначеної за
різними варіантами (у різних літературних джерелах така ціна коливається від 5
до 125 дол. за тонну емісій вуглецю);
відсутність можливості визначити витрати на відтворення цієї
функції.
Встановлено, що функції лісових ресурсів, які не мають
матеріально-речової форми, важко піддаються кількісному виміру. Соціальні і
екологічні функції лісу безпосередньо не мають економічного ефекту в лісовому
господарстві, кошти на їх відтворення не виділяють, тому вони не включені у
сферу економічних (товарних) відносин, їх не враховують у складі суспільного
продукту. Отже, в якості продукції лісовирощування виступають не функції лісу,
а ліси в цілому як засоби праці, що впливають на підвищення ефективності
суспільного виробництва (сільське, водне господарство, транспорт, сфера
обслуговування). Таким чином, ефективність несировинних функцій лісу визначають
не прямо, а опосередковано, через величину впливу насаджень на підвищення
ефективності виробництва. Чим більший вплив функцій лісу, тим вища продуктивна
сила праці, за якою визначають її економію.
Викладені методологічні та методичні підходи економічної
оцінки лісових ресурсів відіграють важливу роль у становленні ринкового
механізму господарювання та здійснення лісоземельної реформи. Для створення
ринкових відносин у сфері лісового господарства потрібно існуючу форму плати за
ресурси лісу, що використовуються, привести у відповідність до вимог цивільного
законодавства, коли плата за ресурси формується за результатами
купівлі-продажу. При цьому, мають на увазі, що обсяг плати за лісові ресурси
має формуватись на базі еколого-орієнтованої системи, на міжгалузевій основі.
Вказане обумовлене значенням лісу як об'єкта багатоцільового використання, що
виходить за межі лісового господарства, позитивним впливом лісу та його
корисних властивостей на інші галузі економіки, соціальну сферу і довкілля.
В умовах нестабільної економіки, нестійкого фінансового стану
підприємств лісового господарства, екологічної кризи особливе значення набуває
проблема створення власної системи фінансування. Система управління лісами і
лісовим господарством, що склалася, не відповідає ринковим вимогам, стає на
заваді прогресивного розвитку. На цьому етапі все більшого поширення набувають
виробництва і технології, що виникають на стику галузей або мають міжгалузевий
характер. Основні функції державного управління лісами спрямовані на вирішення
найбільш загальних (стратегічних) питань у сфері охорони, збереження,
використання і відтворення лісових ресурсів: розробка регіональних програм
розвитку, розпорядження лісовим фондом, законодавче регулювання лісових
відносин, здійснення експертизи, контроль, екологічна експертиза тощо.
3.2 Оцінка лісових ресурсів
модельних підприємств Криму, Буковинських Карпат і Передкарпаття, Центрального
Лісостепу, Західного Полісся щодо їх відповідності принципам збалансованого
лісокористування та інтегрованого управління
.2.1 Аналіз стану лісового фонду Буковинських
Карпат і Передкарпаття
«Національний план дій з охорони навколишнього природного
середовища на 2011-2015 роки» та «Основні засади (стратегія) державної
екологічної політики України на період до 2020 року» передбачають розв’язання
складних еколого-економічних проблем, що накопичилися в країні внаслідок
недостатньо узгодженого з сучасними вимогами природокористування [28, 41].
Серед стратегічних завдань важливе місце відведено відновленню біотичного і
ландшафтного різноманіття територій [36, 47]. Дослідження засвідчили, що одним
з найефективніших шляхів удосконалення природокористування і водночас
збереження природних ресурсів і НПС є оптимізація структурно-функціональної
організації ландшафтів відповідно до науково обґрунтованих параметрів співвідношення
площі земель різного цільового призначення, а також їх розміщення у просторі та
зміни цілей їх використання у часі [21, 47]. Складність проблеми полягає у
значних перешкодах на шляху до гармонізації дуже відмінних інтересів різних
секторів економіки. Особливу роль в реалізації Стратегії створення
збалансованого простору Європи (Потсдам, 1999; Ганновер, 2000) та інших
численних програм співпраці з розвитку ландшафтів, збереження біорізноманіття
фахівці відводять лісам. На ліси розраховують як на захисні, регулюючі,
стабілізуючі компоненти ландшафтів і як на важливі структурні елементи
загальноєвропейської екомережі, конструювання стабільного простору сталого
розвитку.
В умовах економічної кризи, яку зараз переживає Україна,
необхідно переглянути стратегію лісовідновлення у напрямі досягнення балансу
між соціально-економічними та екологічними цілями діяльності. Важливим
складником у цьому є заміна лісокультурного методу відтворення лісів ефективним
використанням природного лісовідновлення у сприятливих лісорослинних умовах,
зокрема у вологих смеречниках та вологих ялицевих смеречниках Буковинських
Карпат та Передкарпаття. Необхідно створити належні науково-методичні,
законодавчо-нормативні та організаційні умови для переведення до лісового фонду
залісених ділянок луків та полонин, що перебувають в межах земель запасу
сільських рад, пайових земель. Слід створити прийнятну для власників схему
заміни цих ділянок на незалісені ділянки лісового фонду, в т.ч. свіжі зруби
навколо населених пунктів, що можуть бути придатні для пасовищ і забудови.
Наведені заходи є складовими основних завдань «Стратегії виконання Рамкової
конвенції про охорону та сталий розвиток Карпат» та інших регіональних,
національних і міжнародних програм.
З огляду на зазначену ситуацію, положеннями Державної
програми «Ліси України» та «Правилами рубок головного користування в гірських
лісах Карпат» обумовлено і регламентовано необхідність здійснення в
Карпатському регіоні рівномірно-поступових рубок як основи наближеного до
природи лісівництва. Протокол «Про стале управління лісами» до «Рамкової
конвенції про охорону та сталий розвиток Карпат», прийнятий у м. Братиславі
24.05.2011 року, також наголошує на необхідності відновлення лісових
деревостанів близьких до природних. Проте нині в Україні рівномірно-поступові
рубки становлять менше 6 % (25,4 тис. га) від загальної площі рубок головного
користування у відповідних типах лісу [48]. Значний досвід щодо впровадження у
практику головного користування рівномірно-поступових рубок нагромаджено у Чернівецькій
області. Їх частка в регіоні становить 65-75 % від загальної площі рубок
головного користування, а на території Берегометського лісомисливського
господарства Чернівецького обласного управління лісового і мисливського
господарства - 85 %.
Особливо актуальним є розв’язання екологічних проблем у
гірських регіонах Українських Карпат. На відміну від рівнинних територій
України, у Буковинських Карпатах, наприклад, досі на значній площі збереглись
екосистеми, що мають виняткове ресурсне, культурне та наукове значення як
еталони первісної природи з унікальним ландшафтним і біотичним різноманіттям
[34]. Проте тривале природокористування без належного врахування гірських умов
спричинило порушення стабільності розвитку водозбірних басейнів. Після
надмірних опадів частіше стали проявлятися катастрофічні повені, що спричиняють
руйнівні селі та зсуви, ерозію ґрунту, тривалі затоплення територій (1998,
2000, 2008, 2010 рр.). Це зумовлено зниженням водорегулювальної ролі лісів
унаслідок господарської трансформації їх структури, зменшення лісистості
гірських водозборів, гідрологічної ємності лісових екосистем [36, 47, 48, 51].
Тривалий час лісівники надавали перевагу штучному відновленню лісів шляхом
створення лісових культур і недостатньо використовували чинник природного
залісення лісових і нелісових деградованих чи відведених для цієї мети
територій, зокрема луків і полонин. Проте досвід показав, що саме природне
лісовідновлення у сприятливих лісорослинних умовах є не лише менш витратним, а,
насамперед, забезпечує відтворення корінних, складних за будовою типів лісу,
збереження біорізноманіття і підтримання стійкості лісових екосистем,
збільшення їх екологічної ролі у ландшафті. Визнано, що ефективне використання
природного поновлення лісів є важливою ланкою забезпечення збалансованого
лісокористування, ренатуралізації деградованих чи залишених землекористувачами
територій та, загалом, оптимізації природокористування [36, 47, 48, 51].
Отже, більш активне використання чинника якісного природного
залісення луків та полонин Буковинських Карпат і Передкарпаття деякою мірою має
змінити або потіснити традиційні лісокультурні підходи до лісовідновлення.
Разом з тим воно є одним з чинників виконання завдань Стратегії реалізації
Рамкової конвенції про охорону та сталий розвиток Карпат [47], який сприятиме:
гармонізації економічних та екологічних аспектів природокористування, створенню
економічних, технічних і організаційних передумов для екологічно збалансованого
розвитку лісового господарства, збереженню біотичного та ландшафтного
різноманіття, оптимізації місцевого планування і розвитку територій, створенню
стабільного простору в регіоні.
Метою дослідження було виявлення особливостей природного
лісовідтворення на луках і полонинах регіону у контексті згаданої стратегії та
вироблення ефективних підходів до реалізації цього напряму завдань. Луки та
полонини Буковинських Карпат і Передкарпаття займають понад 8 тис. га на
території вибраних для дослідження характерних підприємств ДП «Путильське
лісове господарство», ДП «Сторожинецьке лісове господарство», ДП «Берегометське
лісомисливське господарство», Карпатського та Вижницького держспецлісгоспів
АПК, земель запасу селищних рад Путильського, Вижницького та Сторожинецького
районів.
На сьогодні внаслідок неналежного догляду за луками і
полонинами та зниження рівня інтенсивності тваринництва близько 50% зазначених
територій вкриті природним самосівом основних лісоутворювальних порід [48].
Природне поновлення лісу досліджували на 75 пробних площах (ПП), закладених на
луках та полонинах, що прилягають до лісових насаджень (стіни лісу)
Селятинського, Шепітського, Черемоського лісництв ДП «Путильське лісове
господарство», а також Берегометського, Мигівського, Гірсько-Кутського лісництв
ДП «Берегометське лісомисливське господарство» та Лаурського, Буденецького і
Красноїльського лісництв ДП «Сторожинецьке лісове господарство». За матеріалами
лісовпорядкування, це деревостани переважаючих у Буковинських Карпатах і
Передкарпатті типів лісу - вологого смеречника (С3-См) та вологого ялицевого смеречника
(С3-яц-См). Основний породний склад деревостанів - 10См та 8См2Яц, висота над
рівнем моря від 679 до 1112 м, крутизна схилів - 9-24 градуси (табл. 1).
Таблиця 1
Характеристика пробних площ дослідження природного поновлення
лісоутворювальних порід на луках і полонинах Буковинських Карпат
|
№ ПП
|
Відстань від стіни
лісу, м
|
Тип лісу, що
прилягає до ПП
|
Породний склад
деревостану
|
Висота над рівнем
моря, м
|
Крутизна схилу,
град.
|
Домінанти
трав’яного покриву ПП
|
|
1-15
|
1-50
|
С3- См
|
10См
|
934
|
12
|
Festuca rubra L.
|
|
16-25
|
50-100
|
С3-яц-См
|
9См1Яц
|
867
|
14
|
Agrostis tenuis
Sibth
|
|
26-35
|
100-150
|
С3-яц-См
|
8См2Яц
|
789
|
9
|
Anthoxanthum
odoratum L.
|
|
36-48
|
150-200
|
С3- яц-См
|
7См3Яц
|
744
|
16
|
Agrostis tenuis
Sibth
|
|
49-59
|
250-300
|
С3- яц-См
|
9См1Яц
|
679
|
17
|
Anthoxanthum
odoratum L.
|
|
59-69
|
350-400
|
С3-См
|
10См
|
1032
|
21
|
Festuca rubra L.
|
|
70-75
|
400-500
|
С3-См
|
10См
|
1112
|
24
|
Festuca rubra L.
|
Луки та полонини виникли в регіоні на місці зрубаних у
минулому лісів. Вони доволі різноманітні за видовим складом фітоценозів. У
розподілі рослинного покриву в рельєфі виділяється вертикальна зональність.
Найбільші площі займають луки з домінуванням мітлиці тонкої (Agrostis tenuis
Sibth), костриці червоної (Festuca rubra L.), пахучої трави (Anthoxanthum
odoratum L.). Флористична композиція складається здебільшого із типових для
луків України видів, проте є багато видів, характерних саме для карпатських
луків: нечуйвітер оранжево-червоний (Hieracium aurantiacum L.), чебрець
альпійський (Thymus alpestris Tausch), вівсюнець знебарвлений (Helictotrichon
praeustum (Riechenb.) Tzvel.). У травостої природних сіножатей і пасовищ луків
гірсько-лісового поясу, передгір’я Буковинських Карпат та Передкарпаття
найпоширенішими є злакові трави - вони становлять 60-70% усього травостою.
Дослідження засвідчило, що лукопасовищне господарство у
Буковинських Карпатах та Передкарпатті нині перебуває на низькому рівні
розвитку. Розформування сільськогосподарських підприємств, зменшення поголів’я
худоби, невчасна розчистка луків і полонин спричинили їх забур’янення та
погіршення стану. Потребують підвищення родючості та відповідного використання
малопродуктивні землі. Майже на всій території земель запасу сільських рад та
фермерських господарств, пайових земель Путильського, Вижницького та
Сторожинецького районів не здійснюють необхідних заходів зі підвищення
продуктивності гірських луків і пасовищ - окультурення та їх поверхневого
поліпшення. На цих угіддях переважають травостої з бідним видовим складом,
представленим в основному малоцінним різнотрав’ям. Такі занедбані землі доволі
успішно піддаються природному залісенню.
Встановлено, що природне поновлення головних
лісоутворювальних порід на луках, що прилягають до лісових масивів, є кількісно
«добрим» за шкалою В.Г.Нестерова і якісно «благонадійним» за шкалою
В.М.Успенського [24]. Зокрема, на полонинах, які прилягають до вологого
смеречника площею 3,8 га (Селятинське лісництво ДП «Путильське лісове
господарство»), успішно розвивається природний підріст різних вікових груп
смереки європейської (Picea abies Karst.) - головної лісоутворювальної породи,
найбільш пристосованої до цих умов місцезростання. Щільність покриття рослинами
території коливається в межах 16,30-26,78 тис. шт. / га (табл. 2).
Таблиця 2
Кількісна та якісна характеристика природного поновлення лісу
на луках і полонинах регіону (вибірка характерних ділянок)
|
Місцезна-ходження
ПП
|
Види головних
порід, що зростаютьна ПП
|
№ ПП/Кількість
дерев при-родного поновлення, тис. шт./га
|
Всього дерев
природного поновлення на ПП, тис. шт./1 га
|
Відношення
се-реднього приро-сту у висоту за 2 роки до попе-реднього періоду (М±m)
|
Протяж-ність крони
вздовж стовбура,% (М±m)
|
|
Селятинське
лісництво ДП «Путильське лісове господарство» Берегометське лісництво ДП
«Берегометське лісомисливське господарство» Лаурське лісництво ДП
«Сторожи-нецьке лісове господарство»
|
Picea abies
Karst. a) Picea abies Karst. b) Abies alba Mill. a) Picea abies
Karst. b) Abies alba Mill.
|
7 / 22,84 14 /
23,40 61 / 16,30 67 / 26,78 70 / 17,84 75 / 22,74 18 / а - 7,95 b - 6,37 20 /
а - 8,52 b - 6,78 25 / а - 7,89 b - 5,63 27 / а - 7,84 b - 8,19 35 / а - 8,87
b - 5,92 36 / а - 8,76 b - 5,59 39 / а - 7,79 b - 7,92 44 / а - 8,87 b - 7,64
52 / а - 5,86 b - 7,17 56 / а - 9,89 b - 4,95
|
22,84 23,40 16,30
26,78 17,84 22,74 14,32 15,30 13,52 16,03 14,79 14,35 15,71 16,51
13,03 14,84
|
1,4±0,29 1,2±0,30
1,1±0,27 1,3±0,24 1,3±0,34 1,4±0,27 1,1±0,28 1,4±0,29 1,2±0,30 1,1±0,27
1,2±0,29 1,3±0,34 1,4±0,27 1,1±0,30 1,2±0,29 1,3±0,24 1,3±0,34 1,1±0,28
1,3±0,24 1,4±0,29 1,2±0,30 1,2±0,29 1,1±0,27 1,2±0,29 1,4±0,27 1,1±0,30
|
75±0,8 80±1,1
91±0,9 80±1,1 79±1,1 82±1,0 81±1,0 74±1,0 75±1,0 80±1,1 91±0,9 80±1,1 79±1,1
82±1,0 92±0,8 78±1,0 79±1,1 74±1,0 81±1,0 80±1,1 75±0,7 91±0,9 92±0,8 80±1,1
78±1,0 82±1,0
|
На луках, що прилягають до вологого ялицевого смеречника
Берегометського лісництва ДП «Берегометське лісомисливське господарство»,
загальна кількість природного підросту головних лісоутворювальних порід смереки
європейської та ялиці білої (Abies alba Mill.) на ділянці площею 3,7 га та 2,4
га відповідно становить 13,52-16,03 тис. шт. / га. Молоде покоління лісу є
якісним, розвивається з належною кількістю рівномірно розміщених на всій площі
рослин, що сприятиме нормальному лісовідновленню. Таку ж характеристику має і
природний підріст смереки європейської та ялиці білої на луках (3,1 га), що
прилягають до вологого ялицевого смеречника Лаурського лісництва
Сторожинецького держлісгоспу (табл. 2).
Аналогічні результати щодо благонадійного потенціалу
відновлення продуктивних лісонасаджень отримано також на луках та полонинах, що
прилягають до вологих смеречників та вологих ялицевих смеречників Шепітського,
Черемоського лісництв ДП «Путильське лісове господарство», Мигівського,
Гірсько-Кутського лісництв ДП «Берегометське лісомисливське господарство»,
Лаурського, Красноїльського лісництва ДП «Сторожинецьке лісове господарство».
Об’єктами досліджень були також характерні для регіону лісові
насадження Чемернарського та Гірсько-Кутського лісництв Берегометського
лісомисливського господарства (ДП «Берегометське ЛМГ»), пройдені рівномірно-поступовими
рубками головного користування відповідно до «Правил рубок головного
користування в гірських лісах Карпат». Переважаючими корінними типами лісу на
досліджуваній території є вологий смереково-буковий суяличник (у Чемернарському
лісництві) та вологий буково-смерековий суяличник (в Гірсько-Кутському).
Основний породний склад деревостанів - 5Яц3См2Бк та 6Яц 3Бк 1См, висота над
рівнем моря від 720 до 900 м, крутизна схилів - 19-29 градусів.
Вплив на природне поновлення лісу циклу лісогосподарських заходів
«РПР - поновлення - освітлення», проведених у 2002, 2007 і 2011 роках,
досліджували в умовах вологого буково-смерекового суяличника в
Гірсько-Кутському лісництві ДП «Берегометське ЛМГ» на трьох пробних площах: ПП1
- кв. 32, вид. 7, площа - 3,1 га, схил - північно-західний (ПнЗх): 21о, висота
- 750 м над рівнем моря (н.р.м.); ПП2 - кв. 26, вид. 22, площа - 3,0 га, схил -
ПнЗх: 20о, висота - 800 м н.р.м.; ПП3 - кв. 27, вид. 14, площа - 2,1 га, схил -
ПнСх: 19о, висота - 900 м н.р.м. На кожній ПП оцінювали стан підросту: 1) до і
після (2002 р.) першого прийому рівномірно-поступової рубки (РПР); 2) після
кінцевого прийому РПР (2007 р.); 3) до і після рубки «освітлення» (2011 р.). У
Чемернарському лісництві природне поновлення оцінювали після проведення 1-го
прийому РПР, його розвиток і стан - після кінцевого прийому РПР та переведення
ділянки у категорію «покриті лісом землі», а також збереженість - після
проведення освітлення оцінювали в умовах вологого смерекового-букового
суяличника. Порівнювали результати з відповідними показниками на ділянці,
пройденій суцільною лісовідновною рубкою (ЛВР). Схему рівномірно-поступової
рубки лісів, що була розроблена Г. Гартігом, і нині вважають класичною. За цією
схемою деревостан вирубують у чотири прийоми, кожен з яких орієнтований на
певну мету і має відповідну назву: перший прийом - підготовчий, другий -
засівний, третій - освітлювальний і четвертий - кінцевий. У процесі здійснення
такої рубки забезпечується поступове і рівномірне по площі вибирання дерев та
створення надійного доволі рівномірно поширеного молодого насадження. Загальний
термін рубки не виходить за межі одного класу віку (20 років), тобто класична
рівномірно-поступова рубка є короткостроковою, а після неї виникає одновікове
насадження. Такі рубки лісу проводять в гірських та рівнинних умовах
Чернівецької області, починаючи з 50-х років минулого століття. Це дає
можливість забезпечити успішне природне відновлення корінних типів букових та
ялицевих лісів.
В результаті досліджень буково-смерекових та смереково-букових
суяличників Чемернарського та Гірсько-Кутського лісництв Берегометського
лісомисливського господарства, пройдених рівномірно-поступовими рубками,
встановлено, що кількість прийомів рубок, їх інтенсивність і повторюваність
залежить від стану материнського деревостану та підросту, умов погоди,
періодичності плодоношення. Виявилося, що в умовах інтенсивного ведення
лісового господарства, зокрема, за систематичного проведення рубок догляду за
лісом, останні прохідні рубки замінюють підготовчий прийом поступової рубки.
Поступову рубка починають із засівного прийому. Аналіз показав, що застосування
тракторного трелювання деревини не дає змоги зберегти належну кількість
високого підросту лісоутворювальних порід непошкодженим. Значно краще
зберігається підріст висотою до 0,5 м, дерева якого є життєздатними. Виявилося,
що чутливість підросту бука до його освітлення є не такою великою, як вважали
раніше, і що його можна швидше звільняти від притінення материнським наметом.
Тобто є можливість поєднувати освітлювальний і кінцевий прийоми рубки.
Характеристика циклу лісогосподарських заходів
«рівномірно-поступова рубка - природне поновлення - освітлення», проведених в
умовах вологого буково-смерекового суяличника у Гірсько-Кутському лісництві,
свідчить про значну перевагу двоприйомних рівномірно-постувових рубок головного
користування. Вони дають змогу не тільки зберегти схили від надмірного
втручання гусеничних тракторів, але й виростити надійний молодий ліс.
Аналіз проведених досліджень в умовах різних типів лісу,
крутизни схилу, висоти над рівнем моря, складу насаджень показує, що при
рівномірно-поступових рубках створюються умови для появи та збереження
життєздатного підросту насіннєвого походження головних лісоутворювальних порід
у достатній кількості для лісовідновлення - 15-19 тис. шт. на один гектар
(табл. 3). Окрім незаперечного зменшення негативного впливу суцільних рубок на
лісову екосистему та природне довкілля, на 85-95 відсотків знижуються витрати
на створення нових лісових культур у гірських та передгірських умовах- у сумі
1,0-1,5 тис. грн. на кожен гектар [8]. Нами встановлено, що штучне залісення
необхідне тільки на кам’янистих розсипах та майданчиках складування деревини.
Рівномірно-поступові рубки сприяють рівномірному природному
засіванню лісосік завдяки створенню для молодих рослин сприятливих мікроумов
для їх вкорінення та інтенсивного росту, що дає змогу створювати
високобонітетні насадження повнотою 0,7-0,9. За нашими підрахунками, при
створенні природного лісового поновлення під материнським наметом термін
вирощування стиглих корінних лісонасаджень скорочується на 5-7 років. Це також
підтверджується лісівничо-таксаційними характеристиками молодих деревостанів
природного походження, що сформувалися у Чемернарському лісництві в умовах
вологого смереково-букового суяличника (табл. 3). Тривалість періоду від
першого до остаточного прийомів рубки значною мірою залежить від періодичності
плодоношення бука лісового, яка коливається в регіоні в межах 3-4 років. Кращі
результати і скорочений термін між прийомами рубки отримуємо тоді, коли перший
прийом співпадає з урожайним роком. Тоді він дійсно відповідає своїй назві -
«засівний».
Таблиця
3
Ефект
проведення рівномірно-поступової рубки головного користування в умовах вологого
смереково-букового суяличника у Чемернарському лісництві ДП «Берегометське ЛМГ»
|
Вид
лісогосподарського заходу
|
Рік проведення
заходу
|
Ефект від заходу
|
|
1
|
2
|
3
|
|
Характеристика ПП
№4: кв. 2, вид. 10, 11; площа - 9,8 га; склад деревостану -6Яц3См1Бк ; напрям
схилу - ПнЗх: 21о; висота - 760 м н.р.м
|
|
Проведено 1-й
прийом РПР, вирубано 180 м3 / га
|
1989
|
повноту деревостану
доведено до 0,5
|
|
Проведено кінцевий
прийом РПР, зрубано 450 м3/га
|
1996
|
збережено підросту
18,3 тис. шт. / га
|
|
Переведено в
категорію «покриті лісом землі»
|
1998
|
досягнено
зімкнутості намету
|
|
Проведено
освітлення та прочищення
|
2003, 2008
|
сформовано
насадження згідно лісогосподарських вимог
|
|
Характеристика ПП
№5: кв. 3, вид. 7, 11 площа - 11,7 га, склад деревостану 6Яц3См1Бк; напрям
схилу - ПнЗх: 24о; висота - 725 м н.р.м
|
|
Проведено кінцевий
прийом РПР, зрубано 280 м /га
|
1991, 1992
|
збережено підросту
17,4 тис. шт. / га
|
|
переведено в
категорію «покриті лісом землі»
|
1995
|
досягнено
зімкнутості намету
|
|
Характеристика ПП
№6 - кв. 3, вид. 5, 6; площа - 5,0 га; склад деревостану 5Яц3См2Бк; напрям
схилу - ПнСх: 27о; висота - 815 м н.р.м
|
|
Проведено 1-й
прийом РПР, зрубано 270 м3/га
|
2002
|
повноту деревостану
доведено до 0,5
|
|
Проведено кінцевий
прийом РПР, вирубано 240м3/га
|
2008
|
збережено підросту
19,1 тис. шт../га
|
|
Характеристика ПП №7
- кв. 12, вид. 2, 5; площа - 3,9 га; склад деревостану 7Яц2См1Бк; напрям
схилу - ПнСх: 29о; висота - 740 м н.р.м
|
|
Проведено 1-й
прийом РПР, зрубано 150 м3/га
|
1999
|
повноту деревостану
доведено до 0,5
|
|
Проведено кінцевий
прийом РПР, зрубано 340 м3/га
|
2007
|
збережено підросту
21,0 тис. шт../га
|
Основними факторами, які слід враховувати при відновленні
букових лісів, є періодичність плодоношення бука лісового, умови екотопу та
вплив лісогосподарських заходів на екологічні умови лісової екосистеми, появу і
виживання сходів під наметом деревостанів. У свіжих і вологих гігротопах
буково-ялицево-смерекових та буково-ялицевих насаджень Буковинських Карпат та
Передкарпаття найефективніше для насіннєвого відновлення головних
лісоутворювальних порід застосувати при здійсненні рівномірно-поступових рубань
трелювальні трактори зі спеціальними ланцюгами на ведучих колесах, що рихлять
дернину і ґрунт лісосік. Забезпечується повноцінне лісовідновлення, збереження
корінних типів лісу, гармонійне поєднання екологічних, економічних вимог щодо
лісоексплуатації і лісовідновлення, створення сприятливих умов для отримання і
формування надійного молодого покоління лісу природного походження.
Запропонований метод заслуговує створення належних методичних та
нормативно-організаційні умов для його ширшого впровадження у практику лісового
господарства з урахуванням умов інших регіонів.
Отже, внаслідок надмірного пасовищного та господарського
навантаження верхня межа лісу знизилась у регіоні на 200-300 м. У приполонинній
смузі верхнього поясу гір Буковинських Карпат лісові фітоценози істотно
деградовані. Це зумовило збільшення частоти і масштабів ерозійних процесів,
порушення стабільності розвитку водозбірних басейнів. Тому відновлення
рослинного покриву верхнього поясу гір є одним із базових напрямів підвищення
екологічної ролі лісів у водозборах, відновлення стабільного гідрологічного
режиму гірських ландшафтів. У цих умовах природне залісення луків і полонин,
яке відбувається в 1990-2010 рр. унаслідок значного зменшення інтенсивності господарського
використання цих земельних угідь, істотно прискорює розв’язання вказаної
проблеми і сприяє здешевленню необхідних видатків. У смузі до 1-500 м від
узлісь вологого смеречника та вологого ялицевого смеречника утворюється
надійний підріст з належною кількістю рослин лісоутворювальних порід, здатний
зімкнутися кронами і сформувати деревостани корінних типів. Ширина смуги
природного залісення залежить від висоти над рівнем моря, крутизни схилу, та
складу трав’яного покриву луків і полонин.
лісовий ресурс природний екологічний
3.2.2 Еколого-економічна оцінка
стану лісових ресурсів Центрального Лісостепу в умовах антропогенного впливу
Досвід показує, що кожний регіон має свої особливості в реалізації
зазначених завдань. Сприятливе для життя і доволі щільно заселене людьми
Центральне Придніпров’я виділяється значною антропогенною трансформацією
природно-територіальних комплексів, що істотно завадить відновленню «плівки
життя» і потребує добре продуманої і ресурсно забезпеченої системи заходів [4].
У проекті регіональної екомережі обґрунтовано необхідність збільшення кількості
природоохоронних об’єктів та територій до оптимального рівня і забезпечення
структурно-функціональних зв'язків між ними. Важливу роль у розвитку екомережі
відіграють ліси природно-заповідного фонду (ПЗФ) Черкаської області [4]. Серед
них особливої уваги заслуговує проектований національний природний парк (НПП)
«Холодний Яр». Це один з унікальних ландшафтів на території України, що доволі
добре зберігся до наших днів і виділяється своєрідністю геологічної будови,
рельєфу, багатством рослинного та тваринного світу, цілющими водами та іншими
природними ресурсами. Лісовий масив
<#"582346.files/image028.gif">
а)
б)
в)
Рис. 1. Хід росту Q. Robur залежно від ступеня рекреаційного
навантаження:
а) інтенсивного; б) середнього; в) помірного
а)
б)
в)
Рис. 2. Хід росту C. betulus залежно від ступеня
рекреаційного навантаження: а) інтенсивного; б) середнього; в) помірного
а)
б)
в)
Рис. 2. Хід росту F. excelsior залежно від ступеня
рекреаційного навантаження: а) інтенсивного; б) середнього; в) помірного
Ступінь рекреаційного навантаження на мішані дубові
деревостани залежить від частоти влаштування і розмірів місць відпочинку,
густоти мережі доріг та стежок. Зокрема про це свідчать показники механічного
пошкодження дерев (рис. 4). Так, у зоні І інтенсивного рекреаційного впливу (в
радіусі 30 м від необладнаного пікнікового майданчика і основної дороги)
пошкоджено 82,8 % дерев, загальна площа механічних пошкоджень дерев складає -
3489 см2. У зоні ІІ середнього рекреаційного впливу (на відстані 30-60 м від
майданчика і дороги) частка пошкоджених дерев майже в 2,5 рази, а загальна
площа пошкоджень - втричі менша. На найвіддаленішій (60-90 м) ділянці, що
зазнає помірного впливу, пошкоджених дерев і ран в 10 разів менше ніж поблизу з
майданчиком.
Рис. 4. Пошкодженість дубових деревостанів екологічного
профілю залежно від зон рекреаційного навантаження
* Умовні позначення: 1 - зона інтенсивного рекреаційного
навантаження; 2 - зона середнього рекреаційного навантаження; 3 - зона
помірного рекреаційного навантаження;
-
площа механічних пошкоджень дерев, см2;
-
частка пошкоджених дерев, %.
В зонах інтенсивного і середнього рекреаційного навантаження змінюються
лісорослинні умови, внаслідок чого покращуються таксаційні показники: середні
висота, діаметр стовбурів і густота підросту C. betulus L. (табл. 5). Хоча стан
дерев у міру наближення до пікнікових майданчиків і доріг погіршується з рівня
ослабленого (слабо пошкодженого) до дуже ослабленого (середньо пошкодженого).
Таблиця 5
Санітарний стан дубових деревостанів екологічного профілю
|
ПП
|
Розподіл дерев за
категоріями стану*
|
Іс
|
|
I
|
II
|
III
|
IV
|
|
|
СКК
|
%
|
СКК
|
%
|
СКК
|
%
|
СКК
|
%
|
|
|
1
|
2,3
|
23,0
|
2,2
|
37,1
|
3,0
|
31,4
|
3,5
|
8,5
|
2,9
|
|
2
|
2,4
|
37,2
|
3,3
|
41,8
|
3,0
|
16,2
|
4,0
|
4,8
|
1,8
|
|
3
|
2,5
|
34,2
|
3,1
|
62,8
|
3,0
|
3,0
|
-
|
-
|
1,7
|
* Примітка: дерев V і VI категорій стану не виявлено
Санітарний стан деревостанів також погіршується з наближенням
до пікнікових майданчиків і лісових доріг від ослабленого (Іс=1,7 на ПП3) до
дуже ослабленого (Іс=2,9 на ПП1) (табл. 6). У зоні інтенсивного впливу здорових
дерев у насадженні лише 23%, решта - різною мірою ослаблені, у т.ч. 8,5% -
сильно ослаблені. Тоді як, у зонах помірного і середнього впливу частка дерев І
категорії стану складає більше третини. Причому показник СКК (2,3-2, 5)
свідчить, що по мірі віддалення від об’єктів рекреації з 30 до 50% зростає
участь у категорії «здорові дерева» содомінантів. І, навпаки, з наближенням до
них частка зростає серед ослаблених особин. Хоча загальна кількість ослаблених
дерев зменшується з 2/3 до 1/3, проте зростає в 10 разів (з 3 до 31%) кількість
середньо ослаблених особин III класу Крафта. І якщо в зоні помірного
рекреаційного навантаження відмираючих дерев немає, то за середнього впливу їх
4,8, а в у мовах сильного - 8,5%. Причому це не тільки дерева IV класу Крафта,
половину з них за сильного навантаження складають особини ІІІ класу (СКК=3,5).
Таблиця 6
Пошкодженість поверхні ґрунту рекреаційною діяльністю
|
ПП
|
Розподіл поверхні ґрунту
за категоріями стану, %
|
|
1
|
2
|
3
|
4
|
5
|
|
ґрунт не ушкоджений
|
одиничні проходи
|
стежка без
підстилки
|
стежка, дорога з
розмивами, наноси
|
|
1
|
-
|
-
|
7
|
15
|
78
|
|
2
|
10
|
13
|
19
|
24
|
34
|
|
3
|
76
|
14
|
10
|
-
|
-
|
У зоні інтенсивного рекреаційного використання НПП
сформувались густа мережа стежок (22% площі), доріг з розмивами і наносами (78%
площі) (табл. 4; ПП1). Порушення лісової підстилки і витоптування ґрунту
зменшується з віддаленням від пікнікових майданчиків і лісових доріг. У зоні
помірного впливу (ПП3) ґрунт на 76% площі неушкоджений, зустрічаються тільки
поодинокі проходи і незначні стежки.
Рекреаційне навантаження впливає на таксономічну структуру і кількісний
склад трав’яного покриву через пряме механічне пошкодження і деградацію
поверхневого шару ґрунту. В зоні інтенсивного впливу загальне проективне
покриття (ЗПП) ґрунту не перевищує 15%. Тут зберігаються переважно Impatiens
parviflora DC. <#"582346.files/image040.gif">
Рис. 5. Розподіл дерев сосни звичайної за категоріями стану
залежно від віддаленості від осушеної території
На відстані 100-200 м (ПП2) знаходиться масив сосни звичайної
(ІІ бонітет, Hсер = 18,5 м, Dсер = 22,5 см; N=180 шт./га; зімкненість крон 0,6;
Iссер=1,9) (рис. 5, табл. 7) із незначною домішкою берези та вільхи, який має
кращі таксаційні показники. Характерним є збільшення середньої повноти (до 0,6)
та збільшення приросту за запасом на одиниці лісопокритої площі. Досить високі
таксаційні показники для цих лісорослинних умов має також контрольна ділянка
(ПП1, повнота 0,6, Hсер = 20,5 м, Dсер = 24,5 см; N=200 шт./га; Iссер=1,4), де
переважають типові лісові види. Видів, які потребують особливої охорони на
території України на екологічному профілі не виявлено.
Таблиця 8
Санітарний стан соснових деревостанів екологічного профілю
|
№ ПП
|
Відстань від
осушеного торфовища, м
|
Розподіл дерев за
категоріями стану
|
Іс
|
|
|
І
|
ІІ
|
ІІІ
|
ІV
|
V
|
|
|
|
СКК
|
%
|
СКК
|
%
|
СКК
|
%
|
СКК
|
%
|
СКК
|
%
|
|
|
3
|
50-100
|
2,0
|
15,2
|
2,0
|
22
|
3,4
|
33,3
|
3,5
|
20,5
|
3,2
|
9
|
2,4
|
|
2
|
100-200
|
2,2
|
20,5
|
2,3
|
40,5
|
2,8
|
23
|
2,4
|
10,5
|
3,0
|
5,5
|
1,9
|
|
1
|
200-300
|
1,3
|
23,5
|
1,8
|
41
|
2,0
|
22
|
2,2
|
9,5
|
2,8
|
4
|
1,4
|
Ми не ставили завдання встановити та описати ці складні за
природою прямі і опосередковані багатьма каналами взаємодії зв’язки
“осушувальна гідромеліорація - ліс”. Вони доведені численними дослідженнями,
деякі з яких згадані у постановці проблеми. Ми скористаємося аналізом структури
деревостанів за часткою пошкоджених дерев, яка відображає інтегральний ефект
взаємодії екологічних факторів.
В цілому, санітарний стан соснових насаджень по перефірійній
частині торфовища задовільний, про що свідчить індекс стану деревостану та СКК
(табл. 8). З наближенням до осушувальної системи зменшується кількість здорових
насаджень з 23,5% до 15,2% та відповідно збільшується кількість «старого
сухостою» з 4% до 9%. Ця ж тенденція є характерною й для категорії «ослаблені»
- 22%; 40,5 та 41% відповідно. З наближенням до недіяльного, замуленого каналу
та сільськогосподарських угідь всихають дерева навіть ІІ класу Крафта. Основною
причиною подальшого погіршення стану та всихання соснових насаджень може бути
прямий та опосередкований антропогенний вплив (зміна гідрологічного режиму
території). Інтенсивність всихання сосняків залежить також від їхнього віку. В
молодняках частка здорових дерев становить 35-45%, ослаблених - 13-30%, сильно
ослаблених - 3-15%, всихаючих - 2-8%, свіжого сухостою - 3-8%. Всихання тут
відбувається також за рахунок відстаючих у рості та розвитку дерев. Певною
мірою це пов’язано з поширенням кореневої губки (Hemerobasidion annosum (Fr.)
Bref.) та інших захворювань, розмноженням шкідників та розвиток патогенних
епіфітотій. Встановлено, що коренева губка уражує, головним чином, молоді
особини сосни, які до 15-20-річного віку не набули необхідної природної
стійкості з тих чи інших, переважно господарських, причин.
Отже, на розглянутому екологічному профілі чітко
простежується градієнт збільшення деградації соснових насаджень з наближенням
до невдало осушеного торфовища, де навколо замуленого каналу почалися процеси
вторинного заболочення. В усіх обстежених соснових деревостанах тією чи іншою
мірою всихають дерева, що зумовлено впливом комплексу негативних біотичних і
абіотичних факторів, які доцільно розділити на дві групи. Перша група -
фактори, які зумовлюють послаблення дерев і депресію їх росту: антропогенне
порушення гідрологічних умов, яке спричиняє розвиток в ослаблених насадженнях
первинних шкідників і хвороб. Друга група - фактори, які прискорюють всихання
дерев, розладнання деревостанів, фітоценозів і деградацію екосистеми
(несвоєчасний захист лісу; переважно вторинні стовбурові шкідники, хвороби).
Розподіл низькоповнотних насаджень на екологічному профілі свідчить про
наявність значного потенціалу для інтенсифікації лісовирощування, покращання
структури, продуктивності та екологічної ролі лісів.
Основними причинами погіршення стану рослинного покриву у
заказнику є антропогенні впливи, зокрема: зміна і, насамперед, зарегулювання
гідрологічного режиму, кліматичні перепади, несвоєчасний захист лісу, а також
пошкодження соснових насаджень ентомошкідниками та фітопатогенами. Внаслідок
осушення торфовища болотні фітоценози трансформувалися на злаково/різнотравні
та злакові, відмічена тенденція до збільшення частки мезофільних видів рослин
та сининтропізації. Розвиток соснового лісу на місці поліських боліт є
природним процесом, він є визначальним у формуванні екологічного середовища,
оскільки зумовлює ренатуралізацію трансформованих болотних екосистем регіону, але
вже на інших екологічних рівнях. Внаслідок осушення території відбувається
постантропогенна зміна природного напряму сукцесії болотних фітоценозів Полісся
- зміна екосистеми торф’яного болота на екосистему «соснове насадження».
Одним з пріоритетних завдань міжнародної політики охорони
навколишнього природного середовища та протидії негативним наслідкам змін
клімату є збереження й раціональне використання торфових боліт. Це зумовлено
тим, що одним з найуразливіших типів водно-болотних угідь є торфові болота. Це
надзвичайно важливі екосистеми з унікальним біорізноманіттям, вони мають
фітоісторичне, ботаніко-географічне значення, виконують водорегулюючу функцію.
В сучасних умовах торфові болота перебувають під загрозою деградації.
Антропогенна діяльність призвела до порушення динамічної рівноваги в
водно-болотних екосистемах, трансформації структури та порушення зв’язків між
їх основними компонентами, що зумовлено низькою стійкістю таких екосистем до
різких коливань природних умов, їх генезисом і ландшафтним розподілом. Подібних
кардинальних змін вони зазнають після меліорацій та, часто необґрунтованого з
екологічних та економічних позицій, використання цих територій, як
сільськогосподарських угідь [10, 14]. Великомасштабні пожежі торфовищ
трапляються в Російській Федерації, Білорусі, країнах Прибалтики, Польщі. В
Україні пожежі на торфовищах найчастіше виникають у межах Українського Полісся,
Передкарпаття, Малого Полісся, де зосереджені головні масиви торфових ґрунтів.
В земельному кодексі України вказано, що «торфовища з глибиною залягання торфу
більше 1 м і осушені незалежно від глибини...», належать до особливо цінних
земель, а отже, потребують особливої охорони і раціонального використання.
На сьогодні в Україні близько 1 млн. га осушених торфовищ,
основна частина яких знаходиться в Правобережному Поліссі в межах саме
Рівненської області. Площа земель меліоративного фонду Рівненської області
становить 534,8 тис. га (26,7% від загальної площі земель), з яких меліоровані
торфові ґрунти займають 32% меліорованих земель області [5]. Серед низки
небажаних процесів, що простежуються на осушених торфовищах, є їх деградація
під впливом пірогенного фактору. В особливо посушливі роки затяжні пожежі на
торфовищах регіону можуть тривати до кількох тижнів, завдаючи значних
матеріальних збитків, порушуючи екологічну рівновагу НПС та завдаючи
непоправної шкоди людству. Та, не зважаючи, на важливість біосферної ролі
торфовищ, проблема пірогенної деградації є маловивченою. Тому дослідження
причин виникнення пожеж на торфовищах, особливостей проходження та наслідків
пірогенної деградації цих екосистем щодо впливу цього явища на довкілля є
актуальним.
Пірогенну деградацію торфового ґрунту досліджували на
напівстаціонарних дослідних ділянках експедиційним методом на осушувально-зволожувальній
системі «Суйми» у межах фізико-географічної області Малого Полісся на території
с. Дермань ІІ Здолбунівського району Рівненської області (заплава витоки р.
Устя). Площа родовища становить близько 47 га, з яких 0,07 га пробної ділянки
вигоріли в результаті локальної торфової пожежі 2011 р. Об’єктом дослідження
був осушений меліорований торфовий грунт (контроль, вересень 2010 р.) та
пірогенно-деградований торфовий ґрунт (наступний рік після пожежі, червень 2012
р.). Предмет досліджень - трансформація морфологічних особливостей,
фізико-хімічних властивостей ґрунту; хімічних властивостей поверхневих вод
торфовища під впливом процесів пірогенезу.
Для характеристики будови профілю непорушеного торфового
ґрунту наведемо опис розрізу, закладеного в долині р. Устя Рівненської області,
Здолбунівського району, с. Дермань ІІ у 2010 р. Поверхня ґрунту задернована.
Глибина ґрунтових вод - 235 см.
Нd (0-6 см) - дернина;
Нк (6-37 см) - гумусований наносний мінеральний горизонт,
темно-коричневий, неоднорідний, легко-суглинковий, грудкувато-зернистої
структури, свіжий, щільний, пронизаний корінцями рослин;
Нрк (38-50 см) - перехідний наносний мінеральний горизонт,
менше гумусований від попереднього, темнувато-сіруватий, неоднорідний,
середньо-суглинковий, крупнозернисто-грудкуватої структури, свіжий, щільний,
подекуди присутні корінці рослин;
Т1 (50-78 см) - торфовий горизонт, темно-коричневий, добре
розкладений, вологий, слабко ущільнений, карбонатний, зрідка трапляються
напіврозкладені корінці рослин;
Т2 (78-150 см) - торф, коричнево-бурий, слабко розкладений,
вологий, губчастий, багато напіврозкладених решток рослин;
Т3 (150-235см) - торф, бурувато-коричневий, нерівномірно
розкладений, неоднорідний, карбонатний, подекуди мушлі молюсків, з глибини 235
см просочується вода.
Два пірогенні утворення мають еліпсоподібну форму розміром
10х25 м та 17х23 м. Поверхня обох нерівна, купиняста, з подекуди з підвищеннями
10-20 см. Колір поверхні пірогенних утворень неоднорідний - від темно-сірого до
чорного, з окремими бурими плямами. Глибина появи ґрунтових вод - 85 см. Для
позначення прошарків попелу в характеристиці будови профілю пірогенних утворень
скористались індексом Сns [3].(0-5 см) - попіл сірого кольору з коричневими
плямами забарвлення, безструктурний, пухкий;(5-25 см) - попіл
світло-коричневого забарвлення, неоднорідний, у разі незначної зовнішньої дії
руйнується, більш вологіший, пухкий, відчутний незначний вміст мінеральних
частинок (кварцу), карбонатний;(25-27 см) - пірогенно-змінений торф чорного
кольору, вологий, щільний, карбонатний;
Т (27-45 см) - торф коричнево-бурий, сирий, можна розім’яти в
пластичну однорідну масу, трапляються окремі рештки болотних рослин;
РТ (45-55 см) - перехідний горизонт, прошарки сірого піску з
торфом бурого забарвлення, неоднорідний;
РGl (55-85 см) - алювіальні відклади, пісок.
Відомо, що головною першопричиною пожеж на торфовищах і
пірогенної деградації торфових ґрунтів є антропогенна діяльність - меліоративне
пересушення торфових ґрунтів, відсутність систем регулювання рівня ґрунтових
вод, що призводить до швидкого пересихання органічної маси. У межах
Здолбунівського району пірогенної деградації зазнають торфовища в місцях
сучасних або закинутих торфорозробок. На місці вигорілих торфових осушених
ґрунтів формуються специфічні пірогенні утворення: пірогенно-перегнійні,
пірогенно-піщані, піщані, пірогенно-дерев’янисто-піщані й пірогенно-торфові [2,
10, 14, 15-16, 20, 58]. Процеси пірогенезу спричиняють глибокі деструкції в
будові профілю і властивостях торфових ґрунтів [10, 14, 15-16]. В зв’язку з цим
виконано порівняння морфологічних ознак та фізико-хімічних властивостей
недеградованого і пірогенно видозміненого ґрунту частково осушеного лісового
торфовища.
Морфологія та фізико-хімічні властивості грунту. Пірогенна
деградація поверхневих горизонтів частково осушеного торфового ґрунту істотно
впливає на його загальні фізико-хімічні властивості: зміна щільності будови
ґрунту, загальною пористості, вологоємності тощо. Окрім того, пірогенний чинник
спричиняє майже повну втрату торфовим ґрунтом органогенного горизонту,
потужність якого у деградованому ґрунті становить 20 см, тоді як у
недеградованому ґрунті сягає 150-200 см. За фізичними і фізико-хімічними
властивостями пірогенні утворення відрізняються від непорушених торфових
ґрунтів (табл. 9).
Таблиця 9
Фізико-хімічні властивості досліджуваних ґрунтів
|
Гене- тичні гори-
зонти
|
Глибина відбору
зразків, см
|
pH водне
|
pH сольо- ве
|
Гідролі-тична
кіслот-ність
|
Вміст CaCO3, %
|
Гігрос-копічна
волога,%
|
Щіль-ність будови,
г\см³
|
Золь-ність, %
|
|
Непорушений торфовий
грунт
|
|
Нк
|
6-21
|
8,95
|
7,20
|
-
|
48,5
|
10,3
|
0,77
|
-
|
|
Нрк
|
38-50
|
9,33
|
7,78
|
-
|
32,2
|
9,2
|
0,69
|
-
|
|
Т1
|
60-75
|
9,20
|
7,35
|
-
|
21,0
|
15,6
|
0,31
|
25,7
|
|
Т2
|
105-120
|
6,12
|
6,83
|
10,2
|
0,2
|
20,0
|
0,28
|
11,2
|
|
Т3
|
200-215
|
8,75
|
7,01
|
6,6
|
0,2
|
17,2
|
0,27
|
10,8
|
|
Постпірогенно-торфове
утворення
|
|
Cns1
|
1-5
|
10, 15
|
8,1
|
-
|
24,13
|
6,8
|
0,29
|
89,2
|
|
Cns2
|
10-20
|
9,95
|
8,15
|
-
|
21,88
|
4,4
|
0,25
|
88,5
|
|
Cnsm
|
25-27
|
9,67
|
8,33
|
-
|
3,1
|
7,5
|
0,21
|
89,1
|
|
Т
|
30-40
|
6,10
|
6,05
|
23,0
|
1,5
|
14,6
|
0,27
|
25,5
|
|
РТ
|
45-55
|
5,9
|
6,0
|
9,0
|
0,7
|
3,9
|
0,19
|
78,0
|
|
РGl
|
60-70
|
9,85
|
8,11
|
0,1
|
0,8
|
0,9
|
-
|
88,0
|
Пірогенно трансформовані шари торфового грунту є пухкими,
неоднорідними, під механічним впливом легко руйнуються. Гігроскопічна волога
становить 4,4-7,5 %, що свідчить про високий ступінь дисперсності попелу (табл.
9). Характерною особливістю постпіроегенного утворення є підвищена лужність: рН
водного розчину становить 9,67-10,15, рН сольове - 8,10-8,33, що пояснюється
наявністю в попелі великої кількості поташу (K2CO3). Генетичні горизонти, що
виникли в результаті повного вигоряння, мають лужну реакцію середовища (зольний
горизонт), в той час як при частковій термічній деградації торф'яного ґрунту
реакція відповідних горизонтів залишається кислою. До пожежі ці показники були
іншими: рН був на рівні 6,12-9,33, що відповідає значно кислішій реакції, рН
сольове відповідно - 6,83-7,35. Вміст карбонатів кальцію у попелі пірогенних
утворень коливається в межах 21,88-24,13%, до пожежі генетичні горизонти Нк та
Нрк містили 32,2-48,5% CaCO3. Встановлено, що постпірогенно-торфове утворення
(0,25-0,29 г\см³) радикально відрізняється за
значенням щільності будови від непорушеного торфового ґрунту (0,69-0,77 г/см³), що пояснюється вмістом,
по-перше, суміші дрібнодисперсних частинок золи та обугленої органічної маси у
деградованому ґрунті, а по-друге, органогенні горизонти непорушеного торф'яного
ґрунту також характеризуються підвищеним значенням щільності, що пояснюється
присутністю в їх складі піску, внесеного, можливо, при проведенні меліоративних
робіт. Отже, за певними фізико-хімічними властивостями пірогенні субстрати,
зазнали глибокої термічної деформаціії та стали найбільш близькими за
властивостями до піску мінерального дна, в той час як субстрати, які зазнали
часткової деградації тяжіють до непорушеного торф'яного ґрунту.
Хімічні властивості поверхневих вод. Пірогенна мінералізація
торфу супроводжується появою великої кількості золи (табл. 9), з якої розчинені
речовини вилуговуються атмосферними опадами та потрапляють в річкові води. В
районі торф'яної пожежі вплив пірогенного фактора виразно проявляється також і в
хімічному складі води торф'яного кар'єру, що знаходиться поряд з вигорілими
ділянками. Виявлено значне підвищення рівнів концентрацій SO42, Cl-, NO3-,
PO43- (табл. 10). Особливо слід відмітити підвищення вмісту фосфат-іонів та
високу концентрацію нітратного азоту, адже загальновідомо, що надходження
значних кількостей сполук азоту і фосфору в річкову мережу може призвести до
евтрофікаціі водних об'єктів та різкого зниження якості річкових вод [2, 20].
Загалом, збільшення вмісту іонів SO42-, Cl-, NO3-, PO43- стало причиною
зростання величини мінералізації, яка перевищила 0,52 г/дм3, тобто вода стала
солонуватою. Концентрація Na +, K+, Ca 2+ , Mg 2+ порівняно з показниками 2010
р. навпаки зменшилася.
Таблиця 10
Граничні і середні концентрації розчинених речовин в об'єкті
гідросфери в районі торф'яної пожежі, мг/дм3
|
Компоненти
|
Вода торф'яного
кар'єра
|
|
02.09.2010 р. (до
пожежі)
|
20.06.2012 р.
(після пожежі)
|
ГДК показників
|
|
Na +
|
139,2
|
87,1
|
120
|
|
K+
|
46,1
|
29,023
|
50
|
|
Ca 2+
|
361,0
|
289,08
|
180
|
|
Mg 2+
|
219,2
|
60,11
|
50
|
|
HCO3-
|
610,07
|
488,23
|
300
|
|
Cl-
|
4,009
|
7,1
|
300
|
|
SO42-
|
22,01
|
42,0
|
100
|
|
NO2-
|
0,01
|
0
|
0,08
|
|
NO3-
|
3,0
|
40,05
|
40
|
|
NH4+
|
0,34
|
0,31
|
0,5
|
|
PO43-
|
0
|
0,23
|
0,5
|
Рослинність пірогенних утворень. До пожежі по периферії
частково осушеного лісового торфовища розріджений деревний ярус утворювала
сосна звичайна (Pinus sylvestris L.), береза пухнаста (Betula pubescens L.),
осика (Рориlus tremula L.), верба попеляста (Sаlіх cinerea Willd), верба Старке
(Sаlіх starkeana Willd). У травяному ярусі домінував, занесений до Червоної
книги України, сашник іржавий (Schoenus ferrugineus L. - з проективним
покриттям 80%), а також молінія голуба (Molinia caerulea (L) Mocneh.Т - 10-15%)
та осока жовта (Carex flava L. - 10%). У формуванні травостою також брали
участь Carex brizoides Juslen, Carex vaginata Tausch, Lysimachia vulgaris L.,
Phragmites australis L. Моховий покрив був сформований Drepanocladus sendinerі,
Phylonotis calcarea та ін. Подекуди вздовж меліоративних каналів траплявся
золотушник канадський (Solidago canadensis (L.).
У першій рік постпірогенного періоду пожежа призвела до
повного знищення трав’яного покриву, у деревному ярусі суттєвих змін не
відмічалося. Деревний ярус по периферії території в цілому не пошкоджений, лише
подекуди погіршився санітарний стан P. sylvestris: Іс=2,8 (сильно ослаблені
насадження, середній ступінь пошкодження), тоді як до пожежі він становив
Іс=2,4 (ослаблені, середній ступінь). Вже через рік відмічено 15 екземплярів
проростків Quercus robur L. та Pyrola rotundifolia L. з незначним (до 2%)
проективним покриттям. Насіння грушанки дуже дрібне пилоподібне і легке,
характеризується високою схожістю, і мало найбільшу ймовірність бути занесеним
з сусідньої ділянки у перший рік після пожежі. Pyrola rotundifolia відноситься
до рослин, для яких характерне формування пагону наступного року повністю, ще
до кінця вересня в бруньці поновлення сформована кисть з маленьких бутонів,
квіти перебувають в бутонах 10-11 місяців, а зацвітають в кінці червня - на
початку липня.
Таким чином, ми спостерігаємо зміну трав’яного покриву за
рахунок типових лісових видів, що виявилися більш пристосованими до умов, що
склалися. Появі типових постпірогенних піонерних видів можливо зашкодила деяка
ізольованість досліджених лісових ділянок через їх віддаленість від потенційних
депо діаспор, густі зарості чагарників та несприятливі едафічні умови.
Враховуючи високе значення рН (внаслідок високої концентрації у верхніх шарах
поташу (K2CO3), табл. 1) та перезволоження, можна спрогнозувати, що в
подальшому рослинний покрив поповниться видами з активною життєвою стратегією
(такими як Calamagrostis neglecta Caertn et Schreb), Chamaerion angustifolium
(L.) Holub, Urtica dioica L.), але буде перебувати в пригніченому стані й не
утворить суцільного покриву, щонайменш декілька років. Можливо, поступово через
4-5 років, після того коли показник рН буде становити менше 8,5 (більш
нейтральне середовище) розпочнеться утворення суцільного покриву трав’яної
рослинності з відповідними закономірностями. Отже, після пожеж відбуваються
кардинальні зміни в структурі рослинного покриву пірогенних утворень, що
потребують додаткових багаторічних досліджень. У місцях, де внаслідок
пірогенної деградації залишкова потужність торфу дуже мала, а ґрунтові води
протягом року перебувають близько до поверхні, через 7-10 років трав’янисту
рослинність змінять чагарники.
Заходи запобігання пірогенній деградації торфових ґрунтів.
Провідну роль у захисті торфових ґрунтів від пірогенної деградації виконують,
профілактичні заходи: використання торфових ґрунтів як лучних угідь; двостороннє
регулювання рівнів ґрунтових вод і стабільна підтримка лучного типу водного
режиму в профілі осушених торфових ґрунтів; систематичне внесення органічних і
мінеральних добрив із метою підтримки високого рівня родючості ґрунтів і
накопичення значної маси свіжого перегною за рахунок кореневих систем рослин,
заорювання соломи і поживних решток; проведення піскування для збільшення
вмісту мінеральної частини торфу і підвищення його зольності. Одним із заходів
запобігання пірогенній деградації може стати ренатуралізація торфовищ до
природних болотних екосистем. Пірогенні утворення з повним знищенням
органогенних горизонтів або їхнім вигоранням до рівня ґрунтових вод підлягають
рекультивації [15-16].
Отже, основними причинами пірогенної деградації торфових ґрунтів
є природні й антропогенні чинники. Проведені нами моніторингові дослідження
показали, що пожежі на торфових ґрунтах призводять до часткового, а інколи
повного знищення торфових ґрунтів, завдаючи значних збитків сільському
господарству і довкіллю. Пірогенні утворення після пожежі мають несприятливі
фізико-хімічні властивості, зумовлені високою лужністю і карбонатністю
поверхневих генетичних горизонтів, низьку щільність будови, а при слабкому
впливі відбувається збільшення частки мінеральної форми фосфору та зменшення
частки органо-мінеральних сполук. Встановлено, що торф'яні пожежі вагомо
впливають на хімічний склад об'єктів гідросфери поверхневих вод, призводить до
появи у воді аномальних концентрацій нітратного азоту, високого рівню
концентрацій хлорид- і сульфат-іонів, кальцію і магнію. Особливу увагу слід
звернути на те, що при пірогенній сукцесії лісових лісових торфовищ надходження
значних кількостей сполук азоту і фосфору в річкову мережу може призвести до
евтрофікаціі водних об'єктів та різкого зниження якості річкових вод. Для
розуміння динаміки рослинного покрику та подальшого його розвитку, необхідні
моніторингові дослідження торфовищ різного типу, так як сукцесії під дією
пірогенного фактора можуть розвиватися в різних напрямках, залежно від едафічних
та ценотичних умов, що склалися.
Тому необхідним є проведення заходів щодо мінімізації і
локалізації пожеж, охорони і раціонального використання торфових ґрунтів,
запровадження моніторингових спостережень за їхнім станом як складової
екологічного моніторингу.
3.2.4 Еколого-економічна оцінка
стану лісових ресурсів степового Криму
Сучасне суспільство, що стрімко
розвивається і часто надмірно збільшує свої запити, постійно має турбуватися,
щоб зменшити негативний вплив на природне довкілля, особливо на земельні
ресурси. Україна має надмірну, найбільшу в Європі розораність території. На
01.01.2005 рілля займала 32480,2 тис. га. У центральних, південних областях
рівень розораності земель сягає 86-90%. Останніми роками інтенсивно
збільшуються площі кислих і солонцевих ґрунтів. Нині понад 40 % орних земель
країни потребують хімічної меліорації. Проте більш масштабною загрозою ґрунтам
є їх водна та вітрова ерозія, часто підсилена невдалим землекористуванням
[38-39, 43-45]. Наслідки ерозії ґрунтів в Україні нині сягнули загрозливих
масштабів: водної ерозії зазнають 13,3 млн. га с.-г. угідь (32% загальної
площі), у т.ч. 10,6 млн. га орних земель; вітровій ерозії піддаються понад 6
млн. га, а в роки з пиловими бурями - до 20 млн. га. Щорічно Україна втрачає до
600 млн. т ґрунту, до 15 млн. т гумусу, 0,3-0,9 млн. т азоту, 700-900 тис. т
фосфору, 6-12 млн. т калію, що значно більше ніж вносять з добривами.
Інтенсивна деградація людською діяльністю деревинно-чагарникової рослинності
призвела до того, що з ріллі степового Криму здувається за рік понад 2 млн. т
ґрунту, що становить, у середньому, 22,7 т/га.
Ця проблема є особливо актуальною для
степової зони Криму, оскільки вона зазнає сильного і негативного впливу вітрів,
що спричиняють низку негараздів. Внаслідок відкритості території і майже
відсутності деревної рослинності, влітку повітря дуже сухе, часто бувають
суховії, коли тривало дують, сухі, надзвичайно жаркі, південно-східні, східні й
південні вітри. За цих умов температура повітря підвищується за дуже короткий
проміжок часу, не знижуючись навіть уночі, і тримається кілька днів. Нерідко
відбуваються і пилові тумани, які теж сильно підвищують температуру повітря і
можуть триматися кілька днів підряд [32-33].
Отже захист ґрунтів від вітрової і
водної ерозії, підвищення врожайності сільськогосподарських культур є одними із
самих невідкладних завдань сучасного землеробства як в Україні, так і в
степовому Криму. Ефективним шляхом розв’язання цих проблем у малолісних
регіонах є агролісомеліорація [24, 40, 43-45]. Полезахисному і садозахисному
лісорозведенню в Криму приділяли багато уваги це в 50-80-ті роки ХХ ст. За ці
роки в передгірній і степовій зонах півострова було створено понад 27 тис. га
лісозахисних смуг шириною 10 м і більше. Розрахунок показав, що ці насадження
здатні захистити від пилових буревіїв і суховіїв зерновий клин АР Крим на площі
понад 500 тис. га. Однак внаслідок самовільних рубок і частих пожеж за цей час
площа полезахисних лісових насаджень (ПЗЛН) скоротилася більше, ніж у двічі,
значна частка уцілілих деревостанів розстроєна і потребує реконструкції. Для
відновлення цієї системи ПЗЛН і подальшого розвитку захисного лісорозведення
доцільно використати деградовані і малопродуктивні, непридатні для іншого
використання землі, які виводять з активного землекористування у процесі
реалізації завдань земельної реформи, удосконалення структури і цільового
використання земельних угідь [24, 40, 43-45]. Проте питання методики створення
полезахисних лісових насаджень у степовій частині Криму вивчено не достатньо.
Наукового обґрунтування потребує також комплекс лісокультурних робіт - від
меліоративних заходів до вибору породного складу та оптимальної схеми створення
лісових культур [24, 40, 43-45].
Отже, метою нашого дослідження на прикладі на прикладі
території степового Криму було вдосконалення способів створення полезахисних
лісових насаджень в умовах богарного і зрошуваного землеробства з урахуванням
особливостей, зумовлених вибором деревної породи, характеристики її саджанців
та умов вирощування дерев.
Для пошуку шляхів і методів вдосконалення способів створення
полезахисних лісових насаджень в зазначених умовах необхідно було дослідити
особливості формування ПЗЛН залежно від вибору деревних порід, їх
характеристики та умов їх вирощування. Оскільки системи ПЗЛН є
багатофункціональними просторово-цільовими елементами в структурі
агроландшафтів, було застосовано приннципи комплексного підходу. Стаціонарні
досліди було закладено на земельних ділянках, що нині входять до складу
Інституту сільського господарства Криму НААН на постійних пробних площадках
площею по 0,05-0,10 га. У дослідженні враховано результати вивчення цієї
проблеми В.С.Паштецьким в рамках НДР зазначеного інституту, здійснених впродовж
1985-2009 рр.
Для удосконалення видового складу ПЗЛН, разом із поширеними
породами - дубом звичайним (Quercus robur L.) та в’язом дрібнолистим (Ulmus
pumila L), досліджували характер росту і розвитку дуба звичайного пірамідальної
форми (Q. Robur «Fastigiata» DC.), горіха грецького (Juglans regia L.), платана
східного (Platanus orientalis L.) та інших порід.
Проблему формування оптимальних ПЗЛН досліджували з таких
питань: інтенсивності росту головних порід (дуба звичайного пірамідальної
форми, дуба каштанолистого (Q. castaneifolia C.A.M.), горіха грецького, тополі
пірамідальної (Populus pyramidalis Rosier.) в двохрядних лісосмугах на
зрошуваних землях (дослід №1); лісосмуг з дуба звичайного залежно від площі
живлення дерев (дослід №2); в'яза дрібнолистого в лісосмугах з різною кількістю
рядів (дослід №3); лісосмуг з платана східного залежно від площі живлення дерев
і різних схем посадки дерев на різних ґрунтах (досліди №4, №5 і №6).
Характеристика проведених дослідів. Дослід №1. Аналіз росту і
розвитку росту і розвитку головних порід (дуба звичайного пірамідальної форми,
дуба каштанолистого, горіха грецького, тополі пірамідальної в дворядних
лісосмугах на зрошуваних землях. У досліді на чорноземі середнього ступеня
еродованості заклали п’ять варіантів: варіант №1 - тополя пірамідальна,
розміщення посадкових місць 3 х 3 м (контроль); варіант №2 - дуб звичайний, 3 х
3 м; варіант №3 - дуб каштанолистий, 3 х 3 м; варіант №4 - горіх грецький, 4 х
4 м; варіант №5 - горіх грецький, 4 х 6 м. Дерева було висаджено із
сформованими штамбами окремо по зазначених секціях. Підготовку ґрунту
здійснювали за системою чорного пару.
Дослід №2. Аналіз росту і розвитку лісосмуг з дуба звичайного
залежно від площі живлення дерев. Інтенсивність росту дуба звичайного вивчали в
трирядній лісовій смузі, закладеній на чорноземі середнього ступеня еродованості
восени лунковим способом з шириною міжрядь 4 м і розміщенням лунок в ряду через
1, 2, 3 м. Контрольний варіант - схема розміщення посівних місць 1 х 4 м. В
кожну лунку висівали 5-7 жолудів, обробку ґрунту в рядах, захисних зонах і
міжряддях здійснювали за допомогою плуга-розпушувача ПРВН-2,5А.
Дослід №3. Аналіз росту і розвитку лісосмуг з в'яза
дрібнолистого в лісосмугах з різною кількістю рядів. Варіанти досліду: варіант
№1 - 2-рядна лісосмуга (контроль), варіант №2 - 3-рядна, варіант №3 - 4-рядна
лісосмуга.
Лісосмуга була висаджена на чорноземі середнього ступеня
еродованості восени трьома секціями по 300 м за зазначеними варіантами з
шириною міжрядь - 4 м, відстань між посадочними місцями в ряду - 2 м. Для
обробки ґрунту в перші роки застосовували КРЛ-1, з чотирирічного віку
ПРВН-2,5А. Для створення кращих умов для обробки і формування штамбу в
2-5-літньому віці здійснювали зрізання стовбурової порості дерев до висоти
1,3-1,5 м.
Дослід №4. Аналіз росту і розвитку лісосмуг платана східного
залежно від площі живлення дерев. Схема досліду (п’ять варіантів): варіант №1 -
схема посадки 2 х 4 м (контроль); варіант №2 - 3 х 4 м; варіант №3 - 4 х 4 м;
варіант №4 - 5 х 4 м; варіант №5 - 6 х 4 м. Лісосмуга закладена на
зрошувальному південному чорноземі трирічними саджанцями в шаховому порядку за
зазначеними схемами. Штамби дерев сформовані на висоті 1,3-1,5 м. Лісосмугу
зрошували одночасно з сільськогосподарськими рослинами від агрегату ДДА-100М.
Дослід №5. Аналіз росту і розвитку лісосмуг платана східного
залежно від площі живлення дерев. Схема досліду (чотири варіанти): варіант №1 -
схема посадки 2 х 4 м (контроль); варіант №2 - 3 х 4 м; варіант №3 - 4 х 4 м;
варіант №4 - 5 х 4 м. Лісосмуга за зазначеними схемами, розміщеними в шаховому
порядку, була закладена на суходолі з лугово-чорноземними ґрунтами
крупномірними саджанцями із штамбом дерев, сформованим до 1,3-1,5 м висоти.
Ґрунт в лісосмузі обробляли 3-4-кратною культивацією упродовж вегетаційного
періоду, а також здійснювали осінню оранку.
Дослід №6. Аналіз росту і розвитку лісосмуг з платана
східного залежно від площі живлення дерев і різних схема посадки дерев. Схема
досліду (три варіанти): варіант №1 - схема посадки 3 х 4 м (контроль); варіант
№2 - 4 х 5 м; варіант №3 - 5 х 5 м. На суходолі з південно-чорноземними
ґрунтами крупномірними саджанцями платана східного була закладена лісосмуга за
зазначеними варіантами, розміщеними в шаховому порядку. Ґрунт в лісосмузі
3-4-кратно культивували упродовж вегетаційного періоду, здійснювали також
осінню оранку.
Ґрунти на дослідних ділянках є середньо еродованими, мають
важко-суглинистй механічний склад, вміст гумусу в орному горизонті 2,2-3,0%,
рухливих форм Р2О5 по Мачигіну 1,5-2,5 мг на 100 г ґрунту, нітрифікаційну
здатність ґрунту по Кравкову складає 0,8-1,0 мг на 100 г ґрунту.
Аналіз інтенсивності росту головних порід (дуба звичайного
пірамідальної форми, дуба каштанолистого, горіха грецького, тополі
пірамідальної) в дворядних лісосмугах, закладених на зрошуваних землях на
досліді №1 показав, що найбільший приріст по висоті мала швидкоростуча тополя
пірамідальна (табл. 1). У 5-літньому віці вона випереджала дуб звичайний
пірамідальної форми по висоті на 187 см (62%), по діаметру - на 3,8 см (152%),
горіх грецький - відповідно на 156-165 см (47-48%); 1,3-1,6 см (2,6-3,4%). З
5-ти до 10-літнього віку в усіх порід спостерігалося зниження приросту за
висотою до 32-42 см і різке збільшення приросту по діаметру до 1,1-1,5 см (за
винятком тополі пірамідальної, в якого він зменшився до 0,9 см). У 14-літньому
віці тополя продовжувала займати лідируюче положення за висотою, випереджаючи
дуб звичайний пірамідальної форми на 222 см (26,5%), горіх грецький на 209-265
см (25,0-31,7%). За діаметром випереджав дуб пірамідальний на 2,3 см (15,3%),
поступаючись горіху грецькому 0,7-1,1 см (4,7-7,3%).
Дуб каштанолистий відставав за усіма таксаційними показниками
в усі представлені періоди зростання, швидше він починав рости після
10-літнього віку. Тополя є найпоширенішою породою на зрошувальних угіддях,
завдяки швидкому зростанню, проте після 10-літнього віку вона починає
суховершинити. Дуб звичайний пірамідальної форми, перспективний як довговічна
порода, здатна формувати ефективні ажурні, продувні конструкції лісосмуг, досі
не має належного поширення через відсутність посадочного матеріалу. Горіх
грецький відрізняється підвищеним накопиченням деревини, проте сильно відстає
за висотою (табл. 11).
Таблиця 11
Показники росту деревних порід в дворядних лісосмугах на
зрошуваних землях
|
Порода, схема
посадки, м
|
Середні показники
росту стовбура (см), залежно від віку дерева
|
|
5 років
|
10 років
|
14 років
|
|
висота
|
приріст за висотою
|
діаметр
|
приріст за
діаметром
|
висота
|
приріст за висотою
|
діаметр
|
приріст за
діаметром
|
висота
|
приріст за висотою
|
діаметр
|
приріст за
діаметром
|
|
Контроль. Тополя
пірамідальна, 3 х 3
|
491
|
98
|
6,3
|
1,3
|
696
|
41
|
10,9
|
0,9
|
835
|
35
|
15,0
|
1,0
|
|
Дуб звичайний
пірамідальної форми, 3 х 3
|
302
|
61
|
2,5
|
0,5
|
514
|
42
|
8,7
|
1,2
|
613
|
25
|
12,7
|
1,0
|
|
Дуб каштанолистий,
3 х 3
|
196
|
40
|
1,5
|
0,3
|
358
|
32
|
6,9
|
1,1
|
507
|
37
|
12,6
|
|
Горіх грецький, 4 х
4
|
335
|
67
|
5,0
|
1,0
|
506
|
34
|
12,5
|
1,5
|
626
|
30
|
15,7
|
0,8
|
|
Горіх грецький, 4 х
6
|
326
|
65
|
4,7
|
0,9
|
482
|
31
|
12,0
|
1,5
|
570
|
22
|
16,1
|
1,0
|
|
|
|
|
|
|
|
|
|
|
|
|
|
|
|
На дослід №2 було встановлено, що у 15-17-літньому віці кращі
показники по висоті і діаметру мав дуб звичайний на варіанті з розміщенням
лунок 3 х 4 м. Висота дерев перевищувала на 48-55 см (8,0-9,5%), діаметр на
3,4-3,8 см (47,2-49,4%) відповідні показники контролю (табл. 12). У цьому віці
дуб відрізнявся порівняно великим приростом по висоті (21-31 см) і по діаметру
(0,3-0,9 см), крім варіанту 3 х 4 в 16-річному віці (0,1 см). Отримані дані
спростували загальноприйняту думку, що дубу характерний повільній ріст. Проте,
встановлено, що він росте повільно лише в перші роки після посіву. Навіть після
досягнення 15-річного віку приріст по висоті був не менше 20 см, відрізнявся
високим збереженням і життєстійкістю.
Таблиця 12
Показники максимального росту дуба звичайного в трирядній
лісосмузі на суходолі залежно від площі живлення
|
Схема посадки, м
|
Середні показники
росту кращих особин дуба за віком, см
|
|
15 років
|
16 років
|
17 років
|
|
висота
|
приріст за висотою
|
діаметр
|
приріст за
діаметром
|
висота
|
приріст за висотою
|
діаметр
|
приріст за
діаметром
|
висота
|
приріст за висотою
|
діаметр
|
приріст за
діаметром
|
|
Контроль 1 х 4
|
551
|
28
|
6,9
|
0,6
|
578
|
27
|
7,2
|
0,3
|
599
|
21
|
7,7
|
0,5
|
|
2 х 4
|
520
|
26
|
7,6
|
0,7
|
551
|
31
|
8,0
|
0,4
|
576
|
25
|
8,9
|
0,9
|
|
3 х 4
|
604
|
26
|
10,5
|
0,7
|
633
|
29
|
10,6
|
0,1
|
647
|
23
|
11,5
|
0,9
|
|
|
|
|
|
|
|
|
|
|
|
|
|
|
Характер росту і розвитку в'яза дрібнолистого в лісосмугах з
різною кількістю рядів оцінювали у віці 3, 8 та 14 років (дослід №3).
Порівняльний аналіз характеру росту і розвитку цього виду показав наступну
динаміку відпаду молодих дерев: порівняно з кількістю саджанців, що збереглись
у 3-літньому віці, до 8-річного віку їх кількість знизилася на 12-14%,
14-річному - на 36-48% (табл. 13). Причому найбільше суховершинних дерев було в
2-х і 3-рядних секціях. Для частини суховершинних особин характерна заміна
головних пагонів бічними гілками. Після 8-річного віку відбувається стрімке
всихання дерев, особливо в посушливі роки. Водночас деякі екземпляри відрізнялися
значною життєздатністю і високими значеннями таксаційних показників.
Таблиця 13
Збереженість в'яза дрібнолистого залежно від його віку
|
Варіант
|
Кількість
екземплярів залежно від віку насадження
|
|
у 3-річному віці
|
у 8-річному віці
|
у 14-річному віці
|
|
сухо-вершин.
|
здорових
|
сухо-вершин.
|
здорових
|
сухо-вершин.
|
здорових
|
|
шт.
|
%
|
шт.
|
%
|
шт.
|
%
|
шт.
|
%
|
шт.
|
%
|
шт.
|
%
|
|
Контроль 2-рядна
|
0
|
0
|
190
|
100
|
23
|
12
|
167
|
88
|
92
|
48
|
98
|
52
|
|
3-рядна
|
0
|
0
|
192
|
100
|
27
|
14
|
165
|
86
|
92
|
48
|
100
|
52
|
|
4-рядна
|
0
|
0
|
192
|
100
|
23
|
12
|
169
|
88
|
70
|
36
|
122
|
64
|
Аналіз росту і розвитку лісосмуг, сформованих з платана
східного, дав змогу виявити, що у 2-3-літньому віці платан східний мав кращі
таксаційні показники на варіантах із схемою посадки 4 х 5 і 5 х 5 м (табл. 14).
Висота дерев перевищувала контроль в 2-літньому віці на 25-26 см (20-21%),
діаметр - на 0,5-0,3 см (31-19%), в 3-річному віці - відповідно на 48-21 см
(30-18%) і 0,5-0,1 см (22-4%), в 4-річному віці платан лідирував на варіанті 4
х 5 м, випереджаючи контроль за висотою на 55 см (21,7%), діаметром - на 0,4 см
(11,1%). Приріст у висоту різко збільшився (до 64-100 см), за діаметром він
зріс до 0,5-0,9 см.
Результати досліду №4 свідчать, що платан східний на
зрошувальному південному чорноземі розвивається нерівномірно у різні періоди
росту (табл. 4). У 3-річному віці платан східний мав кращі таксаційні показники
на контролі, де перевищив відповідні показники на варіантах з розміщенням 5 х 4
і 6 х 4 м за висотою на 9,2-8,6%, за діаметром - на 0,5-0,6 см (12-14%). При
досягненні платаном східним 5-річного віку він лідирував на варіантах з
великими площами живлення 5 х 4 і 6 х 4 м за усіма таксаційними показниками.
Висота і діаметр дерев перевищили відповідні показники контролю відповідно на
10-23 см (2,5-5,7%), 1,2-1,3 см (18,8-20,3%). Пізніше спостерігалося різке
зниження приросту до 42-68 см і в 10-річному віці знову по висоті лідирував
контроль (626 см), лише за діаметром збереглося лідируюче положення варіантів 5
х 4 та 6 х 4 м. Проте, якщо різниця між варіантами за висотою була незначною
(2,7%), то за діаметром - сягала 33,7%. Сталося зниження приростів дерев за
висотою до 38-40 см і за діаметром до 0,8-1,2 см.
Таблиця 14
Показники росту платана східного на зрошувальних землях та на
суходолі залежно від площі живлення
|
Схема посадки, м
|
Середні показники
росту, см
|
|
у 3-річному віці
|
у 5-річному віці
|
у 10-річному віці
|
|
висота
|
приріст за висотою
|
діаметр
|
приріст за
діаметром
|
висота
|
приріст за висотою
|
діаметр
|
приріст за
діаметром
|
висота
|
приріст за висотою
|
діаметр
|
приріст за
діаметром
|
|
Дослід №4.
Показники росту платана східного на зрошувальних землях
|
|
Контроль 2 х 4
|
323
|
80
|
4,3
|
1,4
|
407
|
42
|
6,4
|
1,1
|
626
|
44
|
10,1
|
0,8
|
|
3 х 4
|
311
|
71
|
4,3
|
1,4
|
405
|
47
|
6,9
|
1,3
|
609
|
41
|
11,1
|
0,8
|
|
4 х 4
|
284
|
63
|
3,7
|
1,2
|
388
|
52
|
6,0
|
1,2
|
610
|
44
|
12,4
|
1,3
|
|
5 х 4
|
293
|
60
|
3,8
|
1,3
|
417
|
62
|
7,8
|
1,9
|
617
|
40
|
13,3
|
1,2
|
|
6 х 4
|
295
|
59
|
3,7
|
1,2
|
430
|
68
|
7,7
|
2,0
|
621
|
38
|
13,5
|
1,2
|
|
Дослід №5.
Показники росту платана східного на суходолі
|
|
Контроль 2 х 4
|
237
|
58
|
2,5
|
0,8
|
373
|
68
|
5,0
|
1,3
|
582
|
52
|
8,9
|
1,0
|
|
3 х 4
|
261
|
61
|
2,7
|
0,9
|
194
|
67
|
5,3
|
1,3
|
587
|
48
|
9,8
|
1,1
|
|
4 х 4
|
297
|
58
|
3,6
|
1,2
|
426
|
65
|
6,2
|
1,3
|
591
|
41
|
10,6
|
1,1
|
|
5 х 4
|
278
|
49
|
3,2
|
1,1
|
404
|
63
|
6,3
|
1,6
|
600
|
49
|
12,0
|
1,4
|
В цілому, на дослідних об’єктах спостерігалося поступове
зниження приросту платана східного у висоту і деяке посилення приросту за
діаметром до 5-річного віку, після чого починався його спад. Ця порода
виявилася доволі зимостійкою, лише у 5,6% дерев було пошкоджено річні прирости,
повністю вимерзло 1,1-2,1% рослин.
Дослід № 5 з вирощування ПЗЛН на суходолі з
лугово-чорноземними ґрунтами показав, що кращі таксаційні показники платан
східний мав на варіантах з великими площами живлення 4 х 4 і 5 х 4 м (табл.
14). У цих умовах його висота перевищила контроль в 3-річному віці на 60-41 см
(25-16%), діаметр на 1,1-0,7 м (44-28%) в 5-річному віці - відповідно на 53-31
(14-8%) і 1,2-1,3 см (24-26%), в 9-річному - на 9-18 см (1,5-3,1%) і на 1,7-3,1
см (19,1-34,8%). Причому, у міру збільшення віку різниця за висотою особин, що
мають різну площу живлення, сильно зменшилася як за абсолютними, так і по
відносними показниками. За діаметром була інша картина: до 5-річного віку
різниця знизилася, а з 5- до 9 років, навпаки, - зросла. Максимальний приріст у
висоту спостерігався в 5-річному віці (63-68 см), мінімальний - в 9-річному
(41-52 см). Максимальний приріст за діаметром також спостерігався в 5-річному
віці (1,3-1,6 см), він дещо знизився до 9-ти років (1,0-1,4 см) (табл. 14).
Результати, одержані на досліді № 6, закладеному на суходолі
з південно-чорноземними ґрунтами, свідчать, що у 2-3-літньому віці платан
східний може мати кращі таксаційні показники на варіантах із схемою посадки 4 х
5 і 5 х 5 м (табл. 15). Висота саджанців перевищувала контроль в 2-літньому
віці на 25-26 см (20-21%), діаметр - на 0,5-0,3 см (31-19%), в 3-річному віці -
відповідно на 48-21 см (30-18%) і 0,5-0,1 см (22-4%), в 4-річному віці платан
лідирував на варіанті 4 х 5 м, випереджаючи контроль за висотою на 55 см
(21,7%), діаметром - на 0,4 см (11,1%). Приріст у висоту різко збільшився (до
64-100 см), за діаметром він зріс до 0,5-0,9 см.
Таблиця 15
Показники росту платана східного залежно від площі живлення
на суходолі південних чорноземів
|
Схема посадки, м
|
Середні показники
росту, см
|
|
у 2-річному віці
|
у 3-річному віці
|
у 4-річному віці
|
|
висота
|
приріст за висотою
|
діаметр
|
приріст за
діаметром
|
висота
|
приріст за висотою
|
діаметр
|
приріст за
діаметром
|
висота
|
приріст за висотою
|
діаметр
|
приріст за
діаметром
|
|
Контроль 3 х 5
|
127
|
26
|
1,6
|
0,6
|
160
|
33
|
2,3
|
0,7
|
253
|
93
|
3,2
|
0,9
|
|
4 х 5
|
152
|
39
|
2,1
|
0,8
|
208
|
56
|
2,8
|
0,7
|
308
|
100
|
3,6
|
0,8
|
|
5 х 5
|
153
|
39
|
1,9
|
0,7
|
181
|
28
|
2,4
|
0,5
|
245
|
64
|
2,9
|
Отже, в умовах богарного і зрошуваного землеробства степового
Криму для пошуку шляхів і методів вдосконалення способів створення захисних
лісових насаджень крім належного вибору асортименту деревних порід відповідно
до лісотипологічних засад, необхідно також враховувати особливості формування
деревостанів, залежно від їх цільового призначення та запланованої структури
насадження. Важливе значення має вік і стан саджанців, кількість рядів у
лісосмузі, схеми розміщення посадкових місць в ряду і між рядами, що забезпечує
певну площу живлення дерев. Ефективність розвитку та збереженість лісових
культур істотно залежить від якості агротехнічних прийомів та належного догляду
за культурами.
Для забезпечення швидшого формування деревостанів на
зрошувальних угіддях доцільно використовувати породи, що мають швидкий ріст,
наприклад тополю пірамідальну. Вона випереджає горіх грецький та дуб звичайний
пірамідальної форми за приростом у висоту і по діаметру. Дуб пірамідальний
краще нарощує товщину стовбура, незначно поступаючись горіху грецькому. Горіх
грецький відрізняється доброю здатністю накопичувати деревину, проте сильно
відстає за висотою. Дуб каштанолистий поступається зазначеним видам за усіма
таксаційними показниками.
Завдяки довговічності та здатності формувати ефективні
ажурні, продувні конструкції захисних лісосмуг, перспективною породою є дуб
звичайний пірамідальної форми, він добре зберігається завдяки високій
життєстійкості. Дуб звичайний росте повільно лише в перші роки після посіву, що
потребує своєчасного лісогосподарського догляду. Необхідно забезпечити
вирощування його садивного матеріалу.
Порівняно із зазначеними видами в'яз дрібнолистий має значний
відпад молодих саджанців. Проте заміна головних пагонів бічними гілками
свідчить про його значну життєздатність. Тому ця доволі поширена в
агролісомеліоративних насадженнях порода потребує детальнішого вивчення в
різних екологічних умовах.
Платан східний в умовах кримського степу є доволі
зимостійким, проте росте нерівномірно, поступово знижуючи приріст з віком.
Успішний розвиток дерев сильно залежить від площі живлення. З віком дерева
потребують більшої площі живлення і краще ростуть у висоту, ніж в товщину. На
зрошувальному південному чорноземі платан східний розвивається нерівномірно у
різні періоди росту: у перші роки він на 9-14% краще росте за густого (2 х 4 м)
розміщення; у 5-річному віці він потребує збільшення площ живлення до 4 х 6 м;
у віці 5-10 років можливе зниження приросту; і в 10-річному віці знову
активізується ріст у висоту, проте більш чутливий платан до збільшення площі
живлення приріст за діаметром. На суходолі з лугово-чорноземними і
південно-чорноземними ґрунтами максимальний приріст у висоту платан східний має
при достатньо великих площах живлення (схема розміщення 4х5 м).
Таким чином, позитивний результат агролісомеліорації в
Степному Криму істотно залежить від вдалості підбору деревинно-чагарникових
порід, конструкції насаджень і чіткого дотримання технології догляду:
своєчасного і якісного проведення агротехнічних і лісогосподарських заходів.
Асортимент дерев і чагарників для застосування у захисному лісорозведенні
степового Криму доволі різноманітний, залежно від лісорослинних умов того чи
іншого району, біологічних властивостей порід, а також призначення певного
насадження. Чим жорсткіші умови місцезростання, тим більш виваженим має бути
добір асортименту дерев і чагарників. Для таких умов деревні породи мають бути
з підвищеною посухостійкістю, вирізнятися мінімальною вимогливістю до родючості
ґрунту та давати гарний приріст деревини.
ВИСНОВКИ
. Сучасні науково-методичні положення щодо
еколого-економічної оцінки лісових ресурсів базуються на визначенні
диференціального доходу від використання лісу як засобу виробництва і предмета
праці. Вони спрямовані на вдосконалення основних напрямів і механізмів
підвищення ефективності лісокористування на основі економічних методів
регулювання лісових ресурсів з урахуванням природоохоронних обмежень
діяльності.
. У Буковинських Карпатах і Передкарпатті, Криму,
Центральному Лісостепу, Західному Поліссі лісові ресурси істотно відрізняються
за лісівничо-таксаційними показниками, мають різне функціональне призначення і
зазнають відмінних за характеристикою впливів людської діяльності. Тривале
орієнтування пріоритетів лісового господарства на економічні інтереси
спричинило в усіх досліджуваних регіонах певну трансформацію лісового покриву,
більше половини природних лісів замінено на монокультури, що призвело до
збіднення біотичного і ландшафтного різноманіття. Усе це призводить до зниження
загальної продуктивності і біологічної стійкості лісових екосистем, їхньої
екологічної ролі у ландшафтах.
. У Буковинських Карпатах внаслідок тривалого і надмірного
пасовищного та господарського навантаження верхня межа лісу знизилась на
200-300 м. У приполонинній смузі верхнього поясу гір лісові фітоценози істотно
деградовані. Інтенсивного лісокористування без належного врахування гірських
умов дещо погіршило структуру лісів. Порушення рослинного покриву на схилах
спричинило активізацію ерозійних процесів і руйнацію екосистем водозборів,
порушення стабільності розвитку водозбірних басейнів, трансформацію території.
. В наш час, після певного занепаду в період економічної
кризи 90-х років ХХ ст. лукопасовищного господарства, Буковинських Карпатах і
Передкарпатті відбувається добре природне поновлення головних лісоутворювальних
порід на луках, що прилягають до лісових масивів. Це дає змогу
лісогосподарським підприємствам у вологих смеречниках та вологих ялицевих
смеречниках ефективніше використовувати природне лісовідновлення замість
лісокультурного методу, що є більш затратним і збіднює біорізноманіття лісів.
Сприяння природному поновленню прискорить природне залісення деградованих луків
та полонин Буковинських Карпат і Передкарпаття.
. Двоприйомні рівномірно-поступові рубки є оптимальним
варіантом поступових рубок головного користування для змішаних
смереково-ялицево-букових деревостанів Буковинських Карпат та Передкарпаття. На
лісосіках менше порушується технікою ґрунт та лісова підстилка, що зменшує,
порівняно з суцільнолісосічними рубками, їх негативний вплив на водоохоронні та
ґрунтозахисні властивості лісу. Ці рубки дають змогу виростити надійний молодий
ліс завдяки збереженню самосіву голових лісоутворюючих порід. Кращі результати
і скорочений термін між прийомами рубки отримуємо тоді, коли перший прийом
співпадає з урожайним роком. Штучне залісення необхідне тільки на кам’янистих
розсипах та майданчиках складування деревини.
. У свіжих і вологих гігротопах буково-ялицево-смерекових та
буково-ялицевих насаджень Буковинських Карпат та Передкарпаття найефективніше
застосувати при здійсненні рівномірно-поступових рубань трелювальні трактори зі
спеціальними ланцюгами на ведучих колесах, що рихлять дернину і ґрунт лісосік.
Забезпечується повноцінне відновлення головних лісоутворювальних порід,
збереження корінних типів лісу, гармонійне поєднання екологічних, економічних
вимог щодо лісоексплуатації і лісовідновлення, створення сприятливих умов для
отримання і формування надійного молодого покоління лісу природного походження.
. Внаслідок надмірного рекреаційного навантаження порушується
цілісність природних комплексів, спостерігається збіднення біорізноманіття
лісових екосистем. На прикладі НПП «Холодний Яр», який є біоцентром екомережі
Центрального Придніпров’я, має значну історичну цінність як територія
зародження визвольної боротьби українського народу (Коліївщина, 1768 р.),
виявлено, що найбільшого рекреаційного навантаження зазнають лісові екосистеми
з цікавими для рекреантів історичними і природними об’єктами, які недостатньо
обладнані належною інфраструктурою: дорогами, оглядовими площадками,
пікніковими майданчиками тощо.
. В результаті недостатньо врегульованої рекреаційної
діяльності пошкоджуються всі структурно-функціональні компоненти дубових
насаджень «Скверу учасників партизанського руху» проектованого НПП «Холодний
Яр». Це проявляється в: механічних пошкодженнях дерев, витоптуванні трав’яного
покриву, лісової підстилки і поверхневого шару ґрунту, задернінні його злаками
та бур’янами, витісненні лісових трав’яних видів. В зоні середнього і особливо
інтенсивного впливу рекреації лісові екосистеми поступово деградують і
трансформуються. З наближенням до необлаштованих пікнікових майданчиків
зріджується пошкоджений деревостан, що спричиняє активізацію розвитку підросту
і особливо підліску.
. У НПП «Холодний Яр» внаслідок інтенсивного рекреаційного
впливу в умовах свіжої грабової діброви погіршуються лісівничо-таксаційні
показники деревостану, здорових дерев у насадженні лише 23%, решта - різною
мірою ослаблені, у т.ч. 8,5% - сильно ослаблені. Тоді як, у зонах помірного і
середнього впливу частка дерев І категорії стану складає більше третини. У зоні
інтенсивного рекреаційного використання НПП сформувались густа мережа стежок
(22% площі), доріг з розмивами і наносами (78% площі).
. Рекреаційне навантаження впливає на таксономічну структуру
і кількісний склад трав’яного покриву через пряме механічне пошкодження і
деградацію поверхневого шару ґрунту. В зоні інтенсивного впливу загальне
проективне покриття ґрунту не перевищує 15%. У міру наближення до пікнікових
майданчиків і доріг збільшується витіснення сильвантів (V. mirabilis, Geránium
sylváticum L., Lamium maculatum L. тощо) рудерантами та степантами (I. parviflora, G.
aparine тощо), наслідком чого є задерніння ґрунту.
. В умовах Полісся торфові болота є екосистеми з унікальним
біорізноманіттям, вони мають фітоісторичне, ботаніко-географічне значення,
виконують водорегулюючу функцію. Водночас, як найуразливіший тип водно-болотних
угідь, в сучасних умовах торфові болота перебувають під загрозою деградації.
Антропогенна діяльність призвела до порушення динамічної рівноваги в
водно-болотних екосистемах, трансформації структури та порушення зв’язків між
їх основними компонентами, що зумовлено низькою стійкістю таких екосистем до різких
коливань природних умов, їх генезисом і ландшафтним розподілом.
. Одним із характерних проявів антропогенної трансформації
природних умов та лісових ресурсів Західного Полісся є наслідки осушувальної
меліорації, яка в районі занедбаних мереж осушувальних каналів у наш час
призвела до підтоплення. На прикладі ландшафтний заказник місцевого значення
«Градіївський» (Маневицький район, Волинська область) виявлено, що це призвело
до вторинного заболочення, порушення гідрологічного режиму суміжних територій, деградації
соснових насаджень, лучних і торфових фітоценозів.
. Дерева в соснових деревостанах заказника «Градіївський»
тією чи іншою мірою всихають дерева, що зумовлено комплексним впливом двох груп
негативних біотичних і абіотичних факторів. Перша група - фактори, які
зумовлюють послаблення дерев і депресію їх росту: антропогенне порушення
гідрологічних умов, яке спричиняє розвиток в ослаблених насадженнях первинних
шкідників і хвороб. Друга група - фактори, які прискорюють всихання дерев,
розладнання деревостанів, фітоценозів і деградацію екосистеми (несвоєчасний
захист лісу; переважно вторинні стовбурові шкідники, хвороби).
. Внаслідок осушення торфовища болотні фітоценози заказнику
«Градіївський» трансформувалися на злаково/різнотравні та злакові, збільшується
частка мезофільних видів рослин та відбувається сининтропізація. Внаслідок
осушення території відбувається постантропогенна зміна природного напряму
сукцесії болотних фітоценозів Полісся - зміна екосистеми торф’яного болота на
екосистему «соснове насадження».
. Іншим деградаційним чинником на осушених торфовищах Малого
Полісся є затяжні пожежі, які частіше виникають в посушливі роки. На прикладі
осушувально-зволожувальної системи «Суйми» (Здолбунівський р-н Рівненської
обл.) виявлено такі наслідки пожеж на торфовищах. Порушуються морфологічні та
фізико-хімічні властивості ґрунту: змінюється будова і щільність ґрунтового
профілю, загальна пористості, вологоємності тощо; майже повністю згорає
органогенний горизонт, потужність якого знижується з 150-200 до 20 см.
. Хімічні властивості поверхневих вод порушуються внаслідок
пірогенної мінералізації торфу, що призводить до вилуговування розчинених
речовин атмосферними опадами з ґрунту та надходження їх в річкові води.
Змінюється хімічний склад води: значно зростає концентрація SO42, Cl-, особливо
PO43- та NO3-. Це може призводити до евтрофікаціі водних об'єктів та різкого
зниження якості річкових вод. Загалом, збільшення вмісту іонів SO42-, Cl-,
NO3-, PO43- стало причиною зростання мінералізації, яка перевищила 0,52 г/дм3,
тобто вода стала солонуватою. Концентрація Na +, K+, Ca 2+ , Mg 2+ порівняно з
показниками 2010 р. навпаки зменшилася.
. Після пожеж відбуваються кардинальні зміни в структурі
рослинного покриву пірогенних утворень, що потребують додаткових багаторічних
досліджень. У місцях, де внаслідок пірогенної деградації залишкова потужність
торфу дуже мала, а ґрунтові води протягом року перебувають близько до поверхні,
через 7-10 років трав’янисту рослинність змінять чагарники.
18. Одним із масштабних негативних чинників для природних екосистем є
надмірна в Україні розораність території. Ця проблема є особливо актуальною для
степової зони Криму, оскільки за відсутності деревної рослинності, вона зазнає
сильного і негативного впливу вітрів, суховіїв, що спричиняють низку негараздів
в агроландшафтах. Для захисту ґрунтів від вітрової і водної ерозії, підвищення
врожайності сільськогосподарських культур одними із ефективних напрямів
діяльності є агролісомеліорація.
. На прикладі території степового Криму розроблено напрями вдосконалення
способів створення полезахисних лісових насаджень в умовах богарного і
зрошуваного землеробства з урахуванням особливостей, зумовлених вибором деревної
породи, характеристики її саджанців та умов вирощування дерев. Встановлено, що
крім належного вибору асортименту деревних порід відповідно до лісотипологічних
засад, необхідно також враховувати особливості формування деревостанів, залежно
від їх цільового призначення та запланованої структури насадження. Важливе
значення має вік і стан саджанців, кількість рядів у лісосмузі, схеми
розміщення посадкових місць в ряду і між рядами, що забезпечує певну площу
живлення дерев. Ефективність розвитку та збереженість лісових культур істотно
залежить від якості агротехнічних прийомів та належного догляду за культурами.
. Для забезпечення швидшого формування деревостанів на
зрошувальних угіддях доцільно використовувати породи, що мають швидкий ріст,
наприклад тополю пірамідальну, яка випереджає горіх грецький та дуб звичайний
пірамідальної форми за приростом у висоту і по діаметру. Дуб пірамідальний
краще нарощує товщину стовбура, незначно поступаючись горіху грецькому. Горіх
грецький відрізняється доброю здатністю накопичувати деревину, проте сильно
відстає за висотою. Дуб каштанолистий поступається зазначеним видам за усіма
таксаційними показниками.
. Завдяки довговічності та здатності формувати ефективні
ажурні, продувні конструкції захисних лісосмуг, перспективною породою є дуб
звичайний пірамідальної форми, він добре зберігається завдяки високій
життєстійкості. Дуб звичайний росте повільно лише в перші роки після посіву, що
потребує своєчасного лісогосподарського догляду. Необхідно забезпечити
вирощування його садивного матеріалу. Порівняно із зазначеними видами в'яз
дрібнолистий має значний відпад молодих саджанців, проте він є дуже
життєздатним. Платан східний в умовах кримського степу є доволі зимостійким,
проте росте нерівномірно, поступово знижуючи приріст з віком. Порода потребує
збільшення площі живлення.
22. Таким чином, в Степному Криму слід дотримуватися такого
принципу: чим жорсткіші умови місцезростання, тим більш виваженим має бути
добір асортименту дерев і чагарників. Для таких умов деревні породи мають бути
з підвищеною посухостійкістю, вирізнятися мінімальною вимогливістю до родючості
ґрунту та давати гарний приріст деревини.
23. Загалом, основним напрямом впровадження норм
інтегрованого управління лісовими ресурсами є переорієнтація розвитку
лісогосподарського комплексу на засади біосферно орієнтованого, екосистемного
за суттю сталого лісокористування, враховуючи особливості кожного з
досліджувальних регіонів. Лісові ресурси суспільство має використовувати
відповідно до їх функціонального призначення. Крім експлуатаційних лісів,
пріоритетною є їх екологічна роль, особливо в районах з потенційними
еколого-економічними загрозами та з об’єктами і територіями
природно-заповідного фонду.
СПИСОК ВИКОРИСТАНИХ ДЖЕРЕЛ
1. Адамень
Ф.Ф. Агроэкологические особенности аграрного производства в Крыму / Ф.Ф.
Адамень, В.С. Паштецкий, А.В. Сидоренко. - Клепинино, 2011. - 104 с.
2. Алекин
О. А. Основы гидрохимии. - Л.: Гидрометеоиздат, 1970. - 440 с.
. Анучин
П.П. Лесная таксация / П.П. Анучин - М.: Лесн. пром.-сть, 1982. - 547 с.
. Бащенко
М.І. Екологічна мережа Центрального Придніпров’я / М.І. Бащенко, О.Ф. Гончар,
В.В. Лавров, С.І.Дерій: Монографія. - К.: Центр екологічної освіти та
інформації, 2009. - 386 с.
. Брадіс
Е.М. Торфово-болотний фонд УРСР, його районування та використання / Е. М.
Брадіс. - К. : Наук. думка, 1973. - 263 с.
. Большаков
Н.М. Методологические основы формирования рентных платежей в лесопользовании /
Н.М. Большаков // Лесной журнал : Известия ВУЗов России. - 2001. - № 2. - С.
127-131.
. Врублевська
О.В. Вплив взаємодії ринків на формування економічної вартості об'єктів природокористування
/ О.В. Врублевська // Науковий вісник НЛТУ України : зб. наук.-техн. праць. -
Львів : РВВ НЛТУ України. - 2005. - Вип. 15.6. - С. 296-301.
. Врублевська
О.В. Лісова рента: вилучення й розподіл / О.В. Врублевська // Науковий вісник
НЛТУ України : зб. наук.-техн. праць. - Львів : РВВ НЛТУ України. - 2007. -
Вип. 17.2. - С. 11-17.
. Врублевська
О.В. Економічне оцінювання функції депонування вуглецю лісовими екосистемами /
О.В. Врублевська, О.П. Павліщук // Науковий вісник НАУ : зб. наук. праць. -
Сер.: Лісівництво. Декоративне садівництво. - К. : Вид-во НАУ. - 2008. - Вип.
122. - С. 108-116.
. Гаськевич
В.Г., Нецик М.В. Пірогенна деградація ґрунтів Малого Полісся:
ґрунтово-екологічні та соціально-економічні аспекти // Вісн. Львів. ун-ту. -
Сер. геогр., 2008. - Вип. 35. - С. 49-57.
. Голуб
А.А. Экономика природных ресурсов / А.А. Голуб, Е.Б. Струкова. - М. : Изд-во
"Аспект Пресс", 1998. - 319 с.
. Голубець
М.А. Концептуальні засади сталого розвитку гірського регіону / М.А. Голубець. -
Львів: Поллі, 2007. - 288 с.
13. Гродзинський
М.Д. Основи ландшафтної екології / М.Д. Гродзинський. - К.: Либідь, 1993. - 224 с.
. Елпатьевский
П.В. Химический состав снеговых вод и его изменение техногенными факторами //
Геохимия зоны гипергенеза и техническая деятельность человека. - Владивосток:
Изд-во ДВНЦ АН СССР, 1976. - С. 48-56.
. Зайдельман
Ф.Р., Шваров А.П. Пирогенная и гидротермическая деградация торфяных почв, их
агроэкология, песчаные культуры земледелия, рекультивація / Ф.Р. Зайдельман. -
М.: Изд-во Моск. ун-та, 2002. - 168 с.
. Зайдельман
Ф.Р., Морозова Д.И., Шваров А.П., Батрак М.В. Растительность и почвообразование
на пирогенных субстратах торфяных почв // Почвоведение, 2006. - № 1. - С.
19-28.
. Коваль
Я.В. Економічна (грошова) оцінка природних ресурсів лісового фонду України:
теорія, методологія, практика / Я.В. Коваль, І.Я. Антоненко. - К. : РВПС
України НАН України, 2004. - 163 с.
. Концепція
збереження біологічного різноманіття України / Затв. Постановою КМУ № 439 від
12.05.1997 р. - К., 1997. - 28 с.
. Кульчицький-Жигайло
І.Є. Зміна лісистості малих водозборів Українських Карпат рубками головного
користування / І.Є. Кульчицький-Жигайло // Тези доп. респ. н.-т. конф. “Система
ведення лісового господарства в гірських умовах Карпат”. - Івано-Франківськ,
1990. - С. 91-92.
. Климин
М.А. Генезис торфяных отложений Нижнего Приамурья // Геохимические и
эколого-биогеохимические исследования в Приамурье. - Владивосток: Дальнаука,
2000. - С. 170-179.
. Лавров
В.В. Системний підхід як методологічна основа для оцінки і зменшення загроз
біорізноманіттю (лісові екосистеми) / В.В. Лавров // Оцінка і напрямки
зменшення загроз біорізноманіттю України / [О.В. Дудкін, А.В. Єна, М.М. Коржнєв
та ін.]; відп. ред. О.В. Дудкін. - К.: Хімджест, 2003. - С. 156-272.
. Лазарев
А.С. Финансовые проблемы в управлении лесным хозяйством / А.С. Лазарев //
Лесное хозяйство : журнал. - 1996. - № 4. - С. 22-24.
. Лакида
П.І. Фітомаса лісів України / П.І. Лакида. - Тернопіль : Вид-во
"Збруч", 2001. - 256 с.
. Логгинов
Б.И. Основы полезащитного лесоразведения. - К.: Изд-во УАСХН, 1961. - 352 с.
. Лісове
господарство України / К.: Держлісагентство України, 2011. - 24 с.
. Лесная
энциклопедия: В 2-х т., т.2/Гл.ред. Воробьев Г.И.; Ред.кол.: Анучин Н.А.,
Атрохин В.Г., Виноградов В.Н. и др. - М.: Сов. энциклопедия, 1986.-631 с
. Міщенко
В.С. Концепція платного природокористування в Україні / В.С. Міщенко //
Економіка України : політико-економічний журнал. - 1999. - № 7. - С. 68-73.
. Національний
план дій з охорони навколишнього природного середовища на 2011-2015 роки /
Розпорядження Кабінету Міністрів України від 25 травня 2011 р. № 577-р. - 12 с.
. Павліщук
О.П. Теоретико-методологічні засади економічної оцінки вуглецедепонуючої
функції лісів / О.П. Павліщук, П.Б. Попович // Науковий вісник НУБіП України :
зб. наук. праць. - Сер.: Лісівництво та декоративне садівництво. - К. : Вид-во
НУБіП України, 2010. - Вип. 152. - Ч. 2. - С. 39-48.
. Панкратова
Н.Н. Лесной рентный доход: проблемы формирования и распределения (на примере
Хабаровского края) / Н.Н. Панкратова // Лесное хозяйство : журнал. - 2001. - №
1. - С. 23-26.
. Парпан
В.І. Основні принципи сучасної парадигми гірського лісознавства та лісівництва
Українських Карпат / В.І. Парпан, Т.В. Парпан // Лісівництво і
агролісомеліорація. - Харків, 2008. - Вип. 114. - С. 7-12.
. Паштецький
В.С. Технологічні пріоритети раціонального природокористування а
агроформуваннях Криму / В.С. Паштецький // Таврійський науковий вісник. - Вип.
62. - Херсон: ТОВ «Айлант», 2009. - С. 221-223.
. Паштецький
В.С. Методологічні аспекти дослідження раціонального землекористування
агросфери / В.С. Паштецький // АгроІнКом. - 2011. - №1-3. - С. 85-88.
. Починков
С.В. Еще о лесном доходе / С.В. Починков // Лесной бюллетень. - 2005. - №
21-22. - С. 5.
35. <http://www.europeanclimateexchange.com/default_flash.asp>..
. Проблеми
вивчення та охорони біорізноманіття Карпат і прилеглих територій: матеріали
міжнар. наук. конф., Івано-Франківськ, 2007 р. / Ред.: В.І. Парпан; Вісн.
Прикарп. нац. ун-ту ім. В.Стефаника. Сер. Біологія. Вип. 7-8. -
Івано-Франківськ: Гостинець, 2007. - 290 с.
. Плугатар
Ю.В. Екологічні основи збалансованого використання ресурсів лісових екосистем
Криму / Ю.В. Плугатар. Автореф. дис. … док. с.-г. наук: спец. 03.00.16
“Екологія”; 24.03.2011 / Інститут агроекології і економіки природокористування
НААН України. - К., 2011. - 44 с.
. Поляков А.Ф.
Полезащитные лесные полосы в степях Крыма / А.Ф. Поляков, Ю.В. Плугатарь //
Научное обоснование основных направлений развития агропромышленного комплекса
Крыма в условиях рыночного производства. - Симферополь: Таврия, 2005. - С.
281-287.
. Поляков А.Ф.
Лесные формации Крыма и их экологическая роль / А.Ф. Поляков, Ю.В. Плугатарь. -
Харьков: Новое слово, 2009. - 405 с.
. Оптимізація
систем захисних лісових насаджень степового Криму (Методичні рекомендації) /
Автори: О.І. Фурдичко, Ю.В. Плугатар,
В.С. Паштецький, А.П. Стадник, В.В. Лавров, О.І. Блінкова. - К.: ДІА, 2011. -
40 с.
. Основні
засади (стратегія) державної екологічної політики України на період до 2020
року // Відомості Верховної Ради України, 2011, № 26. - С. 218-234.
. Рентні
відносини в системі модернізації національного господарства / за ред. Б.М.
Данилишана. - К. : РВПС України НАН України, 2007. - 518 с.
. Стадник А.П.
Концептуальні основи розвитку лісових меліорацій для оптимізації природних
ландшафтів в Україні / А.П. Стадник // Лісівництво і агролісомеліорація. -
Харків: РВП “Оригінал”. - 2000. - Вип. 97. - С. 10-16.
. Стадник А.П.
Ландшафтно-екологічна оптимізація систем захисних лісових насаджень України /
А.П. Стадник. Автореф. дис. … д-ра с.-г. наук: спец. 03.00.16 “Екологія”;
12.03.2008 / Інститут агроекології і економіки природокористування НААН
України. - К.: ІА УААН, 2008. - 45 с.
. Стадник А.П.
Про стан та подальшу розробку наукових основ складових оптимізованої системи
захисних лісових насаджень агроландшафтів України / А.П. Стадник // Лісівництво
і агролісомеліорація. - Харків, 2005. - Вип. 108. - С.168-177.
. Стойко С.М.
Еколого-економічні принципи оптимізації трансформованих лісів України на
засадах системи наближеного до природного лісівництва / С.М. Стойко // Наук.
вісник НЛТУУ: Зб. наук.-техн. праць. - Львів: НЛТУУ, 2005. - Вип. 15.6.
Екологізація економіки як інструмент сталого розвитку в умовах конкурентного
середовища. - С. 165-169.
. Стратегія
виконання Рамкової конвенції про охорону та сталий розвиток Карпат /
Розпорядження Кабінету Міністрів України від 16 січня 2007 р. № 11-р. - 14 с.
. Солодкий
В.Д. Екосистемний підхід у лісокористуванні / В.Д. Солодкий. - Чернівці: Зелена
Буковина, 2003. - 56 с.
. Термена Б.К.
Лісознавство з основами лісівництва / Б.К. Термена. - Чернівці: Книги ХХІ,
2005. - 160 с.
. Фурдичко
О.І. Реалізація стратегії Карпатської конвенції в Українських Карпатах:
науково-методологічні та еколого-біологічні аспекти / О.І. Фурдичко, В.Д.
Солодкий. Монографія. - Чернівці: Зелена Буковина, 2011. - 536 с.
. Фурдичко
О.І. Програма сталого розвитку Буковини / О.І. Фурдичко, В.В. Лавров, В.Д.
Солодкий // Агроекологічний журнал. - К., 2007. - № 2. - С. 16-24.
. Фурдичко
О.І. Ліс у Степу: основи сталого розвитку / О.І. Фурдичко, Г.Б. Гладун, В.В.
Лавров; за наук. ред. акад. УААН О.І. Фурдичка. - К.: Основа, 2006. - 496 с.
. Хвесик М.А.
Економічна оцінка природних ресурсів: основні методологічні підходи / М.А.
Хвесик, Н.В. Збагерська. - Рівне : Вид-во РДТУ, 2000. - 194 с.
. Холявка В.З.
Коренева плата за деревину: інструмент лісової політики і екологізації лісового
сектора економіки : монографія / В.З. Холявка. - Львів : ЛА
"Піраміда", 2005. - 240 с.
. Чупров Н.П.
К теории и практике экономический оценки и установления платежей за лесные
ресурсы и лесные земли / Н.П. Чупров // Лесное хозяйство : журнал. - 2007. - №
4. - С. 10-11.
. Швиденко
А.Й. Ліси та лісівництво в Україні / А.Й. Швиденко. - Чернівці: «Рута», 2002. -
26 с.
. Швиденко
А.З. Прогноз стану українських лісів та лісокористування на наступне сторіччя /
А.З. Швиденко, С. Нільсон // Наук. вісник: Лісівницькі дослідження в Україні. -
Львів: УкрДЛТУ, 1996. - Вип. 5. - С. 222-227.
. Шестеркин
В.П., Шестеркина Н.М., Форина Ю.А. О влиянии торфяных пожаров на химический
состав снежного покрова // Биогеохимические и экологические исследования
наземных и водных экосистем. - Владивосток: Дальнаука, 2006. - Вып. 16. - С.
204-209.
. Чернявський
М.В. Наближене до природи лісівництво в Українських Карпатах / М.В.
Чернявський, Р. Швіттерб, Р.В. Ковалишин та ін.: за ред. М.В. Чернявського. -
Львів: ЛА "Піраміда", 2006. - 88 с.
. http://www.neia.gov.ua.
. Emission
Futures: Prices and trading volumes.
. Johnson W.C.
The ratio of total to merchantable forest biomass and its application to the
global carbon budget / W.C. Johnson, D.M. Sharpe // Can. J. For. Res. - 1983. -
Vol. 13. - P. 372-383.
. United
Nations Framework Convention on Climate Change (UNFCCC). [Electronic resource].
- Mode of access http://www.unfccc.int
. Carbon
market overview. [Electronic resource]. - Mode of access
http://www.pointcarbon.com//productsandservices/carbon.
. State and
Trends of the Carbon Market 2009. - The World Bank. - 2009. - 74 p.
. State and
Trends of the Carbon Market 2010. - Carbon finance at The World Bank. - 2010. -
78 p.
. Spenser C.
N., Gabel K. O., Hauer F. R. Wild re effects on stream food webs and nutrient
dynamics in Glacier National Park, USA // Forest Ecol. and Manag. - 2003. -
Vol. 178, № 1-2. - Р. 141-153.