Экономическая деятельность Лиственского месторождения ОАО 'Удмуртнефть'
Введение
Лиственское месторождения имеет
сложную геологическую структуру. Башкирско-верейский объект имеет вязкие нефти.
В настоящий момент запасы в центральных частях купольных залежей
Башкирско-верейского объекта остаются невыработанными. В данной курсовой работе
с целью довыработки запасов предлагается технологию одновременно-раздельной
эксплуатации в скважинах Башкирско-верейского объекта Лиственского
месторождения и провести анализ по сравнению экономического эффекта от ввода
ОРЭ в эксплуатацию.
Целями данной курсовой работы
являются:
краткое экономическая характеристика
ОАО ”УдмуртНефть”;
краткое описание Лиственского
месторождения;
сравнение показателей по добыче
жидкости, нефти и воды:
а) без ОРЭ;
б) с применением ОРЭ
сравнение расчетных показателей;
оценка экономической эффективности
ввода ОРЭ;
анализ произведенных расчетов.
1. Общая характеристика предприятия
.1 Общие сведения о предприятии ОАО
«Удмуртнефть»
Краткие данные
Открытое акционерное общество
«Удмуртнефть» - лидер топливно-энергетического комплекса Удмуртской Республики.
Предприятие создано в 1967 году.
Основной вид деятельности:
геологоразведка, разработка и эксплуатация месторождений углеводородов.
ОАО «Удмуртнефть» ведет разработку
24 нефтяных месторождений, расположенных на территории 12 районов республики,
имеет 56 лицензий на добычу нефти и растворенного газа.
За весь период производственной
деятельности из недр извлечено свыше 250 миллионов тонн нефти.
Годовой объем добычи в 6 миллионов
тонн составляет почти 60 процентов от общего объема добычи нефти в Удмуртской
Республике.
В эксплуатационном фонде находится
4063 скважины.
Общая протяженность промысловых
трубопроводов составляет 4649 км, из них 2849 км - нефтепроводы.
В состав «Удмуртнефти» входят 5
нефтегазодобывающих управлений - НГДУ «Игра», «Воткинск», «Киенгоп», «Гремиха»,
«Сарапул».
Стратегия
Стратегической задачей ОАО
«Удмуртнефть» на ближайшие годы является дальнейший рост добычи нефти.
Потенциал для этого у предприятия есть. В 2007 году предприятие преодолело
планку в 6 млн тонн нефти. С вхождением «Удмуртнефти» в состав ОАО «НК
«Роснефть» предприятию удалось не только стабилизировать добычу нефти на своих
месторождениях, большинство из которых находится в поздней стадии разработки,
но и добиться увеличения объемов добычи сырья. В 2010 году на предприятии
добыта 250-миллионная тонна нефти. Перспективы своего дальнейшего развития «Удмуртнефть»
напрямую связывает со значительным увеличением объемов капвложений,
произошедшим с вхождения предприятия в состав нефтяной компании
"Роснефть" - всего более 4 млрд рублей. Дополнительные инвестиции
направлены на бурение новых скважин, на строительство и реконструкцию объектов
инфраструктуры, на геологоразведочные работы. Важным направлением в
стратегических планах ОАО «Удмуртнефть» является активная разработка нового
Карсовайского месторождения, лицензионные права на которое приобретены в 2006
году. В мае 2007 года на месторождении началось бурение новых скважин.
Карсовайская нефть уже пополняет общую копилку удмуртской нефти. В 2010 году
завершено строительство объектов напорного нефтепровода протяженностью 36,5 км
и дожимной насосной станции. Стратегические планы «Удмуртнефти» на долгосрочную
перспективу предусматривают работу по нескольким ключевым направлениям. Это
стабилизация и увеличение объемов добычи нефти, интенсификация геологоразведки,
постоянный рост эффективности управления, наращивание сырьевой базы,
экологическая и промышленная безопасность и высокая социальная ответственность.
Акционерное общество «Удмуртнефть» обладает сегодня значительной сырьевой
базой, современными производственными мощностями, высококвалифицированными кадрами,
уникальным опытом разработки нефтяных месторождений с трудноизвлекаемыми
запасами.
.2 Состав и структура предприятия
Основной хозяйственно- экономической
деятельностью ОАО "Удмуртнефть" является добыча и реализация нефти.
За 9 Месяцев 2010 года реализация
нефти в стоимостном выражении без налогов составила 34 776 626 тыс. рублей, что
на 3 103 910 тыс. рублей (или на 9,8 %) больше по сравнению с соответствующим
периодом прошлого года. Доля выручки от реализации нефти в общей выручке
предприятия от реализации продукции и услуг составила 98,5 %, что соответствует
уровню соответствующего периода прошлого года.
Нефтегазодобывающее объединение
«Удмуртнефть» и в его составе Игринское и Воткинское нефтегазодобывающие
управления было создано 16 апреля 1973 год приказом Министерства нефтяной
промышленности на базе управления «Удмуртнефть».
Конечной целью создания «Удмурнефти»
явилось повышение эффективности экономической системы государства и переход от
плановой экономики к рыночным отношениям.
В период с 1998 по 2003 годы
проведена значительная реструктуризация и укрупнение подразделений и отдельных
служб, входящих в ОАО. В частности, из состава «Удмуртнефть» выведены в
общества с ограниченной ответственностью (ООО) и закрытые акционерные общества
(ЗАО) такие смежные подразделения, как «Удмуртнефть-бурение», «Капитальный ремонт скважин»,
«Удмуртнефтестрой», «Специальный технологический транспорт»,
«Удмуртэнергонефть», «Механик», «Нефтетрубопроводсервис» и т.д.
Дочерние и зависимые хозяйственные
общества эмитента.
ЗАО «Капитальный ремонт скважин»
ООО «РН-Сервис»
ЗАО "Удмуртнефть-Бурение"
ЗАО "ИННЦ"
ООО "Механик"
ООО «Удмуртнефть-Снабжение»
ООО "НБС"
ООО
"Нефтетрубопроводсервис"
ООО "СпецТехТранс"
ООО "Удмуртэнергонефть"
.3 Общие показатели деятельности
предприятия
Накопленная добыча нефти в компании
на 01.01.2010 г. составила 252 млн.тн или 58,36% от НИЗ. Годовой уровень добычи
нефти 6 398 тыс.тн составляет 1,48% от начальных извлекаемых запасов.
В 2010 году ОАО «Удмуртнефть»
разрабатывает 24 месторождения. Последнее крупное месторождение, введенное в
эксплуатацию - Карсовайское месторождение с начальными извлекаемыми запасами по
категории С1 - 9 340 тыс.т. и С2 - 9 429 тыс.т.
ОАО «Удмуртнефть» по праву считается
лидером топливно-энергетического комплекса Удмуртской республики. На его долю
приходится 61,8% от общего объема добычи нефти в Удмуртии.
За счет проведения серии успешных
проектов ГТМ и возросших объемов бурения новых скважин и ЗБС, а так же
эффективности данного бурения в течение последних лет ОАО «Удмуртнефть» удалось
выйти на ежегодный уровень добычи, превышающий 6 млн. тонн. Тенденция роста
добычи нефти показана ниже
Объемы добычи нефти по ОАО
«Удмуртнефть» (2006-2010 гг.)
Основные месторождения,
разрабатываемые Обществом, характеризуются значительной выработкой запасов и
высокой обводненностью добываемого сырья (например, средняя обводненность
скважин Киенгопского метосрождения составляет 97-98%). Основная доля запасов
нефти ОАО «Удмуртнефть» относится к категории трудноизвлекаемых. В связи с этим
возникает необходимость активного применения новых технологий по увеличению
нефтеотдачи пластов (тепловые методы, кислотные обработки, ГРП), методов
горизонтального бурения, испытания и внедрения современного нефтепромыслового
оборудования.
Общие показатели деятельности
компании показаны в таблице 1.
Таблица1
Общие показатели деятельности ОАО
«Удмуртнефть» за 2007 год
|
Показатели
|
Ед.изм.
|
2006 г. факт
|
2007
|
отклонение
|
|
|
|
бизнес- план
|
факт
|
к плану
|
к 2006 г.
|
|
1. Добыча нефти
|
т.тн
|
5970,412
|
6104,918
|
6145,310
|
40,392
|
174,898
|
|
2. Ввод скважин из бурения
|
скв.
|
13
|
28
|
28
|
0
|
15
|
|
3. Количество выполненных ремонтов, всего
|
рем.
|
3934
|
4122
|
3957
|
-165
|
23
|
|
-ТРС
|
рем.
|
2532
|
2440
|
2342
|
-98
|
-190
|
|
-КРС
|
рем.
|
1402
|
1682
|
1615
|
-67
|
-213
|
|
4.Выполнение ГТМ
|
|
|
|
|
|
|
|
-количество (по добывающим скважинам)
|
шт.
|
1018
|
1092
|
1077
|
-15
|
59
|
|
-эффективность
|
тыс.т
|
509,371
|
641,356
|
676,879
|
35,541
|
167,508
|
|
в том числе ГРП
|
|
|
|
|
|
|
|
-количество по (добывающим скважинам)
|
шт.
|
12
|
45
|
52
|
7
|
40
|
|
-эффективность
|
тыс.тн
|
20,407
|
133,286
|
131,943
|
-1,343
|
111,536
|
|
5.Эксплуатационный фонд скважин на конец года
|
скв.
|
3983
|
3968
|
4004
|
36
|
21
|
|
6. Бурение
|
т.м.
|
18,854
|
47,284
|
49,346
|
2,062
|
30,492
|
|
в т.ч. эксплуатационное
|
т.м.
|
18,854
|
47,284
|
49,346
|
2,062
|
30,492
|
|
7. Полная себестоимость товарной продукции
|
тыс.руб.
|
20570786
|
22217196
|
23875496
|
1658300
|
3304710
|
|
8. Капитальные вложения (освоение без учёта статьи «Покупка
активов»), с НДС
|
млн. руб.
|
1830
|
3993
|
4039
|
46
|
2209
|
|
9. Финансирование по статье «Покупка активов», с НДС
|
млн.руб.
|
1558
|
287
|
112
|
-175
|
-1446
|
|
10. Выручка от реализации нефти и газа (с налогами)
|
млн.руб.
|
34346
|
45984
|
53356
|
7372
|
19010
|
|
11. Чистая прибыль
|
млн.руб.
|
6146
|
7730
|
11609
|
3879
|
5463
|
Чистая прибыль в 2007 году
значительно увеличилась по сравнению с предыдущим. Но наряду также с
увеличением прибыли растет и себестоимость добываемой продукции - с 20570786 до
23875496 тыс.руб (на 16%), и тенденция увеличения себестоимости продукции
прослеживается уде не первый год, это связано с ухудшением структуры запасов.
Рост себестоимости добываемой продукции объясняется ростом цен на
электроэнергию, транспортировку нефти и применением ГТМ.
Из разрабатываемых месторождений в
стадии растущей добычи находятся 9 месторождений, по 7 месторождениям -
снижение добычи, т.к. большинство месторождений находятся в третьей стадии разработки,
характеризующейся падающей добычей нефти, остальные месторождения имеют
стабильную добычу. Прирост добычи от выполнения ГТМ не компенсирует темпов
падения по базовой добыче нефти.
Фонд добывающих скважин на
01.01.2008 г. составил 4 004 скважины (3 983 скважины на 01.01.2007 г.), причем
действующий фонд составил 3 672 скважины (3 548 скважин на 01.01.2007 г.). В
отчетном году проводились мероприятия по выводу скважин из бездействия,
переводу скважин в другие категории, ликвидации. Аналогичные мероприятия
предусмотрены бизнес-планом и на 2008 г., поскольку процент бездействующих
скважин пока превышает 10%, регламентированные правилами охраны недр и
разработки месторождений (10,92%).
В 2007 г. планировалось ввести в
эксплуатацию 28 новых добывающих скважин, которые впоследствии все были
введены, в том числе Мишкинское - 7 скважин, Киенгопское - 11 скважин,
Чутырское - 2, Карсовайское - 5 скважин, Южно-Киенгопское - 2 скважины,
Заборское - 1 скважина. дополнительная добыча составила 41,191 тыс, тонн нефти
при плане 62,925 тыс, тонн.
В процессе разработки месторождений
за отчетный период добыто 52 469,646 тыс, тонн жидкости при плане 52 207,653
тыс, тонн. Закачка воды составила 37 554,325 тыс, м3 при плане 37 191,502 тыс,
м3.
В отчетном периоде проводились
геолого-технические мероприятия, предусмотренные бизнес - планом, которые были
направлены на наращивание мощностей по добыче нефти. Выполнено 1 059
геолого-технических мероприятия (без БГС) по добывающему фонду, при плане 1 072
операций, дополнительно добыто 652,359 тыс, тонн нефти (план 614,346 тыс. т).
Средний прирост дебита на 1 скважину составил 3,7 т/сут при плане 3,4 т/сут.
Показатели себестоимости приведены в
таблице 2
Таблица 2 Калькуляция себестоимости
добычи нефти и газа
|
Показатели
|
Един.
|
2006 г.
|
2007 г.
|
Отклонение
|
|
изм.
|
факт
|
план
|
факт
|
к плану
|
к 2006 г.
|
|
1.Расходы на энергию по извлечению нефти
|
т. руб
|
387 498
|
468 154
|
486 816
|
18 662
|
99 318
|
|
2.Расходы по искусственному воздействию на пласт:
|
т. руб
|
722 338
|
823 778
|
813 249
|
-10 529
|
90 911
|
|
в т.ч.: закачка воды в пласт
|
т. руб
|
722 338
|
823 778
|
813 249
|
-10 529
|
90 911
|
|
повышение нефтеотдачи пласта
|
т. руб
|
0
|
0
|
0
|
0
|
0
|
|
3.Фонд оплаты труда:
|
т. руб
|
86 976
|
122 902
|
121 726
|
-1 176
|
34 750
|
|
в т.ч.: основная заработная плата
|
т. руб
|
77 042
|
109 514
|
106 117
|
-3 397
|
29 075
|
|
дополнительная заработная плата
|
т. руб
|
9 934
|
13 388
|
15 609
|
2 221
|
5 675
|
|
4.Отчисления на соц. нужды
|
т. руб
|
23 456
|
30 787
|
33 293
|
2 506
|
9 837
|
|
5.Износ скважин
|
т. руб
|
407 513
|
378 448
|
411 480
|
33 032
|
3 967
|
|
6.Расходы по сбору и транспортировке нефти и газа
|
т. руб
|
354 088
|
416 650
|
383 052
|
-33 598
|
28 964
|
|
7.Расходы по технологической подготовке нефти
|
т. руб
|
671 969
|
838 141
|
847 330
|
9 189
|
175 361
|
|
8.Расходы на содержание и эксплуатацию оборудования
|
т. руб
|
2 383 686
|
2 741 627
|
2 492 453
|
-249 174
|
108 767
|
|
в т. ч.: подземный ремонт
|
т. руб
|
1 380 255
|
1 474 222
|
1 259 174
|
-215 048
|
-121 081
|
|
9.Цеховые расходы
|
т. руб
|
592 587
|
738 666
|
719 314
|
-19 352
|
126 727
|
|
10.Общепроизводственные расходы
|
т. руб
|
1 358 223
|
1 474 227
|
1 340 385
|
-133 842
|
-17 838
|
|
11.Расходы на подготовку и освоение производства
|
т. руб
|
|
|
481
|
481
|
481
|
|
12.Прочие производственные расходы
|
т. руб
|
13 760 881
|
12 974 158
|
14 984 623
|
2 010 465
|
1 223 742
|
|
ПРОИЗВОДСТВЕННАЯ СЕБЕСТОИМОСТЬ:
|
|
|
|
|
|
|
|
А) Валовой продукции
|
т. руб
|
20 749 215
|
21 007 538
|
22 634 202
|
1 626 664
|
1 884 987
|
|
Б) Товарной продукции
|
т. руб
|
20 569 032
|
20 859 813
|
22 478 687
|
1 618 874
|
1 909 655
|
|
12.Коммерческие расходы
|
т. руб
|
1 754
|
1 357 383
|
1 396 809
|
39 426
|
|
ПОЛНАЯ СЕБЕСТОИМОСТЬ ТОВАРНОЙ ПРОДУКЦИИ
|
т. руб
|
20 570 786
|
22 217 196
|
23 875 496
|
1 658 300
|
3 304 710
|
|
Добыча нефти
|
т.тн.
|
5 970,412
|
6 104,918
|
6 145,310
|
40,392
|
174,90
|
|
Товарная добыча нефти
|
т.тн.
|
5 915,162
|
6 055,862
|
6 096,203
|
40,341
|
181,041
|
|
Себестоимость 1 тн.товарной нефти
|
руб.
|
3478
|
3669
|
3916
|
248
|
439
|
По сравнению с 2006 г. полная
себестоимость товарной продукции увеличилась на 3 304 710 тыс. рублей, из них 1
409 706 тыс. рублей за счет роста по налогу на добычу полезных ископаемых, 1
395 055 тыс. рублей за счет появления коммерческих расходов вследствие
осуществления поставок нефти на экспорт с апреля 2007 года.
Таблица 3 Анализ изменения
показателей отчета о прибылях и убытках Общества за отчетный период
|
Наименование
|
За 2010 год
|
За 2009 год
|
Изменение
|
Изменение в %
|
|
1. Выручка от реализации продукции, услуг (без налогов)
|
49 720 042
|
44 218 538
|
5 501 504
|
12.4
|
|
в том числе: - продажа нефти и газа
|
48 976 439
|
43 579 195
|
5 397 244
|
12,4
|
|
- прочая реализация
|
743 603
|
639 343
|
104 260
|
16,3
|
|
2. Себестоимость реализованной продукции, услуг
|
31 818 280
|
25 575 619
|
6 242 661
|
24,4
|
|
в том числе: - нефть, газ
|
31 144 307
|
25 040 604
|
6 103 703
|
24,4
|
|
- прочая реализация
|
673 973
|
535 015
|
138 958
|
26
|
|
3. Прибыль (убыток) от продаж
|
17 901 762
|
18 642 919
|
-741 157
|
-4,0
|
|
в том числе: - нефть, газ
|
17 832 132
|
18 538 591
|
-706 459
|
-3,8
|
|
- прочая реализация
|
69 630
|
104 328
|
-34 698
|
-33,3
|
|
4. Результат от выбытия имущества и внереализационным доходам и
расходам
|
-486 806
|
-440 149
|
-46 657
|
10,6
|
|
5. Балансовая прибыль (убыток)
|
17 414 956
|
18 202 770
|
-787 814
|
-4,3
|
|
Отложенные налоговые активы
|
-15 720
|
21 463
|
-37 183
|
-173,2
|
|
Отложенные налоговые обязательства
|
217 236
|
289 149
|
-71 913
|
-24,9
|
|
Налог на прибыль
|
3 357 458
|
3 521 335
|
-163 877
|
-4,7
|
|
6. Прибыль (убыток) от обычной деятельности
|
13 824 542
|
14 413 749
|
-589 207
|
-4,1
|
|
7. Сумма прибыли, сформировавшаяся в результате списания сумм
переоценки в добавочном капитале
|
0
|
0
|
0
|
|
|
8. Чистая прибыль (убыток) отчетного периода
|
13 824 542
|
14 413 749
|
-589 207
|
-4,1
|
Увеличение выручки от реализации
нефти без НДС и экспортной пошлины в 2010 году по сравнению с 2009 годом на
сумму 5 397 244 тыс.руб. произошло в связи с увеличением средней цены
реализации нефти.
Себестоимость нефти и газа
увеличилась на 6 103 703 тыс.руб., в том числе за счет увеличения ставки налога
на добычу полезных ископаемых и, как следствие, суммы платежей по НДПИ на 4 651
956 тыс.руб.
Кроме того, на увеличение
себестоимости повлияли следующие факторы: рост суммы амортизации, коммерческих
расходов (рост курса доллара, цены реализации и тарифов на услуги ОАО АК
«Транснефть» по перекачке и диспетчеризации нефти).
В связи с более существенным
увеличением себестоимости 2010 года по отношению к 2009 году в сравнении с
увеличением выручки, прибыль от реализации нефти и газа 2010 г. меньше данного
показателя 2009 г. на 706 459 тыс.руб.
Увеличение выручки и себестоимости
по прочей реализации обусловлено ростом объемов реализации ТМЦ (с минимальной
рентабельностью) подрядным организациям, ведущим работы по бурению скважин и
капитальному строительству на объектах Общества. К снижению прибыли от прочей
реализации в 2010 г. привело уменьшение объемов по оказанию более доходных
услуг: подготовка нефти и сдача имущества в аренду сторонним организациям.
1.4 Экономическая среда, конкуренты
Добычу нефти на территории
республики осуществляют 12 предприятий. Наиболее крупными из них являются ОАО
«Удмуртнефть» и ОАО «Белкамнефть», обеспечивающие 97,8% от всего объема
добываемой в республике нефти. На остальные предприятия приходится 2,2 %.
Лидером является «Удмуртнефть», на долю которой приходится 59,3 % от общего
объема добычи нефти в Удмуртии
В 2010 году ОАО «Удмуртнефть» добыло
6,398 млн. тонн нефти, что превышает показатели 2009 года на 44 тыс, тонн.
Рост добычи невелик, поскольку
основные месторождения, разрабатываемые ОАО «Удмуртнефть» характеризуются
значительной выработкой запасов и высокой обводненностью добываемого сырья.
Кроме того, добываемая предприятием нефть характеризуется высокой (более 30
мПас) и повышенной (от 10 до 30 мПас) вязкостью, при небольшом газовом факторе
(до 30 м3/тонну). Повышенная вязкость нефти обусловлена большим содержанием
асфальтосмослистых и парафиновых углеводородных соединений.
Основная доля запасов нефти ОАО
«Удмуртнефть» - 62,4% - относится к категории трудноизвлекаемых. Степень
выработанности запасов 53,96% при текущей обводненности 88,7%.
Для стабилизации текущей добычи
компания активно применяет новые технологии по увеличению нефтеотдачи пластов,
методов горизонтального бурения, испытание и внедрение современного
нефтепромыслового оборудования. Еще в СССР Гремихинское месторождение было выбрано
как полигон для испытания тепловых методов. На месторождении были внедрены
такие методы, как ИДТВ (импульсно-дозированное тепловое воздействие на пласт),
ИДТВ(П) (импульсно-дозированное тепловое воздействие на пласт с паузой) и ТЦВП
(теплоциклическое воздействие на пласт). Все они доказали свою эффективность.
Планирование работы по
экологическому менеджменту позволило ОАО «Удмуртнефты» решать конкретные задачи
управления окружающей средой: с этой целью определены приоритетные
экологические аспекты с учетом прошлой, текущей и планируемой деятельности,
идентифицированы нормативно - правовые требования, намечены цели и задачи,
разработана программа экологического менеджмента, направленная на достижение
поставленных целей и задач.
.5 Рынки сбыта
В 2010 году реализация нефти
проводилась ОАО «Удмуртнефть» по двум направлениям: внутренний рынок и экспорт.
На российском рынке основной объем нефти поставлялся за пределы Удмуртской
Республики. Экспортные поставки нефти осуществлялись по двум направлениям: в
дальнее зарубежье (через порт г. Приморск - в страны Европы) и в ближнее
зарубежье (Республика Беларусь).
Структура поставок нефти за 2010
года приведена в следующей таблице 4.
Таблица 4
Основные показатели по производству
и реализации товарной продукции
|
Наименование продукции
|
Удельный вес в общем объеме реализации нефти, в тыс. тонн
|
|
1. Реализация нефти, всего
|
6398
|
|
в том числе:
|
|
|
1.1. внутренний рынок
|
3563,368
|
|
за пределы Удмуртской Республики
|
3559,2
|
|
на территории Удмуртской Республики
|
447,86
|
|
1.2. экспорт
|
2834,314
|
|
дальнее зарубежье
|
2309,678
|
|
ближнее зарубежье
|
518,238
|
Реализация нефти на внутренний рынок
за пределы Удмуртской Республики производилась путем проведения тендеров по
распределению на конкурсной основе объемов нефти из ресурсов ОАО «Удмуртнефть».
Реализация нефти на внутренний рынок осуществлялась в соответствии с договором
комиссии и договором купли-продажи с ОАО «НК «Роснефть». В конечном итоге вся
нефть, реализуемая за пределы Удмуртской Республики, поставлялась на нефтеперерабатывающие
заводы Российской Федерации.
Реализация нефти на территории
Удмуртской Республики производилась в соответствии с договорами поставки нефти
дочерним сервисным предприятием ООО «Удмуртэнергонефть» и ЗАО «Удмуртнефть -
Бурение».
Реализация нефти на экспорт
производилась по договору комиссии с ОАО «НК «Роснефть» в соответствии с
утвержденным Министерством энергетики Российской Федерации Доступом
нефтедобывающих организаций к системе магистральных нефтепроводов и терминалов
в морских портах для транспортировки нефти за пределы таможенной территории
Российской Федерации и в государства участники-СНГ по направлениям отгрузки.
.6 Характеристика финансового
положения компании
ОАО «Удмуртнефть» разрабатывает 24
месторождения, с доказанными запасами нефти - 808 млн. баррелей, вероятные
запасы составляют 396 млн. баррелей, а возможные запасы нефти- 250 млн.
баррелей. В 2010 году ОАО «Удмуртнефть» добыло 6,398 млн. тонн нефти. За 2007
год получена чистая прибыль в размере 11 609 032 тыс, рублей.
Таблица 5. Прибыль и убытки
|
Наименование показателя
|
2009, 9 мес.
|
2010, 9 мес.
|
|
Выручка
|
32 145 933 000
|
35 323 673 000
|
|
Валовая прибыль
|
16 480 828 000
|
15 022 178 000
|
|
Чистая прибыль (нераспределенная прибыль (непокрытый убыток)
|
10 975 877 000
|
9 333 096 000
|
|
Рентабельность собственного капитала, %
|
44
|
39
|
|
Рентабельность активов, %
|
33
|
28
|
|
Коэффициент чистой прибыльности, %
|
34
|
26
|
|
Рентабельность продукции (продаж), %
|
43
|
35
|
|
Оборачиваемость капитала
|
1.25
|
1.41
|
За 9 месяцев 2010г. по сравнению с 9
месяцами 2009г. отмечается рост суммы выручки на 9,9% в связи с ростом средней
цены реализации 1 тонны нефти (без НДС и экспортной пошлины). На фоне
увеличения выручки от продаж отмечается увеличение себестоимости проданной
продукции, что привело к уменьшению валовой прибыли (-8,9%) и чистой прибыли
(-15%)
На текущие финансовые показатели
повлияли следующие пункты (тыс.руб)
Таблица 6
Основные финансовые показатели ОАО
«Удмуртнефть»
|
Наименование показателей
|
Бизнес-план 2010 год
|
Факт 2010 год
|
Отклонение, +/-
|
|
Выручка от реализации продукции
|
33 351 960
|
39 905 760
|
6 553 800
|
|
в том числе - нефти и газа
|
33 064 382
|
39 539 067
|
6 474 685
|
|
-прочая
|
287578
|
366693
|
79115
|
|
Себестоимость реализованной продукции
|
22 442 635
|
23 971 232
|
1 528 597
|
|
в том числе - нефть, газ
|
22 238 829
|
23 683 329
|
1 444 500
|
|
- прочая
|
203 806
|
287 903
|
84 097
|
|
Прибыль от реализации
|
10909325
|
15934528
|
5025203
|
|
в том числе - нефть, газ
|
10825553
|
15855738
|
5030185
|
|
- прочая
|
83 772
|
78 790
|
-4 982
|
|
Результат от выбытия имущества и внереализационным доходам и
расходам
|
-610200
|
-382283
|
227917
|
|
Балансовая прибыль (убыток)
|
10299 125
|
15552245
|
5253 120
|
|
Отложенные налоговые активы
|
0
|
-19 371
|
-19 371
|
|
Отложенные налоговые обязательства
|
0
|
117202
|
117202
|
|
Текущий налог на прибыль
|
2 588 801
|
3 806 640
|
1 217 839
|
|
Прибыль (убыток) от обычной деятельности
|
7710324
|
11609032
|
-3898708
|
|
Сумма прибыли, сформировавшаяся в результате списания сумм
переоценки в добавочном капитале
|
19542
|
0
|
-19542
|
|
Чистая прибыль (убыток)
|
7729866
|
11 609 032
|
3879 166
|
экономический себестоимость нефть
газ
Увеличение выручки и себестоимости
по прочей деятельности главным образом связано с непредусмотренной планом
закупкой и дальнейшей продажей подрядчикам трубы, а также с реализацией
ликвидных основных средств.
Размер собственного капитала ОАО
«Удмуртнефть» на конец 2007 года составлял 25340,981 млн. руб. и он по
сравнению с прошлым годом немного вырос. Основные изменения произошли за счет
накопления нераспределенной прибыли отчетного года.
Результаты анализа основных средств
представлены в таблице 7.
Таблица 7
Показатели использования основных
средств
|
Показатели
|
2006 год (тыс.руб.)
|
на начало 2007 года (тыс.руб.)
|
на конец 2007 года (тыс.руб.)
|
|
Первоначальная стоимость основных средств,
|
33 972 678
|
34 799 487
|
37 542 058
|
|
в т.ч. активная часть,
|
6275833
|
6771 613
|
7881 408
|
|
Остаточная стоимость основных средств,
|
8796249
|
8940557
|
10463155
|
|
доля в имуществе основных средств, %
|
24,89
|
50,86
|
32,00
|
|
Коэффициент износа основных производственных средств
|
0,74
|
0,74
|
0,72
|
|
Коэффициент износа активной части основных производственных
средств
|
0,67
|
0,65
|
0,62
|
|
Коэффициент обновления основных производственных средств
|
0,05
|
|
0,08
|
|
Коэффициент выбытия основных производственных средств
|
0,03
|
|
0,01
|
Несмотря на увеличение к концу года
суммы капитальных вложений их доля в имуществе компании уменьшилась в течение
отчетного года с 50,9% до 32,0% за счет значительного роста оборотной части
активов. Увеличение доли активной части фондов и снижение коэффициента износа
активной части основных производственных средств следует оценить положительно.
Можно отметить положительную
динамику в увеличении коэффициента обновления основных средств. Однако данный
показатель находится на достаточно низком уровне. Поэтому задача укрепления
материально-технической базы является одной из основных стратегических задач,
стоящих перед компанией.
1.7 Бухгалтерский баланс
Таблица 8 Бухгалтерский баланс на 30
сентября 2010 г.
|
АКТИВ
|
На начало отчетного года
|
На конец отчетного периода
|
|
1
|
3
|
4
|
|
I. ВНЕОБОРОТНЫЕ АКТИВЫ
|
|
|
|
Нематериальные активы
|
952 752
|
917 953
|
|
Основные средства
|
12 347 315
|
12 670 190
|
|
Незавершенное строительство
|
1 199 792
|
1 609 336
|
|
Долгосрочные финансовые вложения
|
620 303
|
620 242
|
|
Отложенные налоговые активы
|
127 515
|
122 720
|
|
Геолого - разведочные активы
|
104 606
|
162 255
|
|
Прочие внеоборотные активы
|
75 220
|
74 746
|
|
ИТОГО по разделу I
|
15 427 503
|
16 177 442
|
|
II. ОБОРОТНЫЕ АКТИВЫ
|
|
|
|
Запасы
|
601 422
|
696 135
|
|
в том числе: сырье, материалы и другие аналогичные ценности
|
96 105
|
129 463
|
|
готовая продукция и товары для перепродажи
|
359 689
|
406 279
|
|
товары отгруженные
|
143 872
|
156 384
|
1 756
|
4 009
|
|
прочие запасы и затраты
|
|
|
|
Налог на добавленную стоимость по приобретенным ценностям
|
114 817
|
169 322
|
|
Дебиторская задолженность (платежи по которой ожидаются более
чем через 12 месяцев после отчетной даты)
|
154 808
|
145 118
|
|
в том числе: покупатели и заказчики
|
98 444
|
91 937
|
|
Дебиторская задолженность (платежи по которой ожидаются в
течение 12 месяцев после отчетной даты)
|
10 883 999
|
8 939 917
|
|
в том числе: покупатели и заказчики
|
10 240 373
|
8 757 267
|
|
Краткосрочные финансовые вложения
|
|
3 000 000
|
|
Денежные средства
|
29 426
|
3 926 230
|
|
ИТОГО по разделу II
|
11 784 472
|
16 876 722
|
|
БАЛАНС
|
27 211 975
|
33 054 164
|
|
ПАССИВ
|
На начало отчетного года
|
На конец отчетного периода
|
|
1
|
3
|
4
|
|
III. КАПИТАЛ И РЕЗЕРВЫ
|
|
|
|
Уставный капитал
|
3 562
|
3 562
|
|
Добавочный капитал
|
8 919 490
|
8 886 037
|
|
Резервный капитал
|
534
|
534
|
|
в том числе: резервы, образованные в соответствии с
законодательством
|
534
|
534
|
|
Нераспределенная прибыль (непокрытый убыток) прошлых лет
|
9 577 273
|
5 972 752
|
|
Нераспределенная прибыль (непокрытый убыток) отчетного года
|
|
9 333 096
|
|
ИТОГО по разделу III
|
18 500 859
|
24 195 981
|
|
IV. ДОЛГОСРОЧНЫЕ ОБЯЗАТЕЛЬСТВА
|
|
|
|
Отложенные налоговые обязательства
|
613 800
|
786 933
|
|
ИТОГО по разделу IV
|
613 800
|
786 933
|
|
V. КРАТКОСРОЧНЫЕ ОБЯЗАТЕЛЬСТВА
|
|
|
|
Кредиторская задолженность
|
7 567 175
|
7 679 167
|
|
в том числе: поставщики и подрядчики
|
1 194 148
|
1 131 462
|
|
задолженность перед персоналом организации
|
1 420
|
35 841
|
|
задолженность перед государственными внебюджетными фондами
|
17
|
11 568
|
|
задолженность по налогам и сборам
|
2 459 355
|
2 389 496
|
|
прочие кредиторы
|
3 912 235
|
4 110 800
|
|
Задолженность перед участниками (учредителями) по выплате
доходов
|
433 758
|
209 517
|
|
Доходы будущих периодов
|
9 872
|
9 160
|
|
Резервы предстоящих расходов
|
86 511
|
173 406
|
|
в том числе: резервы под условные факты деятельности
|
2 458
|
|
|
ИТОГО по разделу V
|
8 097 316
|
8 071 250
|
|
БАЛАНС
|
27 211 975
|
33 054 164
|
Бизнес-план на 2011 г.
По бизнес-плану ОАО «Удмуртнефть» на
2011 год запланирована реализация нефти в объеме 6 365,847 тыс.тонн, в том
числе: в 1 квартале 2011 года планируется реализовать 1 567,079 тыс.тонн нефти.
Приоритетные направления
деятельности «Удмуртнефти»:
Реализация политики общества,
направленной на стабилизацию добычи нефти.
Совершенствование действующих систем
подготовки нефти.
Повышение стандартов в области
охраны труда, промышленной безопасности и охраны окружающей среды,
совершенствование управления для обеспечения соответствия передовой
международной практике.
Обеспечение оптимальной
организационной структуры.
Оптимизация системы
материально-технического обеспечения.
Оптимизация бизнес-процессов.
Реализация проектов по капитальному
строительству и реконструкции объектов
Акционерное общество «Удмуртнефть»
обладает сегодня значительной сырьевой базой, современными производственными
мощностями, высококвалифицированными кадрами, уникальным опытом разработки
нефтяных месторождений с трудноизвлекаемыми запасами. Доказанные запасы нефти -
808 млн. баррелей, вероятные запасы составляют 396 млн. баррелей, а возможные запасы
нефти- 250 млн. баррелей.
.8 Анализ финансового состояния
компании
Для того чтобы оценить финансовое
состояние компании, нам необходимо рассмотреть несколько коэффициентов
Таблица 14
Оценка ликвидности
|
Показатели
|
на начало 2006 года
|
на начало 2007 года
|
на конец 2007 года
|
Норматив
|
|
Коэффициент текущей ликвидности
|
3,78
|
1,70
|
2,74
|
>1,5
|
|
Коэффициент быстрой ликвидности
|
3,55
|
1,49
|
2,60
|
>0,85
|
|
Коэффициент абсолютной ликвидности денежных средств
|
0,01
|
0,00
|
0,04
|
>0,2
|
|
Собственные оборотные средства, (тыс, руб.)
|
17798536
|
2057323
|
11824479
|
|
|
Чистые активы (тыс, руб.)
|
24584690
|
13933135
|
25346396
|
|
|
Коэффициент обеспеченности собственными оборотными средствами
|
0,57
|
0,36
|
0,61
|
>0,1
|
В целом показатели находятся в
пределах нормативов, что указывает на наличие у компании возможности погашать
краткосрочные обязательства в установленные сроки.
Коэффициент абсолютной ликвидности
остается ниже нормативного уровня, что обусловлено, в первую очередь,
выполнением задачи, поставленной компанией по минимизации остатка денежных
средств на конец периода.
Чистые активы напрямую связаны с
величиной собственного капитала. За счет увеличения суммы нераспределенной
прибыли за 2007 год выросли чистые активы и показатель обеспеченности
собственными оборотными средствами. Также это свидетельствует о наращении
средств акционеров, участвующих в формировании имущественного комплекса и
подтверждает выводы на основе анализа структуры баланса и его разделов о
высоком уровне финансовой независимости компании, а также об увеличении ее
рыночной стоимости
В целом коэффициенты указывают на
довольно стабильное финансовое положение ОАО «Удмуртнефть».
2. Технологический раздел
.1 Общие сведения о Лиственском
месторождении
Лиственское месторождение
расположено на территории Воткинского и Шарканского районов Удмуртской
республики, в 10-30 км к северо-западу от г. Воткинска и в 60 км от г. Ижевска.
Месторождение было открыто в 1969
году. Разведочные работы продолжались до 1974 года. Ввод Лиственского
месторождения в эксплуатацию осуществлен со значительным отставанием от срока,
предусмотренного утвержденным проектным документом (1978г.). Проектными
решениями ввод месторождения в промышленную разработку предусматривался в 1984
году, фактически осуществлен в 1986 году.
На месторождении было выделено три
объекта:объект - верейско-башкирский (пласт B-II верейского горизонта и пласт
А4 башкирского яруса);объект - визейский (пласты яснополянского
надгоризонта);объект - турнейский (черепетский продуктивный пласт турнейского
яруса).
Нефть визейских отложений в
пластовых условиях - высоковязкая: динамическая вязкость изменяется от 26,70 до
43,55 мПа∙с, составляя в среднем 33,86 мПа∙с; со средней плотностью
0,8987 г/см3, варьирующей в диапазоне от 0,8946 до 0,9011 г/см3; средней
газонасыщенностью равной 12,33 м3/т, изменяющейся от 7,29 до 15,35 м3/т, со
средним давлением насыщения - 6,75 МПа, изменяющимся в диапазоне от 3,50 до
6,80 МПа.
Нефть турнейских отложений
характеризуется как высоковязкая - динамическая вязкость изменяется от 35,03 до
43,55 мПа∙с, составляя в среднем 39,29 мПа∙с, со средней
газонасыщенностью, которая изменяется от 7,51 до 8,77 м3/т, составляя в среднем
8,14 м3/т, со средней плотностью 0,8938 г/см3, изменяющейся в пределах от
0,8900 до 0,8976 г/см3, со средним давлением насыщения - 7,38 МПа, изменяющимся
в диапазоне от 6,45 до 8,30 МПа.
.2.Текущее состояние разработки
В настоящее время разработка
Гремихинского месторождения ведется в соответствии с «Дополнением к
Технологической схеме разработки Гремихинского нефтяного месторождения
Удмуртской республики».
Месторождение разбурено в полном
объеме.
В промышленной эксплуатации
находятся три объекта разработки - башкирско-верейский, визейский и турнейский.
Основная добыча приходится на
визейский (48,4%) и башкирско-верейский (30,2%) объекты. Доля добычи с
турнейского объекта составляет 21,4%.
По состоянию на 01.01.2009г. на
Лиственском месторождении пробурено 264 скважины, из них 19 разведочных, 3
поисковых и 242 проектного эксплуатационного фонда.
По результатам проведенного анализа на
данном объекте в последнее время наблюдается повышение удельной эффективности
проведения ОРЭ, среди всех проводимых ГТМ.
Добыча ведется механизированным
способом.
Обводненность продукции превышает
проектное значение (83,6 % против 78,7%) и, как следствие, наблюдается
превышение над проектными уровнями дебита жидкости и годовой добычи жидкости.
Фактический дебит по нефти находится ниже проектного значение, но это
отклонение не превышает 10%.
По состоянию на 01.01.2009г. в целом
из залежей Лиственского месторождения с начала разработки добыто 6834,4 тыс.т
нефти или 54,9% от НИЗ, жидкости - 20721,4 тыс.т. Текущий КИН составил 0,225. В
пласты закачено 6355,7 тыс.м3 рабочего агента, из них в период с сентября 1988
года по 01.01.2004 было закачено 4426,4 тыс.м3 воды, загущенной полимером.
Основная добыча приходится на визейский (48,4%) и башкирско-верейский (30,2%)
объекты. Доля добычи с турнейского объекта составляет 21,4%. В добыче за всю
историю разработки участвовало 240 скважин, средний отбор нефти на одну скважину
- 28,47 тыс.т, жидкости - 86,34тыс.т.
За 2008 год добыто: 378,1 тыс.т
нефти (3,04% от НИЗ), 2308,2 тыс.т жидкости, закачено 702,3 тыс.м3 воды.
Средняя обводненность составила 83,6%. Текущая компенсация отборов закачкой
составила 54,8%, накопленная - 43,9%. Средний дебит скважин по нефти составил -
6,3 т/сут, по жидкости - 38,6 т/сут.
.3 Сущность и технология ОРЭ
Большинство нефтяных и газовых
месторождений как у нас в стране, так и за рубежом являются многопластовыми.
При этом несколько продуктивных пластов располагаются поэтажно один над другим.
Разработка таких месторождений самостоятельными сетками скважин, пробуренными
на каждый отдельный пласт, с точки зрения рациональной разработки, является
наиболее предпочтительной. Однако опыт разработки нефтяных месторождений
показывает, что более половины всех капитальных вложений уходит на бурение
скважин. Поэтому разработка много-пластовых месторождений самостоятельными
сетками скважин на каждый пласт требует огромных капитальных затрат и не всегда
экономически и технологически оправдана. В этой связи часто при разработке
многопластовых месторождений объединяют несколько продуктивных пластов в один
эксплуатационный объект, что позволяет сокращать сроки разработки
месторождения, уменьшать капитальные вложения на бурение скважин и обустройство
месторождений и т.д. В то же время одновременная разработка нескольких пластов
одним объектом возможна только при одинаковых физико-химических свойствах
нефтей в объединяемых пластах, если приток нефти и газа достаточен из каждого
пласта при допустимом забойном давлении в скважине, при близких значениях
пластового давления в объединяемых пластах, исключающих перетоки нефти между
пластами, и близких значениях обводненности пластов. Если вышеизложенные
условия не соблюдаются, то многоплановые месторождения разрабатывают методом
одновременно-раздельной эксплуатации одной скважиной (ОРЭ). В зависимости от
конкретных геолого-технических условий разработки залежей, технических и
эксплуатационных характеристик скважин применяется одна из имеющихся в
настоящее время схем ОРЭ. Обязательные требования ко всем схемам ОРЭ -
возможность раздельного освоения и пуска в эксплуатацию каждого пласта, замера
дебитов нефти каждого пласта в отдельности, а также раздельного замера каждого пласта
на обводненность, газосодержание и исследование каждого пласта на приток нефти
и газа.
При принятии решения об
использовании метода ОРЭ учитывается степень выработанности запасов, близость
контура нефтеносности к скважинам, наличие смол и парафина в добываемых нефтях,
толщины продуктивных пластов и разделяющих их непроницаемых пропластков,
состояние эксплуатационной колонны скважин и т.д.
При ОРЭ двух горизонтов пласты
разделяются друг от друга пакером. В скважину спускаются один или два ряда
насосно-компрессорных труб, которые спускают параллельно или концентрично. При
одновременно-раздельной эксплуатации двух горизонтов разработка пластов может
вестись по следующим схемам: фонтан-фонтан; фонтан-насос; фонтан-газлифт;
фонтан-закачка; газлифт-насос; газлифт-газлифт, газлифт-закачка; насос-насос;
насос-закачка; закачка-закачка. Промысловый опыт эксплуатации двух пластов
одной скважиной методом ОРЭ указывает на его высокую эффективность. В среднем
на 30% сокращаются капитальные вложения и эксплуатационные затраты в
сопоставлении с затратами на бурение и эксплуатацию месторождений
самостоятельными сетками на каждый пласт. Метод ОРЭ дает возможность уплотнять
сетку скважин (добывающих и нагнетательных) без дополнительного метража
бурения.
3. Экономический раздел
.1 Определение экономической
эффективности при реализации проектируемого технического решения
Целью расчетов являлось оценка
экономической эффективности повышения эффективности разработки за счет ОРЭ на
визейском и турнейском объекте Лиственского месторождения, отвечающего критерию
достижения максимального экономического эффекта от возможно полного извлечения
из пластов запасов нефти при соблюдении требований экологии и охраны окружающей
среды.
Экономическая эффективность от
дополнительно добытой нефти оценивается системой рассчитываемых показателей,
выступающих в качестве экономических критериев.
Для оценки проекта используются
следующие оценочные показатели:
эксплуатационные затраты на
дополнительную добычу нефти;
выручка от реализации дополнительно
добытой нефти;
прибыль от реализации дополнительно
добытой нефти;
доход государства
Прибыль от реализации (Пt) -
совокупный доход предприятия, уменьшенный на величину эксплуатационных затрат с
включением в них амортизационных отчислений и общей суммы налогов, направляемых
в бюджетные и внебюджетные фонды.
При оценке методов по повышению
интенсификации добычи нефти эксплуатационные затраты рассчитывались на основе
статей калькуляции себестоимости добычи нефти.
Эксплуатационные затраты
рассчитываются в соответствии с удельными текущими затратами и объемными
технологическими показателями в разрезе следующих статей:
энергетические затраты на извлечение
жидкости;
сбор и транспорт нефти;
технологическая подготовка нефти;
затраты на проведение ремонта;
амортизационные отчисления.
Энергетические затраты
рассчитываются в зависимости от объема механизированной добычи жидкости. При
расчете этих затрат исходят из средней стоимости электроэнергии и ее удельного
расхода.
Расходы на сбор, транспорт нефти и
газа, технологическую подготовку нефти рассчитываются в зависимости от объема
добываемой жидкости без учета амортизационных отчислений.
Оценка методов по повышению
интенсификации добычи нефти должна проводиться в соответствии с налоговой
системой, установленной в законодательном порядке.
Ниже следует перечень налогов,
отчисляемых в бюджетные и внебюджетные фонды страны и показан порядок их
расчета:
налог на добавленную стоимость
исчисляется в размере 18% от цены нефти;
налог на прибыль исчисляется в
размере 20% от балансовой прибыли, остающейся от выручки после компенсации
эксплуатационных затрат и выплаты всех налогов.
Налоги и платежи, учитываемые в
составе эксплуатационных затрат:
налог на добычу полезных ископаемых
рассчитывается по налоговой ставке, указанной в Налоговом кодексе и умноженной
на коэффициент, характеризующий динамику мировых цен на нефть (Кц), и на
коэффициент, характеризующий степень выработанности конкретного участка недр
(Кв), 419 x Кц x Кв. руб./т;
3.2 Исходные данные для расчета
экономических показателей проекта
Исходные данные для расчета
экономических показателей данного проекта приведены в таблице 8 и таблице 8.1.
Таблица 8
Добыча до и после внедрения ОРЭ
|
|
Добыча нефти, тыс. т.
|
Добыча жидкости, тыс. т.
|
|
До внедрения ОРЭ
|
42,7
|
53,4
|
|
После внедрения ОРЭ:
|
|
|
|
1 год
|
58,1
|
65,5
|
|
|
|
|
|
Таблица 9
Данные для расчета экономических
показателей
|
№ п/п
|
Показатели
|
Значения
|
|
1.
|
Цена реализации:
|
|
нефти на внутреннем рынке без НДС, руб./т
|
9000
|
|
2.
|
Налоги и платежи:
|
|
НДС, %
|
18
|
|
Налог на добычу полезных ископаемых, руб./т,
|
419*Кц*Кв
|
|
Налог на прибыль, %
|
20
|
|
3.
|
Эксплуатационные затраты (по статьям калькуляции):
|
|
Расходы по сбору и транспортировке нефти руб./т. жид.
|
31,4
|
|
Расходы по технологической подготовке нефти руб./т. жид.
|
78,7
|
|
Расходы на энергию по извлечению нефти руб./т. жид.
|
16,09
|
.3 Расчет экономических показателей
проекта
.3.1 Выручка от реализации
Цена реализации нефти на внутреннем
рынке принята 6 500 руб/т. без НДС. Выручка от реализации продукции (Вt)
рассчитывается как произведение цены реализации нефти и нефтяного газа на их
объемы добычи в t - ом году:
Вi = Ц ЧЧ Qнi,
где Ц - цена нефти без
НДС, руб/т; Qнi - добыча нефти, тыс.т;
Расчет:
В1 = 9000руб * 58.1 =
522900 тыс.руб
.3.2 Прибыль от
реализации
Прибыль от реализации -
совокупный доход предприятия, уменьшенный на величину эксплуатационных затрат с
включением в них амортизационных затрат и общей суммы налогов, направляемых в
бюджетные и внебюджетные фонды.
. Балансовая прибыль или
прибыль к налогообложению, тыс. руб.:
Пi = Вi - Эi,
Расчет:
П1 = 522900 тыс. руб. -
12578.005 тыс. руб. = 510321.995 тыс. руб.
Налог на прибыль, тыс.
руб.:пpi = Пi ЧЧ апр/100%, при условии Пi > 0, где
Расчет:пp = 510321* 0.2
= 102064,399 тыс.руб.
. Экономический эффект
от внедрения ОРЭ или прибыль от реализации дополнительно добытой нефти,
тыс.руб.:
Пчi = Пi - Нпрi
Пч1 = 510321.995 тыс.
руб. - 102064,399 тыс.руб. = 408257. 596 тыс. руб.
3.3.3 Платежи и налоги
Оценка методов по
повышению интенсификации добычи нефти проводилась в соответствии с действующей
налоговой системой РФ.
Таблица 10
Ставки налогов и
отчислений в бюджетные фонды
|
Показатели
|
Ед. изм.
|
Значения
|
|
Налог на добавленную стоимость
|
%
|
18,0
|
|
Налог на добычу полезных ископаемых
|
руб.
|
419 * Кц * Кв
|
|
Ставка налога на прибыль
|
%
|
20,0
|
Платежи и налоги, включаемые в
себестоимость нефти
Налог на добычу полезных ископаемых:
Тндпиi = Qнi * Hдпиi * Кц * Кв,
где Qнi - добыча нефти, тыс.т.;
Hдпиi - размер налоговой ставки на добычу полезных ископаемых, руб./ т нефти;
Кц - коэффициент, характеризующий динамику мировых цен на нефть, д.ед.
Кц = (Ц - 15) * (Р / 261),
где Ц - средний уровень цен нефти
сорта «Юралс» в долл. США/баррель.; Р - средний курс доллара США к рублю РФ,
устанавливаемый ЦБ РФ; Кв - коэффициент, характеризующий степень выработанности
конкретного участка недр, д.ед.редний уровень цен нефти сорта «Юралс» на
средиземноморском и роттердамском рынках нефтяного сырья составляет 108,69
долл. США за баррель. Среднее значение курса доллара США к рублю за все дни
налогового периода - 31,362, значение коэффициента Кц - 11,2579.
Значение коэффициента Кв
определяется в зависимости от степени выработанности (Св). Степень
выработанности запасов конкретного участка недр (Св) рассчитывается на
основании данных утвержденного государственного баланса запасов полезных
ископаемых за календарный год, предшествующий налоговому периоду, в котором
происходит применение коэффициента Кв, как частное от деления суммы накопленной
добычи нефти на конкретном участке недр (включая потери при добыче) (N) на
начальные извлекаемые запасы нефти (V). Так как на 01.01.2009 накопленная
добыча нефти от НИЗ по визейскому объекту составляет 78,5% и по турнейскому -
69,6%, а это значит, что Св меньше 0,8, тогда Кв будет равно 1.
Расчет:
Тндпи1 = 58.1 *419 *11,2579*1 =
274061,191
Налоги, отчисляемые в бюджет
Налог на добавленную стоимость:
Нндсi = Цн ЧЧ Qнi ЧЧ
андс/100%,
где андс - ставка налога
на добавленную стоимость, %; Цн - продажная цена нефти без НДС, руб/т;
Расчет:
Нндс1 = 9000 руб. * 58,1
* 0,18 = 94122 тыс. руб.
.3.4 Капитальные
вложения
Затраты на приобретение
оборудования:
Стоимость установки для
ОРЭ УЭЦН-УСШН конструкции «ТатНИПИнефть» ООО «СП-БАРС» согласно калькуляции
составляет 1 534,8 тыс. руб.
Коборi = Nдфi ЧЧ Роборi,
где Роборi - стоимость
одной установки для ОРЭ, тыс. руб./час.; Nдфi - действующий фонд скважин, скв.
Расчет:
Коборi = 4 скв. * 1
534,8 тыс. руб. = 6 139,2 тыс. руб.
.3.5 Поток денежной
наличности
Дисконтированный поток
наличности
Дисконтированный поток
денежной наличности - сумма прибыли от реализации и амортизационных отчислений,
уменьшенная на величину инвестиций, направляемых на освоение нефтяного
месторождения - определяется как сумма текущих годовых потоков, приведенных к
начальному году:
где- дисконтированный
поток денежной наличности;
Пt - прибыль от
реализации в t-м году;- амортизационные отчисления в t-м году;
Кt - капитальные
вложения в разработку месторождения в t-м году.
Определим
дисконтированный поток наличности:=(522900 тыс.руб. - 6139,2 - 12475,685 -
376219,719) \ 1 = 128065,403 тыс. руб
Дисконтированный поток
наличности за первый год эксплуатации ОРЭ положителен, следовательно,
применение ОРЭ за один год окупило затраты на его установку.
Положительная величина
чистого дисконтированного дохода (NPV>0) свидетельствует об эффективности
проекта, поскольку поступлений от его реализации достаточно для того, чтобы
возместить затраты и обеспечить минимально требуемый (равный норме дисконта -
15%) уровень доходности этого капитала.
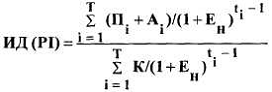
.3.6 Индекс доходности
(РI)
Определим индекс
доходности. Индекс доходности (РI) характеризует экономическую отдачу вложенных
средств:
Индекс доходности (PI)
характеризует экономическую отдачу вложенных средств и представляет собой
отношение суммарных приведенных чистых поступлений (прибыли от реализации нефти
и амортизационных отчислений) к суммарному дисконтированному объему капитальных
вложений:
= (510321,995+ 102,32) \
6139,2 = 83,14
Как видим, индекс
доходности является положительным, то есть PI 1, а это является
критерием эффективности проекта.
.3.7 Срок окупаемости
Период окупаемости (Пок)
- это продолжительность периода, в течение которого начальные негативные
значения накопленной денежной наличности полностью компенсируются ее положительными
значениями. Период окупаемости может быть определен из следующего равенства:
PP= (522900 - 6139,2 -
12578,005-376219,712+102,32) \ 522900 = 0,16
.3.8 Расчеты затрат
Сбор и транспорт нефти:
Тсбтi = Тсбт ЧЧ Qжi,
где Тсбт - затраты по
сбору и транспорту нефти и газа, руб/т жид; Qжi - добыча жидкости из пласта,
тыс.т
Расчет:
Тсбт1 = 31,4*65,5 =
2056,7 тыс.руб
Технологическая
подготовка нефти:
Ттпi = Ттп ЧЧ Qжпi,
где Ттп - затраты по
технологической подготовке нефти, руб./т; Qжпi - объем добытой нефти, идущей на
технологическую подготовку, тыс.т.
Расчет:
Ттп1 = 78,7*65,5 =
5154,85 тыс. руб.
Энергетические затраты
на извлечение жидкости:
Тэниi = Ризвi ЧЧ Qмехi,
где Ризвi - расходы на
энергию, затрачиваемую на извлечение жидкости, руб./т жид; Qмехi - добыча
жидкости мехспособом, тыс. т.
Расчет:
Тэни1 = 16,09 * 65,5 =
1053, 895
Затраты на проведение
ремонта скважины:
Тремi = Nдфi ЧЧ Рбрi ЧЧ
ti,
где Рбрi - стоимость
бригадо-часа, тыс. руб./час.; ti - продолжительность ремонта, бр/час; Nдфi -
действующий фонд скважин, скв.
Расчет:
Трем1 = 4 скв. * 2,95
тыс. руб. * 356,8 час = 4 210,240 тыс. руб.
Амортизационные
отчисления:
Тамортi = Коборi / (5
*12)
где Коборi - капитальные
вложения, тыс. руб.;
Расчет:
Тамортi = 6 139,2 тыс.
руб. / (5 * 12) = 102,3 тыс. руб.
Итого текущих затрат
(без налогов и платежей):
Тi = Тсбтi + Ттпi +
Тэниi + Тремi + Тамортi
Расчет:
Тi = 2056, 7 + 5154,85 +
1053,89 + 4210,24 + 102,32= 12578,005 тыс. руб.
Всего эксплуатационных
затрат на добычу нефти с налогами и платежами:
Эi = Тi + Тндпиi
Расчет:
Э1 = 12578,005 + 274061,191
= 286639, 196 тыс. руб
Себестоимость добычи 1 т
нефти:
нi=Эi/Qнi
Расчет: Cн1= 286639,196
\ 58,1 = 4933,54 руб
Таблица 11
Показатели до и после
внедрения оборудования ОРЭ
|
До внедрения ОРЭ тыс.руб.
|
|
|
|
После внедрения ОРЭ тыс.руб.
|
|
Затр. на энергию по извл. н.,
|
640,8
|
1053,895
|
|
Затр. по сбор. и транспорт. н.,
|
1676,76
|
2056,7
|
|
Затр. по технол. подгот. н.,
|
4202,58
|
5154,85
|
|
НДПИ,
|
201418,46
|
274061,191
|
|
Стоим. ОРЭ,
|
0
|
6 139,2 тыс. руб.
|
|
Затраты до/после ОРЭ,
|
6521,14
|
12578,005
|
|
Прибыль,
|
3777778,86
|
510321,995
|
Дополнительная прибыль от внедрения
ОРЭ составила 132543,135 тыс. руб.
Таблица 12
Экономическая эффективность от
внедрения оборудования для ОРЭ
|
Показатели
|
Единицы измерения
|
До внедрения ОРЭ
|
|
|
|
|
После внедрения ОРЭ
|
|
Доп. добыча по нефти
|
тыс. т
|
|
15,4
|
|
Доп. добыча по жидкости
|
тыс. т
|
|
12,1
|
|
Выручка
|
тыс. руб
|
384300
|
522900
|
|
Кап. затраты
|
тыс. руб
|
|
6 139,2
|
|
Эксп. затраты
|
тыс. руб
|
6521,14
|
12578,005
|
|
Прибыль
|
тыс. руб
|
377778,86
|
510321,995
|
|
NPV
|
тыс. руб
|
|
128065,403
|
|
PI
|
|
|
83,14
|
|
Срок окупаемости
|
год
|
|
0,16
|
Заключение
Одной из стратегически важных задач
для предприятия можно выделить стабилизацию объемов рентабельной добычи нефти
на разрабатываемых месторождениях, увеличение межремонтного периода скважинного
оборудования, поиск, отбор и внедрение новых эффективных видов скважинного
оборудования, новых технологий для поддержания работоспособности скважин (в
т.ч. химические реагенты).
В данной работе рассмотрено
предложение о внедрении оборудования для ОРЭ. Технология
одновременно-раздельной эксплуатации пластов одной скважиной подтвердила свою
перспективность.
При осуществлении метода ОРЭ
наблюдаются следующие преимущества:
практически в 2 раза сокращаются
затраты на строительство скважин
снижаются затраты на обустройство
месторождений,
снижаются потребности в добывающем
оборудовании;
приобщаются к разработке
непромышленные запасы;
улучшаются условия эксплуатации
низкопродуктивных пластов (увеличиваются сроки фонтанирования, периодически
работающие скважины переводят на непрерывный режим, возрастают межочистные
периоды, предотвращается замерзание водоводов и др.) за счет приобщения к
другим объектам разработки.
Предлагаемый проект ОРЭ является
экономически привлекательным за счет дополнительной добычи нефти, высокого
индекса доходности и низкого периода окупаемости.
Список литературы
Дополнение к проекту разработки Лиственского месторождения,2009
Кудинов В.И. Основы нефтегазопромыслового дела. Москва-Ижевск:
институт компьютерных исследований; Удмуртский Госуниверситет. 2004
Авторский надзор за разработкой Лиственского месторождения
Годовой отчет ОАО «Удмуртнефть» за 2010 год.