Электроснабжение участка газоочистки ЦМП-4 ОАО Комбинат 'Магнезит'
Введение
Энергия во всех своих формах - основа
обеспечения рациональных технологических условий жизнедеятельности и развития
человечества, уровня его экономического и социального благосостояния. С
появлением трехфазного переменного тока началась новая эра человеческой
цивилизации - эра повсеместного использования электрической энергии, как
универсального энергоносителя, пригодного для практического использования
фактически во всех сферах и производственных процессах человеческой
деятельности.
Электроснабжение таких предприятий, как
«комбинат «Магнезит» представляет из себя очень сложную технологически систему.
Для обеспечения надежной и бесперебойной работы этой системы, большое значение
имеют устройства релейной защиты и автоматики. Поэтому при проектировании,
изготовлении и эксплуатации устройств релейной защиты и автоматики уделяется
большое внимание обеспечение надежной работы данных устройств. В настоящее
время на «комбинате «Магнезит» ведется постепенное внедрение микропроцессорных
систем релейной защиты и автоматике. Для более быстрого и технологически
правильного развития таких систем на наших предприятиях необходимы грамотно
построенные расчеты систем электроснабжения и естественно
высококвалифицированный персонал. Электрообеспечение промышленности и населения
обеспечивается за счет энергетических ресурсов страны, причем основными
электрическими ресурсами являются природные запасы топлива. Наша страна
обладает огромным запасом таких ресурсов, но экономика нашей страны не
позволяет нам полноценно использовать эти ресурсы. Экономия электроэнергии -
одна из самых важных задач каждого предприятия, так как затраты на
электроэнергию составляют основную часть расходов.
1. ОБЩАЯ ЧАСТЬ
.1 Назначение участка газоочистки
Участок газоочистки ЦМП - 4 предназначено для
отчистки газа, образующихся в результате обжига магнезитового порошка в
электропечах. Очистка газов ведется в несколько этапов. Горящий газ, выходящий
из печи, охлаждается. Затем он поступает на циклоны, применяющихся для
выделения из газовых потоков твердых и капельных частиц размером от 5мкмм и
более. Улавливание пыли в циклонах основано на использовании инерции частиц
(центробежной силы).
Далее печной газ, содержащий более мелкие
фракции пыли, не улавливаемые циклоном, поступают на фильтр, где под
воздействием электрического поля производится окончательная очистка. Степень
очищения пыли составляет 97,5 - 98,5%.
1.2 Основное оборудование и его
технические характеристики
Для работы участка применяют следующее
оборудование:=380 В
.Дымосос-90 кВт
.Шнек-2 кВт
.Шнек-3 кВт
.Шибер-3 кВт
1.3 Категории потребителей
Для обеспечения бесперебойной работы
электроустановки все электрические потребители подразделяются на категории:
Потребители I категории, отключение которых
может привести к опасности для жизни людей, остановке сложного технологического
процесса, повреждению высоко стоящего оборудования, недовыдачи промышленной
продукции и т.д. Эти потребители должны иметь резерв (резервные трансформаторы,
электродвигатели, ЛЭП). Включение резерва происходит автоматически (АВР).
Особая группа потребителей, бесперебойная работа
которого должна обеспечить: безаварийное отключение потребителей, устранить
угрозу для жизни людей, сохранность дорогостоящего оборудования, устранить
причины взрывов и пожаров. Эти электроустановки должны питаться от специальных
вводов, или аккумуляторной батареи.
Потребители II категории, отключение которых
может привести к недовыдачи промышленной продукции, остановке транспорта,
нарушению ритма жизни города и т.д. Эти потребители также должны иметь резерв.
Включение резерва осуществляется обслуживающим персоналом.
К потребителям III категории относят:
вспомогательные цехи, участки не связанные непосредственно с выдачей продукции.
Резерв эти потребители не имеют, их можно отключать на время не более суток.
Участок газоочистки ЦМП-4 относится к II
категории потребителей.
1.4 Существующая схема
электроснабжения
Электроснабжение участка газоочистки
ЦМП-4 осуществляется от двух подстанций: №90,103. От подстанции «Брусит» идет
питающий кабель ААШВ 3
185 на шины подстанции № 103 в
которой находится РУ-6 кВ. От 88 подстанции также идет ввод на понижающую
подстанцию № 90, в которой находится РУ-0,4. Каждое РУ-0,4 состоит из двух
секций. На каждой секции находятся вводные автоматы АВМ20СВ, которые питают
свою секцию. Между секциями находятся секционный автоматический
выключательАВМ20СВ, который может быть включен при аварийных режимах или
выполнении ремонтно-профилактических работ на секциях. Каждый электропункт
также состоят из двух секций, в которые входят вводные и секционные
автоматические выключатели и автоматические выключатели, питающие
электроприемники.
2. СПЕЦИАЛЬНАЯ ЧАСТЬ
.1 Выбор рода тока и напряжения
Выбор рода тока и напряжения зависит
от потребителей подстанции. Для питания применяется трехфазный переменный ток с
частотой 50 Гц. Такая частота называется промышленной, так как она получила
наибольшее распространение в производстве. Подстанции запитываются напряжением
6 кВ, а с подстанции питаются элекроприемники напряжением 0,4 кВ.
Стандартными напряжениями для
электроустановок до 1000 вольт являются 127, 220, 380, 660 вольт. Широко
применяется напряжение 380 вольт для питания силовых потребителей и питания осветительных
установок в системе с заземленным нулевым проводом, напряжение 380 вольт
удовлетворяет основным условиям потребителей.
Для электрической сети цеха ЦМП-4
участок газоочистки принимаем систему напряжением 380 вольт для низковольтных
потребителей и 6 кВ для высоковольтного оборудования. Для электродвигателей
принимаем напряжение 380 вольт, а для осветительной сети, однофазную систему
напряжением 220 вольт, фаза - ноль.
газоочистка
электроснабжение подстанция коммутационный
2.2 Расчет нагрузки на шинах
подстанции
В ЦМП-4 ОАО «Комбината «Магнезит»
применяется секционированная система шин, так как потребители, питающиеся от
подстанции, относятся к потребителям 2 категории.
Расчет сводится к определению
нагрузок на шинах подстанции и выбору силовых трансформаторов.
Определение электрических нагрузок
является одной из наиболее ответственных задач проектирования электроснабжения.
Завышение расчетных нагрузок приводит к увеличению мощности трансформатора, к
завышению сечения линий электропередач и общему удорожанию системы
электроснабжения. При определении электрических нагрузок действующих или
проектируемых промышленных предприятий необходимо учитывать режим работы,
мощность, напряжение, род тока и питание электроприемников.
Определяю общую номинальную мощность
дымососов по формуле

(1)
где Рн - номинальная мощность
электроприемников, кВт;
п - количество электроприемников.

кВт
Определяю сменную активную
потребляемую мощность для дымососов по формуле

(2)
где Рн - общая номинальная мощность
электроприемников, кВт;
Ки - коэффициент использования
оборудования.

кВт
Определяю сменную реактивную
потребляемую мощность для дымососов по формуле

(3)
где tgj - значение, соответствующему коэффициенту cosj (таблица Брадиса)

кВар
Для остальных потребителей расчет
ведется аналогично.
Определяю общий коэффициент
использования по формуле

(4)
где åРсм - сумма средней активной
мощности;
åРн.общ - сумма общих номинальных мощностей.
Определяем отношение максимальной
номинальной мощности к минимальной номинальной мощности потребителя по формуле

(5)

Определяю эффективное число
электроприемников по формуле
по условию m ≥ 3, kи ≥
0,2, то

(6)

Принимаю эффективное число
приемников равное числу потребителей

=1,1
Определяю коэффициент максимальной
полной мощности по таблице

Определяю максимальную активную
мощность по формуле

(7)

кВт
Определяю максимальную реактивную
мощность по формуле

(8)

кВар
Определяю расчетную мощность
трансформатора до установки конденсаторных батарей по формуле

(9)
где 
коэффициент, учитывающий
одновременность работы потребителей 
=0,7
0,95;

- к.п.д. трансформатора 
=0,95;j=
=>
=0,75.

кВА
Для высоковольтных потребителей
расчет ведется аналогично.
Все выше расчитанные данные заношу в
таблицу 1
Таблица 2.1 - Нагрузка на шинах подстанции
Наименование
потребителя n
кВт 
*n
кВт
tgj
кВт
кВар



кВт
кВар
|
кВА
|
|
|
|
|
|
|
|
|
|
|
|
|
|
|
1
|
2
|
3
|
4
|
5
|
6
|
7
|
8
|
9
|
10
|
11
|
12
|
13
|
14
|
15
|
16
|
|
U=380
В
|
|
1.
Дымосос
|
4
|
90
|
360
|
0,7
|
0,8
|
0,75
|
252
|
189
|
|
|
|
|
|
|
|
|
2.
Шнек
|
12
|
2
|
24
|
0,8
|
0,85
|
0,62
|
19,2
|
11,9
|
|
|
|
|
|
|
|
|
3.
Шнек
|
12
|
3
|
36
|
0,8
|
0,85
|
0.62
|
28,8
|
17,9
|
|
|
|
|
|
|
|
|
4.
Шибер
|
6
|
3
|
18
|
0,35
|
0,55
|
1,4
|
6,3
|
8,8
|
|
|
|
|
|
|
|
|
5.
Освещение
|
1
|
20
|
20
|
1
|
1
|
0
|
16
|
0
|
|
|
|
|
|
|
|
|
Итого
|
|
|
458
|
|
|
|
322,3
|
227,6
|
35
|
0,7
|
1,1
|
1,09
|
351,3
|
250,4
|
346,7
|
|
U=6000
В
|
|
1.
Дымосос
|
2
|
90
|
180
|
0,7
|
0,8
|
0,75
|
126
|
94,5
|
|
|
|
|
|
|
|
|
Итого
|
|
|
180
|
|
|
|
126
|
94,5
|
2
|
0,7
|
1,1
|
1,3
|
163,8
|
103,95
|
202,2
|
2.3 Расчет компенсационной установки
Уменьшение коэффициента мощности cos
при практически неизменной активной мощности влечет за собой увеличение общих
потерь, что приводит к увеличению сечения проводников, токовых нагрузок и
мощностей электрооборудования, т.е. ведет к значительному удорожанию стоимости
схемы электроснабжения. Поэтому необходимо рассмотреть вопрос компенсаций
реактивной мощности потребляемой от энергосистемы.
Устанавливаю компенсационную установку на шинах
подстанции №90
Определяю расчетную мощность компенсационной
установки по формуле

(10)
где 
;

=0,2
0,32; принимаю 
=0,2.

кВар
На одну секцию шин приходится

кВар
Принимаю к установке 2
конденсаторные ботареи УКЗ-0,38-75УЗ
Суммарная мощность компенсационной
установки равна 
кВар
Определяю остаточную реактивную
мощьность после установки конденсаторных батарей по формуле


Рисунок 2.1 - Векторная диаграмма

(11)

кВар
Определяю фактический 
по формуле

(12)
следовательно 
=0,98
Определяю расчетную мощность
трансформатора после установки
конденсаторных батарей по формуле 9
2.4 Выбор трансформаторов
Исходя из условия 
, по расчетной мощьности принимаю к
установке на подстанции №90 2 трансформатора ТМН 400/10, оба в работе.
Таблица 2.2 - Технические данные
трансформаторов
|
Марка
трансформатора
|
Верхний
предел номинального напряжения обмоток, кВ
|
Потери,
кВт
|
Напряжение
К.З. от номинального
|
|
ВН
|
НН
|
Х.Х.
|
К.З
|
|
|
1
|
2
|
3
|
4
|
5
|
6
|
|
ТМН
400/10
|
10
|
0,69
|
1,08
|
5,9
|
5,5
|
2.5 Расчет питающих линий
Выбор кабеля, питающего шины подстанции на 6кВ
Расчетный ток в кабеле

(13)
где Sн.тр - номинальная мощность
трансформатора, кВА;н - номинальное напряжение трансформатора, кВ.

А
Расчетный ток в кабеле с учетом
поправочных коэффициентов

(14)
где 
- коэффициент зависимости от
окружающей среды кабеля. Кабель проложен в почве t=20
, следовательно, 
=1,07;

- коэффициент зависимости от
количества кабеле в траншеи. Принимаю 3 кабеля, расстояние между кабелями 100
мм, следовательно, 
=0,9.

А
Принимаю кабель ААШВ 3
185, ток длительно допустимый 
А.
Выбранный кабель проверяю на
экономическую плотность тока

(15)
где 
-экономическая плотность тока,А/
. При числе использования максимума
нагрузок более 5000 ч/год экономическая плотность кабеля с аллюминивыми жилами 
=1,6 А/
.

По экономической плотности тока
кабель выбранный кабель проходит.
Проверяю кабель на потерю напряжения

(16)
где 
- длинна кабеля, км;

-активное сопративление 1 км
кабеля,Ом/км;

-индуктивное сопративление 1 км
кабеля,
=0,08 Ом/км ;

(17)
где 
- удельное сопративление материала
провода, для аллюминия

;

-сечение жилы выбранного кабеля, 
.

Ом/км
Кабель по потери напряжения
проходит, т.к. не привышает максимального значения в 5%.
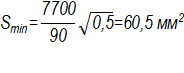
Принятый кабель проверяю на
термическую прочность. Для выбора термически устойчивого сечения жил кабеля
необходимо иметь значение установившегося тока короткого замыкания из
соответствующего расчета и возможное время прохождения этого тока через кабель.
Время определяется установкой защиты. Определение сечения по термической
устойчивости производится по формуле

(18)
где 
-ток короткого замыкания, 
=7400 А;

- удельное сопротивление, для
алюминия 
90;

- время прохождения тока через
кабель, 
=0,5 сек.
Сечение выбранного кабеля по
термической прочнности проходит.
Окончательно принимаю кабель ААШВ 3
185.
Расчет кабеля питающего дымосос и
трансформатор ТМН 400/10 ведется аналогично.
Принимаю кабель ААШВ 3
16 для дымососа и ААШВ 3
50 для трансформатора
Кабели для питания низковольтных
потребителей выбору по расчетному току при выборе коммутационной аппаратуры.
2.6 Расчет токов короткого замыкания
Короткое замыкание возникает при пробое
изоляции, при падении опор, при захлестывании проводов, при неправильных
действиях обслуживающего персонала. В момент короткого замыкания напряжение в
сети падает, а токи возрастают в десятки раз.
Для вычисления токов короткого
замыкания составляется расчетная схема (рис. 2.2), соответствующая нормальному
режиму работы электроснабжения. В расчетной схеме учитываются сопротивления
питающих трансформаторов, высоковольтных кабельных линий. По расчетной схеме
составляется схема замещения (рис.3), в которой указывается сопротивления всех
источников и потребителей и намечаются точки для расчета токов короткого
замыкания.
Рисунок 2.2 - Расчетная схема токов
КЗ
Рисунок 2.3 - Схема замещения
Для расчета задаю базисные величины:

; 
кВ; 
кВ
Определяю индуктивное сопротивление
источника питания

(19)
Определяю индуктивное сопротивление
питающего кабеля

(20)
Определяю активное сопротивление
кабельной линии

(21)
Определяю индуктивное сопротивление
трансформатора ТМН 400/10

(22)
Определяю реактивное сопротивление
трансформатора ТМН 400/10

(23)
Расчет токов короткого замыкания для
точки 
Суммарное сопротивление
Полное сопротивление зависит от
отношения 
, которое меньше 
, следовательно полное сопротивление

Ом.
Базисный ток

(24)
Периодический ток

(25)

кА
Ударный ток

(26)
где 
- ударный коэффициент, зависит от
отношения 
, 
=1,85
Девствующий ток КЗ

(27)

Мощность КЗ

(28)

Расчет токов КЗ для точек 
ведется аналогично.
Данные расчета заношу в таблицу 3
Таблица 2.3 - Расчет токов короткого
замыкания
|
Точка
КЗ
|
 , кА  , кА  , кА  , МВА
|
|
|
|
|
1
|
2
|
3
|
4
|
5
|
|
 7,720,11283,9
|
|
|
|
|
|
 37,397,358,325,8
|
|
|
|
|
2.7 Выбор коммутационной аппаратуры
напряжением до и выше 1000 В
Электрические аппараты работают во время
эксплуатации в трех основных режимах: в длительном номинальном режиме, в режиме
перегрузки (с повышенной нагрузкой, которая для некоторых аппаратов достигает
значения до 1,4 номинальной) и в режиме короткого замыкания.
Надежная работа аппаратов и других устройств
обеспечивается:
в длительном режиме правильным выбором их по
номинальному напряжению и току;
в режиме перегрузки ограничением величины и
длительности повышения напряжения или тока в таких пределах, при которых еще
гарантируется нормальная работа электрических установок за счет запаса
прочности;
в режиме короткого замыкания - соответствием
выбранных параметров по условиям термической и электрической прочности.
Выбор коммутационной аппаратуры напряжением выше
1000 В
Принимаю максимальную нагрузку на шины
подстанции в случае, если один из трансформаторов выйдет из строя.
Выбор шин
Принимаю максимальную нагрузку на шины
подстанции в случае, если один из трансформаторов выйдет из строя. Определяю
расчетный ток нашинах

А
Определяю расчетный ток с учетом
поправочных коэффициентов

(29)
где 
- поправочный коэффициент, зависящий
от окружающей температуры вокруг шины, t=25 
, следовательно, 
=0,93;

- поправочный коэффициент на способ
укладки шины, шину укладываю плашмя, следовательно, 
=0,95;

- поправочный коэффициент на
количество шин на фазу, принимаю 1 штука на фазу, следовательно,
=1.
Принимаю к установки 2 шины АТ-60
8, 
.
Выбранную шину проверяю на
динамическую прочность.
Определяю усилие, действующее на
шину при трехфазном КЗ

(30)
где а - расстояние между фазами,
а=300
350 мм- расстояние между соседними
изоляторами L=1000
1500 мм
Определяю изгибающий момент,
действующий на шину

(31)


(32)
где 
- высота выбранной шины, 
=6 см;ширина выбранной шины, b=0,8
см;
Определяю напряжение, возникающее в
материале шины

(33)
По условию расчетное напряжение не
должно превышать допустимого 
.
Данное условие соблюдается,
выбранная шина динамически устойчива.
Выбранную шину проверяю на
термическую прочность.
Минимальное сечение шины рассчитываю
по формуле 18
Выбранное сечение шины 
, следовательно, шина термически
устойчива.
Окончательно принимаю к установки 2
шины АТ- 60
8.
Выбор изоляторов
Выбираю опорные изоляторы по
условиям
н.изг³ Uн.уст, (34)
где Uн.изг - номинальное напряжение
на изгиб, кВ;н.уст - номинальное установившееся напряжение, кВ.
(3)£0,6*Fразруш, (35)
где F(3)=3,7Н - расчетное усилие;
разруш - разрушающая нагрузка на изгиб, кгс.
Принимаю к установки опорный
изолятор марки ИО-6-375 УХЛ
Технические данные изолятора заносим
в таблицу 2.4.
Таблица 2.4 - Выбор опорного
изолятора
|
Номинальные
данные
|
Расчетные
данные
|
|
1
|
2
|
|
Uн.уст
=6 кВ
|
Uн.изг=6
кВ
|
|
Fразруш=3750
Н
|
F(3)=203,2
Н
|
Выбранный изолятор марки ИО-6-375 УХЛ по
условиям проходит.
Выбираю проходной изолятор по условиям формул
(39) и (40)
Принимаю к установке проходной изолятор
ИП-10/400-375ПУ.
Технические данные проходного изолятора заносим
в таблицу 5.
Таблица 2.5 - Выбор проходных изоляторов
|
Номинальные
данные
|
Расчетные
данные
|
|
1
|
2
|
|
Uн.уст
=6 кВ
|
Uн.изг=6
кВ
|
|
Fразруш=375
Н
|
F(3)=203,2
Н
|
Выбор разъединителей
Разъединители выбираются исходя из условий
н³ Uн.уст, (36)
где Uн - номинальное напряжение разъединителя,
кВ.
н ³ Iрасч, (37)
где Iн - номинальный ток на разъединителе, А.
Проверяются на динамическую устойчивость по
формулам

³, 
(38)
где 
- допустимый ударный ток, кА;

- расчетный ударный ток,
=20,1 кА.
н.д ³ Iд.расч, (39)
где Iн.д - наибольшее действующее
значение тока короткого замыкания, кА;д.расч - расчетное действующее значение
тока короткого замыкания, Iдрасч=12 кА.
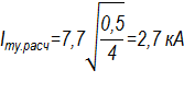
Проверяем на термическую прочность
по формулам
н.ту³ Iту.расч, (40)
где Iн.ту - ток термической
устойчивости за время tн.ту, кА;ту.расч - расчетный ток термической
устойчивости за время tн.ту, кА

(41)
где Iпо - расчетный установившийся
ток короткого замыкания, Iпо=7,7кА;пр - приведенное время протекания тока
короткого замыкания в проводе,tпр=0,5с;н.ту - время, к которому отнесен
номинальный ток термической устойчивости, с.
Принимаю к установке разъединитель
РВК-10/2000 УХЛ1
Технические данные разъединителя
заношу в таблицу 6.
Таблица 2.6 - Выбор разъединителя
|
Номинальные
данные
|
Расчетные
данные
|
|
1
|
2
|
|
Uн.уст
=6 кВ
|
Uн.изг=6
кВ
|
|
Iн=2,0
кА
|
Iрасч=1,7
кА
|
|
 =25 кА =20,1 кА
|
|
|
Iн.д=15,75
кА
|
Iд.расч=12
кА
|
|
Iн.ту=6,3
кА
|
 =2,7 кА
|
Выбор силовых выключателей
Принимаю к установке выключатель ВМПЭ 10-23
Таблица 2.7 - Выбор силовых выключателей
|
Номинальные
данныеРасчетные данные
|
|
|
1
|
2
|
|
Uн.
=10 кВ
|
Uр=6
кВ
|
|
Iн=2,1
кА
|
Iрасч=1,7
кА
|
|
 =25 кА =20,1 кА
|
|
|
Iк.з.=15кА
|
Iд.расч=12
кА
|
|
Iн.ту=20
кА
|
 =2,7 кА
|
|
Iу=52кА
|
Iп.о=7,7кА
|
Выбор трансформатора тока.
Трансформаторы тока выбираются исходя из условий
н.тр³ Uн.уст, (42)
где Uнтр - номинальное напряжение
трансформатора, кВ.
н³ Iрасч, (43)
где I1н - номинальный первичный ток, А.
Принимаю к установки трансформатор тока ТПЛ-10-М
Технические данные трансформатора заношу в
таблицу 2.8.
Таблица 2.8 - Выбор трансформатора тока
|
Номинальные
данные
|
Расчетные
данные
|
|
1
|
2
|
|
Uн.тр
=10 кВ
|
Uн.уст=6
кВ
|
|
I1н=2,5
кА
|
Iрасч=1,7
кА
|
|
Класс
точности 0,5
|
К трансформаторам тока подключаются приборы:
амперметр, ваттметр, электросчетчик активной и реактивной электроэнергии,
фазометр.
Таблица 2.9 - Технические характеристики
приборов
|
Наименование
прибора
|
|
|
|
|
|
|
|
1
|
2
|
3
|
4
|
5
|
6
|
7
|
|
Амперметр
|
0,07
|
1,75
|
0
|
1
|
1,75
|
1,75
|
|
Ваттметр
|
0,05
|
1,25
|
1
|
0
|
1,25
|
0
|
|
Электросчетчик
 0,201 1,75 0,38
0,92 0,665 1,61
|
|
|
|
|
|
|
|
Электросчетчик
 0,011 1,73 0,38
0,92 0,657 1,59
|
|
|
|
|
|
|
|
Фазометр
|
-
|
4,7
|
1
|
0
|
0,96
|
0,8
|
Выбор трансформатора напряжения
Принимаю к установке трансформатор напряжения
НТМИ-10-66 с классом точности 0,5. Трансформатор работает в своем классе
точности. Трансформаторы напряжения не проверяются на динамическую и
термическую прочность.
Выбор коммутационной аппаратуры напряжением ниже
1000 В.
Выбор шин
Определяю расчетный ток по формуле (13)
Определяю расчетный ток с учетом поправочных
коэффициентов по формуле (29)
Принимаю к установке шину АТ 80*8,
.
Выбранную шину проверяю на
динамическую прочность.
Определяю усилие, действующее на
шину при трехфазном КЗ по формуле (30)
Определяю изгибающий момент,
действующий на шину по формуле (31)
Определяю момент сопротивления шины
(шина уложена плашмя) по формуле (32)
По условию расчетное напряжение не
должно превышать допустимого 
.
Данное условие соблюдается,
выбранная шина динамически устойчива.
Проверяю шину на термическую
прочность
Минимальное сечение шины рассчитываю
по формуле (18)
Выбранное сечение шины 
, следовательно, шина термически
устойчива.
Окончательно принимаю к установке
шину АТ80
8.
Выбор коммутационной аппаратуры для
низковольтных потребителей
Расчетный ток, приходящийся на
дымосос

(44)
где 
- номинальная мощность
электроприемника
Принимаю к установке автомат,
питающий электроприемник марки ВА-57-31-200А 
200 А, магнитный пускатель ПМЛ-6600,
кабель марки ААШВ 3
140.
Для остальных электроприемников
оборудование выбирается аналогично, выбранное оборудование заносится в таблицу
2.10.
Таблица 2.10 - Выбор коммутационной
аппаратуры для низковольтных потребителей
Наименование
оборудования 
|
кВт
 кВтТип
автоматаТип блока управленияТип пускателяМарка кабеля
|
|
|
|
|
|
|
|
1
|
2
|
3
|
4
|
5
|
6
|
7
|
|
1)
Дымосос
|
90
|
136
|
ВА
57-31 200 А
|
-
|
ПМЛ-6600
|
ААШВ
3 140
|
|
2)Шнек
|
2
|
3
|
ВА
57-31 16 А
|
-
|
ПМЛ-1600
|
ААШВ
3 16
|
|
3)
Шнек
|
3
|
4
|
ВА
57-31 16 А
|
-
|
ПМЛ-1600
|
ААШВ
3 16
|
|
4)Шибер
|
3
|
4
|
ВА
57-31 16 А
|
-
|
ПМЛ-1600
|
ААШВ
3 16
|
2.8 Выбор защитной аппаратуры
Защита питающего кабеля в цепи трансформатора
ТМН-400/10:
а) от перегруза;
б) максимально токовая защита;
в) земляная защита.
а) Защита от перегруза выполняется на одном
токовом реле подключенном к трансформатору тока любой фазы. Выполняется защита
с выдержкой времени с действием на схемах.
Определяю ток срабатывания защиты

(45)
где 
- номинальный ток на линии, А;

- коэффициент надежности, 
=1,4;

- коэффициент схемы, 
=1;

- коэффициент трансформации по току,

;
кв - коэффициент возвраты, кв =0,95,
По рассчитанному току срабатывания
принимаю к установке тип реле РТ-40/6, установочный ток 
=12,5 А. Соединение катушек
последовательное.
б) Максимально токовая защита от КЗ
выполняется по двухрелейной схеме, т.к. трансформаторы соеденены в звезду.
Определяю ток срабатывания защиты

(46)
По расчетному току срабатывания
принимаю к установке тип реле РТ-40/100, ток срабатывания защиты 
=(25
100)А. Соединение катушек
последовательное.
в) Земляная защита выполняется
трансформатором тока нулевой последовательности.
Защита высоковольтного двигателя
дымососа:
а) от перегруза с выдержкой времени;
б) максимально токовая от КЗ;
в) минимально токовая защита.
а) Защита от перегруза выполняется
на одном токовом реле, подключенном в любую фазу.
Определяю номинальный ток двигателя

(47)
Определяю ток срабатывания защиты от
перегруза по формуле (45)
По расчетному току срабатывания
принимаю к установке тип реле РТ-40/0,6, ток срабатывания защиты 
=(0,15
0,3) А. Соединение катушек
последовательное.
б) Максимально токовая защита от КЗ
выполняется по двухрелейной схеме.
Определяю ток срабатывания защиты

(48)
Принимаю к установке тип реле РТ
40/2, ток срабатывания защиты 
=(3,0
6,0) А. Соединение катушек
параллельное.
в) Минимальная защита двигателя от
понижения напряжения в сети выполняется на реле напряжения типа типа РН. Реле
срабатывает при 
. Защита выполняется с выдержкой
времени 
.. Принимаю к установке реле времени
ЭВ-132, промежуточное реле РП-1/51, и сигнальное реле ЭС.
.9 Расчет сети освещения
Для освещения цеха принимаю к
установке лампы ДРЛ-700, световой поток лампы 
.
Определяю освещаемую площадь цеха

(49)
где 
- длинна помещения, 
=50 м;

-ширина помещения, 
=15 м.
Определяю число ламп, необходимое
для освещения цеха

(50)
где 
- норма освещенности, так как
помещение цеха относится к категории «машинные помещения», то 
=40 лк;

-коэффициент использования
помещения, 
=1,5 
1,8;

-коэффициент минимума освещенности, 
=1,15 
1,3;

- к.п.д. светильников,
=0,45.
Устанавливаю лампы в два ряда в
шахмотном порядке по 3 лампы в ряду, расстояние между лампами 12,5 м, между
рядами 5 м.
.10 Расчет защитного заземления
Цепь защитного зпземления выбирается
для самого удаленного потребителя, которым является дымосос
Цепь защитного заземления
складывается из следующих сопротивлений

(51)
Определяю сопротивление заземляющей
жилы вводного кабеля

(52)
где 
;

-длина питающего кабеля, 
=420 м;

0,17*0,42=0,07 Ом
Определяю сопративление заземляющей
жилы питающего кабеля по формуле(52)

=2*0,10=0,2 Ом
Определяю сопротивление на главном
заземлителе

(53)
Главный заземлитесь выполняется из
труб, длинна трубы 
=3 м, диаметр трубы 
=60 см, глубина траншеи 
=0,5 м, расстояние между трубами 5
м, расстояние от поверхности до середины трубы t=2 м.
Определяю сопротивление одной трубы

(54)
где 
-удельное сопротивление грунта, для
суглинистых пород 
=0,8*104.
Определяю число труб заземлителей

(55)
Принимаю 10 труб.
Определяю длину линии заземления

(56)
где 
- количество труб;

-расстояние между трубами.
Определяю сопротивление заземляющей
полосы

(57)
Определяю фактическое сопротивление
главного заземлителя

(58)
где 
- к.п.д. трубы, 
=0,75;

- к.п.д. полосы, 
=0,75.
Определяю фактическое сопротивление
цепи заземления
3. ОРГАНИЗАЦИЯ ПРОИЗВОДСТВА
.1 Организация работ по обслуживанию
электрооборудования отделения
Структура оперативного обслуживания
подстанций и электроустановок представлена на рисунке 3.1.
Рисунок 3.1 - Структура
электромеханической службы участка газоочистки ЦМП-4
Главный энергетик.
Осуществляет в соответствии с
действующими законодательствами и нормативными актами, регулирующими
производственно-хозяйственную деятельность предприятия, руководство производственным
участком цеха сетей и подстанций.
Обеспечивает:
выполнение цехом основной задачи -
непрерывное электроснабжение завода,
выполнение своевременных
качественных ремонтов оборудования, зданий, сооружений участка,
экономное расходование материалов,
воды, пара, электроэнергии, снижение издержек производства.
Своевременно подготавливает
производство, обеспечивает расстановку оперативного и ремонтного персонала,
контролирует соблюдение Правил эксплуатации электроустановок, Правил техники
безопасности, контролирует полноту и качество обслуживания и ремонтов
электрооборудования, оперативно выявляет нарушения и устраняет причины.
Проверяет качество получаемой и
передаваемой электроэнергии. Следит за использованием электроэнергии
потребителями. Осуществляет контроль за загруженностью головных
трансформаторов.
Обеспечивает правильное
использование производственных площадей, оборудования, ремонтной оснастки.
Устанавливает и своевременно доводит
производственные задания бригадам оперативной и ремонтной служб в соответствии
с утвержденными планами, графиками, нормативными показателями по использованию
электрооборудования, материалов, инструктажа, энергии.
Контролирует производственный
инструктаж электромонтеров оперативной и ремонтной служб, производит
мероприятия по выполнению Правил охраны труда, техники безопасности и
производственной санитарии, технической эксплуатации оборудования и
инструментов, а также контроль за их соблюдением.
Содействует внедрению прогрессивных
форм организации труда, вносит предложения о пересмотре норм времени на ремонт
и обслуживание электрооборудования. Вносит предложения о присвоении, в
соответствии с единым тарифно-квалификационным справочником работ и профессий,
рабочих разрядов рабочим участка в тарификации работ.
Анализирует результаты
производственной деятельности, контролирует расходование фонда оплаты труда,
обеспечивает правильность и своевременность оформления первичных документов по
учету рабочего времени, выработки, коэффициент качества труда, простоев,
заработной платы.
Содействует распоряжению передового
опыта развитию инициативы, внедрению рациональных предложений и изобретений.
Контролирует соблюдение рабочими
Правил охраны труда, техники безопасности, производственной и трудовой
дисциплины, Правил внутреннего трудового распорядка.
Готовит предложения о поощрении
рабочих или применении мер материального воздействия, нарушителей
производственной или трудовой дисциплины.
Организует работу по повышению
квалификации и профессионального мастерства рабочих и бригадиров, обучению их вторым
и смежным профессиям, обучению исполнителей работ по документам системы
качества, проводит воспитательную работу в коллективе:
изучает и внедряет документацию по
системе качества,
владеет технической документацией.
б) Мастер.
Обеспечивает:
выполнение участком плановых заданий
по ремонту электрооборудования,
выполнение своевременных
качественных ремонтов оборудования, зданий, сооружений участка,
экономное расходование материалов,
воды, пара, электроэнергии, снижение издержек производства.
) Устанавливает и своевременно
доводит производственные задания рабочим в соответствии с графиком ТоиР по
ремонту и испытаниям электрооборудования и осуществляет контроль за его
выполнением подчиненным персоналом участка.
) Составляет графики ТоиР по ремонту
и испытаниям электрооборудования и осуществляет контроль за его выполнением
подчиненным персоналом участка.
) Составляет заявки на приобретение
запасных частей, электрооборудования, материалов, постоянно обеспечивает
участки материально-техническими ресурсами.
) Контролирует соблюдение трудовой и
технологической дисциплины, правил техники безопасности подчиненным персоналом.
) Принимает участие в разработке
инструкций по технике безопасности для подчиненного персонала, осуществляет
инструктаж и постоянный контроль за выполнением правил техники безопасности,
противопожарной безопасности и промышленной санитарии.
) Выявляет причины аварий, участвует
в составлении актов и принимает соответствующие меры по устранению и
предупреждению аварий.
) Ведет на участке соответствующую
документацию.
) Анализирует результаты
производственной деятельности, контролирует расходование фондов оплаты труда,
обеспечивает правильность, и своевременность оформления первичных документов по
учету рабочего времени, выработки коэффициента качества труда, простоев,
заработной платы.
) Содействует распространению
передового опыта, развитию инициативы, внедрению рационализаторских предложений
и изобретений.
) Организует работу по повышению
квалификации и профессионального мастерства рабочих и бригадиров, обучению их
вторым профессиям, проводит воспитательную работу в коллективе.
) Обеспечивает исправное техническое
состояние тепло потребляющих установок и тепловых сетей участка и их безопасную
эксплуатацию.
) Владеет технической документацией.
) Строго соблюдать трудовую,
производственную и технологическую дисциплину, Правила внутреннего трудового
распорядка.
) Выполнять работы и обязанности
электрослесаря по ремонту электрооборудования в объеме требований единого
тарифно-квалификационного справочника по соответствующему разряду.
) Полностью использовать рабочее
время выполнением работ по заданию мастера.
) Содержать в чистоте и исправности
инструмент, спецодежду, индивидуальные средства защиты, свое рабочее место.
) Выполнять законные требования
бригады, мастера, начальника участка, касающихся вопросов ПЭЭП, ПТБ, трудовой,
производственной, технологической дисциплины, содержания зданий и сооружений
участка.
) Соблюдать правила техники
безопасности, правила пожарной безопасности и уметь применять противопожарные
средства при пожарах в электроустановках.
) Соблюдать правила личной гигиены,
правила применения индивидуальных защитных средств и спецодежды.
) Экономно расходовать материалы,
все виды энергии. Бережно относиться к собственности цеха завода, государства.
) Должен знать назначение,
устройство, принцип работы, технические характеристики, порядок пуска и
остановки, порядок вывода и ремонт, ввода в работу после ремонта, объем
ремонтов всего электрооборудования участка.
3.2 Штатное расписание. Баланс
рабочего времени
Штатное расписание
Штат производственного персонала
планируется отдельно по категориям:
рабочие, ИТР, служащие, МОП,
ученики.
Численность рабочих планируется по
рабочим местам, профессиям, основному и вспомогательному производству.
Численность рабочих рассчитывается
по нормам выработки, нормам обслуживания рабочих мест, машин и механизмов или
по штатному расписанию. Сначала определяется явочный состав, а затем списочный.
Явочная численность, чел., по
нормативу численности определяется
яв. =А • Nч.•псм., (59)
где А - число агрегатов или рабочих
мест;ч. - норматив численности или количество рабочих, необходимых для
обслуживания одного агрегата или рабочего места в смену;
псм.- количество смен в сутках.
Списочный состав, чел., определяется
сп.=Nяв.•Ксп., (60)
где Ксп. - списочный коэффициент,
зависящий от режима работы предприятия.
Списочный коэффициент, определяется

(61)
где Тгод - число рабочих дней в году
подразделения, дни;

- число дней работы рабочих, дни;
Принимаю Дежурный электрик
Явочный состав

дня
где 365 - количество дней в году;
- выходные дни;
- отпуск;
,96 - коэффициент, учитывающий
невыходы на работу по уважительным причинам.
Списочный коэффициент
Списочный состав
Аналогично рассчитываем для
остальных работников. Полученные результаты заносим в таблицу 3.1.
Таблица 3.1 - Штатное расписание
участка (цеха)
|
Наименование
профессии
|
Разряд
|
Явочный
состав, чел.
|
В
том числе по сменам
|
Списочный
коэффициент
|
Списочный
состав, чел.
|
|
|
|
1
|
2
|
3
|
|
|
|
1
|
2
|
3
|
4
|
5
|
6
|
7
|
8
|
|
1.Дежурный
электрик
|
5
|
6
|
2
|
2
|
2
|
164
|
10
|
|
2.Электромонтер
|
6
|
4
|
-
|
4
|
-
|
1,25
|
5
|
|
3.Электромонтер
|
5
|
6
|
-
|
6
|
-
|
1,25
|
7
|
Баланс рабочего времени
Дежурный персонал работает по трехсменному
четырехбригадному графику.
Остальные - по «пятидневке».
Пример расчета баланса рабочего времени
представлен в таблице 12.
Таблица 3.2 - Баланс рабочего времени
|
Показатели
|
Оперативный
персонал
|
|
скользящий
график работы (3-хсм. 4-х бр.)
|
прерывный
режим работы («пятидневка»)
|
|
дни
|
часы
|
дни
|
часы
|
|
1.Календарное
время
|
365
|
365*24=8760
|
365
|
365*8=2920
|
|
2.Выходныедни
по графику
|
92
|
92*24=2208
|
104
|
104*8=832
|
|
3.Праздничные
дни
|
10
|
10*24=240
|
10
|
10*8=80
|
|
4.Номинальное
время
|
365-92-10=263
|
263*24=6312
|
365-104-10=251
|
251*8=2008
|
|
5.Невыходы
на работу: всего
|
92+10+42+12+3=159
|
159*24=3816
|
104+10+42+12+3=171
|
171*8=1368
|
|
вт.ч.
В связи с отпуском:
|
42
|
|
42
|
|
|
по
болезни:
|
12
|
|
12
|
|
|
По
другим уважительным причинам:
|
3
|
|
3
|
|
|
6.Эффективное
время
|
365-159=206
|
206*24=4944
|
365-171=194
|
194*8=1552
|
|
7.Эффективное
время, %
|
206/365=56%
|
|
194/365=53%
|
|
3.3 Графики выходов на работу
Таблица 3.3 - График выходов на работу дежурного
персонала
|
Календарные
дни
|
1
1
|
2
2
|
3
|
4
|
5
|
6
|
7
|
8
|
9
|
10
|
11
|
12
|
13
|
14
|
15
|
16
|
17
|
18
|
19
|
20
|
21
|
22
|
23
|
24
|
25
|
26
|
27
|
28
|
29
|
30
|
31
|
|
1
|
2
|
3
|
4
|
5
|
6
|
7
|
8
|
9
|
10
|
11
|
12
|
13
|
14
|
15
|
16
|
17
|
18
|
19
|
20
|
21
|
22
|
23
|
24
|
25
|
26
|
27
|
28
|
29
|
30
|
31
|
32
|
|
1бр.
|
2
|
1
|
В
|
В
|
2
|
1
|
В
|
В
|
2
|
1
|
В
|
В
|
2
|
1
|
В
|
В
|
2
|
1
|
В
|
В
|
2
|
1
|
В
|
В
|
2
|
1
|
В
|
В
|
2
|
1
|
В
|
|
2бр.
|
В
|
2
|
1
|
В
|
В
|
2
|
1
|
В
|
В
|
2
|
1
|
В
|
В
|
2
|
1
|
В
|
В
|
2
|
1
|
В
|
В
|
2
|
1
|
В
|
В
|
2
|
1
|
В
|
В
|
2
|
1
|
|
3бр.
|
В
|
В
|
2
|
1
|
В
|
В
|
2
|
1
|
В
|
В
|
2
|
1
|
В
|
В
|
2
|
1
|
В
|
В
|
2
|
1
|
В
|
В
|
2
|
1
|
В
|
В
|
2
|
1
|
В
|
В
|
2
|
|
4бр.
|
1
|
В
|
В
|
2
|
1
|
В
|
В
|
2
|
1
|
В
|
В
|
2
|
1
|
В
|
В
|
2
|
1
|
В
|
В
|
2
|
1
|
В
|
В
|
2
|
1
|
В
|
В
|
2
|
1
|
В
|
В
|
Таблица 3.4 - График выходов на работу
оперативно-ремонтного персонала
|
Календарные
дни
|
1
1
|
2
2
|
3
|
4
|
5
|
6
|
7
|
8
|
9
|
10
|
12
|
13
|
14
|
15
|
16
|
17
|
18
|
19
|
20
|
21
|
22
|
23
|
24
|
25
|
26
|
27
|
28
|
29
|
30
|
31
|
|
1
|
2
|
3
|
4
|
5
|
6
|
7
|
8
|
9
|
10
|
11
|
12
|
13
|
14
|
15
|
16
|
17
|
18
|
19
|
20
|
21
|
22
|
23
|
24
|
25
|
26
|
27
|
28
|
29
|
30
|
31
|
32
|
|
1бр.
|
2
|
2
|
2
|
2
|
2
|
В
|
В
|
2
|
2
|
2
|
2
|
2
|
В
|
В
|
2
|
2
|
2
|
2
|
2
|
В
|
В
|
2
|
2
|
2
|
2
|
2
|
В
|
В
|
2
|
2
|
2
|
3.4 Графики осмотров и
планово-предупредительных ремонтов
Обслуживающий персонал должен знать:
а) Перспективы технического развития предприятия
и цеха.
б) Технические требования, предъявляемые к
энергоносителям.
в) Оборудование участка и правила его
технической эксплуатации.
г) Основы трудового законодательства.
д) Правила и нормы охраны труда, техники
безопасности, производственной санитарии, противопожарной защиты.
е) Основы экономики, организации труда,
производства и управления.
ж) Общие правила безопасности на предприятии
металлургической промышленности.
з) Рабочие схемы по всем электроустановкам цеха.
и) Конструктивные особенности и эксплуатационные
характеристики оборудования цеха.
к) Положение об оплате труда.
л) Правила внутреннего распорядка.
В систему технического обслуживания и ремонта
электрооборудования входят: техническое обслуживание, текущие, средние и
капитальные ремонты, техническое обслуживание проводится в периоды между
ремонтами и предусматривает контроль за соблюдением режимов работы и соблюдение
правил ПТЭ и осмотр за работой электрооборудования, проверку показания
приборов, нагрева машин и т.д.
Текущий ремонт - ремонт, выполненный для
обеспечения или восстановления работоспособности электрооборудования. Производится
на месте установки, электрооборудования с его остановкой и отключением.
Средний ремонт - производится полная или
частичная разборка электрооборудования.
Составляем график планово-предупредительных
ремонтов:
Таблица 3.5 - График планово-предупредительных
ремонтов для пусковой аппаратуры
|
Место
установки пусковой аппаратуры
|
месяцы
|
|
1
|
2
|
3
|
4
|
5
|
6
|
7
|
8
|
9
|
10
|
11
|
12
|
|
Дымосос
|
Т
|
|
|
|
Т
|
|
|
|
Т
|
|
|
|
|
Шнек
|
|
Т
|
|
|
|
Т
|
|
|
|
Т
|
|
|
|
Шибер
|
|
|
Т
|
|
|
|
Т
|
|
|
|
Т
|
|
Таблица 3.6 - График планово-предупредительных
ремонтов для автоматических выключателей
|
Место
установки автоматических выключателей
|
месяцы
|
|
1
|
2
|
3
|
4
|
5
|
6
|
7
|
8
|
9
|
10
|
11
|
12
|
|
Дымосос
|
Т
|
|
|
|
Т
|
|
|
|
Т
|
|
|
|
|
Шнек
|
|
Т
|
|
|
|
Т
|
|
|
|
Т
|
|
|
|
Шибер
|
|
|
Т
|
|
|
|
Т
|
|
|
|
Т
|
|
4. ЭКОНОМИКА ПРОИЗВОДСТВА
.1 Расчёт расхода и стоимости
электроэнергии
Затраты на электрическую энергию рассчитывается
по двух - ставочному тарифу:
Т=а Р +в N. (62)
где Р - расход потребляемой энергии, 1 кВт ч;
а - тариф за 1 кВт ч, а = 1,7 руб.;-
установленная мощность оборудования, кВт;
в - плата за установленную мощность, руб./кВт (в
= 200 руб./кВт.).
Расчет потребляемой энергии приводится в таблице
4.1.
Таблица 4.1 - Исходные данные для расчета
потребляемой энергии
|
Наименование
оборудования
|
Количество
|
Рном,
кВт, единицы оборудования
|
Рсум,
кВт
|
Баланс
рабочего времени, ч, Тр*псм*tсм*Кэкс
|
Расход
потребляемой электроэнергии, кВт*ч
|
|
1.Дымосос
|
6
|
90
|
540
|
8760
|
4730400
|
|
2.Шнек
|
12
|
2
|
24
|
8760
|
210240
|
|
3.Шнек
|
12
|
3
|
36
|
8760
|
315360
|
|
4.
Шибер
|
6
|
3
|
18
|
8760
|
157680
|
|
5.Тр.
ТМН 400/10
|
2
|
400
|
800
|
8760
|
7008000
|
|
Итого
|
|
498
|
1418
|
|
12421680
|
|
Неучтено
10%
|
|
49,8
|
141,8
|
|
1242168
|
|
Всего
|
|
547,8
|
1559,8
|
|
13663848
|
Затраты на электроэнергию составят
Т=1,7*13663848+200*1559,8=23540501,6 руб.
4.2 Расчет заработной платы
трудящихся
Фонд рабочего времени чел - часы, определяется

(63)
где Тгод - число рабочих дней в году
подразделения, дни;
Тсм. - время смены, часы;см. -
количество смен в сутках;яв. см. - явочная численность трудящихся в смену, чел.
Принимаю Дежурный электрик

(чел-час)
Фонд рабочего времени, чел - часы,
оплачиваемый по сдельно - премиальной системе, определяется

(64)

(чел-час)
Фонд рабочего времени, чел - часы,
оплачиваемый по повременно - премиальной системе, определяется

(65)

(чел-час)
Ночные часы ФРВ
ФРВ н. = ФРВ / nсм., (66)
ФРВ н. =16425/3=5475 (чел-час)
Праздничные часы
ФРВ п. = nгос. * Тсм. * nсм * Nяв
см. (67)
ФРВ п. =10*7,5*3*2=450 (чел-час)
где nгос. - количество
государственных праздников в году.
Доплата за ночные часы составляет 40
% от тарифной ставки; за праздничные часы - 100 % тарифной ставки.
Зарплата сдельно - премиальная, руб,
определяется
З сд- пр. = ФРВ сд- пр. * Т ст. * П
* к сд (68)
где к сд - коэффициент сдельного
приработка (1,05 ¸1,15).
З сд- пр. = 10959*30*1,2*1,1 =
433620 руб.
Зарплата повременно - премиальная,
руб., определяется
З пов-пр. = ФРВ пов-пр. * Тст * П
(69)
где П - показатель премии ( 1,1 ;
1,2 и тому подобное ).
З пов-пр. = 5475*30*1,2 = 197100
руб.
Итого основная заработная плата,
руб, определяется
ОЗП = З сд- пр. + З пов-пр. + Д н. +
Д п. (70)
где Дн - доплата за ночные часы;
Дп.- доплата за праздничные часы;
Доплата за ночные часы, руб.,
определяется
Дн. = 0,4 * Тст. * ФРВн. (71)
Дн. = 0,4*30*5475 = 65700 руб.
Доплата за праздничные часы, руб.,
определяется
Дп. = Тст. * ФРВп. (72)
Дп. = 30*450 = 13500 руб.
Итого основная заработная плата
ОЗП
=433620+197100+65700+13500=709920 руб.
Основная заработная плата с учетом
районного коэффициента, руб., определяется:
ОЗП р.к. = ОЗП * Рк., (73)
где Рк. - районный коэффициент (для
г.Сатки Рк=1,15)
ОЗП р.к. = 709920*1,15 = 816408 руб.
Дополнительная заработная плата,
руб., составляет 10 - 15 % от ОЗПр.к:
ДЗП = ( 0,1 
0,15 ) * ОЗПр.к (74)
ДЗП =0,1*816408= 81640,8 руб.
Фонд заработной платы, руб.,
определяется
ФЗП = ОЗПр.к + ДЗП, (75)
ФЗП=816408+81640,8=898048,8 руб.
Остальные профессии рассчитываются
аналогично, данные заносим в таблицу.
Таблица 4.2 - Фонд заработной платы
|
Наименование
профессии
|
Разряд
|
Тарифная
ставка, руб/ч.
|
Время
смены, ч.
|
Явочная
численность рабочих в смену, чел.
|
Количество
смен в сутках
|
Фонд
рабочего времени, чел.-час.
|
|
|
|
|
|
|
Всего
|
В
том числе
|
Ночные
|
Праздничные
|
|
|
|
|
|
|
|
Оплачиваемый
по сдельно-премиальной системе
|
Оплачиваемый
по повременно-премиальной системе
|
|
|
|
1
|
2
|
3
|
4
|
5
|
6
|
7
|
8
|
9
|
10
|
11
|
|
Дежурный
электрик
|
5
|
30
|
7,5
|
2
|
3
|
16425
|
10950
|
5475
|
5475
|
450
|
|
Электромонтер
|
6
|
34,61
|
8
|
4
|
1
|
8032
|
5355
|
2677
|
-
|
-
|
|
Электромонтер
|
5
|
30
|
8
|
6
|
1
|
12048
|
8035
|
4013
|
-
|
-
|
|
Итого
|
|
|
|
|
|
36500
|
|
|
|
|
|
Неучтено
10% от итого
|
|
|
|
|
|
3650
|
|
|
|
|
|
Всего
|
|
|
|
|
|
40150
|
|
|
|
|
4.3 Смета на оборудование
Таблица 4.3 - Смета на оборудование
|
Наименование
оборудования
|
Кол-
во
|
Первоначальная
стоимость, руб
|
Общая
стоимость, руб
|
|
1
|
2
|
3
|
4
|
|
Дымосос
|
6
|
360000
|
2160000
|
|
Шнек
|
12
|
55000
|
660000
|
|
Шнек
|
12
|
660000
|
|
Шибер
|
6
|
45000
|
270000
|
|
Тр
ТМН 400/10
|
2
|
200000
|
400000
|
4.4 Расчет амортизационных
отчислений
Годовая сумма амортизации определяется по
соответствующим нормам.
Норма амортизации представляет собой процент
отчислений от первоначальной (балансовой) стоимости основных фондов.
Годовая сумма амортизации, руб., определяется

(76)
где П - первоначальная (балансовая)
стоимость, руб.;
Н - норма амортизации, %.
Монтажные работы составляют 15-20%
от стоимости основных фондов.
Таблица 4.4 - Затраты на амортизацию
|
Наименование
оборудования
|
Стоимость
единицы, тыс руб
|
Коли-
чество
|
Общая
стоимость осн. Фондов тыс. руб Цi
|
Монтажные
работы всего тыс. руб Mi
|
Первоначальная
стоимость Цi+Mi тыс. руб
|
Норма
амор- тизации % Hi
|
Сумма
аморти зационных от- числений тыс. руб (Цi+Mi)*Hi
|
|
1
|
2
|
3
|
4
|
5
|
6
|
7
|
8
|
|
1.Дымосос
|
360
|
6
|
2160
|
432
|
2592
|
10
|
259,2
|
|
2.Шнек
|
55
|
12
|
660
|
132
|
792
|
9
|
71,28
|
|
3.Шнек
|
55
|
12
|
660
|
132
|
792
|
9
|
71,28
|
|
4.Шибер
|
45
|
6
|
270
|
54
|
324
|
12
|
38,88
|
|
5.Тр.
ТМН 400/10
|
200
|
2
|
400
|
80
|
480
|
10
|
48
|
|
Итого
|
|
|
4150
|
|
4980
|
|
488,64
|
Средневзвешенная норма амортизации:
Но=488640*100/4980000=9,8%
4.5 Расход на запчасти, материалы,
охрану труда
Расчет затрат на материалы приводится в таблице
4.5.
Таблица 4.5 - Материальные расходы
|
Наименование
оборудования
|
Цена
оборудования тыс.руб.
|
Норма
расхода материалов и запчастей, %
|
Стоимость
запчастей и материалов, тыс.руб.
|
|
1
|
2
|
3
|
4
|
|
1.Дымосос
|
360
|
7
|
25,2
|
|
2.Шнек
|
55
|
5
|
2,75
|
|
3..Шнек
|
55
|
5
|
2,75
|
|
4.Шибер
|
45
|
5
|
2,25
|
|
5.Тр.
ТМН 400/10
|
200
|
12,8
|
25,6
|
|
Итого
|
715
|
|
58,55
|
Сумма ремонтного фонда, руб., определяется

(77)
где С - общая стоимость основных
фондов (ВСЕГО графы 4, табл. 20);
Нр.ф. - норматив ремонтного фонда,
%.
Нр.ф.=11,42 %
РФ = 
= 473930 руб.
Затраты на охрану труда составляют 3?5 % от ФЗП
трудящихся
ОТ = 
(78)
где ФЗП - данные таблицы 3, ВСЕГО
графы 2
ОТ= 
=85868,18 руб.
Расчет заработной платы персонала
управления
Таблица 4.6 - Зарплата персонала
управления
|
Должность
|
Оклад,
руб.
|
Кол-во
чел.
|
Годовой
оклад, руб.
|
ОЗП
р.к., Руб.
|
ДЗП,
руб.
|
ФЗП,
руб.
|
|
1
|
2
|
3
|
4=3*4*12мес.
|
5=4*1,15(1,25)
|
6=(10-15)%от
гр.5
|
7=5+6
|
|
1.Начальник
участка
|
30000
|
1
|
360000
|
414000
|
41400
|
455400
|
|
2.
Мастер
|
20000
|
1
|
240000
|
276000
|
27600
|
303600
|
|
ИТОГО
|
50000
|
|
600000
|
690000
|
69000
|
759000
|
Начисления на заработную плату составляют 32,4 %
от Итого (табл. 7 гр. 7).
Заработная плата персонала управления с
начислениями, руб., составляет
ЗПу =Итого(табл.7,гр.7.)+Начисления (79)
ЗПу = 59000 *1,324 = 956340 руб.
Таблица 4.7 - Калькуляция себестоимости. Годовой
объем продукции ЦМП-4 = 40000 Т/год
|
Наименование
статьи затрат
|
Основание
|
Общая
сумма затрат, руб.
|
Затраты
на единицу продукции, руб.
|
|
1.Затраты
на материалы
|
Расчет
|
5855000
|
146,38
|
|
2.ФЗП
основных произв. рабочих
|
Расчет
|
2146704,56
|
53,67
|
|
3.Отчисления
на социальные нужды
|
32,4%
от ст.2
|
558143,19
|
13,95
|
|
4.Энергозатраты
|
Расчет
|
23540501,6
|
588,5
|
|
5.Амортизация
|
Расчет
|
480640
|
12,1
|
|
6.Ремонтный
фонд
|
Расчет
|
473930
|
11,8
|
|
7.Охрана
труда
|
Расчет
|
85868,18
|
2,15
|
|
8.Содержание
основных средств
|
60%
от ст.5
|
2754864
|
68,87
|
|
Итого
|
∑ст.(1-8)
|
35895651,6
|
897,39
|
|
9.Цеховые
расходы
|
(зарплата
ИТР с начислениями)
|
956340
|
23,9
|
|
Итого
цеховая себестоимость
|
∑ст.(1-9)
|
36851991,6
|
921,3
|
|
10.Общезаводские
расходы
|
10%
от цеховой себестоимости
|
3685199,16
|
92,13
|
|
Итого
заводская себестоимость
|
∑ст.(1-10)
|
40537190,8
|
1013,43
|
|
11.Внепроизводственные
расходы
|
10%
от заводской себестоимости
|
4053719,08
|
101,34
|
|
Итого
полная себестоимость
|
∑ст.(1-11)
|
44590909,9
|
1114,8
|
Себестоимость одной тонны готовой продукции =
1114,8 руб.
4.6 Прибыль и рентабельность
производства
Прибыль, руб., определяется по формуле

(80)
где С - себестоимость единицы
продукции;

- норматив прибыли, ориентировочно
12-15 % от себестоимости;

- годовой объем продукции.
П=(1114,8*0,15)*40000 = 6685200 руб.
Рентабельность производства, %,
определяется по формуле

(81)
где Фосн - стоимость основных
фондов, руб.,
Фнорм - стоимость нормируемых
оборотных средств, руб.=
Вывод: рентабельность производства
превышает 12 %, следовательно предприятие рентабельно.
5. МЕРОПРИЯТИЯ ПО ТЕХНИКЕ
БЕЗОПАСНОСТИ, ПРОТИВОПОЖАРНОЙ ТЕХНИКЕ, ОХРАНЕ ОКРУЖАЮЩЕЙ СРЕДЫ
.1 Мероприятия по технике
безопасности
Все, без исключения, вновь
принимаемые на работу, независимо от их образования, стажа работы по данной
профессии или должности, учащиеся, студенты, прибывшие на производственное
обучение или практику, обязаны получить вводный инструктаж по технике
безопасности.
По окончании вводного инструктажа
трудящиеся получают личную книжку по безопасности труда и настоящую инструкцию.
Личная книжка должна быть предъявлена в цехе по месту работы. Администрации
цеха запрещено принимать в цех рабочих и служащих без личной книжки по
безопасности труда.
Обучение и инструктаж по
безопасности труда проводится ИТР: мастерами, начальниками смен, механиками,
энергетиками, и др., сдавшими перед допусками к самостоятельной работе экзамены
на знание Правил и Инструкции по безопасности труда, технологических и других
инструкций, относящихся к их участкам их работы.
В день выхода на работу вновь
принятый или переведенный на новое место работы рабочий обязан получить
первичный инструктаж, включающий в себя общие сведения о характере
производства, правила внутреннего трудового распорядка, маршрут пешеходного
движения до цеха, рабочего места, правила поведения на территории комбината,
цеха, требования безопасности по выполняемой работе.
Первичный инструктаж на рабочем
месте проводят согласно инструкциям по безопасности труда, индивидуально с
каждым работником в форме беседы с практическим показом приемов и методов
работы.
Рабочие, не имеющие производственной
специальности или меняющие свою специальность, а также студенты, учащиеся после
получения инструктажа на рабочем месте должны в течение 10 дней пройти обучение
по безопасности методов работы под руководством назначенным распоряжением
опытных рабочих и инженерно-технических работников. Это обучение проводится по
утвержденным программам.
По истечению срока обучения рабочие,
студенты, учащиеся должны пройти проверку знаний по безопасности труда в
комиссии под председательством начальника цеха или его заместителя, с участием
общественного инспектора по охране труда.
Результаты проверки оформляются
специальным протоколом и записью допуска-разрешения к самостоятельной работе по
профессии в личной книжке по безопасности труда.
К самостоятельной работе рабочие, не
имеющие специальности или меняющие свою специальность, допускаются после
обучения их по специальности.
Рабочие, обслуживающие объекты,
подведомственные Госгоротехнодзору и Энергонадзору должны перед допуском к
самостоятельной работе сдавать экзамены на знание действующих Правил безопасности
Госгортехнадзора и Госэнергонадзора.
Все работающие должны не реже чем
через 3 месяца (1 раз в квартал) проходить повторный инструктаж. Рабочие,
совмещающие несколько профессий, инструктируются по каждой профессии.
Внеплановый инструктаж проводится:
При замене инструкций по
безопасности труда,
При изменении технологического
процесса, оборудования, приспособлений, инструмента, исходного сырья,
материалов и других факторов, влияющих на безопасность труда,
При перерыве в работе - для работ, к
которым предъявляются дополнительные требования безопасности труда более чем на
30 календарных дней, а для остальных работ - 60 календарных дней.
Текущий инструктаж проводится с
работниками перед производством работ, на которые оформляется наряд-допуск.
Проведение текущего инструктажа фиксируется в специальном журнале.
Работающий, получивший инструктаж и
показавший неудовлетворительные знания, к работе не допускается. Он обязан
вновь пройти инструктаж.
Лица, допустившие нарушения правил и
инструкций по безопасности труда могут подвергаться внеочередной проверке
знаний.
Ежегодно в декабре согласно
установленной системы трудящиеся ОАО проходят обучение по безопасности труда по
8-ми часовой программе с последующей проверкой знаний в цеховых комиссиях
взамен повторного инструктажа за первый квартал наступающего года, а водителям
дополнительно по 20-ти часовой программе.
Перевод с одной работы на другую и
совмещение профессий оформляется специальным распоряжением по цеху с
соответствующими записями о проведении обучения и инструктажа на новом рабочем
месте с оформлением допуска на самостоятельную работу в личной книжке
инструктажа.
При переводе на новую работу или
несколько рабочих мест инструктаж по безопасности труда по выполняемой работе
фиксируется в журнале разового инструктажа.
При выдаче производственного задания
рабочему мастер, начальник смены, бригадир обязан напомнить об условиях
выполнения работы и соблюдения правил безопасности труда, при этом ИТР или
бригадир обязан лично проверить место и условия работы и принять меры,
обеспечивающие безопасность ее выполнения.
Рабочий по окончании работы обязан
доложить об этом мастеру или начальнику участка.
Запрещается рабочим выполнять
работы, которые им не поручены.
Во всех случаях, когда рабочему
непонятно, как выполнить порученную работу, или в случае отсутствия необходимых
приспособлений для выполнения порученной работы он обязан обратиться для
получения указаний и разъяснений к мастеру.
Действия персонала при несчастных
случаях:
известить мастера о происшедшем
несчастном случае и оказать первую медицинскую помощь пострадавшему,
сохранить до расследования
обстановку на рабочем месте и состояние оборудования такими, какими они были до
расследования.
Обслуживание подстанций
осуществляется в соответствии с ПУЭ, которые предусматривают соответствующие
меры электробезопасности для обслуживающего персонала. Согласно ПУЭ проводятся
периодические осмотры электрооборудования РУ, при этом необходимо обращать
внимание на общее состояние помещения, исправность дверей, замков и окон, исправность
освещения, заземляющего устройства, наличие электрозащитных средств.
К оперативному обслуживанию
электроустановок могут допускаться лица, знающие их схемы, эксплуатационные
инструкций, особенности оборудования и прошедшие обучение и проверку знаний в
соответствий с указаниями ПТЭ.
Лица, обслуживающие электроустановку
должны иметь квалификационную группу не менее 5. (в установках выше 1000 (В)) и
3. (в установках до 1000 (В)).
Работы, производимые в действующих
электроустановках в отношений мер безопасности делятся на три категорий: со
снятием напряжения, со снятием напряжения на токоведущих частях и в близи них,
без снятия напряжения вдали от токоведущих частей, находящихся под напряжением.
При производстве работ под
напряжением при помощи основных защитных средств (оперативные и измерительные
приборы, указатель напряжения, токоведущие клещи).
Держать изолирующие средства за
ручки не дальше ограничивающего кольца.
Пользоваться только сухими и чистыми
изолирующими средствами с неповрежденным лаковым покрытием.
Расположить изолирующие средства
так, чтобы не возникла опасность перекрытий на поверхности изоляции между тока
ведущими частями двух фаз или на землю.
Запрещается применять не испытанные
защитные средства, срок очередного испытания которых истек.
5.2 Мероприятия по противопожарной
технике безопасности
Пожарная опасность электроустановок
обусловлена наличием горючих изоляционных материалов. Наиболее пожарную
опасность представляют масло-наполнительные аппараты - трансформаторы, масленые
выключатели, а также кабели с бумажной изоляцией, пропитанные маслом.
Учитывая пожарную опасность
электроустановок, устанавливают ряд специальных требований, в процессе
эксплуатации электроустановок. Необходимо соблюдать ряд мер предусмотренных ПТЭ
с учетом пожарной безопасности.
На ГПП предусматриваются следующие
меры по пожарной безопасности. По взрывной, взрывопожарной и пожарной
безопасности помещения относятся к следующим категориям:
Помещение аккумуляторной - Е;
РУ - 6(кВ) - В;
Остальные помещения - Д.
Для обеспечения взрыва безопасности
в помещений аккумуляторной предусматривается принудительная вентиляция.
Тушение пожара на подстанций
предусматривается первичными средствами, порошковыми огнетушителями, песком.
Для вызова пожарной команды
используется телефонная связь или рация.
5.3 Мероприятия по охране окружающей
среды
При эксплуатации электроустановок
должны приниматься меры для предупреждения или ограничения вредного воздействия
на окружающую среду выбросов загрязняющих веществ в атмосферу и сбросов в
водные объекты, снижения звукового давления, вибрации, электрических и
магнитных полей и иных вредных физических воздействий, и сокращения потребления
воды из природных источников.
Количество выбросов загрязняющих
веществ в атмосферу не должно превышать установленных норм предельно допустимых
выбросов (лимитов), сбросов загрязняющих веществ в водные объекты - норм
предельно допустимых или временно согласованных сбросов. Напряженность
электрического и магнитного полей не должна превышать предельно допустимых
уровней этих факторов, шумовое воздействие, норм звуковой мощности
оборудования, установленных соответствующими санитарными нормами стандартами.
У Потребителя, эксплуатирующего
маслонаполненное электрооборудование, должны быть разработаны мероприятия по
предотвращению аварийных выбросов его в окружающую среду.
На главной понизительной подстанции
(далее - ГПП) и в распределительном устройстве (далее - РУ) с маслонаполненным
электрооборудованием должны быть смонтированы маслоприемники, маслоотводы и маслосборники
в соответствии с требованиями действующих правил устройства электроустановок.
Маслоприемные устройства должны содержаться в состоянии, обеспечивающем прием
масла в любое время года.
Потребители, у которых при
эксплуатации электроустановок образуются токсичные отходы, должны обеспечивать
их своевременную утилизацию, обезвреживание и захоронение. Складирование или
захоронение токсичных отходов на территории Потребителя не допускается.
Эксплуатация электроустановок без
устройств, обеспечивающих соблюдение установленных санитарных норм и правил и
природоохранных требований или с неисправными устройствами, не обеспечивающими
соблюдение этих требований, не допускается.
При эксплуатации электроустановок в
целях охраны водных объектов от загрязнения необходимо руководствоваться
действующим законодательством, государственными и отраслевыми стандартами по
охране водных объектов от загрязнения.
ЛИТЕРАТУРА
1. Сибикин
Ю.Д., Сибикин М.Ю. Справочник по эксплуатации электроустановок промышленных
предприятий - М.: AKADEMA, 2001.
2. Шеховцев
В.П. Расчет и проектирование схем электроснабжения. Методическое пособие для
курсового проектирования - М.: ФОРУМ-ИНФРА-М, 2003.
. Конюхов
Е.А. Электроснабжение объектов - М.: ИНФРА-М, 2002.
. Методическое
пособие по предмету «Электроснабжение объектов» - Златоустовский
металлургический колледж металлургический колледж, 2001.
. Кудрин
Б.И. Электроснабжение промышленных предприятий - М.: Интермет Инжи-ниринг,
2006.
. Пикуза
В., Гаращенко А. Экономические и финансовые расчеты в EXEL. - СПб.,
Издательская группа BNV, 2003.
. Моссаковский
Я.В. Экономическая оценка инвестиций в горной промышленности. - М.:
Издательство Московского горного университета, 2006.
. Экономика
предприятия. Под ред. В.П. Грузинова. - М.: ЮНИТИ, 2003.