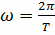
Угловая скорость вращения и угловое ускорение. Ускорение движения грузов. Период колебаний
Задача 1
Колесо, радиусом R вращается так, что
зависимость угла поворота радиуса колеса со временем t описывается уравнением:
φ = А + Вt + Сt3 (рад),
где А, В и С - постоянные коэффициенты. Для
точек, лежащих на ободе колеса, найти через 
секунд от начала
движения:
Используя данные таблицы 1, найти: 1) угловую
скорость вращения ω, 2) угловое
ускорение ε,
Таблица 1
|
R,
м
|
0,15
|
|
В,1/с
|
-5
|
|
С,1/с3
|
2
|
|
τ,
с
|
1,5
|
) тангенциальное ускорение аτ
4) нормальное ускорение аn
) полное ускорение а.
Решение
По заданному закону движения колеса определим
угловую скорость и угловое ускорение колеса:
В момент времени 
получим
Тангенциальное ускорение вычислим по формуле
Нормальное ускорение вычислим по формуле
Полное ускорение
Ответ: 




Задача 2
Конькобежец массой М стоя на льду бросает камень
массой m в горизонтальном направлении со скоростью V. Коэффициент трения
коньков о лёд μ. Используя данные
таблицы 2, найти:
Таблица 2
|
М
кг
|
60
|
|
m
кг
|
5
|
|
V
м/с
|
2
|
|
μ
|
0,03
|
) начальную скорость V1 отката конькобежца после
броска,
) энергию Е, сообщённую камню при броске,
) расстояние S, на которое откатывается
конькобежец.
Решение
) Согласно закону сохранения импульса для
изолированной системы тел
Отсюда начальная скорость отката конькобежца
Подставим числовые данные и произведём
вычисления
) Энергия, сообщённая камню при броске, равна
его кинетической энергии
) По второму закону Ньютона ускорение торможения
конькобежца
где 
сила трения коньков
о лёд.
Тогда
Расстояние, пройденное конькобежцем при
равнозамедленном движении,
Скорость конькобежца при торможении

(2)
В момент остановки конькобежца его скорость 
и уравнение (2)
даёт время движения до полной остановки
Подставив выражение времени в (1), получим расстояние,
на которое откатывается конькобежец:

Ответ: 


Задача 3
Блок в виде сплошного диска массой m и радиусом
R укреплён на конце стола. Грузы А и В массами m1 и m2 соответственно соединены
нитью, перекинутой через блок. Коэффициент трения груза В о стол равен μ.
Трением
в блоке пренебречь.
Используя данные таблицы 3, найти:
) ускорение движения грузов,
) силы натяжения нити со стороны грузов А(Т1) и
В(Т2),
) скорость движения грузов через t секунд от
начала движения.
) вращающий момент, действующий на блок.
Ускорение свободного падения g = 9,8 м/с2.
Таблица 3
|
m,
кг
|
0,02
|
|
R
м
|
0,04
|
|
m1,
кг
|
0,5
|
|
m2,
кг
|
0,5
|
|
t,
с
|
1
|
|
μ
|
0,3
|
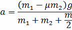
Решение

В





А


Запишем второй закон Ньютона для обоих тел в
проекциях на направление их движения:

(1)

, (2)
где 
сила трения груза В
о плоскость.
Разность сил 
создаёт момент
вращения, следовательно,
где 
момент инерции
блока.
Отсюда
Из уравнений (1) и (2) найдём

(4)

(5)
Из (4) и (5) определим

(6)
Приравнивая правые части (3) и (4), получим
Отсюда найдём ускорение грузов
Произведём вычисления
Подставив данные в равенства (4) и (5), вычислим
величины сил натяжения нитей:
Вращающий момент, действующий на блок,
Скорость движения грузов 
. В момент времени 
получим
Ответ: 




Задача 4
Вентилятор вращается с частотой 
. Через время t
после его выключения, вентилятор остановился, сделав N оборотов. Считая его
вращение равнозамедленным, найти:
) начальную угловую скорость торможения,
) время торможения t,
) момент импульса вентилятора в начале
торможения,
) работу сил торможения. Момент инерции
вентилятора -J
Используйте данные таблицы 4.
Таблица 4
|
 c-1
|
16
|
|
N,
об
|
20
|
|
J,
кгм2
|
0,02
|
Решение
Запишем уравнения вращательного движения
вентилятора

(2)
По условию задачи до начала торможения
вентилятор вращается с частотой ν, следовательно,
начальная угловая скорость вращения 
.
В момент остановки вентилятора его угловая
скорость 
и уравнение (2)
даёт угловое ускорение торможения
Подставив в уравнение (1), получим:
До полной остановки вентилятор сделал 
оборотов,
следовательно, угол поворота вентилятора 
. Таким образом
Отсюда находим время торможения
Момент импульса вентилятора в начале торможения
Момент сил торможения
Работа сил торможения
Ответ: 




Задача 5
Материальная точка массой 
совершает
колебания по закону: х=Асоsωt, где
х - смещение точки от положения равновесия, t - время, ω
-
круговая частота колебаний. Используя данные таблицы 5, найдите:
) скорость смещения точки V, в момент времени t.
) период колебаний Т.
) наибольшую возвращающую силу Fm.
) кинетическую энергию точки в момент времени t.
) полную энергию точки.
Таблица 5
|
m,
г
|
20
|
|
А,
см
|
30
|
|
 , c-1
|
5
|
|
t,
с
|
Т/5
|
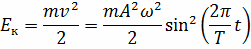
Решение
Скорость точки определим по заданному закону
колебаний
Так как 
, то скорость точки
запишем в виде
В момент времени 
получим
Период колебаний
Возвращающая сила при гармонических колебаниях
где 
ускорение колеблющейся
точки, которое имеет вид
Максимальная возвращающая сила
Кинетическая энергия колеблющейся точки
В момент времени 
получим
Полная энергия точки равна максимальной
кинетической энергии:
Ответ: 




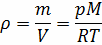
Задача 6
В сосуде находится 
моля кислорода и
m2 граммов газа с молярной массой М2.
Температура смеси Т. Общее давление смеси Р.
Используя данные таблицы 1, найти:
) молярную массу смеси Мс;
) объем сосуда V;
) парциальное давление каждого газа в смеси;
) число молекул в 1 см3 этого сосуда.
Примечание. Молярная масса кислорода равна 32
г/моль.
Число Авогадро Nа=6,02∙10 23 г/моль
Постоянная Больцмана к =1,38∙10-23 Дж/к.
Таблица 6
|
 ,моль
|
0.6
|
|
m2,
г
|
40
|
|
Т,К
|
350
|
|
Р,
кПа
|
150
|
|
М2,г/мол
|
28
|
Решение
Число молей газа массой 
равно
Молярная масса смеси
где 
объёмные доли
компонентов смеси, равные их мольным долям:
Парциальные давления смеси
Объём второго газа определим из уравнения
состояния идеального газа
Так как 
, то объём газа
Число молекул в 1 см3 сосуда (концентрацию
молекул) определим из основного уравнения молекулярно-кинетической теории газов
Ответ: 




Задача 7
Идеальный газ находится в сосуде под давлением Р
при температуре Т. Используя данные таблицы 2, найти:
) плотность газа ρ;
) среднюю арифметическую скорость молекул газа
<V>;
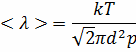
) среднюю длину свободного пробега <λ>;
) среднее число столкновений молекул газа за 1 с
<z>.
Примечание. d- эффективный диаметр молекул газа;
М - молярная масса газа.
Таблица 7
|
Р,кПа
|
200
|
|
Т,
К
|
350
|
|
d,нм
|
0,35
|
|
Газ
|
Аr
|
|
М,г/моль
|
40
|
Решение
Отсюда плотность
Подставим числовые данные
Средняя арифметическая скорость молекул газа
вычисляется по формуле
Произведём вычисления:
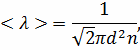
Средняя длина свободного пробега
где 
эффективный диаметр
молекулы,

концентрация
молекул газа.
Концентрацию молекул определим из основного
уравнения молекулярно-кинетической теории газов
Тогда
Произведём расчёт:
Среднее число столкновений молекулы газа за 1 с
Произведём расчёт:
Ответ: 



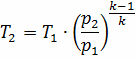
Задача 8
Идеальный газ массой m из состояния 1 с
параметрами 
(давление, объем и
температура) переходит в состояние 2 так, что давление меняется в 
раз.
Используя данные таблицы 3, найти:
) температуру T2 и объём V2 газа в состоянии 2;
) работу газа при данном переходе;
) изменение его внутренней энергии;
Процесс считать:
с) адиабатным.
Таблица 8
|
Величины
|
|
Газ
|
Не
|
|
m,
г
|
4
|
|
Т1
к
|
320
|
|
Р1,кПа
|
50
|
|
|
4
|
|
вид
процесса
|
с
|
Решение
Начальный объём газа определим из уравнения
состояния идеального газа
Молярная масса гелия 
. Вычислим
начальный объём:
Температуру газа в конечном состоянии определим
из соотношений параметров газа в адиабатном процессе
Поскольку гелий является одноатомным газом, его
показатель адиабаты 
. Вычислим
температуру газа в конце процесса:
Конечный объём газа определим из уравнения
состояния идеального газа
Работа одноатомного газа в адиабатном процессе
Изменение внутренней энергии газа по первому
началу термодинамики равно
Ответ: 




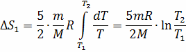
Задача 9
Газ массой m был нагрет от температуры t1 до t2
изобарно, затем его охладили изохорно до первоначальной температуры t1.
Используя данные таблицы 4, определить изменение
энтропии газа в ходе этих процессов.
Таблица 9
|
Величин
|
|
Газ
|
Ar
|
|
t1,º
C
|
17
|
|
t2,º
C
|
57
|
|
m,г
|
20
|
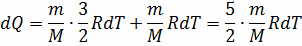
Решение
Изменение энтропии газа определяется формулой
Определим сначала изменение энтропии в ходе
первого процесса. Изменение количества теплоты найдём из первого закона
термодинамики для идеального газа:
Выразим изменение объёма 
через изменение
температуры 
из уравнения
состояния идеального газа:
Для одноатомного газа Ar молярная теплоёмкость 
.
Теперь получим:
Подставим найденное 
в уравнение (1):
Молярная масса аргона 
Произведём расчёт:
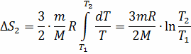
Определим изменение энтропии в ходе второго
процесса. В изохорном процессе изменение количества теплоты равно изменению
внутренней энергии газа:
Подставим найденное 
в уравнение (1):
Подставим числовые данные
Общее изменение энтропии
Ответ: 
Задача 10
Капилляр, внутренний радиус которого r, опущен в
жидкость плотностью ρ.
Определить: 1) на какую высоту поднялась
жидкость в капилляре?
) объем жидкости, поднявшейся в капилляре, если
поверхностное натяжение жидкости равно σ (см.
данные таблицы 5).
Таблица 10
|
Величина
|
|
r,
мм
|
0,4
|
|
ρ
г/см3
|
0,8
|
|
σ,
мН/м
|
40
|
Решение
Высота поднятия жидкости в капилляре
определяется по формуле
Произведём вычисления:
Объём жидкости, поднявшейся в капилляре:
Ответ: 
