Численное интегрирование разными методами

  • Вид работы:
    Курсовая работа (т)
  • Предмет:
    Математика
  • Язык:
    Русский
    ,
    Формат файла:
    MS Word
    235,28 Кб
  • Опубликовано:
    2012-12-22
Вы можете узнать стоимость помощи в написании студенческой работы.
Помощь в написании работы, которую точно примут!

Численное интегрирование разными методами

Содержание:

Задание

Исходные данные

. Вычисление интеграла  аналитически, методом средних прямоугольников, методом трапеций, методом Симпсона

.1 Аналитически

.2 Метод средних прямоугольников

.2.1 Метод средних прямоугольников при n=1

.2.2 Метод средних прямоугольников при n=2

.3 Метод трапеций

.3.1 Метод трапеций при n=1

.3.2 Метод трапеций при n=2

.4 Метод Симпсона

.4.1 Метод Симпсона при n =1

.4.2    Метод Симпсона при n=2

. Вычисление интеграла  методом Гаусса

2.1 Одноточечная схема метода Гаусса

2.2 Двухточечная схема метода Гаусса

.3       Трехточечная схема метода Гаусса

. Сравнительный анализ точности полученных результатов

. Вычисление интеграла

.1       Аналитически

.2       Метод Гаусса

.2.1Одноточечная схема

.2.2 Двухточечная схема

Вывод

Задание:

1. Вычислить интеграл  аналитически, а затем численно методами средних прямоугольников, трапеций, Симпсона, принимая n=1 и n=2 (n-количество разбиений отрезка интегрирования)

2.       Вычислить этот же интеграл методом Гаусса по одноточечной, двух точечной и трехточечной схемам интегрирования

.        Сделать сравнительный анализ точности полученных результатов

.        Вычислить интеграл  аналитически, а затем численно методом Гаусса по одноточечной и двухточечной схемам. Сравнить результаты

Исходные данные:

a = 0

b =

f(x) = x cos(x)

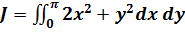
f(x,y) = 2x2 + y2

1. Вычисление интерграла  аналитически, методом средних прямоугольников, методом трапеций, методом Симпсона.

.1 Аналитически

Для вычисления данного интеграла используем формулу интегрирования по частям:

.

Пусть:

u = x

dv = cos (x) dx

Тогда:

du = dx

v = sin(x)

Следовательно:

Откуда получаем:


1.2 Метод средних прямоугольников

Метод прямоугольников получается при замене подынтегральной функции на константу. В качестве константы можно взять значение функции в любой точке отрезка . Наиболее часто используются значения функции в середине отрезка и на его концах. Соответствующие модификации носят названия методов средних прямоугольников, левых прямоугольников и правых прямоугольников.

По методу средних прямоугольников на интервале [xi,xi+h]имеем


1.2.1 Метод средних прямоугольников для n=1

При n=1:

i=ai+h=b

 =

h=(b-a)/n

Исходя из этого получаем уравнение:

 = ((b-a)/n) * ( cos())

Подставляя в полученное уравнение исходные данные получаем:

 =(( - 0)/1)*((0+(( - 0)/1)/2)*cos(0+(( - 0)/1)/2)) = 0

 = 0

Погрешность:

R==-2,584

1.2.2 Метод средних прямоугольников для n=2

В данном случае исходный отрезок интегрирования разбивается на 2 отрезка интегрирования: (0;) и (;).

В связи с этим:

X1=0

 =

h=(b-a)/n

По полученным данным получаем уравнение:

 = ((b-a)/2)*(((x1+(b-a)/4)*(cos(x1+(b-a)/4))+((x2+(b-a)/4)*

*(cos(x2+(b-a)/4))

Подставляем в полученное уравнение начальные данные и получаем:

 = ((-0)/2)*(((0+( -0)/4)*(cos(0+( -0)/4))+(( +( -

)/4)* *(cos( + ( -0)/4)) = -1,745

 = -1,745

Погрешность:

R==-0,636

1.3 Метод трапеций

Метод трапеций - метод численного интегрирования <#"581779.files/image022.gif"> =

.3.1 Метод трапеций при n=1

На отрезке (a;b) заменяем f(x) полином первой степени.

В этом случае

Xi=a

Xi+h=b

h=(b-a)/n

и уравнение имеет вид:

 = ((b-a)/n)*[(a cos(a))+(b cos(b))]/2

Подставим исходные данные и получим:

 = ((-0)/1)*[(0 * cos(0))+( *cos(]/2 = -4,935

 = -4,935

Погрешность:

R0=(-h3/12)*f’’’(xi)= 8,117

1.3.2 Метод трапеций при n=2

Отрезке (a;b) разбиваем на 2 отрезка (a;c) и (c;b) и замеим f(x) полином первой степени на обоих отрезках.

В этом случае

X1=a

X2 =c = (a+b)/2

X3 =b

h=(b-a)/n

и уравнение имеет вид:

 = ((b-a)/n)*(([(a cos(a))+(c cos(c))]/2)+([( c cos(c))+(b (b))]/2))

Подставим исходные данные и получим:

 = ((-0)/1)*(([(0 * cos(0))+( *cos(]/2)+ ([( * ( ))+( * cos())]/2)) = -2,467

 = -2,467

Погрешность:

R0=(-h3/12)*f’’’(xi)=0,646

численный интегрирование симпсон гаусс

1.4 Метод Симпсона

Метод Симпсона - метод численного интегрирования функции одной переменной, заключающийся в замене на каждом элементарном отрезке подынтегральной функции на полином второй степени, то есть на параболу.

Формула Симпсона:

 = h[f(x0)+4f(x1)+f(x2)]/3

.4.1 Метод Симпсона при n =1

Подынтегральную функцию f(x) заменим полином второй степени P2(x) - параболой, проходящей через равноотстоящие точки x0,x1,x2.

В данном случае

X0=a

X1=c = (a+b)/2

X2 = b

H = (b-a)/2n

Полученное уравнение имеет вид:

 = (b-a)/2n [(a cos(a))+(c cos(c))+(b cos (b))]/3

Подставляем исходные данные и получаем:

 = (-0)/2*1 [(0 cos(0))+( cos( ))+( cos ( ))]/3 = -

1,645

=-1,645

1.4.2 Метод Симпсона при n=2

В данном случае исходный отрезок [a;b] разбиваем на 2: [a;c] и [c;b].

Подынтегральную функцию f(x) заменим полином второй степени P2(x) - параболой, проходящей через равноотстоящие точки x0,x1,x2 - на первом отрезке и x2,x3,x4 - на втором отрезке.

В данном случае

X0=a

X1=d = (a+c)/2

X2 = с= (a+b)/23 = e = (c+b)/24 =b=(b-a)/2n

Полученное уравнение имеет вид:

 = (b-a)/2n( ([(a cos(a))+(d cos(d))+(c cos (c))]/3)+([(c

cos(c)) + 4(e cos(e)) + (b cos(b))]/3))

Подставляем исходные данные и получаем:

 = (-0)/2*1(( [(0 cos(0))+( cos( )) + ( cos (

=-1,986

2. Вычисление интеграла  методом Гаусса

Метод Гаусса - метод численного интегрирования, позволяющий повысить алгебраический порядок точности методов на основе интерполяционных формул путём специального выбора узлов интегрирования без увеличения числа используемых значений подынтегральной функции. Метод Гаусса позволяет достичь максимальной для данного числа узлов интегрирования алгебраической точности.

Например, для двух узлов можно получить метод 3-го порядка точности, тогда как для равноотстоящих узлов метода выше 2-го порядка получить невозможно. В общем случае, используя  точек, можно получить метод с порядком точности . Значения узлов метода Гаусса по  точкам являются корнями полинома Лежандра степени  и приводятся в справочниках специальных функций вместе с соответствующими весами.

Формула:

=

,

Где t- координаты узлов

Ck - весовые коэффициенты

2.1 Одноточечная схема метода Гаусса.

При наличии 1-го узла

t=0

ck = 2

Формула имеет вид:

=


Подставим в данную формулу исходные данные и получим:

= =0

=0

.2 Двухточечная схема метода Гаусса

При наличии 2-х узлов

t1=-1/

t2 = 1/

c1 = 1

c2 = 1

Формула имеет вид:

=


Подставим в данную формулу исходные данные и получим:

=

= -2,244

=-2,244

.3 Трехточечная схема метода Гаусса

При наличии 3-х узлов

t1= -

t2 = 0

t3 =

c1 = 5/9

c2 = 8/9

c3 =5/9

Формула имеет вид:

=


Подставим в данную формулу исходные данные и получим:

=

= -1,992

=-1,992

3. Сравнительный анализ точности полученных результатов

Метод

Точное значение интеграла  =

Погрешность

Аналитически

-2

-

Средних прямоугольников, n=1

0

-2,584

Средних прямоугольников, n=2

-1,745

-0,636

Трапеций, n=1

-4,935

8,117

Трапеций, n=2

-2,467

0,646

Симпсона, n=1

-1,645

Симпсона, n=2

-1,986

0,014

Гаусса, n=1

0

-2

Гаусса, n=2

-2,244

0,244

Гаусса, n=3

-1,992

-0,008



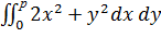
4. Вычисление интеграла

4.1    Аналитически

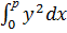
Вычислим внутренний интеграл

i=.

Интеграл суммы равен сумме интегралов, следовательно:

=+ = 2*+x = (2/3+) =

,639 + 3,14

Подставим полученное значение во внешний интеграл и вычислим его.

 =  +  =20,639y  +

,14 = 64,807 + 32, 404 = 97,211

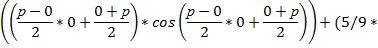
4.2    Метод Гаусса.

Двойной интеграл вычисляется методом Гаусса аналогично одномерному случаю.

.2.1Одноточечная схема.

При наличии 1-го узла

=0

ci,j = 2

Формула имеет вид:

 =

Подставим в данную формулу исходные данные и получим:

=  

= 46,472

.2.2 Двухточечная схема

При наличии 2-х узлов

t1=-1/2 = 1/1 = 12 = 1

=

 = 31

Вывод:

По проведенным нами расчетам можно сделать вывод о том, что наиболее точными методами численного интегрирования являются метод Симпсона и метод Гаусса при наибольшем количестве разбиений.

Похожие работы на - Численное интегрирование разными методами

 

Не нашли материал для своей работы?
Поможем написать уникальную работу
Без плагиата!
Без нейросетей!