Цифровой КИХ-фильтр для частотной селекции измерительных сигналов

  • Вид работы:
    Курсовая работа (т)
  • Предмет:
    Информатика, ВТ, телекоммуникации
  • Язык:
    Русский
    ,
    Формат файла:
    MS Word
    668,53 Кб
  • Опубликовано:
    2012-10-10
Вы можете узнать стоимость помощи в написании студенческой работы.
Помощь в написании работы, которую точно примут!

Цифровой КИХ-фильтр для частотной селекции измерительных сигналов

Содержание

Введение

1. Цифровые фильтры с конечной импульсной характеристикой (КИХ-фильтры)

. Метод частотной выборки

3. Моделирование КИХ-фильтров в MathCAD

. Процессор DSP56311 фирмы Motorola

Заключение

Список использованной литературы

Введение

Цифровой фильтр (ЦФ) - устройство, пропускающее, либо подавляющее заданные в цифровой форме сигналы в определенной полосе частот. В отличие от аналоговых фильтров, у которых входной сигнал изменяется непрерывно, в цифровых фильтрах входной сигнал представляется в дискретной форме, т. е. принимает каждый раз новое значение через интервал дискретизации. Величина, обратная этому интервалу, - частота дискретизации.

Фильтры частотной селекции - это устройства, пропускающие или подавляющие частоты определенного диапазона в составе спектра входного сигнала.

Существует четыре основных типа фильтров частотной селекции: низкочастотный, высокочастотный, полосовой и режекторный.

Цифровой фильтр частотной селекции - это наиболее известный, хорошо изученный и апробированный на практике тип ЦФ.

Выделяют два основных вида ЦФ - фильтры с конечной импульсной характеристикой (КИХ-фильтры) и с бесконечной импульсной характеристикой (БИХ-фильтры).

КИХ-фильтры обладают некоторыми свойствами, желательными с точки зрения построения фильтров. Например, никогда не возникает вопрос об устойчивости и физической реализуемости фильтров, поскольку КИХ-последовательности гарантируют устойчивость, а при введении соответствующей конечной задержки и реализуемость. Более того, КИХ-последовательности можно выбрать так, чтобы фильтры имели строго линейные фазовые характеристики. Поэтому, используя КИХ-последовательности, можно проектировать фильтры с произвольной амплитудной характеристикой.

В данной работе будет рассмотрено проектирование цифровых КИХ-фильтров с помощью метода частотной выборки.

. Цифровые фильтры с конечной импульсной характеристикой (КИХ-фильтры)

цифровой фильтр процессор

Термином цифровой фильтр называют аппаратную или программную реализацию математического алгоритма, входом которого является цифровой сигнал, а выходом - другой цифровой сигнал, форма которого и амплитудная и фазовая характеристики сильно модифицированы. Во многих приложениях цифровые фильтры предпочтительнее аналоговых, поскольку они позволяют более точно воплотить амплитудные и фазовые спецификации. Кроме того, для цифровых фильтров нехарактерно присущее аналоговым фильтрам изменение характеристик в зависимости от температуры и напряжения.

Цифровой фильтр можно представить некоторым функциональным блоком, на вход которого поступает входной сигнал x(n) в виде последовательности числовых отсчетов, а с выхода снимаются числовые отсчеты выходного сигнала y(n).

Порядок расчета цифрового фильтра включает четыре основных этапа:

. Определение требуемых свойств фильтра. На данном этапе задается тип фильтра (ФНЧ, ФВЧ), нужная амплитудная или фазовая характеристика и разрешенные допуски, частота дискретизации и длина слов, которыми будут представлены входные данные.

. Вычисление коэффициентов. На этом этапе определяются коэффициенты передаточной функции H(z) , которая удовлетворяет заданным свойствам фильтра.

. Выбор структуры. Данный этап включает преобразование передаточной функции, полученной на предыдущем этапе, в подходящую фильтрующую структуру.

. Проверка моделированием, удовлетворяет ли полученный фильтр заданным требованиям.

Для того чтобы реализовать цифровой фильтр, необходимо знать его частотную характеристику, передаточную функцию, а для фильтров с конечной импульсной характеристикой достаточно знания отсчетов импульсной характеристики h(n), так как каждый отсчет выходного сигнала может быть вычислен как результат свертки входного сигнала с импульсной характеристикой:


где N - порядок фильтра (длина импульсной характеристики).

Желательно иметь минимальное N, при котором еще удовлетворяются требования к частотной характеристике фильтра. Тогда для реализации фильтра потребуется меньшая вычислительная мощность, т.е. будут меньше затраты времени и памяти.

Существует два основных вида цифровых фильтров: фильтры с конечной импульсной характеристикой (КИХ-фильтры) и с бесконечной импульсной характеристикой (БИХ-фильтры).

Цифровые КИХ-фильтры обладают рядом достоинств по сравнению с цифровыми фильтрами с бесконечной импульсной характеристикой (БИХ-фильтры). Они всегда устойчивы, менее чувствительны к точности представления числовых параметров фильтра и, главное, могут быть спроектированы таким образом, что их фазочастотная характеристика будет строго линейной, что обычно бывает желательно, а иногда необходимо. Недостатком КИХ-фильтров является то, что для получения частотных характеристик с крутыми перепадами между областями пропускания и задерживания требуются фильтры высоких порядков, т.е. с длинной импульсной характеристикой.

Рассмотрим основные характеристики КИХ-фильтров.

Амплитудно-частотная характеристика КИХ-фильтра часто задается в виде схемы допусков. Такая схема для фильтра нижних частот показана на рисунке. Подобную схему можно получить и для других частотно-избирательных фильтров.

Основные параметры:

дp - отклонение в полосе пропускания (или неравномерность);

дs - отклонение в полосе подавления;- граничная частота полосы пропускания;- граничная частота полосы подавления;- частота дискретизации.

На практике удобнее выражать дp и дs в децибелах. Расстояние между fs и fp равно ширине полосы перехода фильтра. Другой важный параметр - длина фильтра N , которая определяет число коэффициентов фильтра. В большинстве случаев указанные параметры полностью определяют частотную характеристику КИХ-фильтра.

Линейная фазовая характеристика КИХ-фильтра.

Пусть {h (n)} - физически реализуемая последовательность конечной длины, заданная на интервале 0. Ее z-преобразование равно:

Преобразование Фурье от {h (n)}:

 (3)

является периодическим по частоте с периодом 2р.

Из уравнения (3) видно, что модуль преобразования Фурье является симметричной функцией, а фаза -антисимметричной функцией частоты, т.е.

 (5)

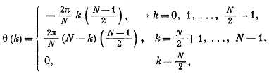
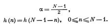
На практике при расчете КИХ-фильтров часто требуется строго линейная фазовая характеристика. При этом фазовая характеристика и(щ) имеет вид:

(6)

где б - постоянная фазовая задержка, выраженная через число интервалов дискретизации.

 (8)

Условие (7) означает, что для каждого N существует только одна фазовая задержка б, при которой может достигаться строгая линейность фазовой характеристики фильтра. Из условия (8) следует, что при заданном б, удовлетворяющем условию (7), импульсная характеристика должна обладать вполне определенной симметрией.

В зависимости от значения N (нечетные или четные) и вида симметрии импульсной характеристики (симметричная или антисимметричная характеристика) возможны четыре различных вида КИХ-фильтров с линейными фазовыми характеристиками.

Таблица1. Различие четырех типов КИХ-фильтров с линейной фазовой характеристикой

Рис.3. Коэффициенты импульсной характеристики четырех типов фильтров с линейной фазовой характеристикой

. Метод частотной выборки

Хорошо известны три класса методов расчета КИХ-фильтров с линейной фазой: методы взвешивания с помощью окна, методы частотной выборки, а также методы расчета оптимальных (по Чебышеву) фильтров.

Метод взвешивания предоставляет простой и гибкий способ вычисления коэффициентов КИХ-фильтра, но не позволяет разработчику адекватно управлять параметрами фильтра. Достоинством метода частотной выборки является то, что он допускает рекурсивную реализацию КИХ-фильтров, что может быть вычислительно выгодно. Но данному методу недостает гибкости в плане управления или задания параметров фильтров. Также, в настоящее время широко используется оптимальный метод, который в большинстве случаев дает требуемый КИХ-фильтр.

Рассмотрим подробнее метод частотной выборки.

КИХ-фильтр может быть однозначно задан, как коэффициентами импульсной характеристики {h(n)}, так и коэффициентами ДПФ импульсной характеристики {Н(k)}. Обе эти последовательности связаны соотношениями:

, ДПФ, (9)

, ОДПФ. (10)

Кроме того, известно, что коэффициенты ДПФ КИХ-последова-тельности, равные Н (k), можно рассматривать как значения z-преобразования импульсной характеристики фильтра, найденные в N равноотстоящих точках на единичной окружности, т. е.

Н(k) = Н (z) |z= (11)

Таким образом, z-преобразование импульсной характеристики КИХ-фильтра можно легко выразить через коэффициенты ДПФ его импульсной характеристики:

 (12)

Из соотношения (12) следует, что для аппроксимации произвольной непрерывной частотной характеристики следует произвести ее дискретизацию по частоте в N равноотстоящих точках (взять частотную выборку) и найти непрерывную частотную характеристику, интерполируя отсчеты частотной характеристики. В этом случае ошибка аппроксимации на частотах взятия выборки будет в точности равна нулю и иметь конечную величину в промежуточных точках. Чем более гладкой является аппроксимируемая частотная характеристика, тем меньше ошибка аппроксимации между частотными отсчетами.

Описанную процедуру можно было бы использовать непосредственно для расчета КИХ-фильтров, однако для улучшения качества аппроксимации, т. е. для уменьшения ошибки аппроксимации, часть частотных отсчетов целесообразно сделать независимыми переменными. Значения этих независимых переменных обычно рассчитывают методами оптимизации на вычислительной машине таким образом, чтобы минимизировать некоторую простую функцию ошибки аппроксимации. В качестве независимых переменных можно выбрать частотные отсчеты, расположенные в переходной полосе между двумя полосами, внутри которых частотная характеристика определена (т. е. в случае фильтра нижних частот между полосами пропускания и непропускания).

Чтобы понять, почему при такой методике оптимизации часто лишь несколько из N частотных отсчетов могут существенно уменьшить ошибку аппроксимации, необходимо вычислить значения Н (z) на единичной окружности. Получаемая при этом интерполяционная формула для расчета частотной характеристики фильтра в функции непрерывной частоты имеет вид:

 (13)

Отсюда следует, что частотная характеристика фильтра является линейной комбинацией частотных интерполирующих функций вида


со значениями частотных отсчетов H(k) в качестве коэффициентов. Таким образом, вклад каждого частотного отсчета в общую частотную характеристику пропорционален его значению H(k), умноженному на функцию , смещаемую по частоте на рk/N. Оказалось, что интерполирующие функции [т. е. ], связанные с частотными отсчетами из переходной полосы, обеспечивают хорошее подавление пульсаций в примыкающих частотных полосах. Таким образом, оптимизируя значения только тех незаданных частотных отсчетов, которые лежат в предварительно выбранных переходных полосах, можно получить фильтры с очень хорошими характеристиками.

Чтобы найти оптимальные значения незаданных частотных отсчетов, нужно составить и решить систему уравнений, математически описывающих задачу оптимизации.() можно выразить в виде:

(15)

где S(щ,k) - результирующая частотная интерполирующая функция, а (КМ+1) равно числу частотных отсчетов, которые требуется определить.

(16)

Чтобы найти незаданные частотные отсчеты, необходимо для частот в пределах полос 1 и 2 составить систему ограничивающих уравнений. Типичными ограничениями для такой системы уравнений могут быть следующие:

. для щ в полосе 1.

. Минимизируется максимум  для щ в полосе 2 подбором Т1 и Т2.

Здесь е - заданная погрешность.

В общем случае, когда частотная характеристика задана на нескольких участках, разделенных переходными полосами, в которых частотные отсчеты не задаются, можно составить систему линейных неравенств относительно этих неизвестных частотных отсчетов и решить ее методами линейного программирования.

При расчете фильтров методом частотной выборки используются лишь те коэффициенты ДПФ импульсной характеристики фильтра (образующие частотную выборку), которые находятся в интересующих нас полосах, а остальные коэффициенты ДПФ, попадающие в переходные полосы, считаются незаданными. Относительно этих неизвестных коэффициентов составляется система линейных неравенств, описывающая ограничения, накладываемые на частотную характеристику. Решая эту систему методами линейного программирования, получают значения незаданных частотных отсчетов.

Расчет фильтра методом частотной выборки.

При расчете фильтров методом частотной выборки используются отсчеты заданной частотной характеристики в N равноотстоящих точках на единичной окружности. Использовались отсчеты в точках

(17)

соответствующих N частотам, для которых вычисляется N- точечное ДПФ.

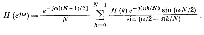
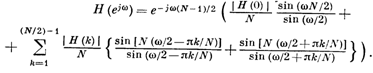
Частотная характеристика фильтра с частотной выборкой описывается выражением:


Для фильтров с линейной фазой [с задержкой на (N-1)/2 -счетов] частотные отсчеты Н(k) можно записать в виде:

(19)

причем

(20)

При четном N:

(21)

Используя выражение (21), приведем (19) к виду (для четного N)

 (22)

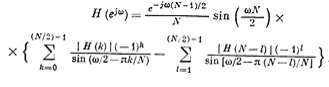
Подставив выражение для H(k) в (18) и сократив члены, получим:

 (23)

Подстановка l = N - к во вторую сумму выражения (23) дает:

 (24)

Объединяя члены и учитывая формулу (20), находим

 (25)

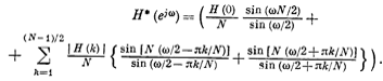
Используя тригонометрические тождества, получаем искомый результат:

 (26)

Выражение (26) без учета множителя представляет искомую действительную функцию  для фильтра вида 1 с частотной выборкой, имеющего линейную фазу и четное N.

Аналогичные выкладки для фильтра и нечетного N дают:

 (27)

. Моделирование КИХ-фильтров в MathCAD

. ФНЧ

Число отсчетов импульсной характеристики N - четное.

Задаем частоту среза:


Модуль идеальной периодической частотной характеристики имеет вид:

Поставим вместо непрерывной функции дискретные отсчеты.

Дискретизируем эту характеристику в N=16 точках на интервале 0≤щ≤2р. Зададим отсчеты в переходной полосе G2 и G14.


Запишем выражение для линейной фазовой характеристики:


Фазовая характеристика:

Искомую конечную импульсную характеристику получим на основе ОДПФ в виде:


Импульсная характеристика:

Интерполяционная формула для восстановления частотной характеристики реального фильтра по N отсчетам частотной характеристики идеального фильтра имеет вид:


. ФВЧ

Число отсчетов импульсной характеристики N - нечетное.

Задаем частоту среза:


Модуль идеальной периодической частотной характеристики имеет вид:


Поставим вместо непрерывной функции дискретные отсчеты.

Дискретизируем эту характеристику в N=33 точках на интервале .

Зададим отсчеты в переходной полосе G13 и G19.


Запишем выражение для линейной фазовой характеристики:



Фазовая характеристика

Интерполяционная формула для восстановления частотной характеристики реального фильтра по N отсчетам частотной характеристики идеального фильтра имеет вид:


. Процессор DSP56311 фирмы Motorola

Современные процессоры ЦПОС являются сложными устройствами с большими возможностями. Фирмы-производители ЦПОС выпускают большое количество самых разнообразных процессоров с различными характеристиками. ЦПОС используют в самых различных областях, начиная с применений в устройствах радиолокации и заканчивая бытовыми приборами. Естественно, не существует идеального процессора для всех областей применения. Для каждой из них при реализации различных алгоритмов ЦОС оказываются важными те или иные характеристики процессоров.

Характеристики ЦПОС, которые важны при выборе процессора для конкретной разработки, обычно приводятся в различных таблицах для сравнения. Перечислим их:

      Тип арифметики. Форма представления данных с плавающей или фиксированной точкой.

      Разрядность данных.

      Быстродействие.

      Объем и разновидности внутренней памяти.

      Объем адресного пространства памяти.

      Количество и разновидности портов последовательного ввода информации.

      Внутренние периферийные устройства.

      Наличие и количество каналов DMA (прямой доступ к памяти).

Выбор процессора для конкретной разработки целиком определяется назначением разрабатываемой системы.

Для недорогих устройств типа мобильных телефонов, дисководов, игровых приставок, которые выпускаются в большом количестве, стоимость, сравнительная простота и потребляемая мощность являются определяющими.

При обработке больших объемов данных по сложным алгоритмам (обработка звука, сейсмические исследования) определяющими являются другие характеристики - эффективность процессора, простота разработки, возможность построения многопроцессорной системы.

Рассмотрим некоторые характеристики ЦПОС на примере DSP56311 фирмы Motorola.

Наиболее правильным подходом к оценке быстродействия является использование набора текстовых программ, реализующих стандартные алгоритмы ЦОС и оценка времени их выполнения различными ЦПОС.

Фирма BDTImark специализируется на анализе, эталонном тестировании, оценке и развитии новых технологий и микропроцессоров, разрабатывает прикладные программ ЦОС. Их заказчиками являются все ведущие производители ПЦОС.

В следующей таблице представлены оценки скорости работы процессоров (чем выше, тем лучше):


Из таблицы видно, что процессор DSP56311 обладает средней скоростью и даже невысокой скоростью работы по сравнению, например, с процессором .

Сгруппируем и перечислим основные характеристики процессора DSP56311:

      Разрядность данных: 24

      Тип арифметики: ФТ

      Частота, Мгц: 1504

      Время цикла, нс: 6,7

      Внутренняя память RAM, слов: 96К

      ROM, слов: 32К

      DMA: 6

      Таймеры: 1

      Последовательные порты: 2

      Напряжение ядра, В: 1,8

Заключение

В данной курсовой работе был рассмотрен цифровой КИХ-фильтр, рассчитанный методом частотной выборки.

Основная идея метода частотной выборки состоит в том, что искомую частотную характеристику можно аппроксимировать ее отсчетами, взятыми в N равноотстоящих точках, а затем путем интерполяции получить результирующую частотную характеристику, которая будет проходить через исходные отсчеты. Ошибка интерполяции для фильтров с достаточно гладкими частотными характеристиками обычно имеет небольшую величину. В случае селективных фильтров, когда заданная частотная характеристика резко меняется от полосы к полосе, частотные отсчеты в переходных полосах остаются незаданными переменными, значения которых подбираются с помощью алгоритма оптимизации таким образом, чтобы минимизировать некоторую функцию ошибки аппроксимации характеристики фильтра.

По заданию неравномерность в полосе пропускания д1=0.01, в полосе непропускания д2=0.05. Данные неравномерности были достигнуты с помощью метода частотной выборки за счет подбора частотных отсчетов в переходной полосе.

Список использованной литературы

1. Оппенгейм А. В., Шафер Р. В. Цифровая обработка сигналов. - М.: «Связь», 1979. - 416 с.

2. Э. Айфичер, Б. Джервис <http://www.ozon.ru/context/detail/id/2138332/>, Цифровая обработка сигналов. Практический подход. 2-е изд. - СПб.: Вильямс, 2004. - 992 с.

. Рабинер Л., Гоулд Б. Теория и применение цифровой обработки сигналов. М.: «Мир», 1978. - 848 с.

Похожие работы на - Цифровой КИХ-фильтр для частотной селекции измерительных сигналов

 

Не нашли материал для своей работы?
Поможем написать уникальную работу
Без плагиата!
Без нейросетей!