Стационарное распределение в системах массового обслуживания с разнотипными заявками и ограниченным числом требований
Министерство образования Республики
Беларусь
Учреждение образования
"Гомельский государственный
университет
имени Франциска Скорины"
математический факультет
Кафедра экономической кибернетики и
теории вероятности
Дипломная работа
Стационарное распределение в СМО с
разнотипными заявками и ограниченным числом требований
Исполнитель:
студент
группы М-51 Колядова Ю.В.
Научный руководитель:
к. физ. - мат. н., доцент Бураковский В.В.
Рецензент
к. физ. - мат. н., старший преподаватель Вересович П.П.
Гомель 2008
Реферат
Дипломная работа _____ страницы, 5 источников, 4
рисунка.
Ключевые слова:
Система массового обслуживания (СМО), математическая модель
СМО, уравнения равновесия, заявка, прибор, очередь.
Объект исследования: стационарное
распределение вероятностей в СМО с различным числом приборов, требованиями
различных типов и ограниченными очередями на приборах.
Цель работы: исследование стационарного распределения
вероятностей в СМО с различным числом приборов, требованиями различных типов и
ограниченными очередями на приборах.
Метод исследования: теория массового
обслуживания.
Полученные результаты: в данной работе было
исследовано стационарное распределение вероятностей, построены математические
модели, графы переходов, получены уравнения равновесия СМО с различным числом
приборов, требованиями различных типов и ограниченными очередями на приборах.
Область применения: системы массового
обслуживания.
Содержание
Введение
1 Стационарное распределение вероятностей состояний СМО с двумя
приборами, разнотипными требованиями и ограниченной очередью
1.1 Построение математической модели СМО с двумя приборами,
разнотипными требованиями и ограниченной очередью
1.2 Построение уравнений равновесия СМО с двумя приборами, заявками
двух типов и ограниченной очередью
1.3 Построение уравнений равновесия СМО с двумя приборами, заявками
n типов и ограниченной очередью
2. Исследование стационарного распределения вероятностей состояний
СМО с несколькими приборами и ограниченными очередями на приборах
2.1 Построение математической модели СМО с N приборами,
разнотипными требованиями n типов, у которой на i-том приборе могут находиться
не более mi требований (i=
)
2.2 Построение уравнений равновесия для частного случая СМО с N=2
приборами, заявками n=3 типов, у которой на i-том приборе могут находиться не
более mi=1 требований (i=1,2,3)
2.3 Построение математической модели СМО с N приборами,
разнотипными требованиями n типов, которых может находиться в СМО не более m
2.4 Построение уравнений равновесия для частного случая СМО с N=2
приборами, заявками n=3 типов, которых может находиться в СМО не более m=2
3. Стационарное распределение СМО с N приборами, заявками n типов,
у которой на каждом приборе имеется буфер ёмкости M, причём заявки i-того типа
обслуживаются на i-том приборе
3.1 Построение математической модели СМО с N=2 приборами, заявками
N=2 типов, у которой на каждом приборе имеется буфер ёмкости m=2, причём заявки
i-того типа обслуживаются на i-том приборе
3.2 Построение уравнений равновесия для частного случая СМО с N=2
приборами, заявками N=2 типов, у которой на каждом приборе имеется буфер
ёмкости m=2, причём заявки i-того типа обслуживаются на i-том приборе
3.3 Построение математической модели СМО с N=3 приборами, заявками
N=3 типов, у которой на каждом приборе имеется буфер ёмкости m=2, причём заявки
i-того типа обслуживаются на i-том приборе
3.4 Построение уравнений равновесия для частного случая СМО с N=3
приборами, заявками N=3 типов, у которой на каждом приборе имеется буфер ёмкости
m=2, причём заявки i-того типа обслуживаются на i-том приборе
3.5 Построение математической модели СМО с N приборами, заявками N
типов, у которой на каждом приборе имеется буфер ёмкости m, причём заявки
i-того типа обслуживаются на i-том приборе
3.6 Построение уравнений равновесия для СМО с N приборами, заявками
N типов, у которой на каждом приборе имеется буфер ёмкости m, причём заявки
i-того типа обслуживаются на i-том приборе
4. Построение векторно-матричных уравнений СМО с двумя приборами,
требованиями трех типов и конечными буферами
Заключение
Список использованных источников
Введение
Практические требования телефонного дела, физики и
рациональной организации массового обслуживания (билетные кассы, магазины и
т.д.) выдвинули в начале ХХ столетия ряд интересных математических задач нового
типа. Первоначально эти задачи касались преимущественно вопросов обслуживания
абонентов телефонной станции, расчета запасов магазинов для бесперебойного
снабжения покупателей, а также установления наиболее рационального числа
продавцов и касс в торговых предприятиях. На первичное развитие этой теории
особое влияние оказали работы известного датского ученого А.К. Эрланга (1878 -
1929) - многолетнего сотрудника Копенгагенской телефонной компании. С того
времени интерес к проблемам, выдвинутым Эрлангом, необычайно возрос. Оказалось,
что задачи типа телефонных возникают в самых разнообразных направлениях
исследований: в естествознании, в технике, экономике, транспорте, военном деле,
организации производства.
Рассмотрим несколько областей применения теории массового
обслуживания.
Предположим, что на телефонную станцию в случайном порядке
поступают вызовы. Если в момент поступления вызова на станции имеются свободные
линии, то происходит подключение абонента к свободной линии и начинается
разговор в течение того времени, которое необходимо для его завершения. Если же
на станции все линии заняты, то возможны различные системы обслуживания
абонентов. В настоящее время особенно хорошо разработаны две системы
обслуживания: система с ожиданием и система с потерями.
Ситуация, которая создается около театральной кассы, когда в
нее обращаются за билетами, весьма напоминает описание системы обслуживания
абонентов на телефонной станции. Если только в первоначальной постановке задачи
шла речь о телефонных линиях, то теперь вопрос касается занятости кассира.
Стремление рационально обслуживать потребителей приводит к необходимости
изучения закономерностей образования очередей. Знание этих закономерностей
должно, в частности, помочь решению вопроса о числе касс, которые рационально
установить для продажи билетов на железнодорожной станции или в магазине.
Содержание каждой кассы вызывает некоторые расходы, но и потеря требований
также наносит определенный ущерб. Возникает вопрос о разыскании некоторого
оптимума.
Для многих реальных задач научного, производственного и
экономического характера естественны не только задачи, в которых
рассматриваются обслуживание с потерями и ожидание без ограничения времени.
Зачастую мы отказываемся от обслуживания только из-за возможной длительной
задержки с началом обслуживания. Так, если в очереди к продавцу имеется более
пяти покупателей, то порой мы уходим из магазина и откладываем предполагаемую
покупку. Несколько иная ситуация может создаваться, когда ограничено не время
ожидания, а время пребывания в системе обслуживания. С такой постановкой задачи
приходится встречаться при продаже скоропортящихся продуктов: от момента
изготовления до употребления должно пройти не более чем t единиц времени, т.к.
иначе эти продукты теряют свои ценные качества и могут представлять угрозу для
здоровья потребителя.
Таким образом, естественна постановка следующей группы
близких по характеру задач. Требования, поступающие для обслуживания, остаются
в очереди, если число ранее прибывших и ожидающих обслуживания требований не
превосходит заданного числа k, в противном случае требование теряется. Каждое требование
остается в системе не более чем время t, даже если началось его
обслуживание. Возможна также и третья постановка вопроса: ограничено время
ожидания величиной t, но если до истечения этого срока обслуживание
началось, то оно доводиться до конца. Во всех трех случаях особый интерес
представляет вычисление среднего числа потерь за определенный промежуток
времени, среднего времени ожидания начала обслуживания или потерянного времени
на ожидание. Во второй постановке задачи естественно различать среднее число
потерь не совсем обслуженных требований, обслуживание которых все-таки было
начато.
В поставленных задачах мы исходили из предположения, что
обслуживающие приборы обладают абсолютной надежностью, и сами никогда не
выходят из рабочего состояния. Такое положение несколько идеализирует реальные
системы. В результате возникает естественная и важная задача учета влияния на
эффективность системы обслуживания порчи обслуживающих приборов. Изучение этой
задачи началось сравнительно недавно. Возможное разнообразие практически
интересных вопросов здесь совершенно не ограничено.
Можно указать множество других постановок задач реального
содержания, которые в своей математической части сводится к вопросам теории
массового обслуживания. Задача математической теории состоит в первую очередь в
выработке общих методов, применимых не только к решению тех частных задач, на
базе которых была начата ее разработка, но и множества других, быть может, даже
очень далеких по своей формулировке от первоначальных.
В подавляющем большинстве работ по теории массового
обслуживания, как тех из них, которые послужили базой построения теории, так и
современных, рассматривается простейший случай потоков, когда вероятность
поступления в промежуток времени t ровно k требований задается формулой
где l>0 - среднее число заявок, поступающих в
единицу времени. Поступающий поток при этом считается таким, что для любой
конечной группы непересекающихся отрезков времени числа появившихся на их
протяжении требований представляют собой взаимно независимые случайные
величины.
Стационарность потока означает, что для любых попарно
непересекающихся промежутков времени D1,D2,.,Dn для любого n=1,2,. вероятность
поступления в этих промежутках k1,k2,.,kn заявок соответственно зависит только от этих
чисел и длин промежутков ½D1½, ½D2½,., ½Dn½, и не зависит от их
взаимного расположения. В частности, вероятность появления k заявок в промежутке
времени [Т, Т+t)
не зависит от Т и является функцией только переменных k и t.
Отсутствие последействия состоит в том, что вероятность
поступления k
требований в течение промежутка времени (Т, Т+t) не зависит от того,
сколько требований и как поступали до этого промежутка.
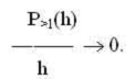
Ординарность потока требований выражает собой условие
практической невозможности появления двух или нескольких требований в один и
тот же момент времени. Это условие точнее сформулируем следующим образом:
обозначим через P>1 (h) вероятность появления в промежутке длины h двух или более
требований. Условие ординарности потока состоит в том, что при h®0
Простейшим или пуассоновским потоком называется стационарный,
ординарный поток без последействия.
Экспериментальная проверка показала, что простейший поток
наблюдается не так часто, как это предполагалось первоначально. Действительно,
предположение стационарности в реальной обстановке является довольно сильной абстракцией.
Поток вызовов, поступающий на телефонную станцию, не может считаться вполне
стационарным, т.к. в течение суток режим работы станции существенно меняется.
Однако если рассматривать явления в сравнительно ограниченные промежутки
времени, то предположение стационарности может служить достаточно
удовлетворительным первым приближением.
Гипотеза отсутствия последействия во многих случаях также
должна считаться недостаточно обоснованной. Имеются многочисленные явления, в
которых наступление одного события влечет за собой появление других. Один
телефонный звонок может повлечь за собой большое число звонков к другим
абонентам.
Предположение ординарности потока во многих случаях
оказывается выполненным далеко не с полной строгостью. Известно, например, что
в магазины и в билетные кассы обращаются сразу группами.
система массовое обслуживание вероятность
1
Стационарное распределение вероятностей состояний СМО с двумя приборами,
разнотипными требованиями и ограниченной очередью
1.1
Построение математической модели СМО с двумя приборами, разнотипными
требованиями и ограниченной очередью
Рассмотрим СМО с двумя приборами, у которой входящий поток
является простейшим с интенсивностью λ. В СМО поступают заявки n типов. С вероятностью P (k) k=
, каждая заявка независимо от предыдущих
оказывается заявкой типа k. Если
поступающая в СМО заявка застаёт приборы занятыми, то она становится в очередь.
Всего в СМО могут находиться не более m заявок.
Обслуживание производится в порядке поступления. Заявки разных типов отличаются
тем, что требуют различного обслуживания. Время обслуживания в СМО распределено
по показательному закону с интенсивностью μk k=
, где k-тип заявки. Будем предполагать для определённости, что P (k) >0 k=
;
. Состоянием СМО будем называть тройку чисел (l,j,k), первое из которых показывает, сколько заявок
находится в СМО в данный момент времени (l ≤ m), второе - номер типа заявки, обслуживаемой на первом
приборе, третье - номер типа заявки, обслуживаемой на втором приборе. Если в
СМО заявок нет, то для унификации обозначений будем говорить, что она находится
в состоянии (0,0,0).
1.2
Построение уравнений равновесия СМО с двумя приборами, заявками двух типов и
ограниченной очередью
Предположим, что в СМО существует стационарный режим. Через P (l,j,k) обозначим
стационарную вероятность того, что СМО находится в состоянии (l,j,k). Процесс изменения
состояния в СМО будет марковским. При поступлении на пустую станцию, сообщение
любого типа будет обслуживаться первым прибором. Получим следующие уравнения
для вероятностей состояния (учитываем, что P (1) +P (2) =1):
λP (0,0,0) =μ1P
(1,1,0) +μ2P (1,2,0).
Уравнения для состояний первого уровня имеют вид:
(μ1+λ) P (1,1,0) =λP (1) P (0,0,0) + μ1P
(2,1,1) + μ2P (2,1,2),
(μ2+λ) P (1,2,0) =λP (2) P (0,0,0) + μ1P
(2,2,1) + μ2P (2,2,2).
Уравнения для состояний второго уровня имеют вид:
(μ1+λ) P (2,1,1) =λP (1) P (1,1,0) + 2μ1P
(1) P
(3,1,1) + μ2P (1) P (3,1,2) + μ2P
(1) P
(3,2,1),
(μ2+λ) P (2,1,2) =λP (2) P (1,1,0) + (μ1P
(1) + μ2P (2)) P (3,2,1) + μ2P
(2) P
(3,1,1) + +μ2P (1) P (3,2,2).
Уравнения для состояний m-того уровня имеют вид:
P (m,1,1) (2μ1P (1) + μ1P
(2) +μ2P (2)) = λP (m-1,1,1),
P (m,1,2) (μ1+μ2) = λP (m-1,1,2),
P (m,2,1) (μ1+μ2) = λP (m-1,2,1,P (m,2,2) 2μ2= λP (m-1,2,2).
1.3
Построение уравнений равновесия СМО с двумя приборами, заявками n типов и
ограниченной очередью
Для общего случая n типов заявок уравнения для стационарных
вероятностей имеют вид:
Уравнения для состояний нулевого уровня имеют вид:
2λP (0,0,0) =
. P (1,k,0).
Уравнения для состояний первого уровня имеют вид:
(μk+λ) P (1,k,0) =λP (k) P (0,0,0) +
P (2,k,j), k=
.
Уравнения для состояний второго уровня имеют вид:
(μj+λ) P (2,k,j) =λP (j) P (1,k,0) + P (j)
P (3,k,r) μr+P (k)
P (3,m,j) μm
k,j=
.
Уравнения для состояний l-го
уровня имеют вид:
(λ+μk+μj) P (l,k,j) =λP (l-1,k,j) + P (j)
P (l+1,k,r) μr+P (k)
P (l+1,m,j) μm, k,j=
, (μk+μj) P (m,k,j) =λP (m-1,k,j), k,j=
.
Рисунок 1-Граф переходов для двух приборов и n типов заявок.
Таким образом, мы получили стационарное распределение вероятностей
состояний СМО с двумя приборами, разнотипными требованиями и ограниченной
очередью.
В результате исследования были построены математические модели,
графы переходов, уравнения равновесия для данных СМО.
2. Исследование стационарного распределения
вероятностей состояний СМО с несколькими
приборами и ограниченными очередями на приборах
2.1
Построение математической модели СМО с N приборами, разнотипными требованиями n
типов, у которой на i-том приборе могут находиться не более mi требований (i=
)
Рассмотрим СМО с N приборами.
Поступающий поток требований является простейшим с интенсивностью λ. В СМО поступают требования (заявки) n типов, причём интенсивность поступления заявок i-го типа λi,
λi=λ. Интенсивности обслуживания заявок i-го типа на j-том приборе μji, j=
, i=
. C вероятностью P (k) >0, k=1,…,n, каждая заявка независимо от предыдущих оказывается
заявкой типа k. Если поступающая в СМО заявка застаёт
приборы занятыми, то она становится в очередь.
Всего в СМО могут находиться на i-том приборе не более mi
требований (i=
). Вероятность того, что поступающая в СМО заявка становится на i-ый прибор равна Qi (i=
). Обслуживание производится в порядке
поступления заявок.
Qi=1.
Состоянием СМО будем называть набор чисел (l,j,1…,jN), где l-число заявок в СМО в данный момент времени (0≤l≤m), ji, i=
- номер типа заявки, обслуживаемой на i-том приборе, ji
{1,2,…n}. Если в СМО заявок нет, то состояние СМО полагаем (0,0,…,0).
Если заявок нет, то ji=0.
2.2
Построение уравнений равновесия для частного случая СМО с N=2 приборами,
заявками n=3 типов, у которой на i-том приборе могут находиться не более mi=1
требований (i=1,2,3)
Предположим, что в СМО существует стационарный режим. Через P (l,j,k) обозначим стационарную
вероятность того, что СМО находится в состоянии (l,j,k). Процесс изменения
состояний в СМО является марковским, получим следующие уравнения для
вероятностей состояния:
Уравнения для состояний нулевого уровня имеют вид:
λP (0,0,0) =μ11P (1,1,0) +μ12P (1,2,0) +μ13P (1,3,0) +μ21P (1,0,1) +μ22P (1,0,2) + +μ23P (1,0,3).
Уравнения для состояний первого уровня имеют вид:
(λQ2+μ11) P (1,1,0) = μ21P (2,1,1) +μ22P (2,1,2) +μ23P (2,1,3) +λ1Q1P (0,0,0),
(λQ2+μ12) P (1,2,0) = μ21P (2,2,1) +μ22P (2,2,2) +μ23P (2,2,3) +λ2Q1P (0,0,0),
(λQ2+μ13) P (1,3,0) = μ21P (2,3,1) +μ22P (2,3,2) +μ23P (2,3,3) +λ3Q1P (0,0,0),
(λQ1+μ21) P (1,0,1) = μ11P (2,1,1) +μ12P (2,2,1) +μ13P (2,3,1) +λ1Q2P (0,0,0),
(λQ1+μ22) P (1,0,2) = μ11P (2,1,2) +μ12P (2,2,2) +μ13P (2,3,2) +λ2Q2P (0,0,0),
(λQ1+μ23) P (1,0,3) = μ11P (2,1,3) +μ12P (2,2,3) +μ13P (2,3,3) +λ3Q2P (0,0,0).
Уравнения для состояний второго уровня имеют вид:
(μ11+ μ21) P (2,1,1) =λ1Q1P (1,0,1) +λ1Q2P (1,1,0),
(μ11+ μ22) P (2,1,2) =λ1Q1P (1,0,2) +λ2Q2P (1,1,0),
(μ11+ μ23) P (2,1,3) =λ1Q1P (1,0,3) +λ3Q2P (1,1,0),
(μ21+ μ12) P (2,2,1) =λ2Q1P (1,0,1) +λ1Q2P (1,2,0),
(μ22+ μ12) P (2,2,2) =λ2Q1P (1,0,2) +λ2Q2P (1,2,0),
(μ23+ μ12) P (2,2,3) =λ2Q1P (1,0,3) +λ3Q2P (1,2,0),
(μ21+ μ13) P (2,3,1) =λ3Q1P (1,0,1) +λ1Q2P (1,3,0),
(μ22+ μ13) P (2,3,2) =λ3Q1P (1,0,2) +λ2Q2P (1,3,0),
(μ23+ μ13) P (2,3,3) =λ3Q1P (1,0,3) +λ3Q2P (1,3,0).
Уравнения для состояния нулевого уровня в общем виде:
2λP (0,0,0) =
μ1jP (1,j,0) +
μ2kP (1,0,k).
Уравнения для состояния первого уровня в общем виде:
(λQ2+μ1j) P (1,j,0) =
μ2kP (2,j,k) +λjQ1P (0,0,0), j={1,2,3},
(λQ1+μ2j) P (1,0,j,) =
μ1kP (2,k,j) +λjQ2P (0,0,0), j={1,2,3}.
Уравнения для состояния второго уровня в общем виде:
(μ2j+ μ1k) P (2,j,k) =λkQ1P (1,0,k) + λjQ2P (1,j,0), k,j={1,2,3}.
Рисунок 2 - Граф переходов для СМО с N=2 приборами, заявками
n=3 типов
2.3
Построение математической модели СМО с N приборами, разнотипными требованиями n
типов, которых может находиться в СМО не более m
Рассмотрим СМО с N приборами.
Поступающий поток требований является простейшим с интенсивностью λ. В СМО поступают требования (заявки) n типов, причём интенсивность поступления заявок i-го типа λi,
λi=λ. Интенсивности обслуживания заявок i-го типа на j-том приборе μji, j=
, i=
. C вероятностью P (k) >0, k=
, каждая заявка независимо от предыдущих
оказывается заявкой типа k. Если
поступающая в СМО заявка застаёт приборы занятыми, то она становится в очередь.
Всего в СМО могут находиться не более m требований. Вероятность того, что поступающая в СМО заявка
становится на i-ый прибор равна Qi (i=
). Обслуживание производится в порядке
поступления заявок.
Qi=1.
Состоянием СМО будем называть набор чисел (l,j,1…,jN), где l-число заявок в СМО в данный момент времени (0≤l≤m), ji, i=
- номер типа заявки, обслуживаемой на i-том приборе, ji
{1,2,…n}. Если в СМО заявок нет, то состояние СМО полагаем (0,0,…,0).
Если заявок нет, то ji=0.
2.4
Построение уравнений равновесия для частного случая СМО с N=2 приборами,
заявками n=3 типов, которых может находиться в СМО не более m=2
Предположим, что в СМО существует стационарный режим. Через P (l,j,k) обозначим стационарную
вероятность того, что СМО находится в состоянии (l,j,k). Процесс изменения
состояний в СМО является марковским, получим следующие уравнения для вероятностей
состояния:
Уравнения для состояний нулевого уровня имеют вид:
λP (0,0,0) =μ11P (1,1,0) +μ12P (1,2,0) +μ13P (1,3,0) +μ21P (1,0,1) +μ22P (1,0,2) + +μ23P (1,0,3).
Уравнения для состояний первого уровня имеют вид:
(λ+μ11) P (1,1,0) =μ11P (1) P (2,1,0) +μ12P (1) P (2,2,0) +μ13P (1) P (2,3,0) +μ21P (2,1,1) + +μ22P (2,1,2) +μ23P (2,1,3) +λ1Q1P (0,0,0),
(λ+μ12) P (1,2,0) =μ11P (2) P (2,1,0) +μ12P (2) P (2,2,0) +μ13P (2) P (2,3,0) +μ21P (2,2,1) + +μ22P (2,2,2) +μ23P (2,2,3) +λ2Q1P (0,0,0),
(λ+μ13) P (1,3,0) =μ11P (3) P (2,1,0) +μ12P (3) P (2,2,0) +μ13P (3) P (2,3,0) +μ21P (2,3,1) + +μ22P (2,3,2) + μ23P (2,3,3) +λ3Q1P (0,0,0),
(λ+μ21) P (1,0,1) =μ21P (1) P (2,0,1) +μ22P (1) P (2,0,2) +μ23P (1) P (2,0,3) +μ11P (2,1,1) μ12P (2,2,1) +μ13P (2,3,1) +λ1Q2 P (0,0,0),
(λ+μ22) P (1,0,2) =μ21P (2) P (2,0,1) +μ22P (2) P (2,0,2) +μ23P (2) P (2,0,3) +μ11P (2,1,2) + +μ12P (2,2,2) +μ13P (2,3,2) +λ2Q2 P (0,0,0),
(λ+μ23) P (1,0,3) =μ21P (3) P (2,0,1) +μ22P (3) P (2,0,2) +μ23P (3) P (2,0,3) +μ11P (2,1,3) + +μ12P (2,2,3) + μ13P (2,3,3) +λ3Q2 P (0,0,0).
μ11P (2,1,0) =λQ1P
(1,1,0),
μ12P (2,2,0) =λQ1P
(1,2,0),
μ13P (2,3,0) =λQ1P
(1,3,0),
(μ11+ μ21) P (2,1,1) =λ1Q1P (1,0,1) +λ1Q2P (1,1,0),
(μ11+ μ22) P (2,1,2) =λ1Q1P (1,0,2) +λ2Q2P (1,1,0),
(μ11+ μ23) P (2,1,3) =λ1Q1P (1,0,3) +λ3Q2P (1,1,0),
(μ21+ μ12) P (2,2,1) =λ2Q1P (1,0,1) +λ1Q2P (1,2,0),
(μ22+ μ12) P (2,2,2) =λ2Q1P (1,0,2) +λ2Q2P (1,2,0),
(μ23+ μ12) P (2,2,3) =λ2Q1P (1,0,3) +λ3Q2P (1,2,0),
(μ21+ μ13) P (2,3,1) =λ3Q1P (1,0,1) +λ1Q2P (1,3,0),
(μ22+ μ13) P (2,3,2) =λ3Q1P (1,0,2) +λ2Q2P (1,3,0),
(μ23+ μ13) P (2,3,3) =λ3Q1P (1,0,3) +λ3Q2P (1,3,0),
μ21P (2,0,1) =λQ2P
(1,0,1),
μ22P (2,0,2) =λQ2P
(1,0,2),
μ23P (2,0,3) =λQ2P
(1,0,3).
Уравнения для состояния нулевого уровня в общем виде:
2λP (0,0,0) =
μ1jP (1,j,0) +
μ2kP (1,0,k).
Уравнения для состояния первого уровня в общем виде:
(λ+μ1j) P (1,j,0) =P (j)
μ1iP (2, i,0) +
μ2kP (2,j,k) +λjQ1P (0,0,0), j={1,2,3},
(λ+μ2j) P (1,0,j) =P (j)
μ2iP (2,0, i) +
μ1kP (2,k,j) +λjQ2P (0,0,0), j={1,2,3},
Уравнения для состояния второго уровня в общем виде:
μ1jP (2,j,0) =λQ1P
(1,j,0), j={1,2,3},
(μ2j+ μ1k) P (2,j,k) =λkQ1P (1,0,k) + λjQ2P (1,j,0), k,j={1,2,3},
μ2jP (2,0,j) =λQ2P
(1,0,j), j={1,2,3}.
Таким образом, нами было исследовано стационарное распределение
вероятностей состояний СМО с несколькими приборами и ограниченными очередями на
приборах.
В частности, были рассмотрены следующие СМО:
СМО с N приборами, разнотипными требованиями n типов, у которой на i-том приборе может находиться не более mi требований (i=
).
СМО с N=2 приборами, заявками n=3 типов, которых может находиться в СМО не более m=2.
В результате исследования были построены математические модели,
графы переходов, уравнения равновесия для данных СМО.
3.
Стационарное распределение СМО с N приборами,
заявками n типов, у которой на каждом приборе имеется буфер ёмкости M, причём
заявки i-того типа обслуживаются на i-том приборе
3.1
Построение математической модели СМО с N=2 приборами, заявками N=2 типов, у
которой на каждом приборе имеется буфер ёмкости m=2, причём заявки i-того типа
обслуживаются на i-том приборе
Рассмотрим СМО с N=2 приборами.
Поступающий поток требований является простейшим с интенсивностью λ. В СМО поступают заявки N=2 типов, причём интенсивность поступления заявок i-го типа λi, i=
,
. Заявки i-того типа обслуживаются на i-том приборе. Интенсивность обслуживания заявок i-того типа - μi, i=
. На каждом приборе имеется буфер ёмкости m=2, в который становятся заявки соответствующих типов. С
вероятностью p (k) >0, k=
каждая заявка независимо от предыдущих
оказывается заявкой типа k. Если
поступающая в СМО заявка застаёт приборы занятыми, то она становится в очередь.
Обслуживание производится в порядке поступления заявок. Состоянием СМО будем
называть тройку чисел (l,j,k), где l - число заявок в СМО в данный момент времени (0≤l ≤ 4), j - число заявок
1-го типа, обслуживаемых на первом приборе, k - число заявок 2-го типа, обслуживаемых на втором приборе. Если в
СМО заявок нет, то для унификации обозначений будем говорить, что она находится
в состоянии (0,0,0).
Рисунок 3 - Граф
переходов для СМО с двумя приборами, заявками двух типов, в которой
заявки i-го типа обслуживаются на i-ом приборе
3.2
Построение уравнений равновесия для частного случая СМО с N=2 приборами,
заявками N=2 типов, у которой на каждом приборе имеется буфер ёмкости m=2,
причём заявки i-того типа обслуживаются на i-том приборе
Предположим, что в СМО существует стационарный режим.
Через P (l,j,k) обозначим стационарную вероятность того, что СМО находится в
состоянии (l,j,k).
Процесс изменения состояния в СМО будет марковским. Получим
следующие уравнения для вероятностей состояния:
Уравнения для состояний нулевого уровня имеют вид:
λP (0,0,0) =μ1P
(1,1,0) +μ2P (1,0,1).
Уравнения для состояний первого уровня имеют вид:
(λ +μ1) P (1,1,0) =λ1P (0,0,0) + μ1P
(2,2,0) + μ2P (2,1,1),
(λ +μ2) P (1,0,1) =λ2P (0,0,0) + μ1P
(2,1,1) + μ2P (2,0,2).
Уравнения для состояний второго уровня имеют вид:
(λ+ μ1) P (2,2,0) =λ1P (1,1,0) + μ1P
(3,3,0) + μ2P (3,2,1),
(λ +μ1+ μ2) P (2,1,1) =λ1P (1,0,1) + λ2P (1,1,0) + μ1P
(3,2,1) +μ2P (3,1,2),
(λ+ μ2) P (2,0,2) =λ2P (1,0,1) + μ1P
(3,1,2) + μ2P (3,0,3).
Уравнения для состояний третьего уровня имеют вид:
(λ+ μ1) P (3,3,0) =λ1P (2,2,0) + μ1P
(4,4,0) + μ2P (4,3,1),
(λ +μ1+ μ2) P (3,1,2) =λ1P (2,0,2) + λ2P (2,1,1) + μ1P
(4,2,2) +μ2P (4,1,3),
(λ +μ1+ μ2) P (3,2,1) =λ1P (2,1,1) + λ2P (2,2,0) + μ1P
(4,3,1) +μ2P (4,2,2),
(λ+ μ2) P (3,0,3) =λ2P (2,0,2) + μ1P
(4,1,3) + μ2P (4,0,4).
Уравнения для состояний четвёртого уровня имеют вид:
μ1P (4,4,0) =λ1P (3,3,0),
(μ1+ μ2) P (4,1,3) =λ1P (3,0,3) + λ2P (3,1,2),
(μ1+ μ2) P (4,2,2) =λ1P (3,1,2) + λ2P (3,2,1),
(μ1+ μ2) P (4,3,1) =λ1P (3,2,1) + λ2P (3,3,0),
μ2P (4,0,4) =λ1P (3,3,0).
3.3
Построение математической модели СМО с N=3 приборами, заявками N=3 типов, у
которой на каждом приборе имеется буфер ёмкости m=2, причём заявки i-того типа
обслуживаются на i-том приборе
Рассмотрим СМО с N=3 приборами.
Поступающий поток требований является простейшим с интенсивностью λ. В СМО поступают заявки N=3 типов, причём интенсивность поступления заявок i-го типа λi, i=
,
. Заявки i-того типа обслуживаются на i-том приборе. Интенсивность обслуживания заявок i-того типа - μi, i=
,
. На каждом приборе имеется буфер ёмкости m=2, в который становятся заявки соответствующих типов. С
вероятностью p (k) >0, k=
каждая заявка независимо от предыдущих
оказывается заявкой типа k. Если
поступающая в СМО заявка застаёт приборы занятыми, то она становится в очередь.
Обслуживание производится в порядке поступления заявок. Состоянием СМО будем
называть четвёрку чисел (l,j,k,s), где l - число заявок
в СМО в данный момент времени (0≤l ≤
6), j - число заявок 1-го типа, обслуживаемых
на первом приборе, k - число заявок 2-го типа, обслуживаемых
на втором приборе, k - число заявок 3-го типа, обслуживаемых
на третьем приборе. Если в СМО заявок нет, то для унификации обозначений будем
говорить, что она находится в состоянии (0,0,0,0).
3.4
Построение уравнений равновесия для частного случая СМО с N=3 приборами,
заявками N=3 типов, у которой на каждом приборе имеется буфер ёмкости m=2,
причём заявки i-того типа обслуживаются на i-том приборе
Предположим, что в СМО существует стационарный режим. Через P (l,j,k,s) обозначим стационарную
вероятность того, что СМО находится в состоянии (l,j,k,s). Процесс изменения
состояния в СМО будет марковским. Получим следующие уравнения для вероятностей
состояния:
Уравнения для состояний нулевого уровня имеют вид:
λP (0,0,0,0) =μ1P
(1,1,0,0) +μ2P (1,0,1,0) + μ3P
(1,0,0,1).
Уравнения для состояний первого уровня имеют вид:
(λ +μ1) P (1,1,0,0) =λ1P (0,0,0,0) + μ1P
(2,2,0,0) + μ2P (2,1,1,0) + μ3P
(2,1,0,1),
(λ +μ2) P (1,0,1,0) =λ2P (0,0,0,0) + μ1P
(2,1,1,0) + μ2P (2,0,2,0) + μ3P
(2,0,1,1),
(λ +μ3) P (1,0,0,1) =λ3P (0,0,0,0) + μ1P
(2,1,0,1) + μ2P (2,0,1,1) + μ3P
(2,0,0,2),
Уравнения для состояний второго уровня имеют вид:
(λ+ μ1) P (2,2,0,0) =λ1P (1,1,0,0) + μ1P
(3,3,0,0) + μ2P (3,2,1,0) + μ3P
(3,2,0,1),
(λ+ μ2) P (2,0,2,0) =λ2P (1,0,1,0) + μ1P
(3,1,2,0) + μ2P (3,0,3,0) + μ3P
(3,1,1,1),
(λ+ μ3) P (2,0,0,2) =λ3P (1,0,0,1) + μ1P
(3,0,1,2) + μ2P (3,0,2,1) + μ3P
(3,0,0,3),
(λ +μ1+μ2) P (2,1,1,0) =λ1P (1,0,1,0) + λ2P (1,1,0,0) + μ1P
(3,2,1,0) +μ2P (3,1,2,0) + +μ2P
(3,1,1,1),
(λ +μ2+μ3) P (2,0,1,1) =λ2P (1,0,0,1) + λ3P (1,0,1,0) + μ1P
(3,1,1,1) +μ2P (3,0,2,1) + +μ3P
(3,0,1,2),
(λ +μ1+ μ3) P (2,1,0,1) =λ1P (1,0,0,1) + λ3P (1,1,0,0) + μ1P
(3,2,0,1) +μ3P (3,1,0,2) + +μ2P
(3,1,1,1).
(λ+ μ1) P (3,3,0,0) =λ1P (2,2,0,0) + μ1P
(4,4,0,0) + μ2P (4,3,1,0) + μ3P
(4,3,0,1),
(λ+ μ2) P (3,0,3,0) =λ2P (2,0,2,0) + μ1P
(4,1,3,0) + μ2P (4,0,4,0) + μ3P
(4,0,3,1),
(λ+ μ3) P (3,0,0,3) =λ3P (2,0,0,2) + μ1P
(4,1,0,3) + μ2P (4,0,1,3) + μ3P
(4,0,0,4),
(λ +μ1+ μ2) P (3,1,2,0) =λ1P (2,0,2,0) + λ2P (2,1,1,0) + μ1P
(4,2,2,0) +μ2P (4,1,3,0) + +μ3P
(4,1,2,1),
(λ +μ1+ μ2) P (3,1,0,2) =λ1P (2,0,0,2) + λ3P (2,1,0,1) + μ1P
(4,2,0,2) +μ2P (4,1,1,2) + +μ3P
(4,1,0,3),
(λ +μ1+ μ3) P (3,2,1,0) =λ1P (2,1,1,0) + λ2P (2,2,0,0) + μ1P
(4,3,1,0) +μ2P (4,2,2,0) + +μ3P
(4,2,1,1),
(λ +μ1+ μ3) P (3,2,0,1) =λ1P (2,1,0,1) + λ3P (2,0,0,2) + μ1P
(4,3,0,1) +μ2P (4,2,1,1) + +μ3P
(4,2,0,2),
(λ +μ2+ μ3) P (3,0,1,2) =λ2P (2,0,0,2) + λ3P (2,0,1,1) + μ1P
(4,1,1,2) +μ2P (4,0,2,2) + +μ3P
(4,0,1,3),
(λ +μ2+ μ3) P (3,0,2,1) =λ2P (2,0,1,1) + λ3P (2,0,2,0) + μ1P
(4,1,2,1) +μ2P (4,0,3,1) + +μ3P
(4,0,2,2),
(λ +μ) P (3,1,1,1) =λ1P (2,0,1,1) + λ2P (2,1,0,1) + λ3P (2,1,1,0) + +μ1P
(4,2,1,1) +μ2P (4,1,2,1) + μ3P
(4,1,1,2).
Уравнения для состояний шестого уровня имеют вид:
μ1P (6,6,0,0) =λ1P (5,5,0,0),
μ2P (6,0,6,0) =λ1P (5,0,5,0),
μ3P (6,0,0,6) =λ1P (5,0,0,5),
(μ1+ μ2) P (6,5,1,0) =λ1P (5,4,1,0) + λ2P (5,5,0,0),
(μ1+ μ3) P (6,5,1,0) =λ1P (5,4,0,1) + λ3P (5,5,0,0),
(μ2+ μ3) P (6,0,5,1) =λ2P (5,0,4,1) + λ3P (5,0,5,0),
(μ1+ μ2) P (6,1,5,0) =λ1P (5,0,5,0) + λ2P (5,1,4,0),
(μ1+ μ3) P (6,1,0,5) =λ1P (5,0,0,5) + λ3P (5,1,0,4),
(μ2+ μ3) P (6,0,1,5) =λ2P (5,0,0,5) + λ3P (5,0,1,4),
(μ1+ μ2) P (6,3,3,0) =λ1P (5,2,3,0) + λ2P (5,3,2,0),
(μ1+ μ3) P (6,3,0,3) =λ1P (5,2,0,3) + λ3P (5,3,0,2),
(μ2+ μ3) P (6,0,3,3) =λ2P (5,0,2,3) + λ3P (5,0,3,2),
(μ1+ μ2) P (6,2,4,0) =λ1P (5,1,4,0) + λ2P (5,2,3,0),
(μ1+ μ3) P (6,2,0,4) =λ1P (5,1,0,4) + λ3P (5,2,0,3),
(μ2+ μ3) P (6,0,2,4) =λ2P (5,0,1,4) + λ3P (5,0,2,3),
(μ1+ μ2) P (6,4,2,0) =λ1P (5,3,2,0) + λ2P (5,4,1,0),
(μ1+ μ3) P (6,4,0,2) =λ1P (5,3,0,2) + λ3P (5,4,0,1),
(μ2+ μ3) P (6,0,5,1) =λ2P (5,0,3,2) + λ3P (5,0,4,1),
μP (6,2,2,2) =λ1P (5,1,2,2) + λ2P (5,2,1,2) + λ3P (5,2,2,1),
μP (6,1,2,3) =λ1P (5,0,2,3) + λ2P (5,1,1,3) + λ3P (5,1,2,2),
μP (6,3,1,2) =λ1P (5,2,1,2) + λ2P (5,3,0,2) + λ3P (5,3,1,1),
μP (6,1,3,2) =λ1P (5,0,3,2) + λ2P (5,1,2,2) + λ3P (5,1,3,1),
μP (6,2,1,3) =λ1P (5,1,1,3) + λ2P (5,2,0,3) + λ3P (5,2,1,2),
μP (6,3,2,1) =λ1P (5,2,2,1) + λ2P (5,3,1,1) + λ3P (5,3,2,0),
μP (6,2,3,1) =λ1P (5,1,3,1) + λ2P (5,2,2,1) + λ3P (5,2,3,1),
μP (6,4,1,1) =λ1P (5,3,1,1) + λ2P (5,4,0,1) + λ3P (5,4,1,0),
μP (6,1,4,1) =λ1P (5,0,4,1) + λ2P (5,1,3,1) + λ3P (5,1,4,0),
μP (6,1,1,4) =λ1P (5,0,1,4) + λ2P (5,1,0,4) + λ3P (5,1,1,3).
Составим уравнения
равновесия в общем виде (будем учитывать, что
:
l) Уравнения для состояний нулевого уровня в общем виде:
λP (0,0,0,0) =
μiP (1,
) I{
}.
Уравнения для состояний первого уровня имеют вид:
(λ+μi) I{
} P (1,
) =λiP (0,0,0,0) +
μj P (2,
) I{
}, i=1,2,3.
Уравнения для состояний второго уровня имеют вид:
(λ+μi) I{
} P (2,
) = λiP (1,
) I{
} +
+
μj P (3,
) I{
}, i=1,2,3, (λ+μi+μj) I{
,
} P (2,
) =
= λiP (1,
) I{
} + λjP (1,
) I{
} +
+
μk P (3,
) I{
}I{
}, i=1,2,3, j=1,2,3.
Уравнения для состояний третьего уровня имеют вид:
(λ+μi) I{
,
} P (3,
) = λiP (2,
) I{
} +
+
μj P (4,
) I{
}, i=1,2,3, (λ+μi+μj) I{
} P (3,
) =
=λiP (2,
) I{
} + λjP (2,
) I{
}+ +
μk P (4,
) I{
}I{
}, i=1,…,3, j=1,2,3, (λ+μ) I{
} P (3,
) =
=
λnP (2,
) I{
} + +
μmP (4,
) I{
}, i=1,2,3, j=1,2,3, k=1,2,3.
Уравнения для состояний шестого уровня имеют вид:
μiP (6,
) I{
} = λiP (5,
) I{
}, i=1,2,3, (μi+ μj) P (6,
) I{
}=
=λiP (5,
) I{
} +
+λjP (5,
) I{
}, i=1,…,3, k=1,…,3, j=1,2,3,μP (6,
) =
λiP (5,
) I{
}, i,j=
.
3.5
Построение математической модели СМО с N приборами, заявками N типов, у которой
на каждом приборе имеется буфер ёмкости m, причём заявки i-того типа
обслуживаются на i-том приборе
Рассмотрим СМО с N приборами.
Поступающий поток требований является простейшим с интенсивностью λ. В СМО поступают заявки N типов, причём интенсивность поступления заявок i-го типа λi, i=
,
. Заявки i-того типа обслуживаются на i-том приборе. Интенсивность обслуживания заявок i-того типа - μi, i=
. На каждом приборе имеется буфер
ёмкости m, в который становятся заявки
соответствующих типов. С вероятностью p (k) >0, k=
каждая заявка независимо от предыдущих
оказывается заявкой типа k. Если поступающая
в СМО заявка застаёт приборы занятыми, то она становится в очередь.
Обслуживание производится в порядке поступления заявок. Состоянием СМО будем
называть набор чисел (l,j1,…,jN), где l - число заявок в СМО в данный момент времени (0≤l ≤ mN), ji - число
заявок i-го типа (i=
), обслуживаемых на i-том приборе. Если в СМО заявок нет, то для
унификации обозначений будем говорить, что она находится в состоянии (0,0,…,0).
Если заявок нет, то ji =0.
3.6
Построение уравнений равновесия для СМО с N приборами, заявками N типов, у
которой на каждом приборе имеется буфер ёмкости m, причём заявки i-того типа
обслуживаются на i-том приборе
Предположим, что в СМО существует стационарный режим. Через P (l,
) обозначим стационарную вероятность того,
что СМО находится в состоянии (l,
). Процесс изменения состояния в СМО будет
марковским. Получим следующие уравнения для вероятностей состояния (будем
учитывать, что
l):
Уравнения для состояний нулевого уровня:
λP (0,0,0,0) =
μiP (1,
) I{
}.
Уравнения для состояний первого уровня имеют вид:
(λ+μi) I{
} P (1,
) =λiP (0,0,0,0) +
+
μj P (2,
) I{
}, i=
.
Уравнения для состояний второго уровня имеют вид:
(λ+μi) I{
} P (2,
) = λiP (1,
) I{
} +
+
μj P (3,
) I{
}, i=
,
(λ+μi+μj) I{
,
} P (2,
) = λiP (1,
) I{
} + +λjP (1,
) I{
} +
+
μk P (3,
) I{
}I{
}, i=
, j=
.
(λ+μi) I{
,
} P (3,
) = λiP (2,
) I{
} +
+
μj P (4,
) I{
}, i=
,
(λ+μi+μj) I{
} P (3,
) =
=λiP (2,
) I{
} +λjP (2,
) I{
}+ +
μk P (4,
) I{
}I{
},
i=
, j=
,
(λ+μ) I{
} P (3,
) =
=
λnP (2,
) I{
} +
+
μm P (4,
) I{
}, i=
, j=
, k=
.
Уравнения для состояний N-го
уровня имеют вид:
μiI{
} P (Nm,
) = λiP (Nm-1,
) I{
}, i=
,
(μi+μj) I{
} P (Nm,
) =
=λiP (Nm-1,
) I{
}+ λjP (Nm-1,
) I{
}, i=
, j=
.
…
I{
} P (Nm,
) =
=
P (Nm-1,
) I{
}, i=
, j=
,
μP (Nm,
) =
P (Nm-1,
) I{
}, i=
,=
.
Таким образом, нами было исследовано стационарное распределение
вероятностей состояний СМО с N приборами,
заявками N типов, у которой на каждом приборе
имеется буфер ёмкости m, причём заявки
i-того типа обслуживаются на i-том приборе.
В частности, были рассмотрены следующие СМО:
СМО с N=2 приборами, заявками N=2 типов, у которой на каждом приборе имеется буфер ёмкости
m=2, причём заявки i-того типа обслуживаются на i-том приборе.
СМО с N=3 приборами, заявками N=3 типов, у которой на каждом приборе имеется буфер ёмкости
m=2, причём заявки i-того типа обслуживаются на i-том приборе.
В результате исследования были построены математические модели,
графы переходов, уравнения равновесия для данных СМО.
4. Построение
векторно-матричных уравнений СМО с двумя приборами, требованиями трех типов и
конечными буферами
Состояние СМО, вообще говоря, задается тройкой чисел (l,j,k), где l - число заявок в СМО в
данный момент времени (l³0), j, - номер типа заявки, обслуживаемой на первом
приборе, k
- номер типа заявки, обслуживаемой на втором приборе. Однако, если
перенумеровать все пары (j,k) через m (в случае, когда jÎ{1,2,3}, kÎ{1,2,3}), то состояние СМО можно задавать парой (l,m), где l>1, mÎ{1,.,9}. В случае, когда l=0 имеем пару (0,0), т.е. m=0 (j=0, k=0).
Будем называть множество { (l,m) ½mÎL} l-тым уровнем. Обозначим
через P
(l) вектор стационарных
вероятностей l-ого
уровня:
P (l) = (P (l,1), P (l,2),., P (l,9)), l>1;
P (1) = (P (1,1), P (1,2),., P (1,6));
P (0) = P (0,0).
Очевидно, что возможные переходы для l-ого уровня схематически
можно изобразить следующим образом:
Рисунок 4
Так как на нулевом уровне имеем лишь одно состояние (0,0), то
при l=0
L={0}. На первом уровне
получаем множество состояний (1,m), где m Î{1,.,6}, т.е. L={1,2,3,4,5,6}, поскольку
в парах (j,k) при l=1 либо j=0 и kÎ{1,2,3}, либо jÎ{1,2,3} и k=0.
На l-том уровне (l>1) имеем множество состояний { (l,k) ½k=1,.,9}, следовательно, L={1,2,.,9}.
Кроме того, для стационарных вероятностей выполняются
следующие соотношения:
pQ=0; p1=1,гдеp=
(Р (0), Р (1), Р (2), Р (3),.),
Q - инфинитезимальная матрица, имеющая следующий блочный вид:
Для l ³ 2 введем следующие
обозначения:
Аlj=A1 при l > j; All=A2;
Alj=A3 при l < j.
Таким образом, из соотношения pQ=0 имеем с учетом
обозначений:
Р (0) A00+ Р (1) A10=0,Р (0) A01+
Р (1) A11+
Р (2) A21=0,Р (1) A12+
Р (2) A2+
Р (3) A1=0,
(4.1)
Р (2) A3+ Р (3) A2+ Р (4) A1=0,.
Р (l-1) A3+ Р (l) A2+ Р (l+1) A1=0,. (m-2) A3+ P (m-1) A2+ P (m) A1=0
P (m-1) A3+P (m) A2=0
Состояние (l,j,k)
при l>2
переходит в состояние (l+1,j,k) с интенсивностью l, в состояние (l-1,j’,k) - с m1jp (j’), в состояние (l-1,j,k’) - с m2kp (k’), где m1j - интенсивность
обслуживания заявки j-ого типа на первом приборе; m2k - интенсивность
обслуживания заявки k-ого типа на втором приборе; p (j’) - вероятность появления
заявки типа j’; p (k’) - вероятность появления заявки типа k’; j, k, j’, k’Î{1,2,3}.
Введем следующие обозначения:
m1
m2
m = m3
вектор-столбец интенсивностей обслуживания заявок различных
типов;
где m1= m11+m21+m31,m2= m12+m22+m32,m3= m13+m23+m33,
рТ= (р (1), р (2), р (3)),
I - единичная (n´n) матрица.
С учетом введенных обозначений получаем:
A00 = - 2l.
Для блоков A01 имеем, что состояние (0,0,0) переходит в
сотояние (1,j,0)
с интенсивностью lp (j) и в состояние (1,0,k) с интенсивностью lp (k). Следовательно, блок A01 - строка, состоящая из
шести элементов и имеющая вид:
A01= (lp (1) lp (2) lp (3) lp (1) lp (2) lp (3)) или A01=
(lpТ lpТ).
Для блоков A10 получаем, что состояние (1,j,0) переходит в состояние
(0,0,0) с интенсивностью m1j, а состояние (1,0,k) переходит в состояние
(0,0,0) с интенсивностью m2k. Таким образом, A10 - столбец, состоящий из
шести элементов, который имеет вид:
Далее, для блоков A12 имеем, что состояние (1,j,0) переходит в состояние
(2,j,k) с интенсивностью lр
(k), а состояние (1,0,k) переходит в состояние
(2,j,k) с интенсивностью lp (j). Следовательно, блоки A12 размерности (6´9) и вида:
или с учетом обозначений
Учитывая вид построенных блоков A10 и A12, блоки A11 размерности (6´6) и также имеют
диагональный вид:
Для блоков A21 имеем, что состояние (2,j,k) переходит в состояние
(1,j,0) с интенсивностью m2k, а в состояние (1,0,k) с интенсивностью m1j. Следовательно, блоки A21 размерности (9´6) и вида:
или с учетом обозначений:
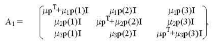
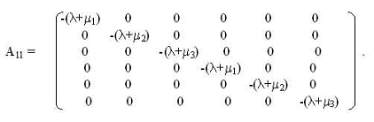
С учетом введенных ранее обозначений блоки A1 имеют вид:

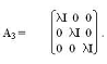
Блоки A3 также имеют размерность (9´9) и диагональный вид:
т.е.
Блоки A2 также диагонального вида и размерности (9´9):
Для стационарных вероятностей можно записать:
P (l) = P (l-1) R, l>2.
Таким образом, последнее соотношение из (4.1) будет иметь
вид:
P (l-1) (A3+R A2+R2 A1) =0 (4.2)
Введем следующие обозначения:
pk=mk/l,
D= A2/l.
Учитывая вид блоков A1, получим:
A1=mрТ´I+I´mрТ, A1/l=pрТ´I+ I´pрТ,
где ´ - символ кронекеровского произведения.
Кроме того, последнее соотношение из (4.1) примет вид:
P (l-1) +P (l) D+P (l+1) (pрТ´I+ I´pрТ) = 0
С учетом соотношения P (l) =P (l-1) R, l>2 (4.3) получим:
P (l-1) +P (l) D+P (l) R (pрТ´I+ I´pрТ) = 0 или(l-1) +P (l) (D+R (pрТ´I+ I´pрТ)) = 0.
Следовательно, принимая во внимание соотношение (4.3), имеем:
R = - (D+R (pрТ´I+ I´pрТ)) - 1.
Полагая R (0) =0, R (N+1) = - (D+R (N) (pрТ´I+ I´pрТ)) - 1,
получим, что R (N+1) ® R при N®¥.
Таким образом, получены векторно-матричные уравнения для
определения стационарных вероятностей состояний СМО с двумя приборами, тремя
типами заявок и конечными очередями на каждом приборе.
Заключение
В ходе написания дипломной работы было исследовано
стационарное распределение вероятностей в СМО с различным числом приборов,
требованиями различных типов и ограниченными очередями на приборах.
В частности, были рассмотрены следующие СМО:
) СМО с двумя приборами, разнотипными требованиями и
ограниченной очередью.
) СМО с несколькими приборами и ограниченными очередями на
приборах:
СМО с N приборами, разнотипными требованиями n типов, у которой на i-том приборе может находиться не более mi требований (i=
).
СМО с N=2 приборами, заявками n=3 типов, которых может находиться в СМО не более m=2.
) СМО с N приборами,
заявками N типов, у которой на каждом приборе
имеется буфер ёмкости m, причём заявки
i-того типа обслуживаются на i-том приборе:
СМО с N=2 приборами, заявками N=2 типов, у которой на каждом приборе имеется буфер ёмкости
m=2, причём заявки i-того типа обслуживаются на i-том приборе.
СМО с N=3 приборами, заявками N=3 типов, у которой на каждом приборе имеется буфер ёмкости
m=2, причём заявки i-того типа обслуживаются на i-том приборе.
В результате исследования были построены математические модели,
графы переходов, уравнения равновесия для данных СМО.
Список
использованных источников
1. Климов,
Г.П. Стохастические системы обслуживания [Текст]: главная редакция
физико-математической литературы / Г.П. Климов. - М.: Наука, 1966. - 265 с.
2. Медведев,
Г.А. Приближенный анализ процессов передачи разнотипных сообщений по сети связи
[Текст]: Управляемые системы массового обслуживания/ Г.А. Медведев. - Томск,
1986. - 187с.
. Назаров,
А.А. Асимптотический анализ марковизируемых систем [Текст] / А. А. Назаров. -
Томск: Изд-во Том. Ун-та, 1991. - 158с.
. Гнеденко,
Б.В. Введение в теорию массового обслуживания [Текст]: учеб. пособие для вузов
/ Б.В. Гнеденко, И.Н. Коваленко. - М.: Наука. Главная редакция
физико-математической литературы, 1987. - 574 с.
. Мишина,
А.П. Высшая алгебра [Текст]: учеб. пособие для вузов /
А.П.
Мишина, И.В. Проскуряков. - М.: Наука. Главная редакция
физико-математической
Литературы, 1965. - 283 с.
. Малинковский,
Ю.В. Методические указания по курсу "Теория массового обслуживания"
для студентов 4 курса специальности "Математика" Часть 1 [Текст]:
учеб. пособие для вузов / Ю.В. Малинковский, Е.А. Ковалев. - Гомель, ГГУ, 1985.
- 25 с.