Решение систем
Задание №1
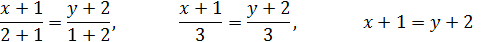
Найти уравнение прямой, проходящей через точку
пересечения прямых х+у+3=0 и 7х+у+9=0 и делящей отрезок АВ между точками А(0;3)
и В (3;0) в отношении 2:1.
Решение
Найдем точку пересечения прямых х+у+3=0 и
7х+у+9=0 решив систему
-
точка пересечения
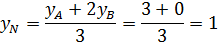
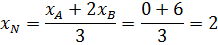
Координаты точки N, делящей отрезок АВ в
отношении 2:1 найдем по формулам
Уравнение прямой, проходящей через
точки
и
, имеет вид:
.(1)
Подставив в (1) координаты точек
и
имеем
уравнение искомой прямой
Задание №2
Дана точка А(1;0) и прямая х=5.
Составить уравнение линии, каждая точка которой в 5 раз ближе к точке А, чем к
данной прямой. Привести уравнение к каноническому виду и изобразить линию.
Решение
Пусть некоторая точка искомой кривой
имеет координаты N(x,y).
Найдем длину отрезков NM и AN.
Расстояние
между
точками
и
определяется
по формуле:
.
Подставив в эту формулу координаты
точек А и N, имеем:
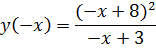
Подставив в эту формулу координаты
точек N и M, имеем:
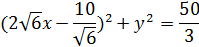
По условию
Тогда
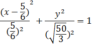
Приведем это уравнение к
каноническому виду
Получили каноническое уравнение
эллипса с центром в точке В(
,0) с полуосями а=
и b=
Задание №3
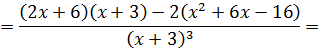
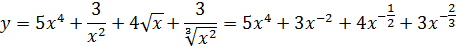
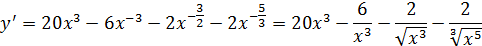
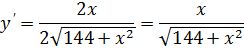
Вычислить производную функции
Решение
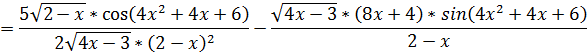
Задание №4
Вычислить производную функции
Решение
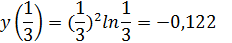
Задание №5
Найти на графике функции
все точки,
касательные в которых перпендикулярны прямой 7у+х-1=0
Решение
Построим схематически графики
функций
и 7у+х-1=0
Найдем угловой коэффициент прямой
7у+х-1=0
Уравнения касательной к графику
функций
ищем в виде
где х0 и у0 - координаты точки
касания
Угловой коэффициент искомых
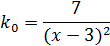
касательных k0 равен

Тогда
откуда
Искомые точки А(2;8), В(4;-6)
Задание №6
Вычислить y’’’(0)
Решение
Задание №7
Найти интервалы монотонности, точки
экстремума, интервалы выпуклости (вогнутости) и точки перегиба функции
Решение
Определим точки экстремума и
интервалы возрастания и убывания функции с помощью первой производной:
Так как
, при
, то
Из таблицы видно, что функция возрастает при
и убывает при
.
). Определим точки перегиба и интервалы
выпуклости и вогнутости с помощью второй производной.
Точек перегиба
нет.
Определим знак y” на каждом интервале:
|
x
|
|
|
y”
|
+
|
|
y
|
|
Функция вогнута на всей области определения.
Задание №8. Найти наибольшее и наименьшее
значение функции на заданном отрезке
Решение
Наибольшее и наименьшее значение функции ищем на
границах интервала и в нулях первой производной
откуда
не принадлежит
принадлежит
Значения функции в данных точках
наименьшее значение
наибольшее значение
Задание №8
Издержки производства некоторого товара равны С,
спрос на товар определяется функцией Рспр. Найти максимальное значение прибыли.
Решение
Функцию прибыли определим по формуле

Исследуем функцию прибыли на экстремум при

Найдем значения прибыли при указанных Q
Ответ: максимальное значение прибыли 8 ден. ед.
при Q=3.
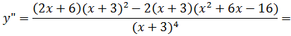
Задание №9
Провести полное исследование функции и построить
ее график
Решение
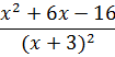
). Найдем область определения функции. Функция
не определена в точке
х=-3, в которой знаменатель обращается в нуль.
). Исследуем функцию на четность и нечетность.
Функция не является ни четной, ни нечетной, так как
). Найдем точки пересечения кривой с осями координат
При
.
При
.
). Определим промежутки знаков постоянства, для
этого решим неравенство.
) Определим точки экстремума и интервалы
возрастания и убывания функции с помощью первой производной:
Так как
,
при
,
то
Из таблицы видно, что функция возрастает при
и убывает при
.
). Определим точки перегиба и интервалы
выпуклости и вогнутости с помощью второй производной.

Точек перегиба
нет.
Определим знак y” на каждом интервале:
Из таблицы видно, что функция вогнута при
и
выпукла при
.
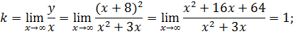
). Исследуем функцию на непрерывность и
определим вертикальные асимптоты. Функция имеет разрыв 2-го рода в точке х=-3,
причем
Уравнения наклонных асимптот ищем в виде
где

). По результатам исследования построим график
данной функции.
Задание №10
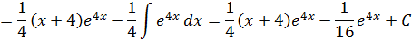
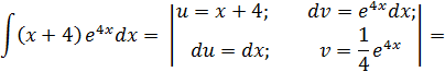
Вычислить интеграл
Решение
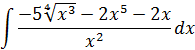
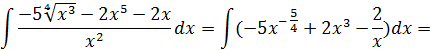
Задание №11
Вычислить интеграл
Решение
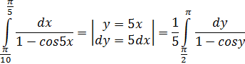
Задание №12
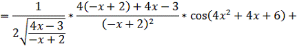
Вычислить интеграл
Решение
помощью универсальной тригонометрической
подстановки

Задание №13
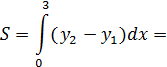
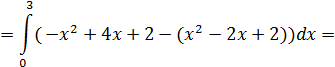
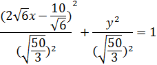
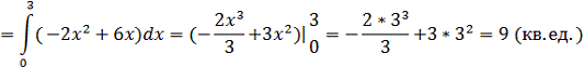
Найти площадь фигуры, ограниченной линиями:
производная коэффициент экстремум
перегиб
Решение
Изобразим на рис.1 линии
Определим пределы интегрирования
Площадь заштрихованной фигуры найдем по формуле

Литература
1.
Письменный Д.Т. Конспект лекций по высшей математике. В 2 ч. Ч. 1 / Д.Т.
Письменный. - М.: Айрис-пресс, 2003. - 288 с.
.
Письменный Д.Т. Конспект лекций по высшей математике. В 2 ч. Ч. 2 / Д.Т.
Письменный. - М.: Айрис-пресс: Рольф, 2002. - 256 с.
.
Пискунов Н.С. Дифференциальное и интегральное исчисление: учебник для втузов. В
2 т. Т. 1 / Н.С. Пискунов.- М.: Интеграл-Пресс, 2001.- 456 с.