Определение объема и площади геометрических фигур. Системы линейных неравенств

  • Вид работы:
    Контрольная работа
  • Предмет:
    Математика
  • Язык:
    Русский
    ,
    Формат файла:
    MS Word
    785,31 Кб
  • Опубликовано:
    2012-11-22
Вы можете узнать стоимость помощи в написании студенческой работы.
Помощь в написании работы, которую точно примут!

Определение объема и площади геометрических фигур. Системы линейных неравенств

Задание 1

57. даны вершины треугольника АВС. Найти

) длину стороны АВ;

) уравнения сторон АВ и АС и их угловые коэффициенты;

) внутренний угол А;

) уравнение медианы проведенной ихз вершины В;

) уравнение высоты СD и ее длину;

)уравнение окружности для которой высота СD есть диаметр и точки пересечения этой окружности со стороной АС;

) уравнение биссектрисы внутреннего угла А;

) площадь треугольника АВС;

) систему линейных неравенств, определяющих треугольник АВС.

Сделать чертеж.

Дано:

А(7, 9); В(-2, -3); С(-7, 7)

Решение:

1)      Найдем длину вектора

 = (хb - xa)2 + (yb - ya)2 = ((-2)-7)2 + (-3 - 9)2 = 92 + 122 = 225

 =  = 15 - длина стороны АВ

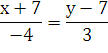
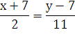
2)      Найдем уравнение стороны АВ

Уравнение прямой, проходящей через точки

А(ха; ув) и В(ха; ув) в общем виде


Подставим координаты точек А и В в это уравнение прямой

 =

 =

 =

SAB = (- 3, - 4) называется направляющим вектором прямой АВ. Этот вектор параллелен прямой АВ.

4(х - 7) = - 3(у - 9)

4х + 28 = - 3у + 27

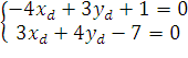
4х + 3у + 1 = 0 - уравнение прямой АВ

Если уравнение записать в виде: у = х -  то можно выделить его угловой коэффициент: k1 =4/3

Вектор NAB = (-4, 3) называется нормальным вектором прямой AB.

Вектор N AB = (-4, 3) перпендикулярен прямой AB.

Аналогично найдем уравнение стороны АС


 =

 =

 =

SAС = (- 7, - 1) - направляющий вектор стороны АС

(х - 7) = - 7(у - 9)

х + 7 = - 7у + 63

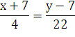
х + 7у - 56 = 0 - уравнение стороны АС

у =  = х + 8 откуда угловой коэффициент k2 = 1/7

Вектор N AC = (- 1, 7) - нормальный вектор прямой AC.

Вектор N AC = (- 1, 7) перпендикулярен прямой AC.

3)      Найдем угол А

Запишем формулу скалярного произведения векторов  и

 *  = * cos ∟A

Для нахождения угла А достаточно найти косинус данного угла. Из предыдущей формулы запишем выражение для косинуса угла А

cos ∟A =

Находим скалярное произведение векторов  и

 = (хв - ха; ув - уа) = (- 2 - 7; - 3 - 9) = (-9, -12)

 = (хс - ха; ус - уа) = (- 7 - 7; 7 - 9 ) = (-14; -2)

 = -9*(-14) + (-12)*(-2) = 150

Длина вектора = 15 (нашли ранее)

Найдем длину вектора

 = (хС - xа)2 + (yс - ya)2 = (-14)2 + (-2)2 = 200

 =  = 14,14 - длина стороны АС

Тогда cos ∟A =  = 0,7072

∟A = 450

4)      Найдем уравнение медианы ВЕ, проведенной из точки В на сторону АС


Уравнение медианы в общем виде

Теперь необходимо найти направляющий вектор прямой ВЕ.

Достроим треугольник АВС до параллелограмма АВСD, таким образом, чтобы сторона АС являлась его диагональю. Диагонали в параллелограмме делятся пополам, т. е. АЕ = ЕС. Следовательно, точка E лежит на прямой BF.

В качестве направляющего вектора прямой BE можно принять вектор  , который и найдем .

 =  +

 = (хc - хb; уc - уb) = (- 7- (-2); 7 - (-3)) = (-5. 10)

 =  +  = (-5 + 9; 10 + 12) = (4; 22)

Подставим в уравнение

Подставим координаты точки С (-7; 7)

(х + 7) = 2(у - 7)

х + 77 = 2у - 14

х - 2у + 91 = 0 - уравнение медианы ВЕ

Так как точка Е - середина стороны АС, то ее координаты

хе = (ха + хс)/2 = (7 - 7 )/2 = 0

уе = (уа + ус)/2 = (9 + 7)/2 = 8

Координаты точки Е (0; 8)

5)      Найдем уравнение высоты CD и ее длину

Уравнение в общем виде


Необходимо найти направляющий вектор прямой СD


Прямая СD перпендикулярна прямой АВ, следовательно, направляющий вектор прямой СD параллелен нормальному вектору прямой АВ

 CDAB

То есть в качестве направляющего вектора прямой CD можно принять нормальный вектор прямой АВ

Вектор AB найден ранее: AB (-4, 3)

Подставим координаты точки С, (- 7; 7)

(х + 7) = - 4(у - 7)

х + 21 = - 4у + 28

х + 4у - 7 = 0 - уравнение высоты С D

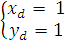
Координаты точки D:

Точка D принадлежит прямой АВ, следовательно, координаты точки D(xd. yd) должны удовлетворять уравнению прямой АВ, найденному ранее

Точка D принадлежит прямой CD, следовательно, координаты точки D(xd. yd) должны удовлетворять уравнению прямой CD,

Составим систему уравнений на основе этого

Координаты D(1; 1)

Найдем длину прямой CD

 = (хd - xc)2 + (yd - yc)2 = (1 + 7)2 + (1 - 7)2 = 64 +36 = 100

 =  = 10 - длина прямой СD

6)      Найдем уравнение окружности диаметром СD

Очевидно, что прямая СD проходит через начало координат так как ее уравнение -3х - 4у = 0, следовательно, уравнение окружности можно записать в виде

(х - а )2 + (у - b)2 = R2 - уравнение окружности с центром в точке (а; b)



Здесь R = СD/2 = 10 /2 = 5

(х - а )2 + (у - b )2 = 25

Центр окружности О (а; b) лежит на середине отрезка СD. Найдем его координаты:

х0 = a =  =  = - 3;

y0 = b =  =  = 4

Уравнение окружности:

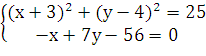
(х + 3)2 + (у - 4)2 = 25

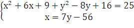
Найдем пересечение этой окружности со стороной АС:

точка К принадлежит одновременно окружности и прямой АС

х + 7у - 56 = 0 - уравнение прямой АС, найденной ранее.

Составим систему

Таким образом, получили квадратное уравнение

у2 - 750у +2800 = 0

у2 - 15у + 56 = 0

 =

у1 = 8

у2 = 7 - точка, соответствующая точке С

следовательно координаты точки Н:

х = 7*8 - 56 = 0

Н (0; 8)

7)      Найдем уравнение биссектрисы внутреннего угла А


Воспользуемся свойством биссектрисы треугольника:



Если точка Н(xh yh) лежит на прямой, проходящей через две точки В(х1, у1) = (-2, -3) и С(х2, у2) = (-7, 7) И дано отношение γ , в котором точка Н делит отрезок ВС, то координаты точки Н определяются как

х =  у =

 =  = 1.06066

тогда xh =  = -4,574

yh =  = 2,147

Зная две точки Н(- 4,574; 2,147) и А(7, 9) найдем уравнение прямой

Подставим координаты точек А и H в это уравнение прямой

 =

 =

6,853(х - 7) = - 11,574(у - 9)

6,853х + 47,971 = -11,574у +104,166

,85х + 11,574у - 56,195 = 0 - уравнение биссектрисы АН

8)      Площадь треугольника

Площадь ориентированного треугольника в декартовой системе координат:

 =  

 =   =

 =   =   =  (-10*14 - (-5)*(-2))=  (-140 - 10) = -150/2 = -75

Окончательно: S =  = 75

9)      Составим систему линейных неравенств

Запишем уравнения сторон треугольника АВС

4х + 3у + 1 = 0 - уравнение прямой АВ

х + 7у - 56 = 0 - уравнение стороны АС

уравнение стороны ВС:

С(хс; ус) и В(ха; ув) в общем виде


Подставим координаты точек С(-7, 7) и В(-2, -3) в это уравнение прямой

 =

 =

 =

2(х + 7) = 1(у - 7)

х - 14 = у - 7

х - у - 7 = 0 - уравнение прямой СВ

Рассмотрим точку О (0, 0), лежащую внутри треугольника,


очевидно, что в итоге система неравенств примет вид

Замечание: проверим принадлежность, найденной ранее точки пересечения биссектрисы с о стороной ВС, подставив координаты точки Н в уравнение для прямой ВС:

*(-4,574) - 2,147 - 7 = 0

,147 - 2,147 - 9 = 0 - точка найдена верно!

Задание 2

Даны силы  и  и координаты точки М. найти:

) равнодействующую силу  сил  и  , ее величину и направляющие косинусы;

) работу силы  при перемещении ее точки приложения из начало координат в точку М;

) момент силы  , приложенной к началу координат, относительно точки М. Сделать чертеж.

Дано:

 = - 7 -  +

 = 4  +  + 3

M (-2, -1, - 1)

)        Равнодействующая сила  есть векторная сумма  и

Модули заданных сил:

 =  =  =

 =  =  =  = 5

Найдем сумму векторов  и  - равнодействующую силу

 = {(x1 + x2); (y1 + y2); (z1 + z2)} = {(-7 + 4); (-1 + 1); (1 + 3)} = {- 3; 0; 4}

Ее величина:  =  =  =  = 5

Направляющие косинусы:

Cos1 =  =  = - 0.6

Cos2 =  =  = 03 =  =  = 0.8

)        Найдем вектор  =

={(xМ - x0 ); (yМ - y0); (zМ - z0)} = {(-2 + 0); (-1 - 0); (-1 - 0 )} = {- 2; -1; -1}

Тогда работа по перемещению точки приложения силы  :

А =  *  = {- 3; 0; 4}* = 6 - 0 - 4 = 2

)        Вычислим момент силы , приложенной к началу координат, относительно точки М

 = (2, 1, 1), тогда искомый момент будет равен векторному произведению векторов  и  :

Т =  = i (1*4 - 0*1) - j(2*4 - 1*(-3)) + k(2*0 - (-3)*1) = 4i - 11j +3k

Задание 3

треугольник тетраэдр геометрический неравенство

) длину ребра А1А2;

) угол между А1А2 и А1А3;

) угол между ребром А1А4 и гранью А1А2А3;

) площадь грани А1А2А3;

) объем пирамиды;

) уравнение прямой А1А2;

) уравнение плоскости А1А2А3;

) уравнение высоты, опущенной из вершины А4 на грань А1А2А3 и ее длину;

) координаты центра тяжести пирамиды, считая плотность постоянной.

Построить чертеж.

Дано:

А1 (-7, -1, 2)

А2 (3, 9, 7)

А3 (-3, -3, -2)

А4(-13, -1, -4).

Решение начнем с построения чертежа (рис 1)

1)      Найдем длину ребра А1А2

 = (х2 - x1)2 + (y2- y1)2 + (z2 - z1)2 = (3 - (-7))2 + (9 - (-1))2 +(7 - 2)2 = =102 + 102 + 52 = 225

 =  = 15 - длина стороны

2)      угол между А1А2 и А1А3

Найдем координаты векторов:

 = ((х2 - x1) + (y2- y1) + (z2 - z1)) = (10; 10; 5), его длина  = 15

 = ((х3 - x1) + (y3- y1) + (z3 - z1)) = (-3 - (-7); -3 - (-1); -2 - 2 ) = (4; - 2; - 4), его длина  =  =  = = 6

запишем выражение для косинуса угла φ

cos φ =

 φ =  =  = 0, т. е. угол φ = 900 - прямой

следовательно, треугольник - основание пирамиды А1А2А3 - прямоугольный треугольник

Рис.1. Исходная пирамида

3)      Угол между ребром А1А4 и плоскостью А1А2А3 есть угол β = ∟КА1А4 между ребром А1А4 и ортогональной проекцией А1К на плоскость А1А2А3

Направляющий вектор

 = ((х4 - x1) + (y4- y1) + (z4 - z1)) =

= {(-13) - (-7); -1 - (-1); (-4 - 2)} = (-6; 0; -6) = (х14; у14; z14)

Пусть  = (xn; yn; zn) - нормальный вектор к плоскости А1А2А3, тогда φ = угол между А1А4 и  и искомый угол

 =  =  =

Рис. 2.

Находим нормальный вектор

xn =  =  =  = 18 - 48 = -30n =  =  =  = 24 + 36 = 60n = -  =  = -(12 + 48) = - 60

вектор  = (-30; 60; -60) = (-1; 2; -2)

 =  =  =  =  =

β = 450

4)      Площадь грани А1А2А3

Найдем векторное произведение *

 = (10, 10, 5)

= (4, -2, -4)

* =  = i - j + k =

(-40+10) - j(-40 - 20) + k(-20 - 40 ) = -30i +60j - 60k = {-30; 60; -60}

тогда площадь грани А1А2А3

S А1А2А3 =   =   =

  =   = 90/2 = 45

5)      Объем пирамиды

Найдем координаты векторов ;  и :

= (-7-(-13), -1 - (-1), 2 - (-4)) = (6, 0, 6)

 = (3 - (-13), 9 - (-1), 7- (-4)) = (16, 10, 11)

 = (-3- (-13), -3 - (-1), -2 - (-4)) = (10, -2, 2)

Находим смешанное произведение векторов ( х  )* :

( х  )*  =  = 6*(10*2 - (-2)*11) - 0 + 6(16*(-2) - 10*10) = 6*42 + 6*(-32 - 100) = 6*42 + 6*(-132) = - 6*90 = - 540

Найдем объем пирамиды:

V= 1/6* = 1/6*540 = 90

6)      Уравнение прямой А1А2

Воспользуемся формулой

 =

Подставим в формулу координаты точек

 =

 =

 =

7)      Уравнение плоскости А1А2А3

Возьмем произвольную точку А (х, у, z), принадлежащую плоскости уравнение которой необходимо найти.

Находим координаты следующих векторов:

 = (-7- (-3), -1 - (-3), 2 - (-2)) = (-4, 2, 4)

 = (3 - (-3), 9 - (-3), 7 - (-2)) = (6, 12, 9)

Данные векторы имеют своё начало в точке А3

Очевидно, что если все четыре точки лежат в одной плоскости, то объем треугольной пирамиды, ребрами которой являются найденные векторы, равен нулю.

Равенство нулю объема рассматриваемой пирамиды записывается следующим образом:

 = 0

Представим данный определитель в виде разности двух определителей

 =  -  = 0

х(18 - 48) - у (-36-24) + z(-48 -12) - {-3*(18 - 48) + 3*(-36 - 24) - 2*(-48 - 12)} = -30х +60у -60z - (90 - 180 + 120) = -30х +60у - 60z -30 = 0

окончательно:

х +60у - 60z -30 = 0

х +2у -2z - 1 = 0

8)      Tак как высота А4К (рис. 2) перпендикулярна плоскости А1А2А3 в качестве ее направляющего вектора можно выбрать вектор нормали

 = (-30; 60; -60) = (-1; 2; -2)

Так как прямая проходит через точку А4 ее каноническое уравнение принимает вид:

 =

 =

Длина высоты - это расстояние от вершины А4(-13, -1, -4) до плоскости А1А2А3 -х +2у -2z - 1 = 0

А4К =  =  =  = 6

9)      Найдем координаты центра масс G тетраэдра:

Хц.м =  =  = -5

Yц.м =  =  = 1

Zц.м =  =  = 0.75

ц.м., Yц.м, Zц.м) = (- 5; 1; 0.75)

Задание 4

Составить уравнение геометрического места точек, для каждой из которых отношение расстояния до данной точки А (х1, у1) к расстоянию до данной прямой у = b равно числу k . полученное уравнение привести к каноническому виду и построить кривую.

Дано:

А(7, -4)

у = 2,

k = 1.

Решение:

Обозначим искомое геометрическое место точек через М (х, у), тогда

·        расстояние между точками

 =  =

·        расстояние от точки M (х, у) до прямой Ax + By + C = 0

d =  =  =

по условию  = 1

 = 1

Произведем последовательные преобразования:

 =

 = 2

(х - 7)2 + у2 +8у + 16 - у2 +4у - 4 = 0

(х - 7)2 = 12у + 12

(х - 7)2 = - 2*(-6)(у + 1)

А это уравнение параболы относительно х

х2 = -2ру - каноническое уравнение параболы

6 - фокальный параметр

у = - 3 - директриса

координаты вершины параболы: (7; -1)

координаты фокуса: (7; 3)

Задание 5

Линия задана уравнением в полярной системе координат. Требуется:

) построить по точкам, от φ = 0 до φ = 2;

) найти уравнение данной линии в прямоугольной системе координат, у которой начало совпадает с полюсом, а положительная полуось абсцисс - с полярной осью;

) по полученному уравнению определить какая это линия

Дано: r =

Решение:

1)      сделаем построения по точкам

φ

0

π/6

π/4

π/3

π/2

2π/3

3π/4

5π/6

π

r

1,512

1,672

1,938

3,15

8,4

27,128

-38,167

-12,6


φ

7π/6

5π/4

4π/3

3π/2

5π/3

7π/4

11π/6


r

-38,167

27,128

8,4

3.15

1,938

1,672

1,512

1,4



Выделенные элементы смысла не имеют.


2)      перейдем к декартовой системе координат

r =

 

 = =  =  =

 =

=

 = 12.6

= 12.6 - 5x

(x2 + y2) = 158.76 - 126x + 25x2

9x2 - 16y2 - 126x + 158.76

(x2 - 14x + 49) - 16y2 - 282.24 = 0

(x - 7)2 - 16y2 = 282.24

 -  = 1 - уравнение гиперболы

Центр смещен по оси Х в точку (+7, 0)

a =  = 5.6 b =  = 4.2

координаты вершин гиперболы:

А1 (7 - 5,6; 0) = (1,4; 0)

А2 (7 + 5,6; 0) = (13,6; 0)

Асимптоты:

у1 = bx/a = 0.75(x - 7)

y2 = -bx/a = -0.75(x - 7)

эксцентриситет гиперболы: е =  =  = 1.25

c = a*e = 5.6*1.25 = 7

следовательно, фокусы гиперболы

F1 = (7 - 7; 0) = (0; 0)

F2 = (7 + 7; 0) = (14; 0)

Похожие работы на - Определение объема и площади геометрических фигур. Системы линейных неравенств

 

Не нашли материал для своей работы?
Поможем написать уникальную работу
Без плагиата!
Без нейросетей!