Кратные криволинейные и поверхностные интегралы. Теория поля
БЕЛОРУССКИЙ ГОСУДАРСТВЕННЫЙ
УНИВЕРСИТЕТ
ИНФОРМАТИКИ И РАДИОЭЛЕКТРОНИКИ
Кафедра программного обеспечения
информационных технологий
Контрольная работа № 8
по дисциплине «Высшая математика»
Тема работы: «Кратные криволинейные и
поверхностные интегралы. Теория поля»
Выполнил студент:
Добровольский Е.А.
группа 001021
Минск 2011
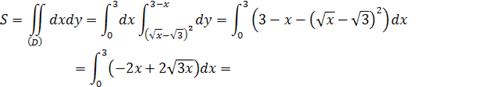
Задача 1
Вычислить площадь фигуры, ограниченной заданными линиями, с помощью
двойного интеграла.
Решение:
Сделаем чертеж:
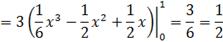
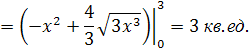
Искомая площадь фигуры:
Ответ: 
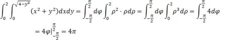
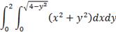
Задача
2
Решение:
Сделаем чертеж:
Перейдем к полярным координатам:
Ответ:
Задача 3
интеграл криволинейный векторный площадь
Найти объем тела, ограниченного заданными поверхностями, с помощью
тройного интеграла.
Решение:
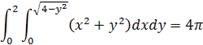
Искомый объем тела будет выражаться интегралом:
Перейдем к цилиндрическим координатам:

Ответ: 
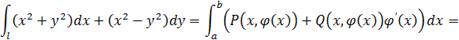
Задача
4
Вычислить
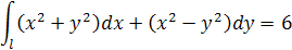
криволинейный интеграл второго рода вдоль заданной линии 
.

- линия 
от точки

до точки

Решение:
Перейдем к определенному интегралу:
Ответ:
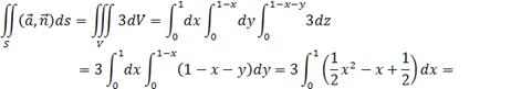
Задача 5
Найти
поток векторного поля 
через
заданную поверхность 
.
Решение:
Для
вычисления потока через внешнюю сторону замкнутой поверхности 
,
ограничивающей объем 
, удобно
применять теорему Остроградского:
Ответ:
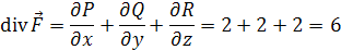
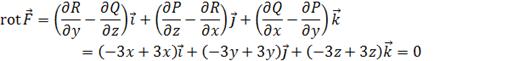
Задача 6
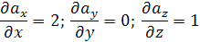
Проверить,
будет ли потенциальным и соленоидальным поле 
. В
случае потенциальности поля найти его потенциал 
.
Решение:
Для
потенциальности поля необходимо и достаточно, чтобы 
Таким
образом, поле является потенциальным.
Для
соленоидальности поля: 
Таким
образом, поле не является соленоидальным.
Потенциал
можно вычислить по формуле:
Выберем
в качестве точки 
точку 