Суперзаряженные полиэлектролиты и их комплексы с природными полимерами

  • Вид работы:
    Курсовая работа (т)
  • Предмет:
    Химия
  • Язык:
    Русский
    ,
    Формат файла:
    MS Word
    642,77 Кб
  • Опубликовано:
    2012-10-24
Вы можете узнать стоимость помощи в написании студенческой работы.
Помощь в написании работы, которую точно примут!

Суперзаряженные полиэлектролиты и их комплексы с природными полимерами

Введение

Полиэлектролиты с высокой линейной плотностью заряда, но имеющие не более одной заряженной группы в повторяющемся звене уже давно используются в биотехнологии и медицине, например, при разделении многокомпонентных белковых систем или для трансфекции, т.е. доставки генетического материала в клетки. Сведения о полиэлектролитах с более высокой плотностью заряда, в частности, имеющих в звене две ионные или ионогенные группы, весьма скудные. Тем не менее, есть все основания полагать, что подобные суперзаряженные полиэлектролиты могут эффективно связываться с противоположно заряженными биополимерами, в том числе белками (ферментами) и нуклеиновыми кислотами с образованием биополиэлектролитных комплексов.

В круг задач курсовой работы входили сбор и анализ литературных данных о синтезе суперзаряженных полиэлектролитов и продуктах их электростатического взаимодействия с синтетическими и природными полимерами. В ходе выполнения работы проведены первые предварительные эксперименты по получению и изучению свойств указанных полиэлектролитов на примере поликатионов с двумя кватернизованными аминогруппами в повторяющемся звене.

Литературный обзор

Термин “суперзаряженные полиэлектролиты” (“Supercharged polyelectrolytes”) практически не встречается в литературе, а в немногих известных работах его употребление часто неоправданно. Так, авторы исследования [1] используют указанный термин для полипептидов с повторяющимися пентапептидными участками, в которые вводят положительно заряженные группы лизина или отрицательно заряженные группы глутаминовой кислоты. Понятно, что плотность заряда полученных таким образом цепей не превышает, а в большинстве случаев оказывается существенно ниже, чем линейная плотность заряда соответствующих полипептидов, т.е. полилизина или полиглутаминовой кислоты. Поэтому неясно, чем руководствовались авторы, называя такие сополимеры “суперзаряженными полиэлектролитами”. В другой работе [2] термин “Supercharging” относят не к полиэлектролиту, а к заряженной поверхности, на которую адсорбируют обычно используемые синтетические полиэлектролиты.

Ближе к заявленной теме относятся давно ведущиеся исследования поликарбоновых кислот с увеличенным числом карбоксильных групп в повторяющихся звеньях [3]:

Рис. 1. Повторяющиеся звенья полимеров Pyran (I), Gantrez (II), PAA (III), MA/DHP (IV), PIA (V). Использованы следующие аббревиатуры: Gantrez - чередующийся 1:1 сополимер малеинового ангидрида и метилвинилового эфира; PAA - полиакриловая кислота; MA/DHP - чередующийся 1:1 сополимер малеинового ангидрида и дигидропирана; PIA - полиитаконовая кислота.

К их числу относится Пиран (Pyran) или, по-другому, DIVEMA (структурная формула I), который представляет собой продукт 2:1 циклополимеризации дивинилового эфира и малеинового ангидрида и обладает широким спектром биологической активности. В качестве аналогов использовали приведенные выше поликарбоновые полимеры, которые отличаются более высоким содержанием карбоксильных групп по сравнению с полиакриловой кислотой (PAA). Из данных потенциометрического титрования полимеров в нейтральных и щелочных средах следовало, что близость соседней карбоксильной группы оказывает влияние на депротонирование, однако при этом практически все карбоксильные группы высокозаряженных полимеров не теряют способности ионизоваться. К тому же выводу пришли авторы работ [4, 5], которые продемонстрировали доступность подавляющего большинства карбоксильных групп анионного сополимера DIVEMA для катионного гомополимера поли-N-этил-4-винилпиридиний бромида.

Другим примером поликарбоновых кислот, имеющих в два раза более высокую линейную плотность заряда по сравнению с виниловыми поликислотами (полиакриловой или полиметакриловой), являются полималеиновая и полифумаровая кислоты. Повторяющееся звено обеих поликислот идентично друг другу и соответствует карбоксильной группе, связанной через метиленовую развязку с каждым атомом углерода основной цепи. Различие лишь в том, что полифумаровую кислоту получают полимеризацией транс-изомерного мономера, а полималеиновую кислоту - из цис-изомера. Тем не менее, физико-химическое поведение обеих поликислот значительно различается, хотя кривые потенциометрического титрования того и другого полимера имеют отчетливо выраженную ступень, что свидетельствует о наличии двух констант ионизации. [6] Следует отметить, что синтез полималеиновой и полифумаровой кислот представляет собой весьма непростую задачу, а продукты отличаются невысокой степенью полимеризации.

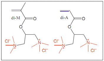
Более успешным оказался поиск работ с употреблением словосочетания “Doubled charged” (вольный перевод «несущий двойной заряд»). Имеется краткое описание радикальной полимеризации двух катионных мономеров, а именно di-M и di-A (Рис.2), содержащих по две кватернизованные аминогруппы в молекуле [7].

 

Рис. 2. Структурные формулы катионных двухзарядных мономеров di-M и di-A, представляющих собой соответственно дихлорид 1,3-бис(N,N,N-триметиламмоний)-2-пропилметакрилата и дихлорид 1,3-бис(N,N,N-триметиламмоний)-2-пропилакрилата.

Наличие в мономере di-M метильной группы у двойной связи влияло не только на ход полимеризации, но и на физико-химические свойства полимеров. Так, полимер поли-di-M оставался стабильным при рН 9.0, тогда как поли-di-А подвергался гидролизу уже при рН 7.4. К сожалению, эта работа пока не имела своего продолжения.

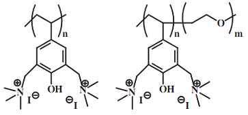
Наиболее интересное для нас исследование опубликовано в этом году в журнале European Journal of Pharmaceutical Sciences [8]. Авторы синтезировали кватернизованный поли[3,5-бис(диметиламиномети-лен)-п-оксистирол] (QNPHOS) и его блоксополимер с полиэтиленгликолем (QNPHOS-PEG), структурные формулы которых приведены ниже:

QNPHOS                       QNPHOS-PEG

В повторяющихся звеньях катионного полимера QNPHOS или блока QNPHOS, входящего в состав сополимера, содержатся две группы кватернизованного амина, которые не теряют положительный заряд во всем диапазоне рН. Синтез проводили весьма сложным путем:


Вначале анионной полимеризацией с использованием высокого вакуума получали узкую фракцию полимерного прекурсора поли-пара-трет-бутоксистирола, затем продукт подвергали гидролизу до образования поли-пара-оксистирола и модифицировали по Манниху, вводя в каждое звено две диметиламиновые группы, которые на последней стадии превращали в кватернизованные аминогруппы алкилированием иодистым метилом. [9]

Биологические свойства полимера и блок-сополимера сравнивали со свойствами поли-N,N-диметиламиноэтилметакрилата (ПДМАЭМ), имеющего третичную аминогруппу в повторяющемся звене и используемого в качестве стандартного носителя для трансфекции. Комплексы малой интерферирующей РНК (миРНК) с QNPHOS или QNPHOS-PEG разрушались при добавлении сульфосодержащего полисахарида гепарина, который конкурентно связывался с поликатионом и вытеснял миРНК в раствор, причем для полного разрушения комплексов (полиплексов) требовалось в 4 раза больше гепарина, чем в случае комплекса миРНК с ПДМАЭМ. Полиплексы ДНК плазмиды с теми же поликатионами и в тех же условиях оставались полностью стабильными, что отличало их от ДНК полиплекса на основе ПДМАЭМ, но не проявляли никакой трансфекционной активности. Полиплексы миРНК с QNPHOS или QNPHOS-PEG оказались малотоксичными и более эффективно доставляли миРНК, обладая более выраженным ингибирующим действием (silencing activity) по сравнению с ПДМАЭМ вектором. Эффект объясняли повышенной стабильностью миРНК полиплексов, вызванной присутствием двух кватернизованных аминогрупп в повторяющихся звеньях.

Таким образом, заявленная тема отличается новизной и может быть весьма актуальной. Задачей исследования является разработка достаточно простых, мягких и контролируемых условий синтеза, позволяющих получать и характеризовать суперзаряженные полиэлектролиты, несущие более одного заряда в повторяющихся звеньях. В данной работе предприняты первые шаги в указанном направлении. Изложенные ниже данные по синтезу поликатиона с двумя кватернизованными аминогруппами в цепи, результаты изучения его структуры, а также предварительные выводы о свойствах модельных полиэлектролитных комплексов с его участием свидетельствуют о перспективности подобных исследований.

Результаты и обсуждение

В работе синтезировали и исследовали поли-[три-метиламмоний-(3-пропил)-4-винилпиридиний дибромид] (ПТВП-3), структурная формула которого приведена слева. ПТВП-3 является сверхзаряженным полиамином с двумя кватернизованными аминогруппами в звене. Полимер получали кватернизацией поли-4-винилпиридина (ПВП) по реакции Меншуткина с помощью алкилирующего агента бромпропилтриметиламмоний бромида (БПТМА) фирмы Aldrich (США). Использовали образец ПВП (ММ 60000) той же фирмы. Схема реакции:



Синтез проводили в одну стадию. Готовили растворы ПВП и алкилирующего агента в метаноле. Концентрация полимера составляла 2 моль/л (в расчете на звено), а алкилирующего агента - 8 моль/л. Равные объемы растворов компонентов смешивали в стеклянной ампуле (при этом система оставалась гомогенной), продували 15 мин током аргона, запаивали и выдерживали сутки в сушильном шкафу при 60 0С. Ампулу охлаждали до комнатной температуры, вскрывали, гомогенный раствор разбавляли в 1.5 раза метанолом и высаживали полимер в большой избыток диэтилового эфира. Продукт выделялся в виде мелких белых частиц. Осадок декантировали, промывали эфиром, сушили на воздухе и 1 ч в вакуумном шкафу. Ввиду большой гигроскопичности белый порошок полимера хранили в эксикаторе.

Полимер характеризовали ИК- и ЯМР-спектроскопией.

ИК-спектры. Ниже приведен ИК-спектр продукта модификации. Там же для сравнения представлен ИК-спектр исходного ПВП и спектр поли-N-этил-4-винилпиридиний бромида (ПЭВП), который получали кватернизацией того же образца ПВП и в тех же условиях, но с использованием бромистого этила в качестве алкилирующего агента. Понятно, что число зарядов ПЭВП, приходящееся на звено цепи, не превышает единицу.

Рис.3 ИК-спектр продукта модификации

Рис.4 ИК-спектр кватернизованного полиамина ПЭВП

Рис.5 ИК-спектр исходного неалкилированного полиамина ПВП

Видно, что в спектрах продукта модификации и алкилированного полиамина ПЭВП присутствует узкий и ярко выраженный пик 1649 см -1, который относят к алкилированным пиридиниевым группам [10]. Естественно, в спектре исходного неалкилированного ПВП такого пика нет, но есть мощная полоса 1600 см -1, соответствующая незаряженным пиридиновым группам. Важно, что пик 1600 см -1 не обнаруживается в приведенных спектрах алкилированных образцов, т.е. кватернизация пиридиновых колец протекает практически нацело.

ЯМР-спектр. Данные ЯМР спектроскопии подтверждают вывод о полноте кватернизации. На спектре продукта модификации (рис. 6) отсутствуют пики с химическими сдвигами 7.3 и 8.4, соответствующие протонам неалкилированного пиридинового кольца (указаны стрелками на рис. 6). Результаты соотнесения полос различных протонов сведены в таблицу 1*.

Рис. 6 Спектр ЯМР продукта химической модификации

*) Отнесение полос спектра проведено д.х.н. Н.С. Мелик-Нубаровым

Таблица 1. Результаты соотнесения полос ЯМР спектра продукта модификации


Тип протонов

Химический сдвиг, d, м.д.

a

8.75


b

7.72


c

H2O

4.7

d

4.6


e

3.6


f

3.1


g

2.4


h

1.2


i

2.3



Таким образом, данные ИК и ЯМР-спектроскопии свидетельствуют о том, что в условиях опытов осуществляется исчерпывающая кватернизация пиридиновых групп исходного полиамина ПВП с образованием продукта, соответствующего структурной формуле ПТВП-3.

Турбидиметрия. Комплексообразующие свойства ПТВП-3 изучали с помощью модельного полианиона, в качестве которого использовали полиметакриловую кислоту (ПМАК) фирмы Aldrich (США). Для сравнения аналогичные эксперименты проводили с поликатионом ПЭВП, поскольку свойства комплексов этого полиамина с ПМАК детально изучены. Целью экспериментов явилось исследование стабильности комплексов по отношению к разрушающему действию вводимого низкомолекулярного электролита и установление границ существования растворимых полиэлектролитных комплексов в водных и водно-солевых средах.

Обе задачи решали методом турбидиметрического титрования. Готовили разбавленные водные растворы всех трех полиэлектролитов одинаковой концентрации 0.04 М в расчете на один заряд. Иными словами, если для ПМАК и ПЭВП эта концентрация соответствовала концентрации звеньев, то для ПТВП-3 она была вдвое меньше. Для поддержания pH 9.5, при котором все карбоксильные группы ПМАК находятся в ионизованном состоянии, опыты проводили в 0.02 М растворе буфера TRIS. Использовали дистиллированную воду, объем раствора в кювете перед титрованием составлял 2 мл. Мутность растворов оценивали по оптической плотности А400 при длине волны 400 нм, т.е. в области спектра, где ни один из полимерных компонентов не поглощает свет. Временной интервал между введениями порций титранта составлял 2 мин, перед каждым измерением раствор перемешивали непосредственно в кювете с помощью магнитной мешалки.

Рис. 7. Кривые турбидиметрического титрования растворов ПМАК растворами ПЭВП (1) и ПТВП-3 (2). [COO-] = 2x10-3 M, 0.02 M TRIS, pH 9.5.

Как и в подавляющем большинстве изученных ранее смесей полиэлектролитов, титрование раствора полианиона ПМАК раствором ПЭВП приводило к фазовому разделению, максимум которого соответствует эквимольному отношению разноименно заряженных групп (рис. 7, кривая 1). По-другому ведет себя смесь растворов ПМАК и ПТВП-3, где наибольшее количество осадка образуется при двукратном избытке поликатиона, т.е. при соотношении [N+] / [COO-] = 2 (кривая 2). Мы вернемся к обсуждению этой особенности при анализе поведения растворимых комплексов, а сейчас проанализируем результаты титрования водных суспензий, соответствующих максимальному осаждению, т.е. смеси растворов ПЭВП и ПМАК состава 1:1 и смеси ПТВП-3 и ПМАК состава 2:1 раствором хлористого натрия (Рис.8). Данные приведены в виде зависимости оптической плотности А400, нормированной на ее максимальное значение, от ионной силы раствора.

Рис. 8. Кривые турбидиметрического титрования суспензий смесей растворов ПЭВП/ПМАК (1) и ПТВП-3/ПМАК (2) раствором соли. Условия те же, что в подписи к рис.7

Перейдем к рассмотрению условий образования и стабильности растворимых полиэлектролитных комплексов. Левые ветви кривых турбидиметрического титрования (рис. 7) вплоть до эквимольного зарядового соотношения [N+] / [COO-] = 1 соответствуют смесям c избыточным количеством карбоксильных групп, т.е. образованию отрицательно заряженных комплексов. Для хорошо изученной системы ПМАК / ПЭВП эта область делится на область существования отрицательно заряженных растворимых комплексов ([N+] / [COO-] ≤ 0.4 ) и область фазового разделения. Как известно, в первой области система состоит из частиц растворимого комплекса, состав которого совпадает с составом смеси. Структуру такого комплекса можно представить следующим образом (для простоты противоионы не указаны):

Рис. 9. Схематическое изображение растворимого отрицательно заряженного комплекса ПМАК / ПЭВП

Дальнейшее введение поликатиона вызывает образование и накопление нерастворимых продуктов. В точке эквивалетности зарядов [N+] ≈ [COO-] в растворе над осадком не остается ни того, ни другого полимера, а осадок представляет собой нерастворимый стехиометричный комплекс, в котором практически все разноименно заряженные группы образуют ионные пары.

Трудно было ожидать, что замена ПЭВП на суперзаряженный ПТВП-3 приведет к кардинальным изменениям. В самом деле, наличие в каждом звене ПТВП-3 дополнительного заряда только повышает сродство полимеров друг к другу (рис. 8), а гибкость цепи ПМАК должна обеспечивать тесный контакт и образование максимально возможного числа ионных пар. Но в таком случае левые ветви обеих кривых на рис. 7 должны совпадать или быть весьма близкими. В частности, максимум образования осадка должен приходиться на эквимольное зарядовое отношение [N+] ≈ [COO-], а структуру такого комплекса можно было бы изобразить следующим образом:

Рис. 10. Гипотетическая структура нерастворимого стехиометричного комплекса ПМАК/ПТВП-3

Однако данные турбидиметрического титрования (рис.7) не подкрепляют подобные рассуждения. В смеси ПМАК / ПТВП-3 (кривая 2) при соотношении зарядов 1:1 фазового разделения не происходит вовсе. Более того, мутность не появляется даже при значительном избытке зарядов поликатиона вплоть до [N+] / [COO-] = 1.5, что противоречит предположению о взаимной компенсации зарядов.

Остается предположить, что далеко не все кватернизованные аминогруппы поликатиона ПТВП-3, включенного в состав комплекса, задействованы в построении ионных пар. Судя по двукратному росту зарядового отношения, соответствующего максимальному образованию осадка при замене ПЭВП на ПТВП-3 (рис.7), количество таких “лишних” аминогрупп велико и сравнимо с числом аминогрупп, участвующих в связывании. Иными словами, даже при эквимольном зарядовом отношении [N+] / [COO-] = 1 система ПМАК / ПТВП-3 состоит из растворимых комплексов, структуру которых можно изобразить следующим образом:

,

Рис. 11. Структура растворимого нестехиометричного комплекса ПМАК/ПТВП-3

Понятно, что “лишние” аминогруппы могут оказывать солюбилизирующее действие на комплекс в целом, повышая растворимость соседних гидрофобных участков, образованных ионными парами.

Аргументом в пользу такого предположения служат данные турбидиметрического титрования (рис.7, кривая 2), пересчитанные с учетом обнаруженной особенности. При пересчете принимали, что одна из двух кватернизованных аминогрупп ПТВП-3 не участвует в комплексообразовании, а потому концентрацию поликатиона рассчитывали не на один, а на два заряда. Левая ветвь полученной таким образом кривой (рис. 12) отличается от левой ветви кривой титрования ПМАК раствором ПЭВП, которая заимствована из рис. 7 и нанесена на рис.12 пунктиром. Из сравнения кривых следует, что использование суперзаряженного поликатиона позволяет существенно (почти вдвое) расширить границу существования растворимых комплексов, что может быть следствием солюбилизирующего действия “лишних” аминогрупп на комплекс.

Рис. 12. Кривая турбидиметрического титрования раствора ПМАК раствором ПТВП-3, построенная с учетом действия только одного заряда из двух, находящихся в звене. Пунктиром нанесена кривая титрования ПМАК раствором ПЭВП, заимствованная из рис. 7.

Важно, что расширение области существования растворимых комплексов происходит за счет положительно заряженных продуктов взаимодействия, которые образуются в интервале 1.0 < [N+]/[COO-] < 1.5. Это наблюдение может представлять особый интерес для трансфекции как путь создания эффективных векторов, поскольку для доставки целевой нуклеиновой кислоты в клетку требуются катионные носители, образующие с ней стабильные положительно заряженные растворимые комплексы, устойчивые при физиологических условиях.

Выводы

1. Проведен поиск и анализ литературных данных по синтезу и свойствам суперзаряженных полиэлектролитов, обоснована новизна и актуальность заявленной темы.

2.       Разработан и осуществлен одностадийный синтез поликатиона с двумя кватернизованными аминогруппами в повторяющемся звене, продукт охарактеризован методами ИК и ЯМР спектроскопии.

3. Сравнительным изучением комплексов модельного полиметакрилатного аниона с суперзаряженным поликатионом и поли-N-этил-4-винилпиридиний бромидом выявлена повышенная устойчивость исследуемого комплекса к разрушающему действию соли.

4.       Впервые показано, что изменение знака заряда в смесях высокозаряженных полиэлектролитов может осуществляться без фазового разделения.

полиэлектролит суперзаряженный сополимер синтез

Список литературы

1.   A.Kolbe, L.L. Mercato, A. Z. Abbasi, P. R.Gil, S.J. Gorzini, W. H. C. Huibers, B. Poolman, W.J. Parak, A.Herrmann. De novo design of supercharged, unfolded protein polymers, and their assembly into supramolecular aggregatesa // Macromol. Rapid Commun. 2011, V.32, P.186-190.

2.       M. Manghi, M. Aubouy. Adsorption of polyelectrolytes from semi-dilute solutions on an oppositely charged surface // Physical Chemistry Chemical Physics 2008, V.10, № 12, P.1697-1706

.        H.I. Levine, E.H. Mark, R.J. Fiel. Divalent cation binding specificities and microsphere formation of Pyran copolymer and related polycarboxylates // Arch.Biochem. Biophys. 1977, V.184, P.156-165.

4.       И.Ф.Волкова, М.Ю.Горшкова, В.А.Изумрудов, Л.Л.Стоцкая. Взаимодействие поликатиона с сополимером дивинилового эфира и малеинового ангидрида в водных и водно-солевых средах // Высокомолек. соед. 2004, Т.46 А, № 8, С. 1388-1393

5.       V. A. Izumrudov, M. Yu. Gorshkova, I. F. Volkova. Controlled phase separations in solutions of soluble polyelectrolyte complex of DIVEMA (copolymer of divinyl ether and maleic anhydride) // Eur. Polym. J. 2005, V.41, № 6, P.1251-1259

6.       T. Kitano, S. Kawaguchi, K.Ito, A.Minakata. Dissociation behavior of poly(fumaric acid) and poly(ma1eic acid). 1.Potentiometric titration and intrinsic viscosity // Macromolecules 1987, V. 20, P. 1598-1606

.        R. Losada, H. Ahmadloo, C.Wandrey. Homo- and copolymers of cationic double-charged monomers // Chimia 2010, V. 64, № 4, P. 268

.        A. K. Varkouhi, G.Mountrichas, R.M. Schiffelers, T. Lammers, G.Storm, S. Pispas, and W. E. Hennink. Polyplexes based on cationic polymers with strong nucleic acid binding properties // Eur. J. Pharm. Sci. 2012, V. 45, P. 459-466.

.        G.Mountrichas, C. Mantzaridis, S. Pispas. Well-defined flexible polyelectrolytes with two cationic sites per monomeric unit // Macromol. Rapid Commun. 2006, V. 27, P. 289-294

10.     В.А. Кабанов, М.И. Мустафаев, В.В. Гончаров. О корреляции конформационного перехода «клубок - компактная структура» в N-алкилированных поли-4-винилпиридинах с их способностью связывать бычий сывороточный альбумин // Доклады АН СССР 1979, Т.244, №5, С. 1261-1265

Похожие работы на - Суперзаряженные полиэлектролиты и их комплексы с природными полимерами

 

Не нашли материал для своей работы?
Поможем написать уникальную работу
Без плагиата!
Без нейросетей!