Расчет и анализ нерекурсивных цифровых фильтров
Содержание
1. Исходные данные
2. Решение
Выводы
Литература
1.
Исходные данные
1.
Тип фильтра -
ФНЧ;
2. Порядок фильтра - N=12, N=16
Граничные
частоты:
представлены в нормированном виде.
1. Методы расчета:
·
Метод частотной
выборки;
·
Метод разложения
в ряд Фурье;
·
Метод наименьших
квадратов;
Порядок расчета:
1. По исходным данным и заданному методу
рассчитать заданный тип фильтра, определив импульсную характеристику. По
определенной импульсной характеристике построить таблицу. Т.к. в нашем случае
фильтры с линейной ФЧХ, то требуется рассчитать только половину расчетов и
выяснить симметрична или ассиметрична полученная характеристика.
2. По полученной импульсной
характеристике выполнить контрольный расчет АЧХ и ФЧХ и оценить точность
аппроксимации (посчитать абсолютную погрешность). Значения АЧХ И ФЧХ
представить в виде таблицы и графика. Значения абсолютной погрешности вывести в
виде таблицы и найти максимальное по модулю значение.
3. Сравнить точность аппроксимации всех
методов и сделать выводы.
. Решение
I.
Рассчитаем фильтр
методом частотной выборки для N=12.
Рассчитаем импульсную характеристику фильтра:
Перед тем, как рассчитывать импульсную характеристику фильтра этим
методом надо выбрать способ дискретизации. Выбор производится, исходя из
соображения в каком способе отсчеты расположены ближе к граничным частотам.
Частоты в 1 способе выбираются согласно формуле:
Частоты
в 2 способе выбираются согласно формуле:
Подставляя
в формулы 1 и 2 N=12, получим следующие значения:
|
K
|
1 способ
|
2 способ
|
|
0
|
0
|
0.041(6)
|
|
1
|
0.083(3)
|
0.125
|
|
2
|
0.166(6)
|
0.208(3)
|
|
3
|
0.25
|
0.291(6)
|
|
4
|
0.333(3)
|
0.375
|
|
5
|
0.416(6)
|
0.458(3)
|
|
6
|
0.5
|
0.541(6)
|
|
7
|
0.583(3)
|
0.625
|
|
8
|
0.666(6)
|
0.708(3)
|
|
9
|
0.75
|
0.791(6)
|
|
10
|
0.833(3)
|
0.875
|
|
11
|
0.916(6)
|
0.958(3)
|
Очевидно, что 1 способ дискретизации более подходит, т.к. уже на первом
шаге дискретизации он не дает такого отклонения, как 2 способ.
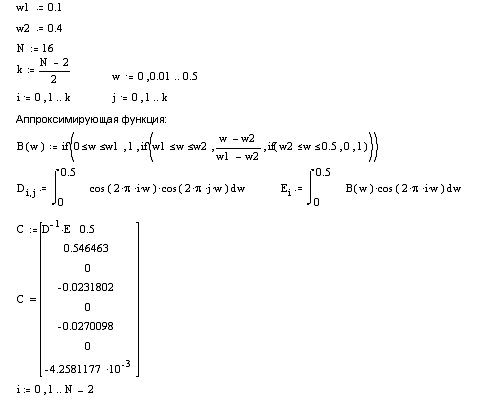
Обозначим
w1=wГП, w2=wГЗ.
Аппроксимирующая функция:
Импульсная характеристика (представляется в виде таблицы):

Представим АЧХ в виде таблицы из 5 строк и 10 столбцов:
Оценим точность аппроксимации.
Для этого представим абсолютную погрешность в виде таблицы 5 на 10
элементов:
Видим, что для фильтра нижних частот с такими н.у. и при N=12 абсолютная погрешность
аппроксимации метода частотной выборки равна 0.0255002.
I.
Рассчитаем фильтр
методом разложения в ряд Фурье для N=12.
Представим АЧХ в виде таблицы из 5 строк и 10 столбцов:
Оценим точность аппроксимации.
Для этого представим абсолютную погрешность в виде таблицы 5 на 10
элементов:
Видим, что для фильтра нижних частот с такими н.у. и при N=12 абсолютная погрешность
аппроксимации метода разложения в ряд Фурье равна 0.0285909.
График ФЧХ:
Представим ФЧХ в виде таблицы 5 на 10 строк:
II. Рассчитаем фильтр методом наименьших
квадратов для N=12.
Метод наименьших квадратов заключается в следующем:
Это
условие эквивалентно следующей системе уравнений:
; m=0,1,k
С
помощью этих коэффициентов получаем набор отсчетов импульсной характеристики, и
зная то, что она симметрична (видно из таблиц импульсной характеристики) можем
ее построить.
График
АЧХ:
Представим
АЧХ в виде таблицы из 5 строк и 10 столбцов:
Оценим
точность аппроксимации.
Для
этого представим абсолютную погрешность в виде таблицы 5 на 10 элементов:
Видим,
что для фильтра нижних частот с такими н.у. и при N=12 абсолютная
погрешность аппроксимации метода наименьших квадратов равна 0.0285909.
График ФЧХ:
Представим ФЧХ в виде таблицы 5 на 10 строк:
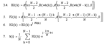
I.
Рассчитаем фильтр
методом частотной выборки для N=16.
Аппроксимирующая функция:
Импульсная характеристика (представляется в виде таблицы):
График АХЧ:
Представим АЧХ в виде таблицы из 5 строк и 10 столбцов:
Оценим точность аппроксимации.
Для этого представим абсолютную погрешность в виде таблицы 5 на 10
элементов:
Видим, что для фильтра нижних частот с такими н.у. и при N=16 абсолютная погрешность
аппроксимации метода частотной выборки равна 0.0327083.
График ФЧХ:
Представим ФЧХ в виде таблицы 5 на 10 строк:
II. Рассчитаем фильтр методом разложения
в ряд Фурье для N=16.
Импульсная характеристика (представляется в виде таблицы)

Представим АЧХ в виде таблицы из 5 строк и 10 столбцов:
Оценим точность аппроксимации. Для этого представим абсолютную
погрешность в виде таблицы 5 строк на 10 столбцов.
Видим, что для фильтра нижних частот с такими н.у. и при N=16 абсолютная погрешность
аппроксимации метода разложения в ряд Фурье равна 0.0231067.
График ФЧХ:
Представим ФЧХ в виде таблицы 5 на 10 элементов:
III. Рассчитаем фильтр методом наименьших
квадратов для N=16.
Метод наименьших квадратов заключается в следующем:
Это
условие эквивалентно следующей системе уравнений:
; m=0,1,k
С
помощью этих коэффициентов получаем набор отсчетов импульсной характеристики,
и, то, что она симметрична (видно из таблиц импульсной характеристики) можем ее
построить.
импульсный фильтр аппроксимация
График АЧХ:
Представим АЧХ в виде таблицы из 5 строк и 10 столбцов:
Оценим точность аппроксимации.
Для этого представим абсолютную погрешность в виде таблицы 5 строк на 10
столбцов:
Видим, что для фильтра нижних частот с такими н.у. и при N=12 абсолютная погрешность
аппроксимации метода наименьших квадратов равна 0.0224135.
График ФЧХ:
Представим ФЧХ в виде таблицы 5 на 10 элементов:
Выводы
·
При повышении
порядка фильтра точность аппроксимации возрастает.
·
Максимальная
точность аппроксимации достигается с помощью метода наименьших квадратов, а
минимальная получается с помощью метода частотной выборки.
·
В дискретных
отсчетах значения АЧХ совпадают с идеальными значениями.
·
Самую большую
точность аппроксимации получается при применении метода наименьших квадратов
при порядке N=16.