Производство пармидина. Материальный и тепловой баланс. Стадии получения дипликоновой кислоты

  • Вид работы:
    Контрольная работа
  • Предмет:
    Химия
  • Язык:
    Русский
    ,
    Формат файла:
    MS Word
    278,14 Кб
  • Опубликовано:
    2012-11-15
Вы можете узнать стоимость помощи в написании студенческой работы.
Помощь в написании работы, которую точно примут!

Производство пармидина. Материальный и тепловой баланс. Стадии получения дипликоновой кислоты

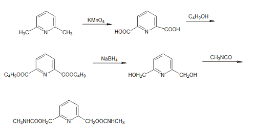
Общая химическая схема


Реакция окисления


Реакция этерификации


Реакция гидрирования

Получение Пармидина


Регламент синтеза

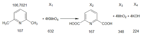
1.      Дипиколиновая кислота (II). К 76,3 г 40,2% 2,6-лутидина (30,6 г 100% I), растворенного в 690 мл воды, при 70-75 oC и при интенсивном перемешивании добавляют 9 порций перманганата калия (по 23,5 г), внося каждую следующую порцию после полного раскисления предыдущей. Температуру реакционной массы поддерживают 70-75oС. Двуокись марганца отфильтровывают при 70-75oС, промывают нагретой до 80oC водой. Объединенные фильтраты подкисляют конц. Соляной кислотой. Для более полного перевода монокалиевой соли дипиколиновой кислоты в свободную кислоту первоначально выпавший осадок растворяют при нагревании реакционной массы до 90oC, после чего раствор с рН от -0,2 до -0,25 медленно охлаждают и дают выдержку 1 ч при 10-12oC. Осадок дипиколиновой кислоты отфильтровывают, высушивают и определяют процентное содержание титрованием едким натром (поп фенолфталеину) и полярографически (по обоим методам содержания II не нижк 98%). Щавелевая кислота (перганатометрически) и несгораемый осадок (примесь монокалиевых солей дипиколиновой и щавелевой кислот) отсутствуют. Выход 29 г (60%); т. пл. 243 - 244oС разл.

.        2,6-Бисоксиметилпиридин (IV). К 440 мл безводного бутилового спирта (влаги не более 0,2%) прибавляют 35 г II и 35г сухого катионита КУ 2Х8 в H+ форме. Кипятят с отгонкой воды по принципу Дина - Старка, контролируя конец реакции по определению титрометрически содержания в реакционной массе монобутилового эфира дипиколиновой кислоты (конец реакции - при его содержании 0,007 г/мл). Массу оставляют охлаждаться до 90-95oС, декантируют с катионита. Катионит промывают 3 раза по 85 мл безводного бутанола и используют на следующей операции этерефикации (катионит без регенерации можно использовать не менее 10 раз). К объединенным бутанольным растворам III прибавляют порциями 13,45 г боргидрида натрия, поддерживая температуру массы 35 - 40oС. Дают выдержку 5 часов. Проверяют по ТСХ отсутствие в растворе бутилового эфира 6-оксиметилпиколиновой кислоты, после чего прибавляют 220 мл воды. Бутаноловый слой отделяют, из водного слоя диол IV дополнительно извлекают бутанолом. Объединенные бутанольные экстракты упарывают в вакууме. Остаток кристаллизуют из воды в соотношении 1:1,55 с углем, используя маточный раствор на следующих операциях: при кристаллизации диола IV и при разложении комплекса после восстановления боргидридом натрия диэфира III. Выход 16,85 г (57,8% на II).

.        Бис-N-метилкарбаминовый эфир 2,6-бисоксиметилпиридина (V). К взвеси 54, 49 г IV в 450 мл безводного дихлорэтана прибавляют несколько капель 21% раствора октоата олова в дихлорэтане и приливают 49 г метилизоцианата. Перемешивают 1 ч при кипении, контролируя течение процесса по ТСХ (конец реакции - при содержании монокарбаминового эфира не более 0,5 мг/мл). Реакционную массу охлаждают до 15-20oС. Осадок V отфильтровывают, промывают 45 мл дихлорэтана и перекристаллизовывают из 1900 мл воды с углем. Выход 90,8 г (91%).

Расчет контрольных точек

Масса на входе

Номер операции

Последовательность технологических процессов

Выход на стадии

Масса на выходе

ma=119,89

ТП 1.1.

0,89

mb=166,5951

mb=166,5951

ТП 1.2.

фильтрация

0,92

mb=153,2123

mb=153,2123

ТП 1.3.

промывка

0,91

mb=139,4232

mb=139,4232

ТП 1.4.

подкисление

1

mb=139,2432

mb=139,4232

ТП 1.5.

растворение

0,94

mb=131,0578

mb=131,0578

ТП 1.6.

фильтрация

0,92

mb=120,5732

mb=120,5732

ТП 1.7.

сушка

0,93

mb=112,1331

mb=112,1331

ТП 2.1.

0,84

mс=157,6236

mс=157,6236

ТП 2.2.

0,88

md=69,1058

md=69,1058

ТП 2.3.

экстракция

0,92

md=63,5773

md=63,5773

ТП 2.4.

упаривание в вакууме

0,93

md=59,1269

md=59,1269

ТП 2.5.

кристаллизация

0,92

md=54,3967

md=54,3967

ТП 3.1.

0,96

me=95,0494

me=95,0494

ТП 3.2.

фильтрация с промывкой

0,99

me=94,0989

me=94,0989

ТП 3.3.

перекристаллизация

0,98

me=92,2170

me=92,2170

ТП 3.4.

сушка

0,98

me=90,3726

дипиколиновый кислота этерификация пармидин

Материальный баланс стадии получения дипиколиновой кислоты ТП 1.1 Окисление


Ma=119,89

X1=630,2404

X2=166,5351

X3=347,0311

X4=223,3764

Материальный баланс стадии окисления

Загружено

Получено

Наименование веществ

Масса, кг

Наименование веществ

Масса, кг


техн.

в 100%


техн.

в 100%

А) Сырье, в т.ч.

750,1304


А) Технический полупродукт, в т.ч.

750,1305


лутидин (А)


119,8900

B


166,5354

KMnO4


630,2404

MnO2


347,0311




KOH


223,3764




избыток A


13,1879

Итого:

750,1304

750,1304

Итого:

750,1304

750,1304


ТП 1.2 Фильтрация

В=166,5351          153,2123

MnO2=347,0311   319,2686

KOH=223,3764    205,5063

Изб. А=13,1879   12,1329

η=0,92

mобщ=750,1305               690,1201 à mпотерь=60,0104

влажность 10%

 à 35,4743 - влага.

m(KOH) = 17,7371

Материальный баланс стадии фильтрация

Загружено

Получено

Наименование веществ

Масса, кг

Наименование веществ

Масса, кг


техн.

в 100%


техн.

в 100%

А) Промежуточный продукт

750,1305


А) Фугат

354,7429


B


166,5354

MnO2


319,2686

MnO2


347,0311

B


17,7372

KOH


223,3764

H2O


17,7371

избыток А


13,1879

Б) Фильтрат

335,3772





В


135,4751




КОН


187,7692




избыток А


12,1329




В) Потери

60,0104

60,0104

Итого:

750,1305

750,1305

Итого:

750,1305

750,1305


ТП 1.3. Промывка

КОН=17,7371                16,14082=319,2686         290,5344=17,7372          16,14092O=352,7429               322,8160

η=0,91

вода 1:1

mпотерь=63,8538


Материальный баланс стадии промывка

Загружено

Получено

Наименование веществ

Масса, кг

Наименование веществ

Масса, кг


техн.

в 100%


техн.

в 100%

А) Промежуточный продукт

354,7429


А) Фугат

322,8160


MnO2


319,2686

MnO2


290,5344

B


17,7372

B


12,1928

KOH


17,7371

H2O


20,0888

Б) Сырье

354,7429


Б) Фильтрат

322,8161


H2O


354,7429

В


3,9481




H2O


302,7272




КОН


16,1408




В) Потери

63,8538

63,8538

Итого:

709,4858

709,4858

Итого:

709,4858

709,4858


ТП 1.4. Подкисление

B=139,4232

H2O=302,7272

KOH=203,9100

Избыток А=12,1329

η=1

mобщая=658,1933

кг НCl (60%)

m(HCl)=15*0,6=9 кг

m(H2O)=15-9=6 кг

Материальный баланс стадии подкисление

Загружено

Получено

Наименование веществ

Масса, кг

Наименование веществ

Масса, кг


техн.

в 100%


техн.

в 100%

А) Промежуточный продукт

658,1933


А) Промежуточный продукт, суспензия, а в ней

673,1933


B


139,4232

H2O


308,7272

H2O


302,7272

KOH


203,9100

KOH


203,9100

избыток А


12,1329

избыток А


12,1329

HCl


9,0000

Б) Сырье

15,0000


твердая фаза


139,9232

HCl, а в нем






HCl


9,0000




H2O


6,0000




Итого:

673,1933

673,1933

Итого:

673,1933

673,1933


ТП 1.5. Растворение

B=139,4232          131,0578

H2O=308,7272               290,2036

KOH=203,9100    191,6754

HCl=9,0000          8,4600

Изб А=12,1329    11,4049

mобщая=673,1933   632,8017

η=0,94

mпотерь=40,3916

Материальный баланс стадии растворение

Загружено

Получено

Наименование веществ

Масса, кг

Наименование веществ

Масса, кг


техн.

в 100%


техн.

в 100%

А) Промежуточный продукт

673,1933


А) Промежуточный продукт

632,8017


твердое B


139,4232

твердое B


131,0578

H2O


308,7272

H2O


290,2036

KOH


203,9100

KOH


191,6754

HCl


9,0000

HCl


8,4600

избыток А


12,1329


11,4049










В) Потери

40,3916

40,3916

Итого:

673,1933

673,1933

Итого:

673,1933

673,1933


ТП 1.6. Фильтрация

тв. В=131,0578     120,5732

H2O=290,2036               266.9873

KOH=191,6754    176,3414

HCl=8,4600          7,7832

Изб А=11,4049    10,4925

mобщая=632,8017   582,1776

η=0,92

mпотерь=50,6241


Материальный баланс стадии фильтрация

Загружено

Получено

Наименование веществ

Масса, кг

Наименование веществ

Масса, кг


техн.

в 100%


техн.

в 100%

А) Промежуточный продукт

632,8017


А) Фугат

133,9702


твердое B


131,0578

B


120,5732

H2O


290,2036

H2O


13,3970

KOH


191,6754

Б) Фильтрат

448,2074


HCl


8,4600

H2O


253,5903

избыток А


11,4049

KOH


176,3414




HCl


7,7832




избыток А


10,4925




В) Потери

50,6241

50,6241

Итого:

632,8017

632,8017

Итого:

632,8017

623,8017


ТП 1.7. Сушка

η=0,93

B=120,5732          112,1331

H2O=13,3970                 12,4592

влажность 0,05%

mобщая=133,9702   124,5923 à mпотерь=9,3779


Материальный баланс стадии сушка

Загружено

Получено

Наименование веществ

Масса, кг

Наименование веществ

Масса, кг


техн.

в 100%


техн.

в 100%

А) Промежуточный продукт

133,9702


А) Целевой продукт

112,1892


твердое B


120,5732

B


112,1331

H2O


13,3970

H2O


0,0561




Б) Вторичный пар

12,4031

12,4031




В) Потери

9,3779

9,3779

Итого:

133,9702

133,9702

Итого:

133,9702

113,9702


Итоговый материальный баланс ТП 1

Загружено

Получено

Наименование веществ

Масса, кг

Наименование веществ

Масса, кг


техн.

в 100%


техн.

в 100%

А) Сырье

1119,8733


А) Целевой продукт

112,1892


лутидин (А)


119,8900

B


112,1331

KMnO4


630,2440

H2O


0,0561

H2O


354,7429

Б) Отходы

783,4265


HСl, а в нем



MnO2


290,5344

HCl


9,0000

В


12,1928

H2O


6,0000

H2O


273,5903




КОН


176,3414




HCl


7,7832




избыток А


10,4925




Вторичный пар


12,4031




В) Потери

224,2578

224,2578

Итого:

1119,8733

1119,8733

Итого:

1119,8733

1119,8733



Тепловой баланс стадии получения пармидина

Реагенты             лутидин (А)         119,8900

KMnO4                 630,2404

Продукты            B                          166,53512                       347,0311

KOH                             223,3764

Балласт                         изб А                            13,1879

H2O                      2703,4020

Таблица 1

Качество вещ-ва

Наименование вещ-ва

Масса вещ-ва в нач. загрузке

Изменение массы по этапам

Масса вещ-ва в конце загрузки




1 этап

2 этап

3 этап

4 этап

5 этап

6 этап






Реагенты

А

119,8900

95,9120

71,9340

62,9395

59,9450

11,9890

0

0


KMnO4

630,2404

504,1923

378,1442

315,6322

315,1202

63,0240

0

0

Продукты

B

0

33,3070

66,6140

74,9408

83,2676

149,8816

166,5351

166,5351


MnO2

0

69,4062

138,8124

156,1640

173,5156

312,3280

347,0311

347,0311


KOH

0

44,6753

89,3506

100,5194

111,6882

201,0388

223,0388

223,0388


Теплоемкость по правилу Коппа






p(10)=1,03*1,407=1,4492p(25)=1,05*1,407=1,4774p(70)=1,1*1,407=1,5477p(80)=1,1*1,407=1,5477p(90)=1,54774                                     p(10)=0,7788p(25)=0,7939p(70)=0,8317p(80)=0,8317p(90)=0,8317

Похожие работы на - Производство пармидина. Материальный и тепловой баланс. Стадии получения дипликоновой кислоты

 

Не нашли материал для своей работы?
Поможем написать уникальную работу
Без плагиата!
Без нейросетей!