Полівінілхлорид (ПВХ) та його системи, наповнені мінеральними наповнювачами і отримані в Т-р режимі
Зміст
Вступ
Розділ І. Полімери, як
фрактальні структури
.1. Моделювання
структуроутворень в аморфних полімерах
.2. Фрактальний підхід до опису
структуроутворень лінійних аморфних полімерів та їх систем
Розділ ІІ. Об’єкти та методи
досліджень
.1. Фізико-хімічні
характеристики полівінілхлориду, як типового представника лінійних аморфних
полімерів
.2. Мінеральні наповнювачі
полівінілхлориду
.3. Ультразвукові та
теплофізичні експериментальні методи досліджень властивостей аморфних полімерів
та їх систем
Розділ ІІІ. Фрактальні
розмірності полівінілхлоридних систем та процеси структуроутворення в них
.1. Коефіцієнт Пуассона
лінійних аморфних полімерів та їх систем
.2. Фрактальні розмірності
структуроутворень аморфних полімерів та їх систем
.3. Оцінки параметрів рухливості
структурних елементів макромолекул лінійних аморфних полімерів на основі
фрактальних розмірностей
Висновки
Література
Вступ
Актуальність теми.
Відсутність, до недавнього часу кількісних структурних моделей полімерів
вимагає застосування неопосередкованих методів оцінки їх параметрів. уява про
структуру є основним поняттям у фізиці, хімії, біології та інших науках. Під
структурою розуміють спосіб організації елементів і характер зв’язку їх між
собою. У фізиці полімерів структурна організація визначається як на мікро- так
і макрорівні, а також як зв’язок структура-склад-властивості.
Розвиток, за останні роки,
методів фрактального аналізу дозволив суттєво змінити ситуацію.
Експериментально доведено, що блочні полімери є фрактальними об’єктами в інтервалі
лінійних масштабів 1,0-100,0
. Короткий опис фрактальних об’єктів
можливий лише в межах фрактального аналізу, а використання евклідової геометрії
є тільки наближенням. В якості основних структурних моделей використовується
фрактальний аналіз і пов’язана з ним кластерна модель структури аморфного стану
полімерів і моделі незворотньої агрегації. Такий підхід дозволяє показати, що
структура полімерів є більш важливим фактором при оцінці фізичних властивостей
систем, чим їх хімічна будова.
Взаємозв’язок роботи з науковими
програмами, планами, темами. Виконання роботи
проводилося у межах комплексних досліджень наукової лабораторії фізики
високомолекулярних сполук при кафедрі фізики Рівненського державного
гуманітарного університету відповідно до тем «Дослідження шляхів напрямленої
модифікації властивостей гетерогенних полімерних та дисперсних систем» і «Шляхи
напрямленого регулювання релаксаційних і термічних властивостей гетерогенних
полімерних систем на основі гнучколанцюгових полімерів» та згідно з
держбюджетними науково-дослідними роботами Міністерства науки і освіти України,
зокрема: «Вплив нелінійних ефектів на кібернетику структури і енергообмінні
процеси в гетерогенних полімерних системах» (01.2010-01.2012), №реєстр.0109U000176.
Мета і завдання роботи.
Оскільки фрактальний підхід до оцінки процесів структуроутворення і опису
властивостей полімерних систем є актуальним, для реалізації такого підходу при
розгляді аморфних полімерів і їх систем потрібно розв’язати наступні завдання:
— оцінити фрактальні
розмірності структуроутворень аморфних полімерів і на основі їх значень описати
поведінку структурних елементів макромолекул в цих структуроутвореннях;
— керуючись кластерною моделлю
аморфних полімерів, на основі фрактальних розмірностей, оцінити її параметри.
Об’єкт дослідження
- типовий представник лінійних аморфних полімерів - полівінілхлорид (ПВХ) - та
його системи, наповнені мінеральними наповнювачами і отримані в Т-р режимі.
Предметом досліджень
було вивчення впливу температурного поля наповнювачів на поведінку структурних
елементів макромолекул ПВХ та їх роль у формуванні межових шарів.
Методи дослідження:
об’ємна дилатометрія, динамічний механічний аналіз на ультразвукових частотах,
теплофізичні методи.
Наукова новизна
отриманих результатів:
– на основі експериментальних
значень в’язкопружних властивостей аморфних полімерів та їх систем,
розрахований коефіцієнт Пуассона, проаналізована його концентраційна
залежність;
– в рамках фрактального
аналізу до опису структури аморфних полімерів оцінено їх фрактальні
розмірності, проведено їх порівняння з евклідовими, проаналізовані процеси
взаємодії структурних елементів макромолекул;
– визначені геометричні
параметри кластерної моделі аморфних полімерів, проведена оцінка їх механічних
властивостей;
– проаналізовано процеси
дифузії структурних елементів макромолекул в рамках кластерної моделі і
фрактального аналізу.
Практичне значення отриманих
результатів.
. На основі значень фрактальних
розмірностей полімерів прогнозуються фізичні властивості гетерогенних систем.
. Показано, що характер зміни
комплексу властивостей полімерних систем при їх модифікації шляхом введення
наповнювача чи температурним полем безпосередньо пов’язаний із зміною
фрактальних розмірностей структуроутворень.
Розділ
І. Полімери, як фрактальні структури
1.1
Моделювання структуроутворень в аморфних полімерах
Взаємне розміщення молекул і
характер взаємодії їх між собою дає змогу розрізняти два види твердої речовини:
кристалічний і аморфний. У твердому аморфному і рідкому стані молекули
розміщені невпорядковано, тобто відсутній дальній порядок. Проте, у такому
стані неявний, так званий ближній порядок, тобто існує скінченна імовірність
того, що в будь-який момент часу наявні області, в яких взаємне розміщення молекул
може бути впорядкованим. У результаті теплового руху молекул координати і
розміри таких областей постійно змінюються. Уявлення про ближній порядок в
аморфних і рідких полімерах дозволило в 50-их роках ХХ ст. Каргіну,
Китайгородському і Слонимському запропонувати “пачкову” модель [1]. У такій
моделі вважалося, що головними структурними елементами, з яких складаються
аморфні полімери, є об’єднання макромолекул (пачки). Макромолекулярні ланцюги в
таких об’єднаннях розміщені паралельно, тобто в них зберігається
квазікристалічний порядок. У просторі між пачками полімерні ланцюги
розміщуються хаотично, причому один ланцюг може проходити через декілька
областей впорядкування. Така модель трактує аморфний (рідкий) полімер, з точки
зору структури, як двокомпонентний. Використання такої моделі дозволяє пояснити
досить близькі значення густини аморфних і кристалічних полімерів,
періодичність їх ізотерм розтягу, і явище структурної пластифікації. Проте з
позиції цієї моделі, не знаходить пояснення високоеластичність і
в’язкотекучість.
Аналіз цієї моделі при
використанні міри гнучкості молекули
і конформаційного параметра
, показує,
що у випадку дуже малих
, коли
макромолекули розміщуються пачками, вони згортаються або розпрямляються із
збільшенням концентрації і утворюють нематичні домени. Але число макромолекул з
обмежене. У
випадку гнучколанцюгових полімерів оцінки можна провести використовуючи
параметр
. Цей
параметр володіє однією особливістю [2]. Суть її полягає в тому, що при
досягненні цим параметром деякого критичного значення
, наступна
зміна
відбувається
стрибкоподібно і досягає значення близького до 1. Таким чином, при досягненні
значення
,
макромолекулам вигідно розгортатися, при цьому відбувається перехід: клубок -
розгорнутий ланцюг. Такий перехід характеризується стрибкоподібною зміною
кінетичних, термодинамічних і морфологічних властивостей ансамблю макромолекул.
Для утворення пачок повинно зблизитися і розгорнутися 10÷20 макромолекул.
Це може відбутися або в розчині, або в розплаві, де їх рухливість велика.
Розрахунки показують, що імовірність цього дуже мала. Навіть, якщо різко
охолодити розплав до твердого стану, то не існує ніяких причин для помітного
часу життя флуктуації і вони швидко зникнуть. Тому при відсутності зовнішньої
дії пачки у гнучколанцюгових полімерах практично не можуть самовільно
утворюватися.
Інший підхід до розгляду
структури аморфних полімерів було запропоновано Флорі [3]. Згідно з такою
моделлю аморфний полімер - це сукупність статистичних клубків, що перекривають
один одного. В аморфному стані, сегменти даної макромолекули оточені
енергетично рівноцінними сегментами сусідніх ланцюгів. Об’ємні ефекти при цьому
зникають, оскільки будь-яка конформація молекули, відмінна від не збудженої,
буде більш енергетично вигідною. Така модель дає змогу розглядати аморфні
(рідкі) полімери, як однокомпонентні, в яких відсутня молекулярна
впорядкованість. На основі цієї моделі можна пояснити розширення області
високоелестичності при збільшенні молекулярної маси, більші значення
коефіцієнтів дифузії газів в аморфних полімерах порівняно із кристалічними.
Дані структурного аналізу показують, що середньоквадратичні розміри
макромолекул у блоці співпадають із незбуреними розмірами макромолекул у
-розчиннику.
Результати дослідження блочних аморфних полімерів методом малокутового
розсіювання рентгенівських променів і розсіювання світла показують
однокомпонентність блочних аморфних полімерів. Отримані в межах
молекулярно-статистичної моделі Флорі, середній радіус інерції, середній
квадрат віддалі між кінцями ланцюга, середній квадрат дипольного моменту
задовільно узгоджуються з відповідними експериментальними даними. У рамках
моделі Флорі можна пояснити і близькі значення густини аморфного і кристалічного
полімера. Так за допомогою машинного моделювання методом Монте-Карло показано,
що при поступовому заповненні обмеженого об’єму модельними ланцюгами, що
знаходяться в конформації гаусового клубка можна досягти такого ступеня
ущільнення сегментів, що густина буде відповідати експериментальній. Однак
існує багато експериментальних фактів, які не знаходять пояснення в рамках
моделі Флорі. До таких фактів відноситься, у першу чергу, висока швидкість
кристалізації рідких полімерів, які кристалізуються. Не можна задовільно
пояснити неньютонівський характер зміни в’язкості. Результати ширококутових
дифракційних досліджень аморфних полімерів суперечать уявленням про їх
“безструктурність”. Подібні експериментальні факти часто пояснюються як
існування в аморфних і рідких полімерах певної долі впорядкованих областей.
Таким чином, для обох моделей
існують як переваги, так і недоліки. Цей факт дав можливість створити такі
моделі, які є компромісом між двома крайніми випадками: двокомпонентною моделлю
пачок і моделлю статичних клубків, що перекриваються. Так, згідно з моделлю
Йєха бахромчастих міцелярних зерен, в ній передбачається наявність
впорядкованих областей-доменів. У доменах паралельно вкладаються сегменти
одного чи декількох ланцюгів, що перебувають у складчастій конформації. Пачка в
такій моделі, є сукупністю доменів, з’єднаних прохідними макромолекулами. Число
прохідних молекул між доменами, що належать різним пачкам, набагато менше, ніж
між доменами, що знаходяться у пачці [4].
Близькими до моделі Йєха є
моделі Клемента і Джейла, а також Аржанова, Бакеєва, Кабанова [5, 6]. Ці моделі
відрізняються оцінкою ступеня анізотропності аморфної полімерної системи.
Клемент і Джейл передбачають існування у таких системах “наддоменів”, як
об’єднання сукупності доменів. “Наддомени” зв’язані між собою відносно великим
числом прохідних ланцюгів так, що вони здатні повністю переміщуватися. В усіх
трьох моделях прохідним ланцюгом у міждоменних областях характерна можливість
прояву ентропійної пружності. Згідно з моделлю Робертсона [7], макромолекули
аморфних і рідких полімерів знаходяться у конформації, що відповідає
конформації статистичного клубка, стиснутого з двох сторін. Подібні уявлення
використовуються у моделі “колапсованих” клубків Фольмерта. Згідно з якою вважається,
що в міру зростання концентрації макромолекул у розчині відбувається сегрегація
макромолекулярних клубків, а не їх взаємне проникнення. В обох моделях, не
дивлячись на асиметричну форму, клубки зберігають середні розміри, характерні
для незбуреного гаусівського клубка. Модель “колапсованих” клубків дозволила
якісно пояснити низькі значення ступеня конверсії реакції зшивання у
концентрованих розчинах високомолекулярних реагентів, а також деякі реологічні
характеристики розплавів полімерів. Використання цієї моделі передбачає
пропорційність радіуса інерції “колапсованого” клубка кубічному кореню з
молекулярної маси. Проте така залежність експериментальне не спостерігається.
У 70-х роках ХХ ст.
Пекхольдом була запропонована модель меандрів (або кінк-ізомерів). Автори
моделі меандрів починають розгляд структури полімера з вихідного кристалічного
стану. Полімерний кристал є упорядкованою системою із вкрапленими у неї
дефектами конформаційного походження. При критичній концентрації дефектів
відбувається процес розупорядкування, у результаті якого вихідна структура
руйнується. У деяких межах зберігається локальна впорядкованість
макромолекулярних ланцюгів, оскільки в силу вимог термодинамічної стійкості
пачок вони повинні кооперативно вигинатись при певній концентрації дефектів. У
рамках моделі меандрів структура аморфних (рідких) полімерів є фактично
однорідною системою без флуктуацій густини в об’ємі. Тобто аморфний (рідкий)
полімер - це ні що інше, як дуже дефектний паракристал. Результати модельних
розрахунків ентальпії, ентропії, температури плавлення для поліетилену
задовільно співставляються з експериментальними даними. Розрахунки радіуса
інерції меандрової структури дають значення близькі до значень радіуса інерції
незбуреного статистичного клубка. Однак, розміри експериментально знайдених
анізотропних структур, а також ступінь орієнтаційної кореляції макромолекул
типових полімерів менша, ніж передбачається меандровою моделлю.
В останні роки, при
визначенні структури аморфних (рідких) полімерів розвивається гіпотеза про
статистичне складання макромолекул, згідно з якою враховуються вимоги
реалізації ближнього сегментального порядку в аморфних полімерах шляхом
утворення складчастих ділянок у макромолекулі, що мають розміри незбуреного
статистичного клубка. У роботах Ю.С. Ліпатова зі співробітниками [8-11] ця
гіпотеза отримала подальший розвиток і уточнення. Згідно з даними роботами
введене представлення про існування в розплавах гнучколанцюгових полімерів
флуктуаційної структурної сітки, вузлами якої є ділянки впорядкованого
розміщення сегментів у вигляді статистичного складування макромолекул.
Для пояснення багатьох
експериментальних даних і теоретичних розрахунків використовується кластерна
модель аморфних полімерів [12-18]. Згідно з такою моделлю, при утворенні
блочних аморфних полімерів з розплаву при зниженні температури утворюється
зародок - кластер. Такий кластер складається з приблизно паралельних щільно
упакованих сегментів різних макромолекул. Кластер є основним структурним
елементом кластерної структури аморфних елементів і має зовнішню подібність до
моделі “бахромчастих міцел”.
При наступному зниженні
температури розмір рівноважного зародку (а відповідно, і критичний розмір
кластера) також знижується, але реальна можливість перебудови суттєво нижча,
ніж при вищих температурах. Зв’язок ансамблю полімерних ланцюгів при утворенні
кластерної сітки відповідно знижує швидкість перебудови системи кластерів.
Проте, при охолодженні можлива і така ситуація, коли при деякій критичній
температурі стає неможливим паралельне розміщення ділянок різних макромолекул,
тобто зникає можливість утворення міжмолекулярного типу зародку. Таким чином
структурні елементи, які при більш високих температурах не ввійшли в кластери,
при даній критичній температурі в принципі втрачають таку можливість. полівінілхлорид аморфний полімер фрактальний
Отже, після такого переходу
аморфний полімер складається з двох підсистем із різним типом упаковки
сегментів щільної в кластерах і розпушеної - у міжкластерних областях. Таку
модель можна розглядати як сітчасту структуру, в якій кластери відіграють роль
фізичних вузлів.
Розвиваючи далі кластерну
модель [19-22], її автори запропонували розглядати сегмент у кластері як
лінійний дефект невпорядкованої структури, подібний до крайової дислокації у
кристалах. Флуктуаційний вільний об’єм концентрується у нещільно упакованій
матриці. Приєднання сегмента до кластера означає закриття мікропорожнини. Зміна
флуктуаційного вільного об’єму з температурою може відбуватися навіть при
постійному об’ємі полімера за рахунок обміну дірками між кластером і
міжкластерною областю.
Утворення кластерів не
приводить до збурення середньоквадратичних розмірів макромолекул в аморфних
полімерах. Це пов’язане з тим, що об’єднання окремих сегментів в ансамбль
вихідного взаємопроникаючого статистичного клубка не порушує їх статистичності,
тобто процес утворення кластерів відбувається з невеликим відхиленням
орієнтації окремих сегментів ланцюга такого ж клубка. На протяжності
макромолекули, в цілому, такі переорієнтації сегментів мають статистичний
характер, що і забезпечує незмінність макроконформації полімерного ланцюга.
Проведені на основі даної
моделі оцінки лінійних розмірів мінімальної критичної дірки (≈4÷5Å)
за
порядком величини дорівнює граничній пружній деформації міжмолекулярних
зв’язків у лінійних аморфних полімерах, а енергія утворення дірки співпадає з
енергією міжмолекулярної взаємодії.
З точки зору кластерної
моделі вимушено-еластична деформація обумовлена розпадом сітки кластерів.
Утворення флуктуаційної дірки мінімальногоного критичного об’єму можна
трактувати як локальне розм’якшення структури аморфного полімеру, а
вимушено-еластичну деформацію - як механічне розм’якшення.
1.2
Фрактальний підхід до опису структуроутворень лінійних аморфних полімерів та їх
систем
Широкого вжитку, в останні роки,
отримала теорія фракталів [23],
яка дозволяє не тільки описати процеси структурувань в речовині, але й
спрогнозувати фізико-хімічні властивості.
Фракталами називаються самоподібні
об’єкти інваріантні відносно локальних дилатацій тобто самоподібні. Це поняття
було вперше введене Мандельбратом [24], який визначив фрактал як множину для
якої розмірність Хаусдорфа-Базиковича [25] завжди перевищує топологічну
розмірність. Фрактальна розмірність df
об’єкта, що перебуває в d-мірному
евклідовому просторі змінюється від 1 до d.
Більшість існуючих в природі об’єктів є фрактальними, що зумовило розвиток
методів фрактального аналізу.
Згідно класифікації Фемілі,
фрактальні об’єкти поділяються на два основних класи: детерміністичні і статистичні
(випадкові). Детерміністичні фрактали є самоподібні об’єкти, що точно
конструюються на основі деяких базових законів. Прикладами таких об’єктів є
множина Кантора, крива Коха, «килим» Серпинського, сніжинка Вічека та інші.
Такі фрактали володіють двома важливими властивостями: необмеженим інтервалом
самоподібності (-∞;+∞) і точним розрахунком фрактальної
розмірності. Оскільки на площині чи в об’ємі можна провести поділ нескінченною
кількістю різними способами, тоді є можливість побудувати нескінченну кількість
детерміністичних фракталів з різними фрактальними розмінностями. Для розділу
детерміністичних фракталів на класи вводять додаткові фрактальні розмірності та
інші їх параметри. Статистичні фрактали виникають внаслідок протікання
невпорядкованих (випадкових) процесів. Для більшості реальних фізичних процесів
об’єктів властивий елемент не впорядкування. За таких умов відсутня будь яка
просторова кореляція для утворення фракталів. Прикладом такого фракталу є
траєкторія статистичних блукань. Проте чисто статистичні моделі не завжди
адекватно описують реальні фізичні системи. Однією з причин такої
неадекватності є ефект виключеного об’єму (геометричне обмеження двом різним
елементам системи займати один і той же об’єм простору). Найбільш відомими прикладами
моделей статистичних фракталів є модель блукань без самоперетину (решіткові
звірі) і статистична перколяція. У визначеному інтервалі масштабів фрактали
мають різні топологічні структури в залежності від максимального числа
елементів, які з’єднуються з «виділеним» елементом системи. Якщо кожний елемент
можна пов’язати з двома іншими, отримується структура з відгалуженням. Тому
розрізняють лінійні фрактали (аналог лінійні полімери) і розгалужені (фрактал
має структуру каркасоподібну). Для мікроструктури полімерів характерні два
крайніх випадки: а)високий ступінь впорядкування отриманий за рахунок
природного або штучного самоупорядкування; б) невпорядкованість структури -
хаос. У фрактальному аналізі розглядаються і проміжні структури полімерів, які
отримуються в умовах термодинамічної нерівноваги (нерівноважні процеси). Такі
системи (фрактальні структури) характеризуються певним рівнем проміжного
порядку. Оскільки полімерні системи володіють локальним рівнем проміжного
порядку, важливим питанням є встановлення взаємозв’язку між ступенем такого
порядку і фрактальною вимірністю.
Запропоновані моделі
суцільного середовища для полімерів не завжди є доречним тому, що в процесі їх
синтезу з’являється мікро-, мезо- і макродефекти, а коли полімери зазнають
впливу силових полів вони утворюють підсистемну блочну структуру, яка володіє
автомодельністю (
). Полімери володіють статистичною
самоподібністю, яка спостерігається в обмеженому інтервалі просторових
масштабів (для блочних полімерів це (1,0 - 100,0)
). Взаємозв’язок між локальним
порядком в полімерах і степенем фрактальності описується за допомогою загальних
математичних термінів. Так як аморфний полімер розглядається як система, яка
складається з великої кількості підсистем (точок), відповідно до теореми Рамсея
будь-яка велика кількість точок (об’єктів) обов’язково містить
високоупорядковану систему точок (об’єктів). Це означає, що аморфний полімер є
мультифракталом і характеризується спектром розмірностей Реньє dq[-∞; +∞].
Здатність полімерних систем до самоорганізації в масштабно-інваріантних в
мультифрактальних формах є наслідком фундаментальних систем, dq
визначається міжмолекулярною і внутрішньомолекулярною взаємодією структурних
елементів молекул. На фізико-хімічні властивості полімерів значний вплив має
топологія структури. Це дає можливість за результатами фізико-хімічних
досліджень, вивчати і моделювати структуру полімерів.
У межах фрактального підходу
структуроутворення полімерів описується принаймні трьома розмірностями: d - розмірність
евклідового простору; 
- фрактальна
(Хаусдорфова) розмірність; 
- спектральна (фрактальна)
розмірність. У випадку евклідового простору d=
=
, а це означає, що евклідові об’єкти
є частинним випадком фрактальних. Введення, для полімерів, принаймні двох розмірностей,
зумовлено тим, що такі системи є термодинамічно нерівноважні і для них не
виконується принцип Пригожина-Денфея і вони потребують для їх опису як мінімум
двох параметрів порядку.
Так як полімерні системи є
термодинамічно не рівноважними структурами і їх структурування відбувається в
процесі не рівноважних процесів, то для їх досліджень використовують
фрактальний аналіз і принци синергетики.
Фрактальні об’єкти
характеризуються взаємозв’язком між масою (густиною) і лінійним масштабом
вимірювань 
:

, (1.1)
де 
- показник
скейлінга маси.
Для полімерів нижня межа
лінійних масштабів визначається мініструктурною відстанню (
), а верхня (
). Такі межі співпадають з лінійними
розмірами структуроутворень кластерної моделі аморфних полімерів. Крім того,
для полімерів характерною є багаторівнева структурна організація (молекулярна
топологічна, надмолекулярна-блочна) елементи якої взаємозв’язані. При зовнішній
дії на полімер утворюються вторинні структурні елементи (тріщина, поверхні
руйнування, зони пластичної деформації). Між первинними і вторинними елементами
структури полімерів, що характеризуються різнорідними параметрами встановленні
кореляційні зв’язки на основі експериментальних даних. Якщо ж кожний із таких
елементів охарактеризувати однорідним параметром (фрактальною розмірністю),
отримують аналітичні співвідношення, що не містять неоднозначних параметрів.
Такий підхід дає можливість прогнозувати властивості полімерних систем і
описувати їх поведінку (навіть на основі комп’ютерного моделювання) в процесі
експлуатації.
Використання фрактального
підходу до полімерних систем потребує застосування фізично обґрунтованих
параметрів, що описують структурування в макромолекулярних тілах.
Розділ
ІІ. Об’єкти та методи досліджень
.1
Фізико-хімічні характеристики полівінілхлориду, як типового представника
лінійних аморфних полімерів
Науковий та прикладний інтерес
становлять наповнені полімерні системи, в яких під впливом зовнішніх силових та
температурних полів реалізується оптимальне поєднання очікуваних фізичних
властивостей компонентів [26]. При цьому особливу увагу викликають композиції
на основі гнучколанцюгових полімерів [27, 28].
Як основний об’єкт досліджень був
вибраний лінійний гнучколанцюговий полімер вінілового ряду - полівінілхлорид.
Важливо зазначити, що ПВХ як один із представників аморфних полімерів є багатотоннажним,
володіє досить широким спектром змін структурної організації на різних рівнях.
Досліджували ПВХ суспензійної полімеризації марки С-65 [29], очищений
переосадженням із розчину, що дозволило позбутися низькомолекулярних домішок,
залишків ініціатора, емульгаторів і захисних колоїдів.
Молекулярна маса переосадженого
полімера, визначена віскозиметрично в циклогексаноні на візкозиметрі
Освальда-Уббелоде при 295 К і розрахована за емпіричним рівнянням
Марка-Куна-Хувинка [30], склала 1,4×105.
Основні фізико-механічні
характеристики блочного ПВХ представлені в таблиці 2.1.
Таблиця 2.1.
Основні фізико-механічні
характеристики ПВХ
|
Показники
|
Значення
|
|
Густина при 293К, кг/м3×10-3
|
1,35 ¸ 1,43
|
|
Твердість за Брінелем, МН/м2
|
130 ¸ 160
|
|
Міцність, МН/м2 при розтягу при
згині
|
40 ¸ 60 80 ¸ 120
|
|
Модуль пружності при розтягу, ГН/м2
|
3 ¸ 4
|
|
Ударна питома в’язкість, кДж/м2
|
2 ¸ 5
|
|
Відносне видовження при розриві, %
|
5 ¸ 10
|
|
Смуги в IЧ-спектрі, см-1
|
2968 ¸ 310
|
|
Температура склування, К
|
353
|
|
Температура текучості, К
|
453
|
|
Питома теплоємність, кДж×/(кг×К)
|
0,85 ¸ 2,14
|
|
Теплопровідність, Вт×/(м×К)
при температурі 90 ¸
340 К
|
0,125 ¸ 0,175
|
|
Коефіцієнт об’ємного термічного розширення, К-1×104
при температурі 293 ¸
357 К
|
3 ¸ 4,2
|
|
Температурний коефіцієнт лінійного розширення,
К-1×105
при температурі 293 ¸
357 К
|
6 ¸ 10
|
|
Питомий об’єм, при тиску 20 МПа і температурі
229 ¸
373 К, м3/кг
|
0,704 ¸ 0,730
|
|
Теплостійкість за Мартенсом, К
|
323 ¸ 353
|
|
Питомий електричний опір при 293 К
|
|
|
об’ємний, ГОм×м
|
10 ¸ 1000
|
|
поверхневий, ТОм×м
|
10 ¸ 100
|
|
Діелектрична проникність
|
3 ¸ 5
|
|
Тангенс кута діелектричних втрат
|
0,03 ¸ 0,05
|
|
Показник заломлення
|
1,5
|
|
Водопоглинання за 24 год, %
|
0,4 ¸ 0,6
|
|
Морозостійкість, К
|
213 ¸ 258
|
|
Молекулярна маса, кг/моль×103
|
62,5
|
|
Енергія активації при термодеструкції за
методом Фрімена-Керола, кДж/моль
|
68
|
|
Енергія терморозпаду, кДж/моль
|
100 ¸ 110
|
|
Електрична міцність кВ/мм при 293 К при 413
К
|
35 ¸ 45 < 5
|
Як розчинник використовували
циклогексанон марки ”ХЧ” (Ткип.=425,5 К; Пд239К=0,9466).
Для більш інтенсивного розчинення ПВХ у циклогексаноні готовий 3%-й розчин
нагрівали на водяній бані зі зворотнім холодильником при температурі 310 К.
Із отриманого розчину ПВХ
переосаджували трикратним об’ємом метанолу (Ткип.=335 К; Пд290К=0,7925).
Осаджений полімер багаторазово промивали на вакуумному фільтрі метанолом і
висушували на повітрі, а потім у вакуумі - при температурі 320 К до постійної
маси протягом 10 годин.
У деяких випадках для порівняння
властивостей ПВХ використовувались і фізико-хімічні характеристики полівінілбутираля
(ПВБ).
2.2
Мінеральні наповнювачі полівінілхлориду
Наповнювачами для отримання ПКМ
можуть бути практично всі природні та синтетичні матеріали після надання їм
відповідної форми та розмірів.
Як наповнювач для отримання
полімерного композиційного матеріалу, у якому б оптимально поєднувалися бажані
властивості компонентів, використовувався фосфогіпс [31]. Фосфогіпс є
багатотоннажним обтяжливим відходом виробництва екстракційної фосфорної кислоти
(ЕФК), яка отримується сіркокислотним розкладом природних фосфатів, головним
чином апатитового концентрату і фосфоритів Каратау.
Хімічний склад фосфогіпсу (вміст в
ньому Р2О5 (заг.) і Р2О5 (вод.),
вологи та інших домішок) в основному визначається якістю використовуваної
фосфатної сировини, а також способом виробництва ЕФК і представлений в таблиці
2.2.
Таблиця 2.2.
Хімічний склад (в %) фосфогіпсу
|
CaSО4• 2Н2О
|
Н2О (вільна)
|
Р2О5 (загал.)
|
в т.ч. Р2О5 (вод. розч.)
|
Fe2O3 + +FeO
|
SiO2
|
F
|
|
88
|
9,6
|
до 1,8
|
0,6
|
0,15
|
0,3
|
0,15
|
Показники заломлення світла для
переважної більшості кристалів ng=l,530; np=1,520. Після
підсушування фосфогіпс стає більш дрібнодисперсним. Питома поверхня фосфогіпсу
була визначена методом повітропроникності [32] і складає 380кг-1·м2.
Густина фосфогіпсу, визначена після
його попереднього подрібнення, висушування при 393 К і просіювання через сито з
розміром отворів 6,3·10-5 м пікнометричним методом, складає
3051 кг/м3 при відносній похибці вимірювань 0,7 %.
Розривна міцність зв'язків
фосфогіпсу, ущільнених під дією статичного навантаження, складає 1,85 кПа.
Фосфогіпс за своєю структурою
відноситься до зв'язаних матеріалів. Внутрішнє тертя у фосфогіпсі виявляється
при деформаціях зсуву внаслідок заклинювання та зачеплення окремих частинок
одна за одну. Нормальному тиску 0,1 МПа відповідає тангенціальна напруга 0,071
МПа, яка має тенденцію до росту при зростанні тиску (так при Рn= 0,4
МПа - τ= 0,261 МПа).
Як наповнювачі ПВХ були
використані дисперсні ФГPb, ФГHg та
ФГBi,
отримані на базі фосфогіпсу [33]. Для модифікації були вибрані розчинні солі
важких металів Pb, Hg, Bi,
які утворюють найбільш стійкі хлоридні комплекси, константа нестійкості яких
для PbCl+
, для BiCl2+
, для HgCl+
.
Фізико-механічні властивості
отриманих модифікованих форм фосфогіпсу ідентичні фізико-механічним
властивостям вихідного фосфогіпсу, лише густина зростає в ряді:
(відносна
похибка вимірювань складає =0,7 %).
Розміри частинок отриманих дисперсних наповнювачів складають
м.
Зразки для експериментальних
досліджень готували методом механічного змішування ПВХ із мінеральними
наповнювачами та з подальшим висушуванням у сушильній шафі і під вакуумом до
сталої маси. Кількість введеного наповнювача контролювали ваговим методом. ПКМ
готували в Т-р режимі у вигляді пластин товщиною 5 мм і діаметром 25 мм.
Зразки нагрівали до температури 403
К і під тиском 10 МПа охолоджували до 293 К. Швидкість охолодження зразків
становила 3 К/хв.
Виготовлені зразки мають
горизонтальну поверхню і монолітизуються з утворенням однорідних блоків.
Якість зразків контролювалася за
допомогою металографічного мікроскопа ”МИМ-8М” та ультразвукового дефектоскопа.
2.3
Ультразвукові та теплофізичні експериментальні методи досліджень властивостей
аморфних полімерів та їх систем
У дослідженні будови
полімерних матеріалів та їх фізичних властивостей важливе значення набувають
ультразвукові методи, які базуються на вимірюванні швидкостей поширення і
поглинання пружних хвиль [34]. Перевага ультразвукових методів полягає в тому,
що вони дозволяють досліджувати силове поле молекул, динаміку руху кінетичних
одиниць, отримати інформацію про внутрішню структуру матеріалу без його
руйнування [34].
Дослідження механічних
динамічних характеристик ПКМ пов¢язане з вимірюванням швидкостей
поширення поздовжньої (
) та
поперечної (
)
ультразвукових хвиль та відповідних коефіцієнтів їх затухання (al, at).
Робота експериментальної
ультразвукової установки, яка працює на частоті 0,4 МГц, ґрунтується на
імпульсному методі з прохідним сигналом у поєднанні з методом обертової
пластини.
Розроблена [34]
експериментальна установка за один прийом дозволяє за допомогою диференціальної
кювети в області температур, обмежених точкою Кюрі п’єзоперетворювачів,
визначити поздовжню і поперечну швидкості поширення пружних хвиль, а також
коефіцієнти їх поглинання.
Швидкість поширення
поздовжньої хвилі у зразку розраховувалася за співвідношенням :
(2.1)
Швидкість поширення
поперечної хвилі у зразку визначали методом оборотної пластини і розраховували
за наступним співвідношенням:
, (2.2)
де d -
товщина зразка;
p -
швидкість поширення ультразвукової хвилі в імерсійній рідині при температурі
дослідження; Dtl,t -
час проходження ультразвукового сигналу через досліджуваний зразок, виміряний
вимірником часових інтервалів; a - кут повороту зразка.
На основі математичної
обробки результатів проведених експериментів відносні похибки вимірювання
в’язкопружних властивостей композицій складають:
Густина ()
ПКМ вимірювалася ділатометричним методом, в основу якого покладено метод
гідростатичного зважування (відносна похибка вимірювань густини =0,03
% при =0,95).
Розроблений автоматичний
комплекс для широкотемпературних вимірювань теплофізичних величин ПКМ на базі
серійних установок типу ”ИТ-С-400”(ГОСТ 8.001-71) та ”ИТ--400”(ГОСТ
8.001-80), в основу принципу роботи яких покладено метод монотонного нагріву
зразка, дозволив дослідити температурні залежності питомої теплоємності (ср)
та теплопровідності () композицій
при контролі температури з точністю Т=0,1%.
Похибка вимірювань ср не перевищує 1 %, - 3
% при =0,95
у всьому робочому діапазоні температур.
Розділ
ІІІ. Фрактальні розмірності полівінілхлоридних систем та процеси
структуроутворення в них
3.1
Коефіцієнт Пуассона лінійних аморфних полімерів та їх систем
При розгляді коливальних процесів у
гетерогенних полімерних системах, вважалося, що взаємодія між структурними
елементами описується гармонічним наближенням.
Проте в більшості випадків у таких
системах крім гармонічних ефектів знаходять прояв і ангармонічні. Для
характеристики перших ефектів використовують коефіцієнт Пуассона, який є
параметром лінійної теорії пружності, а для характеристики відхилення від
лінійності сил взаємодії між структурними елементами макромолекул застосовують
параметр Грюнайзена. Коефіцієнт Пуассона характеризує зміну об’єму системи при
одноосній деформації:
(3.1)
і може змінюватися в межах
[35] -1 < n
< 0,5. До того ж, слід зауважити, що коефіцієнт Пуассона є структурно більш
чутливою характеристикою в порівнянні з пружними модулями [36].
Якщо відомі швидкості поширення
поздовжніх і поперечних ультразвукових хвиль у гетерогенних полімерних
системах, значення коефіцієнта Пуассона знаходять як [37]:
(3.2)
З іншого боку коефіцієнт
Пуассона можна виразити через об¢ємний модуль пружності і модуль
зсуву згідно співвідношення [38]:
(3.3)
Використавши значення
і
, а також
значення К і m
провели обчислення коефіцієнта Пуассона для полімерних систем. Як показують
результати розрахунків, згідно співвідношення (3.2) виконані для вихідних ПВХ і
ПВБ значення n
складають 0,36 і 0,37. При проведенні розрахунків згідно співвідношення (3.3)
значення n
рівні 0,38, що співпадає з значенням коефіцієнта Пуассона отриманого в роботі [39]
близькі за значенням n,
обчисленими згідно виразу
, за
результатами експериментальних досліджень статичних модулів. При порівнянні
відповідних значень n
для ПВХ, ПВБ з іншими полімерами можна вказати на те, що в ПВХ полярні бокові
групи забезпечують достатньо ефективну молекулярну взаємодію. Також ефективна
взаємодія характерна і для громіздких бокових груп ПВБ, оскільки коефіцієнт
Пуассона для даного полімеру близький до значень n ПВХ.
Дослідження концентраційної
залежності n для
полімерних систем наповнених мінеральними наповнювачами (таблиця 3.1) показує,
що в області малого вмісту (j £ 2 об.%) інгредієнтів значення
коефіцієнта Пуассона для таких систем перевищує відповідні значення n для
вихідного полімера. Такий характер залежності n від j знаходить
своє пояснення в рамках концепції впливу незначних часток наповнювача на
процеси формування структури гетерогенних полімерних систем. При введені
незначної частки наповнювача зростає вміст межового шару, коли розглядати
наповнені полімерні системи як трьохкомпонентні: полімерна матриця - межовий
шар - наповнювач. Такий підхід дозволяє розглядати полімерну систему, як таку в
якій ніяких структурних змін не відбувається в порівнянні з вихідним полімером.
Введення перших часток наповнювача приводить до зростання вмісту межового шару
в системі від 5,4 об.% при j = 0,1 об.% ФГPb до 10,8 об.% при j = j = 2 об.% ФГPb,
і відповідно від 9,9 об. % при j = 0,1 об.% ФГHg до 15,3 об.% при j = 2 об.% ФГHg
і 10,7 об.% при j =
0,1 об.% ФГBi до 17,4 об.% при j = 2 об.% ФГВі
[40]. Для систем наповнених ФГ відповідно значення концентрації межового шару
складають 8,7 об.% при j
= 0,1 об.% до 28,2 об.% при j = 2 об.% ФГ. Як видно з наведених даних в
області концентрацій наповнювача 0 - 2 об.% об¢ємний вміст
межового шару в системі інтенсивно зростає, що зумовлює процеси переносу
структурних елементів з полімерної матриці в межовий шар. Процес переходу
структурних елементів приводить до зростання їх інтенсивності руху, а
відповідно до сильнішого прояву нелінійності міжатомних сил як між самими
структурними елементами макромолекул вихідних полімерів, так і тими
структурними елементами макромолекул, які взаємодіють з поверхнею наповнювача.
Таблиця 3.1
Коефіцієнт Пуассона, параметр
Грюнайзена, структурні характеристики ПВХ - систем при Т = 293 К
|
j
об.%
|
n
(спів. 3.2)
|
n
(спів. 3.3)
|
Евзаєм. ×10-20,
Дж
|
Рвн, МПа
|
Екоггез., кДж/моль
|
m2
|
eВ
|
|
ПВХ + ФГ
|
|
0,1
|
0,37
|
0,38
|
1,755
|
229
|
10,573
|
5,3
|
0,10
|
|
0,5
|
0,37
|
0,38
|
1,942
|
254
|
11,694
|
5,3
|
0,09
|
|
1,0
|
0,36
|
0,37
|
1,995
|
263
|
12,021
|
4,9
|
0,11
|
|
2,0
|
0,36
|
0,37
|
2,027
|
272
|
12,212
|
4,9
|
0,13
|
|
3,0
|
0,35
|
0,36
|
2,120
|
289
|
12,772
|
44,5
|
0,10
|
|
5,0
|
0,35
|
0,36
|
2,163
|
301
|
13,027
|
4,5
|
0,10
|
|
10,0
|
0,33
|
0,33
|
2,130
|
315
|
12,834
|
3,9
|
0,11
|
|
20,0
|
0,33
|
0,33
|
2,005
|
333
|
12,079
|
3,9
|
0,10
|
|
ПВХ + ФГHg
|
|
0,1
|
0,37
|
0,38
|
1,786
|
232
|
10,761
|
5,3
|
0,10
|
|
0,5
|
0,36
|
0,37
|
1,758
|
230
|
10,589
|
4,9
|
0,10
|
|
1,0
|
0,34
|
0,35
|
1,992
|
261
|
12,000
|
4,2
|
0,11
|
|
2,0
|
0,36
|
0,37
|
1,870
|
250
|
11,265
|
4,9
|
0,10
|
|
3,0
|
0,36
|
0,37
|
1,937
|
263
|
11,665
|
4,9
|
0,10
|
|
5,0
|
0,34
|
0,34
|
2,090
|
289
|
12,590
|
4,2
|
0,11
|
|
10,0
|
0,34
|
0,34
|
2,054
|
298
|
12,374
|
4,2
|
0,12
|
|
20,0
|
0,33
|
0,33
|
2,072
|
325
|
12,483
|
3,9
|
0,12
|
|
ПВХ + ФГPb
|
|
0,1
|
0,37
|
0,38
|
1,841
|
239
|
11,068
|
5,3
|
0,10
|
|
0,5
|
0,37
|
0,38
|
1,728
|
227
|
10,406
|
5,3
|
0,09
|
|
1,0
|
0,37
|
0,38
|
1,737
|
228
|
10,464
|
5,3
|
0,09
|
|
2,0
|
0,37
|
1,728
|
231
|
10,409
|
5,3
|
0,09
|
|
3,0
|
0,36
|
0,37
|
1,870
|
254
|
11,266
|
4,9
|
0,10
|
|
5,0
|
0,36
|
0,37
|
1,989
|
275
|
11,979
|
4,9
|
0,10
|
|
10,0
|
0,35
|
0,36
|
2,247
|
326
|
13,537
|
4,5
|
0,11
|
|
20,0
|
0,33
|
0,34
|
2,665
|
418
|
16,056
|
4,9
|
0,12
|
|
ПВХ + ФГBi
|
|
0,1
|
0,37
|
0,38
|
1,824
|
237
|
10,991
|
5,3
|
0,09
|
|
0,5
|
0,37
|
0,38
|
1,728
|
227
|
10,413
|
5,3
|
0,09
|
|
1,0
|
0,36
|
0,37
|
1,844
|
242
|
11,105
|
4,9
|
0,10
|
|
2,0
|
0,37
|
0,38
|
1,810
|
242
|
10,904
|
5,3
|
0,09
|
|
3,0
|
0,36
|
0,37
|
1,892
|
257
|
11,397
|
4,2
|
0,10
|
|
5,0
|
0,34
|
0,34
|
2,068
|
286
|
12,457
|
4,2
|
0,11
|
|
10,0
|
0,33
|
0,34
|
2,316
|
336
|
13,952
|
3,9
|
0,12
|
|
20,0
|
0,30
|
0,31
|
2,436
|
382
|
14,673
|
3,3
|
0,13
|
У більшій мірі проявляються лінійні
ефекти при реалізації міжмолекулярної взаємодії ( зменшення коефіцієнту
Пуассона ) при зростанні частки наповнювача в полімерних системах. Зростання
концентрації наповнювача приводить до того, що частка полімеру, який переходить
у межовий шар, зростає менш інтенсивно. Так при j
= 10 об.% частка межового шару для ФГPb становить 16,8 об.%, ФГВі
- 21,0 об.%, ФГHg - 18,9 об.%, ФГ - 4,5 об.% і прямує до насичення.
Перерозподіл структурних елементів між областями матриця - межовий шар
приводить до сповільнення релаксаційних процесів, а отже зменшення рухливості
структурних елементів макромолекул.
Рис. 3.1. Температурна
залежність величини n
для систем:1 - ПВХ; 2 - ПВХ+3,0 об.%ФГ
Як видно з рис. 3.1 для
вихідного ПВХ, полімер-полімерних систем, полімерних систем наповнених
мінеральним наповнювачем ріст температури зумовлює незначне підвищення n. Найбільш
істотні зміни коефіцієнта Пуассона спостерігаються при досягненні температури
склування для даних систем. Слід зауважити, що у всьому розглянутому діапазоні
температур n
полімер-полімерних систем має найбільші значення, для систем ПВХ + 3 об.% ФГ
значення коефіцієнта Пуассона найнижчі. Зміни значень n від Т
зумовлені тим, що при зростанні температури збільшується амплітуда коливань
структурних елементів і зростає доля флуктуаційного вільного об’єму.
Підтвердженням того, що зростає амплітуда теплових коливань структурних
елементів, а отже посилюється ангармонізм міжмолекулярних взаємодій є
взаємозв’язок коефіцієнта Пуассона з температурою Дебая
. Якщо виходити
з рівняння Грюнайзена [41]:
(3.4)
де a -
коефіцієнт об¢ємного
розширення,
-
теплоємність, g -
параметр Грюнайзена, що характеризує ангармонізм коливань решітки, то права частина
цього рівняння виражає зв’язок з тепловими коливаннями структурних елементів у
решітці. У свою чергу величина
, де m - маса структурного елементу,
визначає величину середньоквадратичного зміщення від положення рівноваги.
Вважаючи температуру Дебая, як функцію абсолютної температури отримали графічно
залежність
від
(рис.3.2),
яка є фактично лінійною функцією такий характер залежності вказує на зростання
середньоквадратичного зміщення при зростанні температури системи.
Рис. 3.2.
Залежність величини
для ПВХ (1), ПВХ+3 об.%ФГ
(2)
3.2
Фрактальні розмірності структуроутворень аморфних полімерів та їх систем
Так як полімери складаються із
довгих ланцюгових молекул, то однією із важливих характеристик є гнучкість
макромолекули [42]. Розділяють
декілька механізмів гнучкості [43] і описують їх прояви на основі різнорідних
модельних підходів [44]. На основі цих підходів між гнучкістю
і фрактальною розмірністю встановлений взаємозв’язок :
(3.5)
Між основними структурними
концепціями гнучкості існує взаємозв’язок який математично виражається наступними
рівняннями:
(3.6)
або
(3.7)
Врахування об’ємних ефектів
(d=3), дає можливість отримати співвідношення для визначення фрактальної
розмірності макромолекулярних структуроутворень:
(3.8)
(3.9)
Оскільки концентрація
кластерів (φкл)
для термодинамічно нерівноважної системи є функцією часових масштабів, то
співвідношення (3.8) і (3.9) визначають динамічну фрактальну розмірність.
Якщо для структурних
елементів ввести поняття часу релаксації (τ0), а
φкл0 -
величина, що характеризує концентрацію кластерів при t→∞,
отримаємо часову залежність [45]:
(3.10)
Підстановка цього значення φкл(t) у
співвідношення (3.8) дає значення залежності dƒ від
t:
(3.11)
Час релаксації структурних
елементів макромолекул (атомних груп, сегментів) визначається на основі
експериментальних інфрачервоних, теплових, ультразвукових досліджень [46].
Експериментальні методи
малокутового розсіювання рентгенівських променів дають можливість безпосередньо
визначити df. Інтенсивність
розсіювання (I) залежить від хвильового вектора (k) як:
(3.12)
де х - показник Порода. Для
об’ємних фракталів
(структуроутворення в об’ємі полімеру) цей показник співпадає з фрактальною
розмірністю (x=df, 2 ≤
df ≤
3 ).
Проведені дослідження цим
методом для аморфних склоподібних полімерів дають такі результати: для
полістиролу df=2,75,
поліметилметакрилату - 2,70, полівінілхлориду - 2,71.
Наявність флуктуаційного
вільного об’єму в аморфних полімерах дає можливість розглядати їх як
фронтальні, розмірність яких співпадає з розмірністю областей локалізації “
надлишкової ” енергії Df. Така
розмірність характеризує степінь збудження розпушеної матриці в кластерній
моделі аморфного полімера:
(3.13)
Величина Df для
розглянутих вище полімерів складає 5,00; 4,33; 4,34 відповідно.
Для фрактальної
межі з розмірністю D > 2 справедливе співвідношення:
(3.14)
Порівняння значень D і Df показали,
що вони близькі, а саме значення D складають:
5,12; 5,20; 4,40. Якщо подати структуру аморфного блочного полімера як кластер
Віттена-Сандера, отриманого дифузійною обмеженою агрегацією та використати
метод автокореляційної функції (C(r)=<p(r/) p(r/+r)),
отримаємо скейлінгове співвідношення:

, (3.15)
для відстаней r,
більших декількох кроків решітки. У цьому співвідношенні величина α визначається
евклідовою розмірністю d і фронтальною розмірністю кластера D:
α = d - D (3.16)
Визначивши з нахилу лінійної
авто кореляційної функції α ,оцінюють
фронтальну розмірність кластера :
D = d - α (3.17)
З літературних джерел [47]
відомо, що структура склоподібних полімерів в рамках кластерної моделі
описується теорією перколяції, а перколяційний кластер порогу протікання є
фракталом, то за критичними індексами перколяції β і ν:
(3.18)
Якщо відома фрактальна
розмірність, то критичні індекси перколяції знаходяться за співвідношеннями:
(3.19)
(3.20)
(3.21)
Для трьохмірних перколяційних
систем допустимі інтервали зміни складають (
;
;
).
На основі аналізів процесів
газопроникності полімерів коефіцієнт газопроникності Р пов’язаний з фрактальною
розмірністю рівнянням:

(3.22)
де Р0 - константа;
fc -
частка флуктуаційного вільного об’єму; dh -
діаметр мікропорожнини; dm - діаметр
молекули газу.
Розподіл розмірів
мікропорожнин вільного об’єму визначається величиною Df і у
випадку d=3,
отримують:
(3.23)
У випадку структуроутворень
сітчастих полімерів, використання моделі конкуренції процесів росту зародків
впорядкованих областей дає можливість отримати рівняння для df:
(3.24)
де ƒ -
функціональність вузлів хімічної зшивки, ν0 -
густина зшивки.
Якщо макромолекула перебуває
в конформації гаусового клубка, який є фрактальним об’єктом і характеризується
фрактальною (Хаусдорфою) розмірністю df, що
описує розподіл елементів клубка в просторі, то її можна виразити через
спектральну розмірність ds:
(3.25)
Коли макромолекулярний клубок
перебуває в розчині, то
(3.26)
Крім того, в цьому випадку,
величину df
можна визначити за показником α в рівнянні
Марка-Куна-Хаувінка:
(3.27)
В рамках фрактального аналізу
отримані аналітичні співвідношення між фрактальною розмірністю
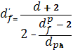
макромолекулярного клубка в розчині df' і
в конденсованому стані df для лінійних
полімерів:
, (3.28)
а для розгалужених :
(3.29)
Таким чином для визначення
величини df
полімерів, макромолекул яких перебувають в конформації гаусового клубка
потрібно знати значення df'. Для
визначення df'
використовують взаємозв’язок між молекулярною масою полімера μ і
постійною Хаггінса æ, яка характеризує інтенсивність
взаємодії структурних елементів макромолекул - молекул розчинника
(низькомолекулярного, високомолекулярного)
(3.30)
де К - константа в рівнянні Марка-Куна-Хаувінка.
В залежності від молекулярних характеристик макромолекули полімера σ і S
залежність df'
подається у вигляді:

(3.31)
Величина df'
визначається трьома видами взаємодії, а саме внутрішньо- і міжмолекулярною
всередині гаусового клубка і об’ємні взаємодії клубка з середовищем розчинника.
Оскільки для системи полімер-розчинник параметр Флорі-Хаггілса визначається як:

(3.32)
де Е - енергія випаровування
для одного моля розчинника, δп, δр -
параметри розчинності полімера і розчинника,
æs -
ентропійна складова параметру Флорі-Хаггінса (емпіричний параметр).
Аналіз експериментальних
даних для великої кількості полімерів [48] дозволив отримати кореляційну
залежність виду:
(3.33)
Якщо враховувати енергію
дисперсійних взаємодій (параметр δƒе),
енергію дипольних зв’язків, водневих (параметр δc),
акцепторно-донорний зв’язок, то для величини df'
отримують:

(3.34)
Експериментальні дослідження
в’язкості полімера в θ-розчиннику, дають можливість
визначити фрактальну розмірність полімерного клубка в ньому:
(3.35)
де η, η0 -
характеристичні в’язкості полімера і розчинника.
Для гнучколанцюгових та
жорстколанцюгових полімерів встановлений взаємозв’язок між df' і
довжиною сегмента А (виражається в
)
(3.36)
(3.37)
У випадку розгалуження
полімерів, для df' отриманий
вираз:
(3.38)
де ηр, ηл -
відповідно характеристичні в’язкості для розгалуженого полімера і його
лінійного аналога; g - фактор розгалуження .
Врахування фонтомної
розмірності гаусового клубка ( не розглядається взаємодія виключеного об’єму ):
(3.39)
дає можливість визначити df' як

(3.40)
де d -
розмірність ,
-
фронтальна розмірність розчинна.
3.3
Оцінки параметрів рухливості структурних елементів макромолекул лінійних
аморфних полімерів на основі фрактальних розмірностей
Для оцінки лінійних розмірів
кластерів у роботі [49] пропонується розглядати поведінку фононного газу, який
характеризується в’язкістю
і часом релаксації τ:
. (3.41)
Проведені обчислення для
цілого ряду полімерних систем дають значення від 0,2 нм до 0,4 нм. Для
визначення розмірів міжкластерних областей вважається, що в області температур
нижчих за температуру склування, процес утворення пустот («дірок») відбувається
в областях розпушеного упакування елементів структури. Тоді співставлення
лінійних розмірів міжкластерних областей об’єму дірки
та розмірам
ланки макромолекули флуктуаційного вільного об’єму
, можна
визначити лінійні розміри міжкластерних областей згідно із співвідношенням:
. (3.42)
Якщо виходити з
трикомпонентної моделі аморфних полімерів, то при розгляді деформацій зсуву,
які відбуваються по перехідних областях порядок-безпорядок, можна визначити
лінійні розміри цих структуроутворень як:
, (3.43)
де
- динамічна
в’язкість, τ -
час релаксації структуроутворення при деформаціях зсуву. Розрахунки показують,
що величина
міститься в
межах 1,0-2,0 нм, а
-
0,3-0,4нм. Таким чином аморфний полімер можна розглядати як сукупність
наноструктур з лінійними розмірами
, тобто кластер-перехідна область -
міжкластерна область, із значною ймовірністю переходу структурних елементів із
кластерних областей у міжкластерні і навпаки через перехідну межу.
Використання такої моделі для
лінійних аморфних полімерів дає можливість вважати, що кластерні області
вкраплені в розпушену полімерну матрицю (міжкластерні утворення). Такі уявлення
на структурному рівні дозволяють розглядати лінійні аморфні полімери як
нанокомпозити і використовувати мікрокомпозитні моделі для опису їх поведінки
[50].
Для визначення відносної
частки кластерів у ПВХ використаємо перколяційне співвідношення запропоноване в
роботі [51]:
, (3.44)
де Т -
температура склування. Для ПВХ Тс=353 К [52].
На рис. 3.3 подана залежність
від Т.
Згідно цієї залежності частка кластерів зменшується із зростанням температури.
Проте цей процес зумовлений не тільки переходом структурних елементів
макромолекул із кластрених областей в міжкластерні, але й можливістю захоплення
кластерами ділянок макромолекул, що призводить до зростання лінійних розмірів
самих кластерів (крива 2, рис. 3.3).
Рис. 3.3.
Залежність
(1) і D (2)
від температури для ПВХ.
Згідно уявлень викладених у
роботах [53, 54] кластери відіграють роль багатофункціональних вузлів сітки
фізичних зв’язків, яку характеризують функціональністю кластера (F)
(число вихідних полімерних ланцюгів). Функціональність кластера знаходиться за
концепцією каучукової еластичності [55]:
, (3.45)
де
-
рівноважний модуль зсуву, Vкл -
об’єм кластера, k - стала Больцмана.
Вважаючи кластер кульовим
утворенням радіуса
, отримаємо:
. (3.46)
На рис. 3.4 подана
температурна залежність F. До того ж
при обчисленні F вважали, що
рівний
динамічному модулю зсуву при відповідних температурах. Значення F
дають можливість визначити число сегментів в одному кластері
[56].
Рис. 3.4.
Температурна залежність F (1)
і nкл (2)
для ПВХ.
Аналіз залежностей F і n від
Т вказує на те, що розпад кластерів стає помітним лише при температурі -переходу,
яка для ПВХ складає 325-333 К [57, 58].
Використання мікрокомпозитних
моделей та їх трактування для залежності ступеня підсилення
[59] від
об’ємного вмісту дають можливість оцінити модулі поздовжньої деформації і зсуву
для розпушеної ділянки (міжкластерних областей). Для цього вважається, що
модуль Ек рівний модулю полімера, Ематр - модулю
міжкластерної області. В області температур склоподібного стану, як було
показано в роботі [60], між кластерами та розпушеними областями спостерігається
нулева адгезійна міцність при великому коефіцієнті тертя між наповнювачем та
матрицею. Тоді модулі пружності міжкластерних областей визначаються як:
; (3.47)
.
У температурному інтервалі,
що відповідає -переходу,
ідеальна адгезія між нанонаповнювачем і матрицею описується рівнянням Кернера,
із якого отримаємо, що:
(3.48)
Результати розрахунків
динамічних модулів деформації полімера і міжкластерних областей в залежності
від температури подали на рис. 3.5.
Рис. 3.5.
Температурна залежність Еп (1), п (2)
та Ем.обл (3), м.обл (4)
для ПВХ.
Якщо вважати, згідно
кластерної моделі, густину кластерів і міжкластерних областей однаковою і
рівною густині ПВХ, то значення модулів поздовжньої та деформації зсуву
дозволяє визначити швидкості поширення ультразвукових хвиль у міжкластерних
областях. Для їх визначення використаємо співвідношення:
;
. (3.49)
Значення швидкості поширення
поздовжніх і поперечних звукових хвиль дають можливість визначити коефіцієнт
Пуассона і параметр Грюнайзена як для самого полімера так і розпушеної ділянки.
Коефіцієнт Пуассона визначається згідно співвідношення (3.2) або за рівнянням:
, (3.50)
а решітковий параметр Грюнайзена
як:
. (3.51)
Згідно підходу
запропонованого в роботі [61], решітковий параметр Грюнайзена визначається як
, де
- середня
швидкість фононів в системі, а V - питомий
об’єм.
Результати розрахунків та l для
міжкластерних областей подані в таблиці 3.2.
Таблиця 3.2.
Температурна
залежність в’язкопружних властивостей і фрактальних вимірностей для розпушених
областей ПВХ
|
Т, К
|
293
|
303
|
313
|
323
|
333
|
343
|
353
|
|
,
м/с2080201019301880185018401810
|
|
|
|
|
|
|
|
|
,
м/с930930930900870870850
|
|
|
|
|
|
|
|
|
|
0,38
|
0,37
|
0,35
|
0,35
|
0,36
|
0,36
|
0,35
|
|
l
|
5,75
|
5,27
|
4,5
|
4,5
|
4,9
|
4,9
|
4,5
|
|
df
|
2,78
|
2,74
|
2,70
|
2,70
|
2,72
|
2,72
|
2,70
|
За значеннями
та l
визначали фрактальну вимірність структуроутворень ПВХ [62]:
, (3.52)
Або
, (3.53)
де d -
евклідова вимірність простору.
Фрактальна вимірність df,
дає можливість проаналізувати рухливість ділянок макромолекул, як в кластерах
так і в міжкластерних областях, яка зумовлена дією температурного поля. На
основі значень df визначали
фрактальну вимірність рухливості ділянок полімерного ланцюга згідно [63]:
, (3.54)
nc -
кількість статистичних сегментів, що відповідає цій ділянці.
Якщо вважати, що nc = nкл, то
фрактальна вимірність самого кластера рівна:
. (3.55)
Результати розрахунків
величини dД
подані в таблиці 3.3. Аналіз температурної залежності цієї величини вказує на
те, що в області -переходу фрактальна
вимірність dД
зменшується, за рахунок послаблення міжмолекулярної взаємодії між сегментами
сусідніх ділянок макромолекул. Значення nкл
дають можливість визначити довжину ділянки між защемленнями кластерів, як:
, (3.56)
де -
енергетична жорсткість макромолекул ПВХ,
l0 -
довжина реального зв’язку скелетного ланцюга.
Таблиця 3.3. Температурна
залежність мікроструктур них параметрів і фрактальних вимірностей для ПВХ
|
Т, К
|
293
|
303
|
313
|
323
|
333
|
343
|
353
|
|
|
0,37
|
0,36
|
0,35
|
0,35
|
0,36
|
0,35
|
0,35
|
|
l
|
5,27
|
4,9
|
4,5
|
4,5
|
4,9
|
4,5
|
4,5
|
|
df
|
2,74
|
2,72
|
2,70
|
2,70
|
2,72
|
2,70
|
2,70
|
|
dД
|
1,72
|
1,78
|
1,84
|
1,74
|
1,69
|
1,63
|
1,57
|
|
|
1,42
|
1,40
|
1,38
|
1,36
|
1,33
|
1,30
|
1,27
|
|
Lc, мкм
(спів. 3.56)
|
33,06
|
32,24
|
31,52
|
29,47
|
24,38
|
21,82
|
19,53
|
|
Lc, мкм
(спів. 3.57)
|
33,80
|
32,34
|
31,88
|
29,32
|
24,57
|
22,02
|
19,56
|
Енергетичну жорсткість макромолекул
ПВХ визначали згідно підходів запропонованих у роботах [64, 65] і температурна
залежність
подана в таблиці 3.3. За іншим підходом значення Lc
можна визначити на основі значень df
і dД
як [66]:
. (3.57)
Порівняння цих значень
обчислених на основі співвідношень (3.56) і (3.57) показують, що вони близькі
між собою, а аналіз температурної залежності засвідчує зменшення Lc з
ростом Т. Такий характер залежності Lc
вказує не тільки на зменшення енергетичної жорсткості структурних елементів
макромолекул ПВХ, але й збільшення ймовірності руйнування кластерів при
зростанні температури.
Наноструктурний підхід до
опису морфологічних особливостей лінійних аморфних полімерів вказує на те, що
вони є самоподібними, а тому процеси рухливості структурних елементів
макромолекул ПВХ, як в кластерах так і в розпушених областях, проаналізуємо в
рамках теорії самоподібних стохастичних систем [67, 68]. Відповідно до неї
коефіцієнт дифузії структурних елементів макромолекул ПВХ визначається як:
. (3.58)
Рис. 3.6.
Залежність коефіцієнта дифузії від лінійних розмірів структурних елементів
макромолекул з показниками -0,74 (1); -0,70 (2)
Аналіз цих залежностей (рис.
3.6) показує, що в межах кластерів, коли довжина структурних одиниць незначна
(1,5-2
) коефіцієнт
дифузії для них значний і зростає в температурному діапазоні і -переходів.
Аналогічна картина спостерігається і для таких же структурних елементів, що
перебувають в міжкластерних областях. Коефіцієнт дифузії для сегментів
макромолекул, що перебувають в кластерах і міжкластерних областях, зменшується
тобто рухливість самих наноструктурних утворень утруднена. Рухливість
об’єднання кластерів, як єдиного цілого (x = Lc)
дуже утруднена в розпушеній матриці. Зростання температури не зумовлює
зростання рухливості таких структуроутворень, хоч і їх лінійні розміри
змінюються.
Висновки
У межах фрактального підходу та
кластерної моделі аморфних полімерів досліджені процеси структуроутворення в
аморфних лінійних полімерах та визначено їх вплив на фізичні властивості
систем. На основі проведених досліджень зроблені наступні висновки:
. Встановлено, що коефіцієнт
Пуассона є функцією вмісту наповнювача в системі і залежить від дії
температурного поля. Найбільш суттєві зміни коефіцієнта Пуассона
спостерігаються в області малого вмісту наповнювача (0,1-0,5 об.%), що
зумовлено інтенсивністю формування межових шарів.
. Визначені фрактальні розмірності
структуроутворень для кластерної моделі аморфного стану полімерів. Показано, що
аморфний полімер можна розглядати як трьохкомпонентну модель кластер-перехідна
межа-розпушена область.
. Використання нанорозмірних
підходів до аналізу процесів структуроутворення в лінійних аморфних полімерах
дозволяє використовувати мікрокомпозитні моделі для визначення в’язкопружних
властивостей компонентів кластерної моделі аморфного стану. Крім того, такі
підходи дозволяють проаналізувати процеси рухливості структурних елементів
макромолекул, що перебувають в різних надмолекулярних утвореннях. Перспективним
напрямком досліджень є вивчення питання коливання кластерів, як
структуроутворень одномірного кристалу в розпушеній матриці (міжкластерних
областях) полімеру.
Література
1. Каргин В.А. Краткие
очерки по физико-химии полимеров/ В.А. Каргин, Г.Л. Слонимский. - Москва:
Химия, 1967. - 170 с.
2. Лазарев В.Б.
Синергетика и фрактальная термомеханика неорганических материалов. ІІІ
Фрактальная термомеханика разрушения твердых тел/ В.Б. Лазарев, А.С. Беланкин,
А.Д. Изотов// Неорганические материалы. - 1993. - Т.29, №8. - С.1027-1045.
3. Flory P.
Principles of polymer chemistry/ P.Flory - Ithaka: Cornell univ. press, 1957 -
627 p.
4. Yeh G.S.Y.
A structural study model for the amorphous of polymers: folded-chain fringed
micellar grain model/ G.S.Y.Yeh// Ibid. - 1972. - V.6, №3. - Р.465-478.
. Klement J.
Deformation and annealing behaviour. I. Polyethylene terephtalate films/ J.
Klement, P.H. Geil// J. Macromol. Sci. - 1971. - V.5, №3. - Р.505-534.
6. Арисаков С.А.
Надмолекулярная структура аморфных полимеров/ С.А. Арисаков, Н.Ф. Бакеев, В.А.
Кабанов// Высокомолекулярные соединения. - 1973. - Т.15(А), №5. - С.1154-1167.
7. Robertson R.E.
Polymer order and polymer density/ R.E. Robertson// J. Phys. Chem. - 1965. -
V.69, №5. - P.1575-1578.
8. О складывании
макромолекул в блочных полимерах/ В.П. Привалко, Ю.В. Пасечник, Л.И.
Безрук [и др.]// Высокомолекулярные соединения. - 1973. - Т.15(Б), №5. - С.381-386.
. Липатов Ю.С. О
складывании макромолекул в блочных полимерах: Структура зацеплений в аморфных
полимерах/ Ю.С. Липатов, В.П. Привалко// Высокомолекулярные соединения. - 1974.
- Т.16(А), №7. - С.1562-1569.
. Липатов Ю.С. О
возможности складывания макромолекул в аморфных полимерах/ Ю.С. Липатов, В.П.
Привалко// Высокомолекулярные соединения. - 1976. - Т.18(А), №5. - С.991-996.
11. Lipatov Yu.
Entanglement concept and chain conformations in bulk amorphous polymer/ Yu.
Lipatov, V. Privalko// Macromol. Chem. - 1974. - V.175. - P.641-654.
12. Белоусов В.Н.
Механические свойства стеклообразного полисульфона/ В.Н. Белоусов, А.К.
Микитаев// Высокомолекулярные соединения. - 1989. - Т.31(А), №3. - С.482-485.
. Зацепления в
стеклообразных линейных аморфных полимерах/ В.Н. Белоусов, Г.В. Козлов,
Ю.С. Липатов [и др.]// Доклады АН СССР. - 1990. - Т.313, №3. - С.630-633.
. Белоусов В.Н.
Температурная зависимость параметров газопроницаемости полисульфона/ В.Н.
Белоусов, В.В. Балан, В.В. Микитаев// Высокомолекулярные соединения. - 1989. -
Т.31(Б), №8. - С.604-607.
. Козлов Г.В.
Флуктуационная сетка молекулярных зацеплений и прочность аморфных
стеклообразных полимеров/ Г.В. Козлов, В.Н. Белоусов, Ю.С. Липатов// Доклады АН
СССР. - 1990. - №8(Б). - С.48-51.
. Белоусов В.Н. Локальный
порядок и стеклования линейных аморфных полимеров: авториф. дис. на соискание
ученой степени доктора хим.наук.: спец. 01.04.18 «Физика полимеров»/ В.Н.
Белоусов - Киев, 1991. - 45 с.
17. The mode of fluctuation
free volume and cluster model of amorphous polymers/ D.S. Sanditov, G.V.
Kozlov, V.M. Belousov [and others]// Ukrainian polymer journal/ - 1992. - V.1,
№3-4. - Р.241-258.
18. Кластерная модель и
модель флуктуационного свободного объема полимерных стекол/ Д.С. Сандитов,
Г.В. Козлов, В.Н. Белоусов [и др.]// Физика и химия стекла. - 1994. - Т.20, №1.
- С.3-12.
. Сандитов Д.С.
Условия стеклования в теории флуктуационного свободного объема и критерий
плавления Линдемана/ Д.С. Сандитов, С.Ш. Сангадиев// Физика и химия стекла. -
1998. - Т.24, №4. - С.417-428.
. Сандитов Д.С.
Дырочно-кластерная модель пластической деформации стеклообразных твердых тел/
Д.С. Сандитов, Г.В. Козлов, Б.Д. Сандитов// Физика и химия стекла. - 1996. -
Т.22, №6. - С.683-693.
. Білошенко В.О.
Структурна модифікація полімерів та полімерних композитів, індуційована високим
тиском: автореф. дис. на здобуття наук. ступеня доктора технічних наук: спец.
05.17.06 «Технологія одержування та переробки полімерних та композиційних
матеріалів»/ В.О. Білошенко. - Київ, 1996. - 37 с.
. Козлов Г.В.
Кластерная модель аморфного состояния полимеров/ Г.В. Козлов, В.У. Новиков//
Успехи физических наук. - 2001. - Т.171, №7. - С.717-764.
23. Готлиб
Ю.Я. Физическая кинетика макромолекул/
Готлиб Ю.Я., Даринский А.А., Светлов Ю.С. - Ленград: Химия, 1986. - 272 с.
24. Максимов А.В.
Теория упорядочения полимерных систем с ориентационно-деформационными
взаимодействиями в приближении среднего поля/ А.В. Максимов, О.Г. Максимова,
Д.С. Федоров// Высокомолекулярные соединения. - 2006. - Т.48(А), №7. - С.1151-1165.
. Малкин А.Я.
Неустойчивость при течении растворов и расплавов полимеров/ А.Я. Малкин// Высокомолекулярные
соединения. - 2006. - Т.48(С), №7. - С.1241-1262.
26. Липатов Ю.С. Физико-химические
основы наполнения полимеров. - М.: Химия, 1991. - 260с.
27. Принципы создания
композиционных полимерных материалов / Ал.Ал. Берлин, С.А. Вольфсон, В.Г.
Ошмян, Н.С. Ениколопов. - М.: Химия, 1990. - 240 с.
. Михлер Г.Х.
Молекулярная структура, морфология и механические свойства гетерогенных
полимерных систем // Высокомолекулярные соединения (А). - 1993. - Т. 35, № 11.
- С. 1850-1860.
. Бордюк Н.А.,
Колупаев Б.С., Волошин О.М. Влияние давления прессования на вязкоупругие и
структурно-механические свойства наполненного поливинилхлорида // Физика и
техника высоких давлений. - 1995. - № 3. - С. 49-58.
. Цянь Жень-Юань.
Определение молекулярных весов полимеров. - М.: Издатинлит, 1962. - 172 с.
. Бордюк Н.А.,
Волошин О.М., Колупаев Б.С., Липатов Ю.С. Модифицированный неорганический
синтетический фосфогипс как наполнитель поливинилхлорида // ІІІ Минский
международный форум. Тепломассообмент-ММФ-96. т.VI.
Тепломассообмен в реалогических системах. - Минск, 1996. - С. 229-233.
. Волошин О.М.
Одержання і дослідження впливу модифікованих форм фосфогіпсу як наповнювачів
гнучколанцюгових полімерів на фізико-механічні та теплофізичні їх властивості.
Автореферат дис. на здобуття вченого ступеня к. х. н. спец. 02.00.16 - хімія і
технологія композиційних матеріалів. Київ. - 1993. - 16 с.
. Максимцев Ю.Р.
Вплив електричного поля на процеси структуроутворення та релаксаційні
властивості пластифікованих систем на основі гнучколанцюгових полімерів.
Автореферат дис. на здобуття наукового ступеня к. ф.-м. наук спец. 01.04.19 -
фізика полімерів. Київ. - 2004. - 19 с.
. Колупаев Б.С.
Энергообменные процессы в металонаполненых гибкоцепных полимерах. Диссертация
на соискание ученой степени д.х.н. спец. 01.04.19 - физика полимеров. Ровно. -
1982. - 264 с.
. О некоторых
перспективных направлениях современной науки о полимерах // Высокомолекулярные соединения
(А). - 1990 - Т. 32, № 9. - С. 1795-1810.
. Карчин В.А.,
Сломинский Г.Л. Краткие очерки по физико-химии полимеров. - М.: Химия,
1967. - 170с.
. Колупаев Б.С.
Физико-химия полимеров. - Львов: Вища школа, 1978. - 160 с.
38. Де Женн П. Идеи
скейлинга в физике полимеров. - М.: Химия, 1982. - 368 с.
39. Бойко Ю.М., Герман М.Я.
Динамическая механическая спектроскопия ориентированных пленок полиэтилена
высокой плотности // Высокомолекулярные соединения. - 1988. - Т. 40(А), №2. -
С. 279-286.
40. Липатов Ю.С., Файнерман А.Е. О
минимально допустимой толщине граничного слоя полимерных систем // Доклады
АНСССР. - 1981. - Т. 256, №3. - С. 624-627.
41. Gruneisen E.
Handbuch der Physik. - Berlin: Springer Verlag, 1926.
- V. 10.
- Р.
7-59.
42. Турбин А.Ф. Фрактальные
множества, функции распределения/ А.Ф. Турбин, Н.В. Працевитый. - Киев: Наук.
думка, 1992. - 207 с.
43. Зельдович Я.Б.
Фракталы, подобие, промежуточная асимптотика/ Я.Б. Зельдович, Д.Д. Соколов//
Успехи физических наук. - 1985. - Т.146, №3. - С.493-506.
. Новиков В.В.
Отрицательный коэфициент Пуассона фрактальных структур/ В.В. Новиков, K.W.
Wojciechowski// Физика твердого тела. - 1999. - Т.41, Вып.12.
- С.2147-2153.
. Вязкоупругие свойства
наполненного ПВХ/ Ю.С. Липатов, Н.А. Бордюк, О.М. Волошин [и др.]//
Пластические массы.
- 1996. - Т.41, №4. - С.441-444.
. Механізм дисипації
енергії ультразвукових хвиль в модифікованих полімерних системах/ С.М.
Іваніщук, М.А. Бордюк, Б.С. Колупаєв [та ін.]// Український фізичний
журнал. - 1996. - Т.41, №4. - С.441-444.
. Дослідження процесів
дисипації механічної енергії в гетерогенних системах на основі гнучко
ланцюгових лінійних полімерів/ М.А. Бордюк, Т.М, Бордюк, О.М. Самонюк
[та ін.]// Журнал фізичних досліджень. - 2002. - Т.6, №3. - С.317-323.
. Колупаєв Б.С. Внутрішнє
тертя та дефект модуля зсуву в ПКМ/ Б.С. Колупаев// Фізика конденсованих
високомолекулярних систем. - 1997. - Вип.3. - С.3-5.
49. Колупаев Б.С.
Влияние силовых и температурных полей на релаксацию структурных элементов
композиционных полимерных материалов / Б.С. Колупаев, Н.А. Бордюк // Фізика
конденсованих високомолекулярних систем. - 1998. - Вип. 5. - С. 3-12.
50. Leidner J. The
strength of polymeric composites containing spherical fillers / J. Leidner,
R.T. Woodhams // J. Appl. Polymer. Sci. - 1974. - V. 18, №
8. - P. 1639-1654.
. Козлов Г.В.
Теория перколяции в физико-химии полимеров / Г.В. Козлов, В.З. Алоев. -
Нальчик: Полиграфсервис и Т, 2005. - 148 с.
. Теплофизические
свойства ПВХ, наполненного фосфогипсом и его модифицированными формами / Н.А.
Бордюк, О.М. Волошин, Ю.Н. Бестюк [и др.] // Пластические массы. - 1990. - № 8.
- С. 86-88.
. Зацепления в
стеклообразных линейных аморфных полимерах / В.Н. Белоусов, Г.В. Козлов, Ю.С.
Липатов [и др.] // Доклады АНСССР. - 1990. - Т. 313, № 3. - С. 630-633.
. Козлов Г.В.
Флуктационная сетка молекулярных зацеплений и прочность аморфных стеклообразных
полимеров / Козлов Г.В., Белоусов В.Н., Липатов Ю.С. // Доклады АН СССР, сер.
Б. - 1990. - № 8. - С. 48-51.
. Волынский А.Л.
Структурные аспекты неупругой деформации стеклообразных полимеров / А.Л.
Волынский, Н.Ф. Бакеев // Высокомолекулярные соединения (С). - 2005. - Т. 47, №
7. - С. 1332-1367.
. Козлов Г.В. Локальный
порядок в полимерах - описание в рамках модели необратимой коллоидной агрегации
/ Козлов Г.В., Шогенов В.Н., Микитаев А.К. // Инженерно-физический журнал. -
1998. - Т. 71, № 6. - С. 1012-1015.
. Бордюк Н.А.
Теплофизические свойства модифицированного поливинилхлорида / Н.А. Бордюк, О.М.
Волошин, Б.П. Демьянюк [и др.] // Высокомолекулярные соединения (А). - 1990. -
Т. 32, № 6. - С. 1232-1237.
. Колупаєв Б.С.
Вплив температурного поля на прояви ангармонічних ефектів у гетерогенних
полімерних системах на основі полівінілхлориду / М.А. Бордюк, Т.М. Бордюк, С.М.
Іваніщук [та ін.] // Фізика конденсованих високомолекулярних систем. - 2002. -
Вип. 9. - С. 16-19.
. Тугов И.И.
Модуль упругости дисперсно-наполненных композитов / И.И. Тугов, А.Ю. Шаулов //
Высокомолекулярные соединения (Б). - 1990. - Т. 32, № 7. - С. 527-529.
. Башоров М.Т.
Полимеры как естественные композиты: применение модели Лейднера-Вудхэмса /
Башоров М.Т., Козлов Г.В., Микитаев А.К. // Электронный научный журнал
«Исследовано в России». - 2009. - С. 111-123.
61. Gruneisen constant and
thermal properties of crystalline and glassy polymers / Y. Wada, A. Itani, T.
Nishi [and others] // J. Polym. Sci (A-2). - 1969. - V. 7, №
1. - Р. 201-209.
. Баланкин А.С.
Синергетика деформируемого тела. Ч. 1. / А.С. Баланкин. - Москва: МО СССР,
1991. - 302 с.
. Козлов Г.В.
Опис структури та властивостей екструдованих компонорів у межах фрактального
аналізу / Г.В. Козлов, В.О. Білошенко, М.А. Газаєв // УФЖ. - 1997. - Т. 42, №
1. - С. 43-46.
. Бордюк М.А.
Дослідження впливу мінеральних наповнювачів на жорсткість макромолекул в
гетерогенних полімерних системах на основі полівінілхлориду / М.А. Бордюк //
Фізика конденсованих високомолекулярних систем. - 1999. - Вип. 7. - С. 4-7.
. Вплив неорганічних
наповнювачів на жорсткість структуроутворень гетерогенних полімерних систем на
основі аморфного полівінілхлориду / М.А. Бордюк, Т.М. Шевчук, В.А. Мащенко [та
ін.] // Фізика конденсованих високомолекулярних систем. - 2007. - Вип. 12. - С.
13-21.
. Колупаєв Б.С.
Фрактальний підхід до визначення сумісності
полівінілхлорид-полівінілбутиральних систем / Колупаєв Б.С., Бордюк М.А. //
Фізика конденсованих високомолекулярних систем. - 2004. - Вип. 10. - С. 75-80.
. Олємской О.І.
Теорія самоподібних стохастичних систем (частина 1) / Олємской О.І., Харченко
Д.О. // Журнал фізичних досліджень. - 2002. - Т. 6, № 3. - С. 253-288.
. Олємской О.І.
Теорія самоподібних стохастичних систем (частина 2) / Олємской О.І., Харченко
Д.О. // Журнал фізичних досліджень. - 2003. - Т. 7, № 1. - С. 1-26.