Определение неорганических токсикантов в сварочном аэрозоле

  • Вид работы:
    Дипломная (ВКР)
  • Предмет:
    Химия
  • Язык:
    Русский
    ,
    Формат файла:
    MS Word
    333,53 Кб
  • Опубликовано:
    2012-12-18
Вы можете узнать стоимость помощи в написании студенческой работы.
Помощь в написании работы, которую точно примут!

Определение неорганических токсикантов в сварочном аэрозоле

Министерство образования Республики Беларусь

Учреждение образования

"Гомельский государственный университет имени Франциска Скорины"









Дипломная работа

Определение неорганических токсикантов в сварочном аэрозоле


Исполнитель:

Кисель Елена Григорьевна

Научный руководитель:

Зыкова Елена Леонидовна






Гомель 2012

Содержание

Введение

1. Обзор литературы

1.1 Классификация сварочных работ

1.2 Общая характеристика сварочных аэрозолей

1.3 Основные неорганические загрязнители воздуха рабочей зоны и их действие на организм человека

1.4 Основные требования к отбору проб воздуха

1.5 Методы анализа неорганических токсикантов воздуха

2. Объект, программа, методика исследований

2.1 Методика определения оксида хрома (VI) в сварочном аэрозоле

2.2 Методика фотометрического определения содержания марганца

2.3 Методика фотометрического определения концентрации оксида железа (III)

2.4 Методика фотометрического определения содержания озона

2.5 Методика определения концентрации оксида азота (IV)

2.6 Экспресс-метод определения оксида углерода

2.7 Математическая обработка результатов

3. Результаты исследований и их обсуждение

3.1 Определение содержания оксида хрома (VI) в сварочном аэрозоле

3.2 Определение содержания оксида железа (III) в воздухе сварочного аэрозоля

3.3 Определение содержания марганца в сварочном аэрозоле

3.4 Содержание оксида азота (IV) в сварочном аэрозоле

3.5 Содержание озона в сварочном аэрозоле

3.6 Содержание углерода оксида в сварочном аэрозоле

Заключение

Список использованных источников

Введение

Развитие общества сопровождалось разделением труда, который становился все более многообразным. В настоящее время насчитывается огромное количество профессий в промышленности, сельском хозяйстве, на транспорте и в других областях деятельности человека [1]. Для каждой профессии характерны особые требования, предъявляемые к работнику, а также условия, в которых выполняется труд. В тех случаях, когда характер труда или производственная обстановка может неблагоприятно повлиять на работоспособность или здоровье человека, это свидетельствует о наличии профессиональных вредностей на производстве [2].

Современная промышленность характеризуется высоким уровнем применения сварки, наплавки и резки металла. Возрастает удельный вес сварочных работ, совершенствуются способы сварки, сварочные материалы. В арсенале современного сварочного производства насчитывается большое количество способов сварки [3]. Наряду с традиционно ручной дуговой сваркой большое распространение получили процессы механизированной - полуавтоматической и автоматической сварки [4].

С гигиенической точки зрения представляют интерес такие особенности сварочных работ, как локализованность (или наоборот рассредоточенность, рассеянность) мест работы, температура в зоне сварки, используемые материалы (электроды, покрытия, флюсы) [5].

Сварка, вытеснив в ряде случаев такие шумные операции, как клепка, чеканка, требует внедрения ряда гигиенических мероприятий по борьбе с образующимися производственными вредностями. К ним прежде всего относятся выделение фиброгенных, токсических аэрозолей и газов, интенсивное световое и ультрафиолетовое излучения [6].

При сварке, как правило, образуется сварочный аэрозоль сложного состава. В основном он содержит окись железа, а при использовании так называемых марганцевых электродов и флюсов в воздух поступают окислы марганца. Кроме соединений марганца в воздух могут поступать соединения хрома, окись углерода, окислы азота, озон [7].

Целью настоящей дипломной работы явилось определение марганца, оксида железа, хромового ангидрида, оксида азота, озона и оксида углерода в сварочном аэрозоле предприятий города Светлогорска.

Результаты исследований могут быть использованы для контроля за составом сварочного аэрозоля [8]. Также они позволяют своевременно выявить превышение допустимых концентраций вредных веществ в воздухе рабочей зоны электросварщиков, и тем самым улучшить условия труда.

1. Обзор литературы

При современном состоянии технологических процессов и средств борьбы с поступлением вредных веществ (производственных ядов) в рабочую зону требование отсутствия их в зоне дыхания работающих часто является нереальным, а достижение подобного результата - очень трудной технической задачей, выполнение которой связано с большими материальными затратами. В связи с этим в гигиенической науке, в частности в гигиене труда, возникла необходимость обоснования допустимых (безвредных) концентраций [9].

При обосновании ПДК вредных веществ (производственных ядов) исходят из учета физико-химических свойств вещества; результатов экспериментальных исследований; данных гигиенических наблюдений на производстве, материалов о состоянии здоровья и заболеваемости рабочих.

Для вновь вводимых в производство соединений используются первые две группы материалов, полученные на лабораторно-производственных установках в процессе разработки новой технологии. В этих случаях рекомендуемая ПДК является временной впредь до накопления данных гигиенических наблюдений, а также сведений о состоянии здоровья и заболеваемости рабочих на промышленных объектах с целью последующего уточнения ранее предложенной величины ПДК. При обосновании ПДК учитываются эмпирическая и структурная формула вещества, молекулярная масса и относительная плотность, точка плавления и кипения, упругость пара, растворимость в разных средах, химическая реакционная способность и ряд других показателей, которые могут влиять на проявление токсических свойств и определять возможность возникновения действующих концентраций яда в воздухе. При установлении ПДК обязательным является наличие химического и физического метода определения вещества в воздухе.

Рабочая зона - пространство, ограниченное по высоте 2 м над уровнем пола или площадки, на которых находятся места постоянного или непостоянного (временного) пребывания работающих [12].

Содержание вредных веществ в воздухе рабочей зоны не должно превышать предельно допустимых концентраций (ПДК) [13]. ПДК используются при проектировании производственных зданий, технологических процессов, оборудования, вентиляции, для контроля за качеством производственной среды и профилактики неблагоприятного воздействия на здоровье работающих.

.1 Классификация сварочных работ

В арсенале современного сварочного производства насчитывается большое число различных способов сварки, большинство из которых может быть отнесено к двум ее разновидностям: сварке плавлением и сварке давлением [14].

Сварка плавлением - это дуговая сварка металлическим электродом с покрытием, под флюсом, в среде защитных газов, электрошлаковая, плазменная, электролучевая, лазерная, термитная, газокислородная, электрошлаковая и др.; сварка давлением - электроконтактные способы, газопрессовая сварка, сварка трением, ультразвуковая диффузионная в вакууме, сварка взрывом и некоторые другие [15].

Наибольшее практическое значение имеют дуговые и контактные способы сварки [16].

Различают несколько разновидностей дуговой сварки:

1.       Ручная сварка с применением качественного электрода:

а) марганцевые электроды (марки ОНА-2, АНО, ОММ-5, ОЗС-3). Выделяется много марганца и железа (до 70%). Марганцевые электроды токсичны и их заменяют рутиловыми (вводят двуокись титана). Марганца в данном случае выделяется меньше. Марки электродов АНО-1,2,3,12,13,14, РБУ-4, ЗСР-3.

б) фтористокальциевые электроды (марки УОНИ 13/55, МР-3, МР-4, АНО-9).

в) аустенитовые электроды (марки ЦЛ-9, ИШ-13, ОЗИ-3, ЭА-400/10У).

г) хромосодержащие электроды (марки ЭА-395/а, ЭА-981/15, УД-17).

2.       Автоматическая и полуавтоматическая сварка под слоем флюса.

Флюсы-мелкие гранулы, которые бывают плавленые и керамические. Основная вредность при работе с плавлеными флюсами - это фтористые соединения, При применении легированных сталей выделяются ещё хром и никель.

3.       Сварка порошковой проволокой.

4.       Сварка в среде защитных газов (на электрод надевается муфта и туда вводится газ: гелий или аргон).

а) Сварка в среде углекислого газа.

б) Сварка в среде аргона производится неплавящимся электродом.

.2 Общая характеристика сварочных аэрозолей

В воздушной среде производственных помещений при различных способах обработки металлов может содержаться сварочный аэрозоль.

Сварочный аэрозоль представляют собой сложные газо-аэрозольные смеси химических веществ, выделяющихся при дуговых, плазменных и других высокотемпературных газопламенных способах сварки, наплавки, резки и напыления металлов.

Дисперсная фаза или же твердая составляющая сварочного аэрозоля (ТССА) состоит из мельчайших частиц перенасыщенных паров металлов и других веществ, входящих в состав сварочных, присадочных, напыляемых металлов и основного металла, которые конденсируются за пределами зоны высокотемпературного нагрева.

Газовая составляющая сварочного аэрозоля (ГССА) представляет собой смесь газов, образующихся при термической диссоциации газошлакообразующих компонентов этих металлов (СО,СО2, HF, и др.), или же за счет фотохимического действия ультрафиолетового излучения дугового разряда (плазмы) на молекулы газов воздуха (NO, NO2, O3).

Химический состав сварочного аэрозоля зависит от состава сварочных, присадочных, напыляемых материалов (электроды, проволоки, ленты, флюсы, порошки и др.), состава основного (свариваемого, направляемого либо разрезаемого) металла, режимов сварки, наплавки, резки, напыления, состава защитных газов и газовых смесей. По данным современных физико-химических исследований (рентгеноструктурного, спектрального и др. методов анализа) ТССА представляет собой сложную смесь металлов, простых и сложных оксидов металлов и шпинелей, фторидов, силикатов и др.

Независимо от способа высокотемпературной обработки металлов, сварочные аэрозоли могут иметь близкий химический состав и соотношение отдельных веществ - ингредиентов ТССА, ГССА. В связи с этим их целесообразно группировать в укрупненные классы газо-аэрозольных смесей относительно постоянного состава, контроль за содержанием которых в воздухе рабочей зоны допускается проводить по наиболее опасным и характерным компонентам ТССА и ГССА [18].

В тех случаях, когда состав известен не полностью, необходима предварительная его расшифровка для определения ведущих ингредиентов, по которым целесообразно и оправдано осуществление контроля за состоянием воздушной среды. В тех случаях, когда величину ПДК вредного вещества зависит от его процентного содержания в сварочном аэрозоле, необходимо предварительно определить навеску сварочного аэрозоля на фильтре, которая должна быть не менее 5 мг.

.3 Основные неорганические загрязнители и их действие на организм человека

Интенсивное испарение металла и материалов, входящих в состав обмазки электродов приводит к образованию аэрозолей, химический состав которых характеризуется составом их обмазки. При работе с так называемыми качественными электродами в образующейся пыли в больших количествах содержатся соединения марганца, кремния, фтора; при применении электродов из легированных сталей в составе аэрозоля обнаруживаются соединения хрома. Воздух так же при сварке загрязняется небольшими количествами окиси углерода и окислов азота, никеля, цинка.

Наличие в сварочном аэрозоле вредных веществ может привести к возникновению профессиональных заболеваний сварщиков. Основным профессиональным заболеванием является пневмокониоз, характер развития которого и тяжесть течения зависит от концентрации сварочного аэрозоля и газов в зоне дыхания сварщиков от длительности воздействия аэрозоля. К профессиональным заболеваниям сварщиков относятся также интоксикации марганцем электроофтальмами от воздействия ультрафиолетовой радиации и катаракты - от воздействия инфракрасной радиации. [20].

Марганец

В механизме интоксикации марганцем важную роль играеют изменения функционального состояния центральной нервной системы и реактивности организма, о чем свидетельствует бурное прогрессирование интоксикации после инфекционного заболевания, в период беременности. А начальных стадиях развиваются нарушения корковой деятельности, в дальнейшем - расстройство двигательного анализатора. Очаги преимущественного поражения локализуются в подкорковых ганглиях, в первую очередь а стриопаллидарной системе; в синапсах накапливается ацетилхолин и возникает функцииональная "асинапсия". В двигательном анализаторе возбуждение распространяется не только на корковые зоны синергистов, что приводит к ригидности мускулатуры. При марганцевой интоксикации патологические очаги в подкорке вызывают возбуждение в корковой зоне двигательного анализатора, которое по пирамидным путям распространяется на передние рога спинного мозга и усиливает скованность движений.

Марганец поступает в организм через дыхательные пути в виде пыли или паров. Ядовитое действие марганца проявляется на центральной нервной системе. При вдыхании пыли возможны пневмонии. Начальные явления наблюдаются при стаже работы от нескольких месяцев до нескольких лет. При вдыхании паров вначале имеются общие явления: быстрая утомляемость, вялость, головные боли, склонность к обморочным состояниям, сильный ночной пот, апатия, раздражительность, изменчивость настроений, сонливость, судороги икроножных мышц, отек ног, разрыхление десен, вазомоторные расстройства. Прогрессирование отравления сопровождается расстройством стриарной и экстрапирамидальной системы с двигательными расстройствами - дрожание головы, туловища. Выраженная форма очень напоминает синдром паркинсонизма. У рабочих марганцовых рудников наблюдаются дерматиты, хронические экземы, марганцовая пневмония.

Профилактика марганцевых отравлений должна осуществляться прежде всего путем замены его менее токсичными веществами, например, использование при сварочных работах электродов, не содержащих марганец. При добыче марганцевых руд основным мероприятием по борьбе с пылеобразованием является мокрое бурение. При транспортировке и переработке марганцевых руд и соединений необходима максимальная механизация всех операций, устранение ручного труда. Сварка, газорезка марганцевых сталей должны осуществляться в условиях правильно организованного воздухообмена, эффективной местной вентиляции. В случаях возможных пылевыделений обязательно использование индивидуальных средств защиты (респираторы) [21].

Железа оксид

При контакте с железом у рабочих выявлены синдромы с сосудистой дистонией, нарушение функции печени, снижение желудочной секреции, частые воспалительные заболевания верхних дыхательных путей [22].

Хром

Хром применяется в производстве качественных сталей, а соединения его - в кожевенной, спичечной, текстильной, полиграфической промышленности, при производстве взрывчатых веществ, при электрохромировании, изготовлении красок в фарфоровой и стекольной промышленности, лакокрасочной, фотографии.

Поступает хром в организм в виде хромовой кислоты и солей через дыхательные пути, или тумана хромовой кислоты, а также при контакте с ним поврежденной кожи. Действует он местно, как прижигающий сильный окислитель (бихромат), и резорбтивно, в зависимости от характера хромистых соединений. На слизистой носа развиваются воспалительные явления, язвенные и атрофические процессы, иногда приводящие к перфорации носовой перегородки. Прижигание кожи хромом приводит к образованию своеобразных круглых, ясноочерченных язв ("птичьих глазок"). При воздействии хрома на кожу иногда возникают экзематозные изменения, чаще от 6-валентных хромовых соединений. Последний вызывает упорные бронхиты, приводящие к развитию эмфиземы, бронхоэктатической болезни; хромовая пыль может привести к образованию "хромистого пылевого легкого".

Все пыльные операции должны проводиться в герметичном оборудовании с обеспыливающей вентиляцией. Рабочие снабжаются спецодеждой, резиновыми перчатками, респираторами. Руки перед работой смазываются мазью из парафина, ланолина и небольшого количества фенола. Обязательны периодические медицинские осмотры отоларингологом [23].

Окислы азота

Окислы азота - нитрогазы - представляют смесь различных окислов азота. Основное значение имеет окись азота. Которая является сильным метгемоглобинобразователем и нейротропным ядом (она может быть причиной развития полиневрита, психических расстройств), но на воздухе окись быстро превращается в двуокись, поэтому основным действующим началом при острых промышленных отравлениях нитрогазами является двуокись азота. Двуокись азота также является метгемоглобинобразователем, плохо растворима в воде, оказывает слабое раздражающее действия на конъюнктиву и верхние дыхательные пути, но поражает глубокие его отрезки - альвеолярный эпителий, стенки бронхиол, капилляров и мелких сосудов, приводя к развитию отека легких. Проникают нитрогазы в организм через верхние дыхательные пути.

Первые симптомы отравления наступают через 6 часов. Проявляется отравление в виде кашля, одышки, удушья, может наступить отек легких. Токсический отек легких может закончиться благополучным исходом, но может осложниться пневмонией. Может наступить сердечная недостаточность, наблюдается снижение и выпадение сухожильных рефлексов. В крови нитриты и нитраты превращают оксигемоглобин в метгмоглобин. Возможны хронические отравления, сопровождающиеся болью в груди, кашлем, болям в области сердца и головными болями. Наблюдаются также хронические бронхиты, гингивиты, появление на зубах зеленоватого налета [24].

Окись углерода

Окись углерода - бесцветный и без запаха газ. Образуется при неполном сгорании углесодержащих материалов. Проникая через дыхательные пути окись углерода выделяется ими без изменения. Механизм токсического действия его связан с блокированием гемоглобина, с которым он образует карбоксигемоглобин, который не переносит кислород к тканям. Таким образом, при интоксикации СО возникает ряд причин, ведущих к гипоксемии тканей. Токсическое действие газа обусловлено, с одной стороны, кислородным голоданием тканей, особенно мозговой, с другой - присущим ему специфическим органотропным действием. Симптомы отравления окисью углерода очень разнообразны. При острых отравлениях СО возникает характерная ярко-красная окраска кожи и слизистых оболочек, степень выраженности которой зависит от тяжести отравления. Клиническая картина обусловлена поражением многих органов и систем, но особенно нервной системы. В легких случаях возникает головная боль пульсирующего характера, головокружение, общая слабость, тошнота, рвота, слабость в ногах, учащенное сердцебиение, обморочные состояния при физическом напряжении. Также наблюдаются тонические и клонические судороги, резкая ригидность мышц, нарушение дыхательной и сердечной деятельности, психическое возбуждение, зрительные и слуховые галлюцинации. При тяжелых отравлениях может развиться коматозная форма интоксикации. При выходе из комы наступает двигательное возбуждение (потеря ориентации, агрессивность, попытка бежать), сменяющееся состоянием оглушенности, заторможенности, подавленности. Память нарушена, причем у некоторых больных довольно стойко. Возможны психозы и различная неврологическая симптоматика диффузных и очаговых поражений: атаксия, гемипарезы, эпилептические припадки и др. В отделенные периоды после тяжелых интоксикаций могут развиться явления паркинсонизма (амимия, скованность движений и т.п.), реже неврит и полиневрит. Может наступить смерть при параличе дыхательного центра [25]. Профилактика отравлений окисью углерода включает механизацию производственных процессов, обеспечение более плотного сгорания топлива и удаления образующихся газов в котельных, кузницах, герметичность газовой аппаратуры и своевременный ее ремонт [26]. В литейных и других горячих цехах для борьбы с СО и другими токсическими газамишироко используется естественная вентиляция - аэрация, обеспечивающая удаление вредных веществ и разбавление их чистым воздухом. В ряде случаев весьма эффективна местная вентиляция.

.4 Основные требования к отбору проб воздуха

Отбор проб воздуха для определения уровня загрязненности воздушной среды при сварочных, наплавочных работах, резке и напылении металлов следует проводить в зоне дыхания работающих под наголовным или ручным щитом.

При измерении концентраций вредных веществ в зоне дыхания рабочих, занятых автоматическими способами сварки, наплавки и резки (контактной, под флюсом, электрошлаковой) и не пользующихся защитными щитками, зоной дыхания следует считать пространство, ограниченное радиусом 50-60 см вокруг головы работающего.

Отбор проб должен производиться при характерных производственных условиях. Любые нарушения технологического процесса (превышение либо занижение силы сварочного тока, напряжения, применение "нетипичных" сварочных и наплавочных металлов) или неправильная эксплуатация оборудования и всех предусмотренных средств предотвращения загрязнения воздуха вредными веществами (устройств местной вентиляции, общеобменной вентиляции, укрытий) подлежат устранению до начала проведения измерений [27].

Отбор проб ТССА осуществляется на аналитические аэрозольные фильтры АФА-ВП, АФА-ХП или АФА-ХА с объемным расходом 10-15 л/мин. Тип фильтра, применяемого для концентрирования компонентов ТССА, определяется ходом последующего химического анализа и должен строго соблюдаться. В случаях, когда материал фильтра на ход анализа не влияет, в соответствующих разделах методик тип фильтра не указывается.

Отбор проб ГССА проводится с концентрированием в жидкие поглотительные приборы, сорбционные трубки либо без концентрирования в медицинские шприцы или пипетки [28].

Если стадия технологического процесса (операции) непродолжительна и не позволяет отобрать пробу воздуха за один цикл (расплавление одного электрода, "прихватка" деталей) отбор проб воздуха на этот же фильтр или в один и тот же поглотитель необходимо продолжить при повторении операции [29].

Для получения достоверных результатов при санитарно-гигиенических исследованиях воздушной среды на каждом обследуемом рабочем месте сварщика, наплавщика, резчика металлов, операторов установок напыления порошков металлов должно быть последовательно отобрано не менее 5 проб воздуха для определения концентраций ведущего токсического ингредиента ТССА и не менее 5 проб наиболее характерного токсического ингредиента ГССА [30].

.5 Методы анализа неорганических токсикантов воздуха

При определении содержания вредных веществ в воздухе рабочей зоны используются следующие методы:

–       спектрофотометрический;

–       газохроматографический;

–       полярографический;

–       гравиметрический;

–       экспресс-метод [31].

Спектрофотометрический метод

Основан на спектрально-избирательном поглощении монохроматического потока световой энергии при прохождении его через исследуемый раствор. Метод позволяет определять концентрации отдельных компонентов смесей окрашенных веществ, имеющих максимум поглощения при различных длинах волн, он более чувствителен и точен, чем фотоэлектроколориметрический метод. Известно, что фотоколориметрический метод анализа применим только для анализа окрашенных растворов, бесцветные растворы в видимой области спектра обладают незначительным коэффициентом поглощения. Спектрофотометрический метод анализа применим для измерения светопоглощения в различных областях видимого спектра, что значительно расширяет аналитические возможности метода.

Спектрофотометрический метод в ультрафиолетовой области спектра позволяет индивидуально определять двух- и трехкомпонентные смеси веществ. Количественное определение компонентов смеси основано на том, что оптическая плотность любой смеси равна сумме оптических плотностей отдельных компонентов.

При использовании спектрофотометрических методов исследований отбор проб проводится: в жидкие поглотительные среды. В зависимости от метода испытаний в качестве сред используются: дистиллированная вода, спирт, растворы кислот, солей. Последние заливаются в стеклянные поглотительные сосуды различной модификации (с пористой пластинкой, поглотители Зайцева, Рихтера и др). Поглотительные сосуды подсоединяются к аспиратору с помощью cиликоновых шлангов и протягивается определенный объем воздуха согласно Методическим указаниям [32].

Полярографический метод

Основан на изменении предельного тока диффузии, возникающего при электролизе раствора с помощью ртутных или других электродов.

Исследуемый раствор подвергают электролизу при непрерывно изменяющемся напряжении. При наличии в растворе ионов, способных восстанавливаться или окисляться при определенном потенциале, в момент их разряжения на электроде возникает соответствующая сила тока. Для измерения силы тока в электрическую систему включают зеркальный гальванометр.

При применении ртутных электродов катодом служат капли ртути, вытекающие с определенной скоростью из капилляра, анодом- слой ртути, имеющий по сравнению с катодом гораздо большую поверхность. Источником тока служит аккумуляторная батарея на 4-6 в (батареи кислотные и щелочные). Ток от аккумулятора подается на потенциометр с подвижным контактом, позволяющим подводить к электролизу напряжение от 0 до 4 в. Для этой цели удобно пользоваться барабанным мостиком, представляющим собой равномерно намотанную на барабан константановую проволоку общим сопротивлением 15-16 Ом.

В качестве анода применяют большой слой ртути, налитый в электролизер, или неполяризующийся насыщенный каломельный электрод.

При анодной поляризации капельки ртути служат анодом, а катод имеет большую поверхность и практически не поляризуется [33].

Вначале процесса электролиза, при небольших значениях наложенного напряжения, сила тока, проходящая через раствор, почти постоянна и лишь очень медленно возрастает. Это так называемый остаточный ток.

При наличии в растворе веществ, способных восстанавливаться или окисляться в момент достижения каждого из них характерного потенциала, сила тока резко возрастает и после достижения определенной величины остается постоянной и независимой от приложенного напряжения. Устанавливается так называемый предельный ток диффузии. При графическом изображении процесса электролиза, откладывая на оси абсцисс напряжение, подаваемое к электролизеру, а по оси ординат - силу тока, возникающую при достижении потенциала восстановления или окисления вещества получают кривую зависимости силы тока от напряжения, или полярографическую волну.

При одновременном присутствии в растворе нескольких ионов с различными потенциалами восстановления и окисления на полярограмме получается несколько волн, соответствующих моменту разряжения каждого из них. При этом кривая имеет многоступенчатый вид. Местоположение каждой ступени волны, отвечающее потенциалу выделения того или иного иона, молекулы, характеризует качественный состав раствора; высота полярографической волны характеризует концентрацию вещества в растворе.

Потенциал, при котором начинается восстановление или окисление ионов или молекул на электроде, несколько изменяется в зависимости от концентрации анализируемого вещества в растворе. С увеличением концентрации вещества в растворе начало изгиба полярографической волны несколько смещено от первоначальной точки в положительную область, средняя же точка кривой при этом не меняет своего положения. Все кривые симметрично расположены на одной прямой, перпендикулярно оси абсцисс. Потенциал середины полярографической волны является наиболее характерной величиной и основой для качественного полярографического анализа. Значение потенциала полуволны принято давать по отношению к элементу сравнения, обычно к насыщенному каломельному электроду, потенциал которого в полярографии считают равным нулю. Потенциал полуволны не зависит от концентрации анализируемого вещества, от чувствительности гальванометра, периода капания ртути. Он изменяется в зависимости от состава и концентрации фона [34].

Количественный полярографический анализ основан на том, что при определенных условиях величина диффузного тока пропорциональна концентрации вещества в растворе. В результате процесса разряда ионов, молекул концентрация их вблизи приэлектродного слоя снижается. Эта убыль компенсируется подводом ионов, молекул из основного раствора, концентрация которого практически остается постоянной. Поступление ионов, молекул в обедненную часть раствора может происходить под действием диффузной силы, величина которой пропорциональна разности концентраций вещества около поверхности электрода и основной массы раствора (диффузный ток), и электрической силы, обуславливающей движение - миграцию - ионов к электродам (миграционный ток).

Если к исследуемому раствору прибавить избыток постороннего электролита, ионы которого восстанавливаются при более отрицательном потенциале, чем исследуемые, то практически прохождение тока через будет осуществляться только ионами прибавленного электролита. Предельный ток будет только током диффузным, который при определенных условиях прямо пропорционален концентрации восстанавливаемого или окисляемого вещества.

В качестве постороннего электролита, или так называемого фона, применяют соли и щелочи одновалентных металлов, кислоты. Для определения щелочных металлов, обладающих отрицательным потенциалом восстановления, применяют тетраметиламмоний или его галоидные соли.

Хроматографический метод

Является одним из распространенных физико-химических методов разделения сложных компонентов смеси. Он основан на различии в скоростях движения компонентов смеси между двумя фазами, из которых одна неподвижна, а другая подвижна. Неподвижная фаза может быть твердым телом или жидкостью. Подвижная фаза может быть жидкостью или газом. В связи с этим различают следующие виды хроматографии:

.        жидкостно-адсорбционную (неподвижная фаза - твердое тело, подвижная - жидкость);

. газо-адсорбционную (неподвижная фаза - твердое тело, подвижная - газ);

. жидкостную распределительную (неподвижная и подвижная фазы - жидкости);

. газо-жидкостную (неподвижная фаза - жидкость, подвижная - газ).

Жидкостно-адсорбционная хроматография - метод основан на избирательной адсорбции одного или нескольких компонентов смеси соответствующими адсорбентами, помещенными в колонку. При этом наиболее хорошо адсорбируемые вещества задерживаются в верхних слоях адсорбента, менее сорбируемые располагаются ниже и совсем несорбирубщиеся при данных условиях вещества проходят сквозь адсорбент. При промывании колонки соответствующим растворителем ниже расположенные зоны десорбируются быстрее, чем выше расположенные. Таким образом, в приемник поочередно собирают чистые компоненты анализируемой смеси. При графическом изображении процесса вымывания выходные кривые имеют максимум. Количество их соответствует количеству компонентов в анализируемой смеси, а площадь, ограниченная кривой, отражает количественное содержание каждого компонента.

В качестве адсорбентов применяют активированный уголь, силикагель, алюмогель, молекулярные сита. Выбор адсорбента определяется природой вещества, подлежащих разделению. Сорбция веществ, помимо свойств применяемого адсорбента, зависит от химического строения вещества. Сорбция также повышается с увеличением двойной связи в соединениях. При повышении температуры величина сорбции уменьшается; меняя температуру, можно режим адсорбции изменить в широких пределах [36].

Газовая хроматография - по природе используемого сорбента хроматография делится на : 1) газо-адсорбционную; 2) газо-жидкостную и

) капиллярную.

В газо-жидкостной хроматографии неподвижную фазу - органический растворитель - наносят равномерно в виде тонкой пленки на твердые инертные носители: инзенский диатомитовый кирпич, целит, стерхамол, пористое стекло. Размер зерен носителя составляет 0,25 - 0,5 мм.

Капиллярная хроматография представляет собой вид газо-жидкостной хроматографии, в которой растворитель наносят непосредственно на внутреннюю поверхность капилляра.

Наиболее широкое применение получила газо-жидкостная проявительная хроматография. При этом компоненты смеси распределяются между двумя фазами - неподвижной (растворителем) и подвижной (газом). Выбор растворителя позволяет в широких пределах изменять степень разделения. Растворитель должен обладать химической инертностью, быть практически нелетучей жидкостью при температуре колонки, все компоненты распределительной смеси должны в нем растворяться и обладать достаточной селективностью. Жидкая фаза считается тем селективнее, чем лучше делятся на ней два вещества с близкими температурами кипения [37].

Хроматографический анализ по существу сводится к следующему. Хроматографическую колонку - металлическую или стеклянную V-образную или спиралеобразную трубку - заполняют носителем, покрытым тонкой пленкой соответствующего растворителя. Колонку помещают в термостат. Через колонку с постоянной скоростью протекает инертный газ - газноситель. Потоком газносителя проба подается в колонку. При прохождении через колонку отдельные компоненты смеси растворяются в органическом растворителе. Если компоненты смеси растворяются неодинаково, то они продвигаются вдоль колонки с разными скоростями. Не растворяющиеся или плохо растворимые выходят первыми. Наблюдение за выходом из колонки отдельных компонентов смеси проводят с помощью приборов детекторов. Показания детектора отмечают визуально или с помощью автоматического самописцав виде хроматографиеских кривых - хроматограмм [38]. Таким образом получают выходную кривую отдельных компонентов смеси, пики, разделяемые зонами чистого газа-носителя. Время, соответствующее появлению максимальной концентрации компонента, максимум пика, называют временем удерживания. Объем газа-носителя, соответствующий появлению максимума концентрации, называют удерживаемым объемом. Основными узлами хроматографа являются дозирующее устройство, хроматографическая колонка с термостатом и устройством для программирования температуры, узел регулировки и измерения скорости потока газа-носителя и системы его очистки и детектора с самописцем [39].

Экспресс-методы

Для быстрого решения вопроса о степени загрязнения воздушной среды вредными веществами применяют быстрые, или экспрессные методы, позволяющие с достаточной точностью проводить анализ непосредственно в месте отбора пробы воздуха. В основе экспрессных методов лежат быстро протекающие, чувствительные цветные реакции [40].

Почти все экспрессные методы сводятся к колориметрическим исследованиям. Вначале для этой цели использовалась исключительно фильтровальная бумага, пропитана растворами соответствующих реагентов, которые, взаимодействуя с теми или иными веществами, находящимися в воздухе, дают окрашенные соединения. Такой прием, применяемый в отдельных случаях и в настоящее время, обладает рядом недостатков. Среди них основными являются малая чувствительность и небольшая точность. Вследствие этого подобный способ может служить лишь для качественных определений, либо для таких количественных, где можно ограничиться только ориентировочными данными [41].

Чаще всего оценка результатов исследований производится путем сравнения окраски индикатора со стандартной цветной шкалой, оттенки которой соответствуют различным концентрациям определяемой примеси воздуха [42].

В зависимости от принципа, положенного в основу метода и техники проведения анализа, экспресс-методы могут быть разделены на колориметрические и линейно-колористические.

При колориметрических методах в одних случаях для количественных определений пользуются стандартной цветной шкалой, в других - при определении концентраций ряда примесей в воздухе используют следующий прием. Через индикаторную трубку пропускают исследуемый воздух до тех пор, пока приобретаемая индикатором окраска не сравняется с окраской эталонной трубки, в которой оттенок доведен до определенной интенсивности, соответствующей одной из концентраций определяемого вещества [44].

Измерив объем воздуха концентрацию веществ определяют по длине окрашенной зоны или по интенсивности окраски, сравнивая ее со стандартной шкалой.

В последнее время для определения в воздухе некоторых веществ предложен метод, основанный на том, что при пропускании исследуемого воздуха через трубки вначале образуется промежуточный продукт, не обладающий окраской. Для получения четкого окрашивания индикатора в трубку вводят небольшое количество раствора такого реактива, который образует с этим промежуточным продуктом окрашенное соединение. В этом случае прибавляемый в трубку реактив играет роль "проявителя" [45].

Принцип линейно-колористического метода состоит в том, что при пропускании определенного объема исследуемого воздуха в единицу времени через индикаторную трубку, наполненную индикаторной массой достаточной длины, изменение окраски этой массы распространяется на известную глубину массы, которая пропорциональна концентрации исследуемого вещества. Поэтому количественное определение концентрации достигается путем изменения длины окрашенной части столбика индикаторной набивки. Предварительно строят калибровочную кривую, для чего через трубки пропускают с одинаковой скоростью одни и те же объемы воздуха, содержащие различные концентрации определяемого продукта. На оси абсцисс наносят величины длин окрашенной части индикатора, на оси ординат - концентрации вещества [46]. Линейно-колориметрический метод имеет преимущество перед колориметрическим: он не требует приготовления окрашенных стандартных шкал, что связано с созданием определенных концентраций исследуемого вещества [47].

Гравиметрический метод

Гравиметрией называют метод количественного анализа, заключающийся в точном измерении массы определяемого компонента пробы, выделенного в виде соединения известного состава или в форме элемента. Классическое название - весовой анализ. Гравиметрический метод основан на законе сохранения массы веществ при химических превращениях. В гравиметрии используют реакции обмена, замещения, разложения и комплексообразования [48].

Сущность гравиметрического метода заключается в определении массы взвешенных частиц, задержанных специальным фильтром при прохождении через него определенного объема воздуха, приведенного к нормальным условиям. Далее фильтр с отобранной пробой помещают в стеклянной чашке в эксикатор и доводят до постоянной массы. Массу фильтра определяют взвешиванием [49].

Выбор того или иного метода анализа зависит от природы анализируемого компонента, его агрегатного состояния [50]. Выбор метода также может зависеть от задач, поставленных перед лабораторией.

2. Объект, программа, методика исследований

Объектом наших исследований являлся сварочный аэрозоль, отобранный на рабочих местах электрогазосварщиков предприятий г. Светлогорска.

Программа исследований включала следующие этапы:

. Изучение методик фотометрического определения марганца, оксида железа (III), оксида хрома (VI), оксида азота (IV), озона и методики экспресс определения оксида углерода (II).

. Определение содержания марганца, оксида железа (III), оксида хрома (VI), оксида азота (IV), озона, оксида углерода (II) в сварочном аэрозоле.

. Математическая обработка результатов.

. Сравнение полученных результатов с ПДК.

.1 Методика определения оксида хрома (VI) в сварочном аэрозоле

Определение основано на реакции взаимодействия шестивалентного хрома с дифенилкарбазидом в кислой среде с образованием соединения, окрашенного в красно-фиолетовый цвет. Нижний предел измерения содержания оксида хрома (VI) в фотометрируемом растворе составляет 0,5 мкг. Нижний предел измерения в воздухе 0,003 мг/м3 ( при отборе 200 л воздуха). Диапазон измеряемых концентраций от 0,003 до 0,06 мг/м3. Измерению не мешает марганец. Мешают железо при содержании 1 мг и молибден в количестве более 8 мг. Суммарная погрешность измерения не превышает ± 10%. Время выполнения измерения 20-25 минут. Градуировочные растворы (устойчивы в течение 2-х часов) готовят согласно таблице 1.

Таблица 1 - Шкала градуировочных растворов для определения ангидрида хромового

№ стандарта

Стандартный раствор № 2, мл

Раствор серной кислоты, 10%, мл

Содержание марганца в градуировочном растворе, мкг

1 2 3 4 5 6 7 8

0 0,05 0,1 0,2 0,4 0,6 0,8 1,0

10 9,95 9,90 9,80 9,60 9,40 9,20 9,00

0 0,5 1,0 2,0 4,0 6,0 8,0 10,0


Во все пробирки шкалы добавляют по 0,1 мл 0,5% раствора дифенилкарбазида, взбалтывают и выдерживают 15 минут. Затем измеряют оптическую плотность при длине волны 540 нм в кюветах с толщиной поглощающего слоя 2 см по отношению к контрольному раствору (раствор № 1 таблицы 1).

Строя градуировочный график зависимости оптической плотности градуировочных растворов от содержания оксида хрома (VI), проверку которого проводят 1 раз в квартал в случае использования новой партии реактивов. 10 мл водного фильтра вносят в колориметрические пробирки. Далее измерение идет аналогично приготовлению градуировочных растворов. Оптическую плотность измеряют по сравнению с контролем, который готовят одновременно и аналогично пробам.

Содержание оксида хрома (VI) в анализируемом объеме раствора пробы (мкг) определяют по градуировочному графику.

Концентрацию оксида хрома (VI) (мг/м3) в воздухе рассчитывают по формуле:

,

где а - количество вещества, найденное в анализируемом объеме раствора пробы по градуировочному графику, мкг;

б - объем раствора пробы, взятый на анализ, мл;

в - общий объем раствора пробы, мл;

V20 - объем отобранного на анализ воздуха, приведенный к стандартным условиям (температуре 20ºС и атмосферному давлению 760 мм рт. cт.(101кПа)), л.

.2 Методика фотометрического определения содержания марганца

Определение основано на реакции окисления соединений марганца персульфатом аммония в присутствии нитрата серебра как катализатора с образованием марганцевой кислоты, окрашенной в малиново-красный цвет. Нижний предел измерения содержания марганца в объёме анализируемого раствора 1 мкг. Нижний предел измерения в воздухе 0,05 мг/м³ (при отборе 200 л воздуха). Расчет предела обнаружения проведен с учетом значения ПДК для марганца - 0,1 мг/м³. Диапазон измеряемых концентраций для марганца от 0,05 мг/м³ до 1,25 мг/м³. Определению марганца мешает железо, влияние которого устраняют добавлением ортофосфорной кислоты. Определению не мешает хром. Суммарная погрешность измерения не превышает ±20%. Время выполнения измерения 1,5 часа. Градуировочные растворы (устойчивы в течение 2 часов) готовят согласно таблице 2.

Во все пробирки шкалы прибавляют по 0,2 мл 2% раствора нитрата серебра и по 1 мл растворов 10% персульфата аммония и 50% ортофосфорной кислоты. После прибавления каждого реактива растворы взбалтывают и погружают в кипящую баню на 5-10 минут.

Таблица 2 - Шкала градуировочных растворов для определения марганца

№ стандартаСтандартный раствор № 2, мл Раствор серной кислоты, 10%, млСодержание марганца в градуировочном растворе, мкг




1 2 3 4 5 6 7

0 0,1 0,2 0,4 0,6 0,8 1,0

5,0 4,9 4,8 4,6 4,4 4,2 4,0

0 1,0 2,0 4,0 6,0 8,0 10,0


По охлаждении растворов измеряют величину оптической плотности при 545 нм в кюветах с толщиной слоя 1 см по сравнению с контрольным раствором (раствор № 1 таблицы 2).

Строят градуировочный график зависимости оптической плотности растворов от содержания марганца в градуировочном растворе (мкг), проверку которого проводят 1 раз в квартал или в случае использования новой партии реактивов.

-2,5 мл раствора пробы в 10% серной кислоте вносят в колориметрические пробирки, доводят до 5 мл кислотой и далее обрабатывают и фотометрируют аналогично градуировочным растворам.

Содержание марганца в анализируемом объёме раствора пробы (мкг) находят по градуировочному графику.

Концентрацию марганца в воздухе (мг/дм³) рассчитывают по формуле:

,

где а - количество вещества, найденное в анализируемом объеме раствора пробы по градуировочному графику, мкг;

б - объем раствора пробы, взятый на анализ, мл;

в - общий объем раствора пробы, мл;

V20 - объем отобранного на анализ воздуха, приведенный к стандартным условиям (температуре 20ºС и атмосферному давлению 760 мм рт. cт.(101кПа)), л.

.3 Методика фотометрического определения концентрации оксида железа (III)

Определение основано на реакции взаимодействия ионов железа с сульфосалициловой кислотой в аммиачной среде с образованием окрашенного соединения. Нижний предел измерения содержания железа в объёме анализируемого раствора 1 мкг. Нижний предел измерения железа в воздухе 1,5 мг/м³ (при отборе 200 л воздуха). Диапазон измеряемых концентраций от 1,5-15 мг/м³. Определению не мешают молибден, ванадий, хром, марганец. Мешают кобальт, никель в количествах более 1,2 мг, медь в количествах более 0,2 мг. Суммарная погрешность измерения не превышает +- 20%.Время выполнения измерения 40 минут. Градуировочные растворы (устойчивы в течение суток) готовят согласно таблице 3.

Таблица 3 - Шкала градуировочных растворов для определения оксида железа (III)

№ стандарта

Стандартный раствор № 2, мл

Раствор серной кислоты, 10%, мл

Содержание железа в градуировочном растворе, мкг

1 2 3 4 5 6 7

0 0,1 0,2 0,4 0,6 0,8 1,0

5,0 4,9 4,8 4,6 4,4 4,2 4,0

0 1,0 2,0 4,0 6,0 8,0 10,0


Во все пробирки шкалы прибавляют по 0,5 мл 10% раствора сульфосалициловой кислоты, взбалтывают, добавляют по 1 мл концентрированного раствора аммиака, снова взбалтывают и измеряют оптическую плотность растворов при длине волны 420-430 нм в кюветах с толщиной слоя 1 см по сравнению с контрольным раствором (раствор № 1 таблицы 3).

Строят градуировочный график зависимости оптической плотности от содержания железа в градуировочном растворе (мкг), проверку которого проводят 1 раз в квартал или в случае использования новой партии реактивов.

мл раствора пробы в 10% серной кислоте вносят в мерную колбу вместимостью 25 мл и доводят до метки 10% серной кислотой, 2 мл полученного раствора вносят в колориметрическую пробирку, доводят объём до 5 мл кислотой и далее обрабатывают и фотометрируют аналогично градуировочным раствором. Содержание железа в анализируемом объёме раствора пробы находят по градуировочному графику.

Концентрацию оксида железа (III) в мг/м3 в воздухе рассчитывают по формуле:


А- содержание железа в анализируемом объёме раствора пробы, найденное по градуировочному графику, мкг;

V- объём воздуха, отобранный для анализа и приведенный к стандартным условиям, л;

К- коэффициент пересчета железа на оксид железа (III) - 1,43 .

.4 Методика фотометрического определения содержания озона

Метод основан на реакции озона с йодистым калием с выделением йода, который образует окрашенный продукт с солянокислым диметил-n- фенилендиамином. Отбор проб проводится с концентрированием в раствор йодида калия. Нижний предел измерения содержания в объёме анализируемого раствора 0,4 мкг. Нижний предел измерения в воздухе 0,05 мг/м³ ( при отборе 10 л воздуха). Диапазон измеряемых концентраций в воздухе от 0,05 мг/м³ до 1,3 мг/м³. Влияние окислов азота устраняется в процессе отбора пробы. Суммарная погрешность измерения не превышает ± 15%. Время выполнения измерения 40-50 минут, включая отбор пробы 20 минут. Градуировочные растворы (устойчивы в течение 15 мин) готовят согласно таблице 4.

сварочный аэрозоль загрязнитель воздух

Таблица 4 - Шкала градуировочных растворов для определения озона

№ стандарта

Стандартный раствор йода, мл

Раствор йодида калия, 1%, мл

Содержание в градуировочном растворе,




йода

озона

1 2 3 4 5 6

0 0,2 0,4 0,6 0,8 1,0

5,0 4,8 4,6 4,4 4,2 4,0

0 2,0 4,0 6,0 8,0 10,0

0 0,378 0,756 1,134 1,512 1,89


Во все пробирки шкалы прибавляют по 0,5 мл 0,02% раствора солянокислого диметилпарафенилендиамина, перемешивают, выдерживают 10 мин и измеряют оптическую плотность растворов при длине волны 490 нм в кюветах с толщиной слоя 1 см относительно контрольного раствора (раствор № 1 по таблице 4). Строят градуировочный график зависимости оптической плотности раствора от содержания озона (мкг).

Проверка градуировочного графика проводится 1 раз в квартал или в случае использования новой партии реактивов.

-5 мл раствора из поглотительного прибора вносят в пробирку, доводят объём до 5 мл 1% раствором йодида калия и далее обрабатывают и фотометрируют аналогично градуировочным растворам.

Содержание озона в анализируемом объёме раствора пробы (мкг) определяют по градуировочному графику.

Концентрацию озона в воздухе рассчитывают по формуле 4.

Коэффициент пересчета йода на озон - 0,189.

Концентрацию озона в воздухе (мг/дм³) рассчитывают по формуле:

,

где а - количество вещества, найденное в анализируемом объеме раствора пробы по градуировочному графику, мкг;

б - объем раствора пробы, взятый на анализ, мл;

в - общий объем раствора пробы, мл;

V20 - объем отобранного на анализ воздуха, приведенный к стандартным условиям (температуре 20ºС и атмосферному давлению 760 мм рт. cт.(101кПа)), л.

К - коэффициент пересчета йода на озон - 0,189.

.5 Методика определения концентрации оксида азота (IV)

Метод основан на реакции взаимодействия оксида азота (IV) с реактивом Грисса-Илосвая с образованием окрашенного в красный цвет соединения. Для определения оксида азота (II) его окисляют в ходе отбора пробы до оксида азота (IV) раствором, содержащим перманганат калия и серную кислоту. Отбор проб проводится с концентрированием в раствор йодида калия. Нижний предел измерения содержания оксида азота (IV) в анализируемом объёме пробы 0,3 мкг, оксида (II) - 0,2 мкг. Нижний предел измерения оксида азота (IV) в воздухе 1 мг/м³, оксида азота (II)- 0,65 мг/м³ ( при отборе 0,6 л воздуха). Диапазон измеряемых концентраций оксида азота (IV)- от1 до 42 мг/м³, оксида азота (II)- от 0,65 до 27 мг/м³. Измерению не мешают другие газовые компоненты сварочного аэрозоля. Суммарная погрешность измерения не превышает ± 25%. Время выполнения анализа, включая время отбора пробы, 40 минут. Градуировочный раствор (устойчив в течение 5 часов) готовят согласно таблице 5.

В пробирки шкалы добавляют по 1 мл реактива Грисса-Илосвая. Через 15-20 мин во все пробы приливают по 0,1 мл раствора сульфита натрия, перемешивают и измеряют оптическую плотность окрашенных растворов при длине волны 510-540 нм в кювете с толщиной слоя 1 см относительно контрольного раствора (раствор № 1 таблицы 5).

Таблица 5- Шкала градуировочных растворов для определения оксида азота (IV)

№ градуировочного раствора

Стандартный раствор № 2, мл

Йодид калия, 8% раствор, мл

Содержание оксида азота (IV) в градуировочном растворе, мкг

1 2 3 4 5 6

0 0,3 1,0 2,0 4,0 5,0

5,0 4,7 4,0 3,0 1,0 0,0

0 0,3 1,0 2,0 4,0 5,0


Строят градуировочный график зависимости оптической плотности растворов от содержания в них оксида азота (IV) (мкг), проверку которого проводят 1 раз в квартал или при использовании новой партии реактивов.

Растворы пробы из 1 и 3 поглотителя, в количестве 2 и 5 мл, вносят в колориметрические пробирки; 2 мл пробы доводят до объёма 5 мл раствором йодида калия. Далее растворы обрабатывают и фотометрируют аналогично градуировочным растворам.

Содержание оксида азота (IV) в анализируемом растворе пробы определяют по градуировочному графику.

Концентрация оксида азота (IV) в воздухе (мг/м³) рассчитывают по формуле 5. Концентрацию азота оксида (IV) в воздухе (мг/дм³) рассчитывают по формуле:


где а - количество вещества, найденное в анализируемом объеме раствора пробы по градуировочному графику, мкг; б - объем раствора пробы, взятый на анализ, мл; в - общий объем раствора пробы, мл; V20 - объем отобранного на анализ воздуха, приведенный к стандартным условиям (температуре 20ºС и атмосферному давлению 760 мм рт. ст.(101кПа)), л. [17].

.6 Экспресс-метод определения оксида углерода

Для быстрого решения вопроса о степени загрязнения воздушной среды оксидом углерода применяют быстрые, или экспрессные методы, позволяющие с достаточной точностью проводить анализ непосредственно в месте отбора пробы воздуха. В основе экспрессных методов лежат быстро протекающие, чувствительные цветные реакции. Через индикаторную трубку пропускают исследуемый воздух определенного объема и сравнивают окраску сорбента и длину окрашенной зоны со стандартной шкалой. Концентрацию оксида углерода в мг/м3 рассчитываем по формуле: С = показания шкалы x К, где К - коэффициент приведения воздуха к нормальным условиям [50].

2.7  Математическая обработка результатов

Метрологические характеристики методов соответствуют доверительной вероятности 0,95. Опыты проводились в трех повторностях. Математическая обработка результатов проводилась с использованием следующих формул:

.Среднее арифметическое

 

где,  - среднее арифметическое из n - исходных данных;

n - число повторностей.

2.Дисперсия

 =

где, V - дисперсия;

di2 - отклонение, возведённое в квадрат.

3.Статистическое отклонение

 =  

где, S - среднее квадратное отклонение

4.Доверительный интервал

 

5.ошибки

 

где, Δ - ошибка измерения, %.

В качестве примера приведена статистическая обработка результатов определения железа оксида, содержащегося в сварочном аэрозоле на рабочем месте электрогазосварщика на предприятии УМСР "Строительного треста № 20" за сентябрь месяц 2007 года.


= 1,42

Дисперсия

λ

Стандартное отклонение


Доверительный интервал

 К=3-1=2

 


Процент ошибки

 


3. Результаты исследований и их обсуждение

Определение содержания неорганических токсикантов в сварочном аэрозоле предприятий г. Светлогорска проводились в период с января 2006 года по декабрь 2008 года включительно на базе Учреждения "Светлогорский зональный центр гигиены и эпидемиологии". Пробы воздуха были отобраны на следующих предприятиях: УМСР "Строительного треста № 20", РДАУП "Автобусный парк № 5". Результаты исследований представлены в таблицах и рисунках.

.1 Определение содержания оксида хрома (VI) в сварочном аэрозоле

Отбор проб воздуха для определения концентрации оксида хрома (VI) проводился на рабочем месте электрогазосварщиков ежемесячно в период с января 2006 года по декабрь 2008 года включительно. Измерения проводились при работающей приточно-вытяжной вентиляции.

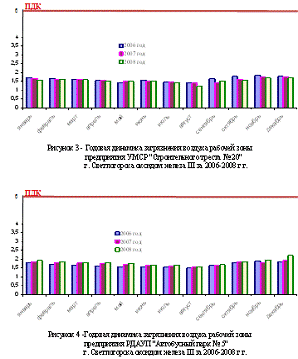
В период с января 2006 года по декабрь 2008 года включительно на предприятии УМСР "Строительного треста № 20" в ремонтно-механичес-ком цеху на рабочем месте электрогазосварщика при ручной дуговой сварке был произведен отбор проб воздуха рабочей зоны на содержание в нем ангидрида хромового. Измерения проводились при работающей приточно-вытяжной вентиляции. Результаты исследований представлены в таблице 6. Минимальная концентрация хромового ангидрида составила от 5 мкг/м³, а максимальная концентрация составила 9 мкг/м³ при предельно-допустимой концентрации 10 мкг/м³, что находилось в пределах допустимой концентрации. Исследования сварочного аэрозоля воздуха рабочей зоны на данном предприятии говорят о соблюдении технологического процесса при проведении сварочных работ, об эффективной работе приточно-вытяжной вентиляции и об использовании в работе фтористокальциевых электродов марки УОНИ 13/55. В этот же период на предприятии РДАУП "Автобусный парк № 5" в ремонтно-механическом цеху на рабочем месте электросварщика ручной сварки был произведен отбор проб воздуха рабочей зоны на содержание в нем ангидрида хромового. Измерения проводились при работающей приточно-вытяжной вентиляции. Концентрация хромового ангидрида составила от 5 мкг/м³ до 10 мкг/м³, что находилось в пределах допустимой концентрации. Данные результаты измерений говорят нам об эффективной работе вентиляционных систем на данных рабочих местах и об использовании при сварочных работах хромосодержащих электродов марки ЭА-395/а.

Таблица 6 - Содержание хромового ангидрида в сварочном аэрозоле предприятий г. Светлогорска



.2 Определение содержания оксида железа (III) в воздухе сварочного аэрозоля

Определения содержания оксида железа (III) проводились на двух предприятиях: УМСР "Строительного треста № 20" и РДАУП "Автобусный парк № 5" в ремонтно-механических цехах на рабочих местах электрогазосварщиков и электросварщиков ручной сварки в период с января 2006 года по декабрь 2008 года включительно при ручной дуговой сварке. Измерения проводились при работающей приточно-вытяжной вентиляции.

Концентрация железа оксида была в пределах от 1,22 мг/м³ до 1,82 мг/м³, что находилось в пределах допустимой концентрации. Минимальная концентрация данного неорганического токсиканта на предприятии УМСР "Строительного треста № 20" составила 1,22 мг/м³, что говорит об использовании в работе фтористокальциевых электродов марки МР-3, а также о том, что материалы, используемые для проведения сварочных работ, соответствовали стандартам. Максимальная концентрация железа оксида наблюдалась в ноябре месяце 2008 года и составила 1,82 мг/м³. Данный диапазон концентрации говорит об менее эффективной работе приточно-вытяжной вентиляции.

В этот же период на предприятии РДАУП "Автобусный парк № 5" в ремонтно-механическом цеху на рабочем месте электросварщика ручной сварки был произведен отбор проб воздуха рабочей зоны на содержание в нем железа оксида. Измерения проводились при работающей приточно- вытяжной вентиляции. Концентрация железа оксида составила от 1,55 мг/м³ до 2,20 мг/м³, что находилось в пределах допустимой концентрации. Данный диапазон концентраций свидетельствует о менее эффективной работе приточно-вытяжной вентиляции, так как на данном рабочем месте наблюдалось более высокий диапазон измеренных концентраций, а так же говорит об использовании рутиловых электродов при проведении сварочных работ, также о использовании в работе низколегированных конструкционных сталей. Как видно из графика снижение концентрации железа оксида наблюдается в летний период, что говорит об использовании наряду с принудительной приточно-вытяжной и местной вентиляции.

При проведении сварочных работ в состав выделяемого сварочного аэрозоля входит железа оксид (III). Наличие или отсутствие этого неорганического токсиканта говорит об используемых материалах при проведении сварочных работ. При наличии в сварочном аэрозоле железа оксида можно говорить об использовании рутиловых электродов в сварочных работах.


3.3 Определение содержания марганца в сварочном аэрозоле

Марганец является основным неорганичеким токсикантом в сварочном аэрозоле воздуха рабочей зоны. Наличие или отсутствие его анализируемых пробах говорит о марке применяемых электродах при проведении сварочных работ. Определение содержания марганца в сварочном аэрозоле воздуха рабочей зоны было проведено в период с января 2006 года по декабрь 2008 года включительно на предприятии УМСР "Строительного треста № 20". Отбор проб воздуха рабочей зоны на содержание в нем марганца был проведен на рабочих местах электрогазосварщиков в ремонтно-механическом цеху при ручной дуговой сварке. Измерения проводились при работающей приточно-вытяжной вентиляции. Концентрация марганца была в пределах от 0,06 мг/м³ до 0,19 мг/м³, что находится в пределах допустимой концентрации. Данные концентрации говорят нам об эффективном использовании вентиляционной системы и соблюдении технологического процесса. Минимальная концентрация наблюдалась в августе месяце 2006 года, максимальная концентрация наблюдалась в январе месяце 2008 года. По данным представленным в таблице 7 видно, что также прослеживается зависимость концентраций от пары года, то есть в летне-осенний период наблюдается снижение концентраций марганца на подконтрольных рабочих местах. В этот же анализируемый период на предприятии РДАУП "Автобусный парк № 5" в ремонтно-механическом цеху на рабочем месте электросварщика ручной сварки был произведен отбор проб воздуха рабочей зоны на содержание в нем марганца. Измерения проводились при работающей приточно- вытяжной вентиляции. Концентрация марганца составила от 0,07 мг/м³ до 0,19 мг/м³, что находилось в пределах допустимой концентрации. Данный диапазон концентраций говорит о использовании в работе электрогазосварщика марганцевых электродов марки АНО-4, что свидетельствует о более высокой концентрации по сравнению с другим предприятием. Минимальная концентрация марганца наблюдалась в августе месяце 2006 года, что говорит об использовании на данном рабочем месте естественной вентиляции. Как видно из результатов исследований, представленных в таблице 7 максимальная концентрация марганца составила 0,19 мг/м³ наблюдалась как на предприятии УМСР "Строительного треста № 20", так и на предприятии РДАУП "Автобусный парк № 5" в осенне-зимний период. Эта концентрация говорит нам о том, что на рабочих местах электрогазосварщиков при проведении сварочных работ открываются окна для более лучшей вентиляции помещения где проводятся сварочные работы, а также для предотвращения развития профессиональных заболеваний у работающих.

Таблица 7 - Содержание марганца в сварочном аэрозоле предприятий г. Светлогорска


3.4 Содержание оксида азота (IV) в сварочном аэрозоле

Окислы азота - это нитрогазы. Они представляют собой смесь различных окислов азота. Окислы азота могут выделяться в производстве азотной кислоты, в производстве взрывчатых веществ, при проведении сварочных работ и газорезке. Основное значение имеет азота оксид. Он является сильным метгемоглобинобразователем и нейротропным ядом. Поэтому необходим контроль за его содержанием в воздухе рабочей зоны на рабочих местах электрогазосварщиков при проведении сварочных и газорезочных работ.

В ремонтно-механическом цеху на рабочем месте электрогазосварщика в период с января 2006 года по декабрь 2008 года включительно на предприятии УМСР "Строительного треста № 20" при ручной дуговой электросварке был произведен отбор проб воздуха рабочей зоны на содержание в нем азота оксида (IV). Измерения проводились при работающей приточно-вытяжной вентиляции.

Минимальная концентрация азота оксида наблюдалась в июле месяце 2006 года и составила 1,22 мг/м³, а максимальная концентрация наблюдалась в октябре 2008 года и составила 1,71 мг/м³, что находится в пределах допустимой концентрации. Предельно-допустимая концентрация на азота оксид составляет 5,0 мг/м³. В динамике концентрация азота оксида (IV) в течение анализируемого периода не выходила за пределы предельно-допустимой концентрации и находилась в пределах от 1,22 мг/м³ до 1,71 мг/м³. Имелись отдельные всплески изменения концентраций в зимние месяцы каждого года, что говорит об использовании в сварочных работах разных марок электродов и марок стали. На данном предприятии на рабочем месте электрогазосварщика наблюдался минимальный диапазон концентраций, что свидетельствует также о соблюдении технологического процесса при проведении сварочных работ.

В этот же период на предприятии РДАУП "Автобусный парк № 5" в ремонтно-механическом цеху на рабочем месте электросварщика ручной сварки был произведен отбор проб воздуха рабочей зоны на содержание в нем азота оксида. Измерения проводились при работающей приточно-вытяжной вентиляции. Концентрация азота оксида составила от 1,32 мг/м³ до 1,65 мг/м³, что находилось в пределах допустимой концентрации. На данном предприятии диапазон измеренных концентраций был приблизительно на одном уровне с предприятием УМСР "Строительного треста № 20", что свидетельствует об эффективной работе приточно-вытяжной вентиляции и использовании в работе рутиловых электродов марки АНО-4. Как видно из рисунка 6 колебания оксида азота (IV) незначительны. Это говорит о преимущественном использовании в работе одних и тех же материалов, в частности электродов марки АНО-4, а также одинаковых марок стали при проведении сварочных работ.


.5 Содержание озона в сварочном аэрозоле

Озон в производственных условиях встречается везде, где происходит образование электрических искр, особенно тихих разрядов. Значительное количество может образоваться при работе электронных микроскопов, рентгеновских аппаратов, при проведении сварочных работ. Поэтому определение озона на рабочих местах является необходимым для контроля за составом сварочного аэрозоля, а также позволяют своевременно выявлять превышения предельно-допустимой концентрации данного вещества в воздухе рабочей зоны электрогазосварщиков, и тем самым улучшить условия их труда.

Определение содержания озона проводились в период с января 2006 года по декабрь 2008 года двух предприятиях: на предприятии УМСР "Строительного треста № 20"и РДАУП "Автобусный парк № 5".

На предприятии УМСР "Строительного треста № 20" на рабочем месте электрогазосварщика в ремонтно-механическом цеху при ручной дуговой сварке был произведен отбор проб воздуха рабочей зоны на содержание в нем озона. Измерения проводились при работающей приточно-вытяжной вентиляции и на открытом воздухе. Все исследования проводились на базе Учреждения "Светлогорский зональный центр гигиены и эпидемиологии" лабораторией по исследованию воздуха рабочей зоны.

Минимальная концентрация озона составила 0,031 мг/м³ в июле месяце 2007 года. Максимальная концентрация озона составила 0,060 мг/м³ в ноябре месяце 2008 года, что находится в пределах допустимой концентрации объясняется тем, что работы проводились в основном в закрытых помещениях на сварочных постах. Минимальная концентрация озона говорит о том, что сварочные работы проводились на открытом воздухе (на строительных площадках), что в свою очередь ведет к рассеиванию паров озона в воздушную среду. Также данный диапазон концентраций говорит о том, что материалы, используемые при проведении сварочных работ соответствуют стандартам. Предельно-допустимая концентрация озона составляет 0,1 мг/м³.

В этот же период на предприятии РДАУП "Автобусный парк № 5" в ремонтно-механическом цеху на рабочем месте электросварщика ручной сварки был произведен отбор проб воздуха рабочей зоны на содержание в нем озона. Измерения проводились при работающей приточно-вытяжной вентиляции. Концентрация озона составила от 0,033 мг/м³ до 0,061 мг/м³, что находилось в пределах допустимой концентрации. На данном предприятии наблюдается максимальная концентрация озона в сварочном аэрозоле воздуха рабочей зоны двух подконтрольных предприятий, что свидетельствует о менее эффективной работе приточно-вытяжной вентиляции.

Как видно из рисунков 7 и 8 колебания измеренных концентраций на предприятиях зависит также от периода года (в теплый период года наблюдалось снижение концентраций в связи с использованием приточно-вытяжной и естественной вентиляций).

Таблица 8 - Содержание озона в сварочном аэрозоле предприятий г. Светлогорска



.6 Содержание углерода оксида в сварочном аэрозоле

Окись углерода - бесцветный и без запаха газ. Образуется при неполном сгорании углесодержащих материалов. Механизм токсического действия его связан с блокированием гемоглобина, с которым он образует карбоксигемоглобин, который не переносит кислород к тканям. Для предотвращения случаев отравлений оксидом углерода необходим контроль за его содержанием на всех рабочих местах, где происходит его выделение, в частности на рабочих местах электрогазосварщиков и газорезчиков.

В анализируемый период с января 2006 года по декабрь 2008 года включительно на предприятии УМСР "Строительного треста № 20" в ремонтно-механическом цеху на рабочем месте электрогазосварщика при ручной дуговой сварке был произведен отбор проб воздуха рабочей зоны на содержание в нем углерода оксида. Измерения проводились при работающей приточно-вытяжной вентиляции. Предельно-допустимая концентрация углерода оксида составляет 20,0 мг/м³.

Концентрация углерода оксида была в пределах от 4,3 мг/м³ до 8,25 мг/м³, что находится в пределах допустимой концентрации. На протяжении всего анализируемого периода изменения концентрации углерода оксида на данном предприятии наблюдались незначительные, так как специфика работы электрогазосварщиков не изменялась, то есть на этих рабочих местах работающие выполняли одинаковую работу. При анализе рисунка 9 видно, что наблюдаются скачкообразные изменения концентрации. Эти изменения зависят от времени года. В зимний период года наблюдается увеличение концентраций в 1,5 раза по сравнению с анализируемыми концентрациями за летний период. Это объясняется тем, что работы проводились в основном в закрытых помещениях на сварочных постах.

В тот же анализируемый период на предприятии РДАУП "Автобусный парк № 5" в ремонтно-механическом цеху на рабочем месте электросварщика ручной сварки был произведен отбор проб воздуха рабочей зоны на содержание в нем углерода оксида. Измерения проводились при работающей приточно-вытяжной вентиляции. Минимальная концентрация углерода оксида составляет 4,95 мг/м³ при предельно-допустимой концентрации 20,0 мг/м³, а максимальная концентрация составляет 8,4 мг/м³, что находилось в пределах допустимой концентрации. На основании этих данных видно, что на данном предприятии концентрация углерода оксида несколько выше по сравнению с предприятием УМСР "Строительный трест № 20". Это свидетельствует о менее эффективной работе вентиляционных систем.

Данный диапазон концентраций углерода оксида на подконтрольных предприятиях говорит о соблюдении технологического процесса при проведении сварочных работ, а также об использовании в сварочных работах высококачественных материалов (электродов, сталей, присадок, флюсов).


Заключение

Современное состояние технологических процессов и средств борьбы с поступлением вредных веществ в воздух рабочей зоны требует постоянного контроля за составом воздуха предприятий.

Фотометрический метод, наряду с другими методами анализа, позволяет определять содержание ангидрида хромового, марганца, оксида железа (III), азота оксида, озона и углерода оксида в воздухе рабочей зоны при сварочных работах.

На предприятии УМСР "Строительного треста № 20" в период с января 2006 года по декабрь 2008 года включительно концентрация хромового ангидрида была в пределах от 0,005 мг/м³ до 0,009 мг/м³ при ПДК 0,01 мг/м³, железа оксида от 1,22 мг/м³ до 1,82 мг/м³ при ПДК 6,0 мг/м³, марганца от 0,07 мг/м³ до 0,19 мг/м³ при ПДК 0,2 мг/м³, азота оксида в пределах от 1,22 мг/м³ до 1,63 мг/м³ при ПДК 5,0 мг/м³, озона от 0,031 мг/м³ до 0,060 мг/м³ при ПДК 0,1 мг/м³, углерода оксида от 4,30 мг/м³ до 8,25 мг/м³ при ПДК 20,0 мг/м³. В ходе проведенных исследований превышения предельно-допустимых концентраций не наблюдалось.

На предприятии РДАУП "Автобусный парк № 5" в период с января 2006 года по декабрь 2008 года включительно концентрация хромового ангидрида была в пределах от 0,005 мг/м³ до 0,01 мг/м³ при ПДК 0,01 мг/м³ , железа оксида от 1,50 мг/м³ до 2,20 мг/м³ при ПДК 6,0 мг/м³, марганца от 0,07 мг/м³ до 0,19 мг/м³ при ПДК 0,2 мг/м³, азота оксида в пределах от 1,32 мг/м³ до 1,65 мг/м³ при ПДК 5,0 мг/м³, озона от 0,032 мг/м³ до 0,061мг/м³ при ПДК 0,1 мг/м³, углерода оксида от 4,95 мг/м³ до 8,40 мг/м³ при ПДК 20,0 мг/м³. В ходе проведенных исследований превышения предельно-допустимых концентраций не зафиксировано.

Содержание вредных веществ в воздухе рабочей зоны не должно превышать предельно допустимых концентраций (ПДК), используемых при проектировании производственных зданий, технологических процессов, оборудования, вентиляции, для контроля за качеством производственной среды и профилактики неблагоприятного воздействия на здоровье работающих.

Результаты исследований могут быть использованы для контроля за составом сварочного аэрозоля, а также позволяют своевременно выявить превышение допустимых концентраций вредных веществ в воздухе рабочей зоны электросварщиков, и тем самым улучшить условия труда.

Список использованных источников

1.  Каспаров, А.А. Гигиена труда и промышленная санитария / А.А. Каспаров. - 2-е изд. - Минск.: Медицина, 1981. - 368с.

2.       Измерова, Н.Ф. Руководство по гигиене труда: учебное пособие / Н.Ф. Измерова. - М.: Медицина, 1987. - 445с.

.        Гигиеническая оценка сварочных материалов и способов сварки, на плавки и резки металлов МУ № 1924-78: сборник - М.: МП Рарог, 1990.- 125с.

.        Муравьева, С.И., Казнина, Н.И., Прохорова Е.К. Справочник по контролю вредных веществ в воздухе / С.И. Муравьева. - М.: Химия, 1988. - 320с.

.        Житкова, А.С. Методика определения вредных газов и паров в воздухе / А.С. Житкова. - М.: Оборонгиз, 1969. - 255с.

.        Клисенко, М.А., Лебедева, Т.А. Определение малых количеств ядохимикатов в воздухе, продуктах питания, биологических и других средах / М.А. Клисенко, Т.А. Лебедева. - К.: Медгиз, 1964. - 115с.

.        Ярым-Агаева, Я.Т. Новое в области промышленно-санитарной химии / Я.Т. Ярым-Агаева. - М.: Медицина, 1969. - 134с.

.        Коренман, Т.И. Анализ воздуха промышленных предприятий / Т.И. Коренман. - М.: Госхимиздат, 1969. - 235с.

.        Бабина, М.Д. Новое в области промсанхимии / М.Д. Бабина. - М.: Медицина, 1969. - 260с.

.        Агаев, Э.Р. Гигиена с основами организации здравоохранения / Э.Р. Агаев, Э.Э. Саркисянц. - М.: Медицина, 1970. - 268с.

.        Навроцкий, В.К. Гигиена труда / В.К. Навроцкий. - М.: Медицина, 1967. - 476с

.        Бабина, М.Д. Гигиена труда и профзаболевания / М.Д. Бабина. - М.: Медицина, 1961. - 250с.

.        Козлова, Н.П. Гигиена труда и профзаболевания / Н.П. Козлова. - М.: Медицина, 1971. - 180с.

.        Андреева-Галанина, Е. Ц., Бурлова, Л. Я. Гигиена труда и промышленная санитария : учебное пособие / Е.Ц. Андреева-Галанина, Л.Я. Бурлова. - М.: Медицина, 1966. - 288с.

.        Методические указания по определению вредных веществ в сварочном аэрозоле (твердая фаза, газы) МУ № 2348-81: сборник - М.: МП Рарог, 1992. - 109с.

17. Методические указания по определению вредных веществ в сварочном аэрозоле (твердая фаза, газы) МУ № 4945-88: сборник - М.: МП Рарог, 1992. - 109с.

18. Писаренко, В.В. Справочник химика-лаборанта: справочное пособие / В.В. Писаренко. - М.: Высшая школа, 1974. - 238с.

19.     Иванова, З.В. Гигиена и физиология труда / З.В. Иванова. - К.: Здоровье, 1966. - 220с.

.        Система стандартов безопасности труда. Вредные вещества. Классификация и общие требования безопасности ГОСТ 12.1.007-76 / М.: Государственный комитет по стандартам, 1988. - 5с.

.        Лазарев, Н.П. Вредные вещества в промышленности. Справочник для химиков, инженеров и врачей / Н.П. Лазарев, Э.П. Левина // Изд. 7-е, перер. и допол. в 3-х томах. - Л.: Химия, 1986. - Том 2 Неорганические вещества. - 592с.

.        Баштуева, К.А. Руководство по гигиене атмосферного воздуха / К.А. Баштуева. - М.: Медицина, 1976. - 416с.

.        Никитин, Д.П. Окружающая среда и человек / Д.П. Никитин, Ю.В. Новиков. - М.: Вышэйшая школа, 1986. - 415с.

.        Быховская, М.С., Македонская, Р.Н. Новое в области промышленно-санитарной химии / М.С. Быховская, Р.Н. Македонская. - М.: Медицина, 1969. - 248с.

.        Хализова, О.Д. Определение вредных веществ в воздухе / О.Д. Хализова -М.: Медгиз, 1967. - 265с.

.        Гуревич, В.Г. Определение вредных веществ в воздухе промышленных предприятий / В.Г. Гуревич. - К.: Гостехиздат, 1977. - 215с.

.        Система стандартов безопасности труда. Общие санитарно-гигиенические требования к воздуху рабочей зоны ГОСТ 12.1.005-88 / М.: Государственный комитет по стандартам, 1988. - 5с.

.        Баштуева, К.А. Руководство по гигиене атмосферного воздуха / К.А. Баштуева. - М.: Медицина, 1976. - 416с.

.        Толоконцев, Н.А. Основы промышленной токсикологии / Н.А. Толоконцев, В.А. Филов. - Л.: Медицина, 1976. - 304с.

.        Беляков, А.А., Гронсберг, Е.Ш. Определение вредных веществ в воздухе производственных помещений: учебное пособие / А.А. Беляков. - М.: Медицина, 1970. - 249с.

.        Баранова, В.Г. Основы физико-химических методов анализа / В.Г. Баранова - М.: НИИТЭХИМ, 1965.- 90с.

.        Быховская, М.С., Гинзбург, С.Л., Хализова О.Д. Методы определения вредных веществ в воздухе : практическое руководство / М.С. Быховская, С.Л.Гинзбург. - М.: Медицина, 1966. - 256с.

.        Другов, Ю.С., Беликов, А.Б. Методы анализа загрязнения воздуха / Ю.С. Другов, А.Б. Беликов. - М.: Химия, 1984. - 383с.

.        Лазарев, Н.П. Вредные вещества в промышленности. Справочник для химиков, инженеров и врачей / Н.П. Лазарев, Э.П. Левина // Изд. 7-е, перер. и допол. в 3-х томах. - Л.: Химия, 1986. - Том 2 Неорганические вещества. - 592с.

.        Булатов, М.И., Калинкин, И.П. Практическое руководство по фотометрическим методам анализа / М.И. Булатова, И.П. Калинкин. - Л.: Химия, 1986. - 432с.

.        Макеева, Е.П. Газовая хроматография в промышленной санитарии: учебное пособие / Е.П. Макеева. - М.: ЦОЛИУВ, 1986. - 48с.

.        Васильев, В.П. Теоритические основы физико-химических методов анализа / В.П. Васильев. - М.: Высшая школа, 1979. - 184с.

.        Соловьева, Т.В., Хрусталева, В.А. Руководство по методам определения вредных веществ в атмосферном воздухе / Т.В. Соловьева, В.А.Хрусталева. - М.: Медицина, 1963. - 301с.

.        Козляева, Т.И., Петрова М.А. Физико-химические методы определения вредных газов и паров в воздухе промышленных предприятий / Т.И. Козляева, М.А. Петрова. - М.: Госхимиздат, 1979. - 225с.

.        Быховская, М.С. Методы определения вредных веществ в воздухе и в других средах / М.С. Быховская. - М.: Медицина, 1960. - 312с.

.        Кондратьев, В.Г. Общая гигиена / В.Г. Кондратьев. - М.: Медицина, 1972. - 367с.

.        Коренман, Т.И. Определение вредных веществ в воздухе / Т.И. Коренман. - М.: Госхимиздат, 1969. - 175с.

.        Алексеева, М.В. Определение вредных веществ в воздухе производственных помещений / М.В. Алексеева. - М.: Госхимиздат, 1954. - 174с.

.        Перегуд, Е. А., Быховская, М.С. Быстрые методы определения вредных веществ в воздухе - 2-е изд. допол. и пераб. / Е.В. Перегуд, М.С. Быховская - М.: Химия, 1970. - 360с.

.        Демидов, А.В., Мохов, Л.А. Ускоренные методы определения в воздухе вредных газообразных и парообразных веществ / А.В. Демидов, Л.А. Мохов. - М.: Медгиз, 1962. - 147с.

.        Петров, А.М. Приборы и инструкции по определению промышленных ядов в воздухе / А.М. Петров. - М.: Горький, 1948. - 188с.

.        Вольберг, Н.Ш., Гершкович, Е.Э. Методика определения вредных газов и паров в воздухе / Н.Ш. Вольберг, Е.Э Гершкович. - М.: Медицина,1968. -200с.

.        Перегуд, Е.А. Санитарная химия полимеров / Е.А. Перегуд. - М.: Химия, 1967. - 250с.

.        Охрана природы. Атмосфера. Гравиметрический метод определения взвешенных частиц пыли ГОСТ 17.2.4.05-83 / М.: Государственный комитет по стандартам, 1988. - 3с.

.        Житкова, А.С. Экспрессные методы определения вредных газов и паров в воздухе промышленных предприятий / А.С. Житкова. - М.: Госхимиздат, 1946. - 255с.


Не нашли материал для своей работы?
Поможем написать уникальную работу
Без плагиата!
Без нейросетей!