Нитрование 2-метил-2-метоксиимидазолидин-4,5-диона
Введение
В последнее десятилетие в различных странах мира
ведутся активные исследования методов получения и свойств нового мощного
малочувствительного взрывчатого вещества (ВВ) 1,1-диамино-2,2-динитроэтилена
(ДАДНЭ, FOX-7). На
данный момент изучены многие его важнейшие характеристики и предложено
несколько методов получения, один из которых реализован в виде полузаводского
производства.
Повышенный интерес к ДАДНЭ связан с общей
тенденцией к разработке и использованию более безопасных «малоуязвимых» боеприпасов
и изделий, содержащих ВВ. Одним из путей их создания является использование
малочувствительных ВВ. К ним относится ДАДНЭ, наряду с НТО и некоторыми другими
веществами, которые планируют использовать для замены ТНТАБ, как не
удовлетворяющего современным требованиям по мощности и имеющего сложную
технологию производства.
Нитротриазолон прост в получении и обладает
хорошими специальными характеристиками, однако среди его недостатков следует
выделить наличие кислотных свойств и относительно невысокую мощность.
,1-диамино-2,2-динитроэтилен по мощностным
параметрам превосходит НТО, при близкой чувствительности, но технология его
получения до настоящего времени более сложна и дорога. А так как экономический
фактор в настоящее время играет одну из решающих ролей, то несомненно большее
внимание следовало бы уделить различным методам получения ДАДНЭ. В настоящей
работе рассматривается метод его получения, основанный на нитровании
2-метил-2-метоксиимидазолидин-4,5-диона. Данное соединение может быть
синтезировано с использованием недорогого диэтилоксалата, в отличие от
6-гидрокси-2-метилпиримидин-4(3Н)-она (также используемого для получения ДАДНЭ)
для производства которого требуется диэтилмалонат.
1. Литературный обзор
1.1 Общие сведения по нитрованию
имидазолов
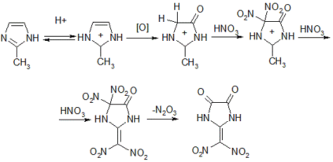
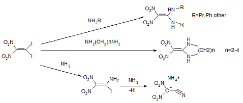
Как известно, существует два принципиально
отличающихся подхода к синтезу 1,1-диамино-2,2-динитроэтилена. Первый был
предложен Баумом и сотрудниками в 1992 году и заключается в замещении йода в
1,1-дийодо-2,2-
динитроэтилене на аминогруппу [1] (схема 2.1).
Схема 2.1
Этим методом было получено много интересных
1,1-бисалкил- и 1,1-бисарил-2,2-динитроэтиленов, но представляющий наибольший
интерес ДАДНЭ синтезировать не удалось.. Предполагается, что при использовании
аммиака в качестве реагента продуктом реакции является не
1,1-диамино-2,2-динитроэтилен, а аммониевая соль цианодинитрометана (NH4C(NO2)2CN),
предположительно образующаяся в результате отщепления молекулы HI
от монозамещённого 1-амино-1-йодо-2,2-динитроэтилена[1].
Одновременно был предложен второй подход, ранее
применявшийся при получении 1,1-диамино-2-циано-2-нитроэтилена [1], который
заключался в нитровании гетероцикла, содержащего фрагмент -NH-C(СH3)-N-,
с последующим его гидролизом. В качестве нитруемого гетероцикла первоначально
был выбран 2-метилимидазол.
Предварительные эксперименты подтвердили, что
выход 2-метил-4(5)-нитроимидазола при высокотемпературном нитровании
2-метилимидазола далёк от количественного. По этой причине большое внимание
было уделено низкотемпературному нитрованию и попыткам выделить интермедиат,
предшествующий расщеплению кольца. Нитрование 2-метилимидазола азотной кислотой
в 85-105% серной кислоте в основном протекает довольно быстро при комнатной
температуре. Время реакции варьируется от 3 до 6 часов, что хорошо согласуется
с данными, полученными для имидазола [2]. Выход продукта сильно зависит от
концентраций кислот [3].
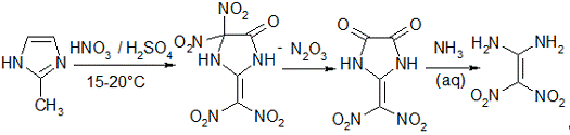
Нитрование в 101-105 % серной кислоте при 15-20˚С
приводит к 2-метил-4(5)-нитроимидазолу с выходом 50-70 %, одновременно
образуется небольшое количество парабановой кислоты (рис. 2.1).
Рис. 2.1 Рис. 2.2
Нитрование в 80-100 % серной кислоте при этой же
температуре приводит к ранее ненаблюдаемому нестабильному соединению (рис. 2.2),
которое было выделено из раствора с выходом не более 15 %. Основным продуктом
реакции оказалась парабановая кислота (60 % выход в 92 % серной кислоте) и
небольшое количество 2-метил-4(5)-нитроимидазола. Было показано, что полученный
2-(динитрометилен)-4,4-динитроимидазол-5-он, за 5 часов разлагается до
2-(динитрометилен)- имидазолидин-4,5-диона с выделением оксидов азота. Механизм
реакции может быть представлен схемой 2.2 [3].
Схема 2.2
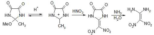
При гидролизе 2-(динитрометилен)-
имидазолидин-4,5-диона, полученного по схеме 2.2, водным раствором аммиака
выход ДАДНЭ составил 85 % [3].
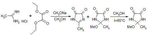
В дальнейшем было предложено в качестве
нитруемого объекта использовать 2-метил-2-метоксиимидазолидин-4,5-дион, который
был получен конденсацией гидрохлорида ацетамидина и диэтилоксалата в
присутствии метилата натрия при комнатной температуре. Образующийся в
результате реакции 2-метил-3(Н)-имидазол-4,5-дион был переведён в форму
2-метил-2-метоксиимидазолидин-4,5-диона перекристаллизацией из метанола (схема
2.3) [4].
Схема 2.3
При нитровании
2-метил-2-метоксиимидазолидин-4,5-диона выход 2-(динитрометилен)-
имидазолидин-4,5-диона составил 67 %, что значительно выше, чем при нитровании
2-метилимидазола. Выход ДАДНЭ при гидролизе 2-(динитрометилен)-
имидазолидин-4,5-диона в водном растворе аммиака составил 87 %. Механизм
реакции может быть представлен схемой 2.4.
Схема 2.4
Далее приведён ряд литературных методик
получения ДАДНЭ опубликованных в последнее время.
1.2 Синтез ДАДНЭ из 2-метилимидазола
[3]
,1 г (0,05 моль) мелко измельченного
2-метилимидазола растворяют в 40 мл концентрированной серной кислоты при 15-200С.
При интенсивном перемешивании и той же температуре добавляют 8 мл
концентрированной азотной кислоты (r=1,52 г/см3)
в течение получаса. Первоначально темный раствор постепенно становится розовым.
Через 3 часа выпадает белый осадок, который несколько раз промывают
трифторуксусной кислотой и высушиывют в вакууме при 00 С. Получают с
выходом 15% (1,7 г) белый кристаллический ДНМИД.
,2 г ДНМИДа растворяют в смеси 5 мл воды и 2 мл
25% аммиака добавляют для достижения рН 8-9. Белый продукт растворяется, и
через несколько секунд выпадают желтые кристаллы ДАДНЭ - сырца. Вещество
промывают водой и сушат при 500С. Получают 0.8 г ДАДНЭ (выход при
гидролизе выше 87%, суммарный выход на 2-метилимидазол ~13%).
1.3 Синтез ДАДНЭ из ацетамидина
через 2-метокси-2-метил-4,5-имидазолидиндион (ММИД) [4]
Первый вариант синтеза
Стадия 1.
В 2 л колбу помещают 860 мл метанола
и 232 мл 30% раствора метилата натрия в метаноле. К раствору при перемешивании
и комнатной температуре добавляют 36,48 г гидрохлорида ацетамида. Диэтилоксалат
(55,88 г) в метаноле (400 мл) добавляют к смеси в течение 3 часов с последующим
перемешиванием еще в течение 1 часа. рН реакции поддерживают около 4
добавлением концентрированной НСl при температуре ниже 300С.
Нерастворимые соли отделяют фильтрованием через Filteraid (APS 1739), а
фильтрат упаривают досуха при температуре до 300С, получая белый
осадок. Последний смешивают с 320 мл кипящего метанола, чтобы удалить остаток
солей при горячем фильтровании. Общий объем фильтрата уменьшают до 320 мл.
После охлаждения в течение ночи в холодильнике получают 35,5 г (64%) кристаллического
ММИД.
Позднее 2 и 3 стадия этого процесса
были описаны для укрупненных опытов.
Стадия 2.
В колбу помещают 198 мл
концентрированной H2SO4, охлаждают eё на ледяной
бане и медленно добавляют 35,4 г ММИД. Получают прозрачный желтый раствор, к
которому добавляют по каплям в течение 1 часа при температуре ниже 300С
43 мл 70% HNO3. В конце
слива образуется светло-оранжевая суспензия, которую перемешивают еще 30 минут.
2,2-Динитрометилен-4,5-имидазолидиндион (ДНМИД) - сырец отфильтровывают,
высушивают на воздухе (выход 63%) и переносят в колбу со 120 мл воды.
Стадия 3.
Суспензию охлаждают до 300С
и приливают по каплям 30% раствор аммиака при 20 - 300С до
достижения рН = 9. Полученную суспензию перемешивают при комнатной температуре
еще 2 часа, затем осадок отфильтровывают и промывают водой (4 раза). После
воздушной и вакуумной сушки получают желтый кристаллический осадок ДАДНЭ. Выход
19,66 г (54,1%) на ММИД.
Суммарный выход по ацетамидину
составил 34,6%
Второй вариант синтеза[5]
стадия.
,7 г (0,34 моль) металлического
натрия растворяют в 300 мл метанола и к раствору добавляют 9,6 г гидрохлорида
ацетамида (0,1 моль). Раствор перемешивают 15 минут, после чего в течение 3
часов добавляют раствор 15,1 г (0,103 моль) диэтилоксалата в 100 мл метанола.
Реакционную массу обрабатывают газообразным НСl до рН
равного 5. Отфильтровывают NaCl, а фильтрат упаривают при
30-350С до 70 - 80 мл. Из концентрата выпадает белый осадок,
содержащий примесь NaCl. Продукт экстрагируют в Сокслете
ацетоном и после перекристаллизации из метанола получают 9,6 г ММИД (выход
64%).
стадия.
,4 г ММИД растворяют при 15 - 200С
в 9 мл H2SO4 (r= 1,84 г/см3). 1,5
мл концентрированной HNO3 приливают по
каплям в течение 5 минут. Температуру поддерживают ниже 300С. Через
10 мин образуется осадок динитрометиленимидазолдиона, который отфильтровывают,
промывают 3 раза трифторуксусной кислотой (по 5 мл) и сушат в вакууме при
комнатной температуре. Выход продукта - 63%.
3 стадия проводится
как в [4]
Выход по ацетамидину около 30% [5].
1.4 Синтез ДАДНЭ из
2-метил-4,6-пиримидиндиона
Первый вариант синтеза [5]
,1 г 2-метил-4,6-пиримидиндиона
растворяют в 40 мл концентрированной серной кислоты при 15 -200С,
при той же температуре в течение получаса приливают 8 мл азотной кислоты (r- 1,52 г/см3).
Через 3 часа реакционную массу выливают в воду, отфильтровывают блестящий
желтый порошок, промывают его водой, сушат при 500С и получают 2,6 г
ДАДНЭ (выход 35%).
Второй вариант синтеза [7]
а) К 38 мл концентрированной Н2SO4 при
интенсивном перемешивании и 15-200С порциями добавили 12,6 г (0,07
моль) 2-метил-4,6-дигидроксипиримидина, охладили до 5-100С и при
этой температуре добавили 85 г 98% HNO3. Через 1
час реакционную массу охладили до 0-50С и вылили в 700 мл воды.
Через 12 часов выпавший осадок отфильтровали и перекристаллизовали из ДМФА.
Выход 8,1 г (75%) , Тпл. 2200 с разл.
б)
г (0,03 моль) свежеприготовленного
4,6-дигидрокси-5,5-динитро-2-(динитрометилен)-2,5-дигидропиримидина, интенсивно
перемешивая при 15-20єС, вносили в 70 мл воды, при необходимости подкисляли
разбавленной серной кислотой до рН 2 и выдерживали 1-2 часа при 18-20єС. Жёлтый
кристаллический осадок отфильтровали, промывали водой и сушили на воздухе.
Выход 4,4 г (90%).
Синтез
4,6-дигидрокси-5,5-динитро-2-(динитрометилен)-2,5-дигидропиримидина [7]

Третий вариант синтеза [8]
1 стадия.Получение
2-метилпиримидин-4,6(3Н,5Н)-диона.
г (2.5 моль) метилата натрия
растворяют в 1300 мл метанола, после чего к смеси при комнатной температуре
прибавляют 94,5 г (1 моль) ацетамидина гидрохлорида. После растворения
солянокислого ацетамидина при комнатной температуре и перемешивании к
реакционной массе приливают раствор 160 г (1 моль) диэтилмалоната в 200 мл
метанола. Смесь нагревают до 50єС и при этой температуре перемешивают 2 часа,
затем выдерживают 24 часа при 20єС. Далее раствор подкисляют концентрированной
соляной кислотой до рН около 6. В реактор приливают 1 дм3 воды.
Нерастворённый остаток фильтруют, промывают водой и сушат. Выход
2-метилпиримидин-4,6(3Н,5Н)-диона 97%.
стадия. Нитрование
2-метилпиримидин-4,6(3Н,5Н)-диона.
г (1 моль)
2-метилпиримидин-4,6(3Н,5Н)-диона растворяют в 600 мл концентрированной серной
кислоты (ρ=1,84
г/см3)
при перемешивании и температуре 20єС. К полученному жёлтому раствору прибавляют
200 мл азотной кислоты (ρ=1,52 г/см3)
в течение 1 часа(при этой же температуре). Смесь перемешивают 3 часа при 15єС,
после чего выливают в 4,5 дм3 ледяной воды. Жёлтые кристаллы
фильтруют, промывают водой и сушат. Выход ДАДНЭ 110 г (74 %).
2. Экспериментальная часть
.1 Ацетамидин солянокислый
1 стадия
Сухой хлористый водород пропускают
через раствор 75 г (1,83 моль) сухого ацетонитрила в 107,25 г (1,88 моль)
абсолютного этилового спирта при интенсивном перемешивании механической
мешалкой. Реакция проводится во взвешенной колбе объёмом 1 л, охлаждаемой
смесью льда и соли. Сухой хлороводород получают в газогенераторе путём
прикапывания серной кислоты к смеси поваренной соли и соляной кислоты, при этом
выделялся газообразный НСI .Через хлоркальциевую трубку НСI пропускался
через раствор до тех пор, пока вес колбы с содержимым не увеличится на 72 г
(1,95мольНСI), на что
требуется около 2 часов. После этого колбу тщательно закупоривают
хлоркальциевой трубкой, и оставляют стоять в бане с водой t =20°C до тех пор,
пока реакционная масса не превратится в сплошную массу кристаллов, что
происходит через 3 дня.
2 стадия
Готовится раствор сухого аммиака в
абсолютном этаноле (через 450 мл абсолютного этанола пропускают сухой аммиак из
газогенератора в котором 25% аммиак дозируется на сухой гидроксид натрия;
аммиак пропускают до привеса массы 46,95 г).
Твёрдую кристаллическую массу
солянокислого иминоэфира разламывают шпателем, добавляют 150 мл абсолютного
этанола и при перемешивании механической мешалкой добавляют 450 мл спиртового
раствора аммиака (9,2 моль NН3 на 1,5 л)*. Кристаллы
постепенно растворяются с выделением твёрдого хлористого аммония. После
7-часового перемешивания хлористый аммоний отфильтровывают, а фильтрат упаривают
на роторном испарителе до объёма 150 мл. Колбу убирают в холодильник на 30
минут. Выпавшие кристаллы солянокислого ацетамидина переносят на фильтр и
промывают 15 мл холодного абсолютного этанола. Маточник дополнительно упаривают
почти досуха, в результате чего получают дополнительную порцию целевого
продукта. Окончательно продукт сушат в вакуумном шкафу при t = 35°С над
хлоридом кальция, хранят в тёмном месте в герметичной упаковке.
Выход 110 г (64 %). ИК: 3311см-1
(=NH), 3132 см-1
(NH2), 1700 см-1
(С=N)
* - в одном из вариантов синтеза
использовали 570 мл этанола содержащего 5% аммиака. Поглощение необходимого
количество аммиака достигалось пропусканием газообразного аммиака до требуемого
привеса.
2.2
2-метил-2-метоксиимидозолидин-4,5-дион
Метод 1
В трёхгорлой колбе, снабжённой
обратным холодильником, термометром и перемешивающим устройством, готовят
раствор метилата натрия в метаноле путём растворения 3,04 г (0,132 моль)
металлического натрия в 66мл метанола, осушённого гидридом кальция. Отдельно
готовят раствор 5 г (0,053моль) солянокислого ацетамидина в 13,3мл абсолютного
метанола, к которому затем приливают 7,71г (0,053моль) диэтилоксалата.
Полученный раствор быстро вливают в колбу с метилатом натрия и реакционную
массу перемешивают в течение 1 часа. Прибавляют 79,2мл абсолютного метанола и
кипятят 1час при t = 75 -80°С с обратным
холодильником. Чтобы нейтрализовать метилат натрия в колбу с реакционной массой
приливают 35 %-ый раствор соляной кислоты до рН =5-6. Раствор фильтруют, осадок
промывают горячим метанолом, а фильтрат упаривают досуха.
В продуктах реакции в основном
присутствует неизменный метиламидин. ИК: 3311см-1 (=NH), 3132 см-1
(NH2), 1700 см-1
(С=N)
Метод 2
В трёхгорлой колбе, снабжённой
обратным холодильником, термометром и перемешивающим устройством, готовят
раствор метилата натрия в метаноле путём растворения 3,04 г (0,132 моль)
металлического натрия в 66мл метанола, осушённого гидридом кальция. Отдельно
готовят раствор 5 г (0,053моль) солянокислого ацетамедина в 13,3мл абсолютного
метанола, к которому затем приливают 7,71г (0,053моль) диэтилоксалата.
Полученный раствор быстро вливают в колбу с метилатом натрия и реакционную
массу перемешивают в течение 3 часов. Чтобы нейтрализовать метилат натрия в
колбу с реакционной массой дозируют соляную кислоту (35%) до рН=4-5. Смесь
переносят в одногорлую колбу и отгоняют растворитель досуха. Осадок растирают в
ступке и переносят в колбу со 100мл кипящего абсолютного метанола. Раствор
фильтруют, а осадок промывают кипящим метанолом (абс) Фильтрат кипятят при
75-80°С 1час с обратным холодильником. Колбу со смесью подсоединяют к роторному
испарителю и упаривают растворитель досуха.
В продуктах реакции в основном
присутствует неизмененный метиламедин. ИК: 3311см-1 (=NH), 3132 см-1
(NH2), 1700 см-1
(С=N)
Метод 3
В трёхгорлой колбе, снабженной
обратным холодильником, термометром и механической мешалкой готовят раствор
метилата натрия 11,5г (0,5 моль) металлического натрия в 250мл метанола,
осушённого гидридом кальция. Отдельно готовят раствор 18,9 г (0,2моль)
солянокислого ацетамедина в 50мл абсолютного метанола и быстро приливают к
метилату натрия. Затем готовят раствор 29,2г(0,2моль) диэтилоксалата в 16мл
абсолютного этанола.
Раствор диэтилоксалата в спирте
дозируют на протяжении 3-х часов при постоянном перемешивании и температуре
25°С. После окончания дозировки раствор выдерживают 1ч при постоянном
перемешивании и температуре 30°С. Чтобы нейтрализовать метилат натрия в колбу с
реакционной массой пропускают сухой хлороводород до рН=7. Смесь переносят в
одногорлую колбу и отгоняют растворитель досуха. Осадок растирают в ступке и
переносят в колбу со 300 мл кипящего абсолютного метанола. Раствор фильтруют, а
осадок промывают кипящим метанолом (абс.) Фильтрат кипятят при 75-80°С 1ч с
обратным холодильником. Колбу со смесью подсоединяют к роторному испарителю и
упаривают растворитель досуха. Остаток растворяют в 250 мл сухого метанола и
оставляют на ночь в морозильной камере при -18, отфильтровываются выпавшие
кристаллы. По данным ИК спектроскопии( NH-3251 см-1,
C=O - 1752,
1701 см-1, O-CH3 - 1176 см-1)
данное соединение идентифицировано как 2-метил-2-метоксиимидазолидин-4,5-дион.
Выход 26%. После упаривания маточного раствора было получено ещё некоторое
количество продукта. Он был идентифицирован как
(этанимидолиламино)(оксо)укусная кислота (ИК: 3415 см-1 3280 см-1,
3234 см-1 - (NH), (ОН), 1778 см-1
(С=О), 1706 см-1 (С=О), 1694 см-1 (амид I), 1510 см-1
(амид 2)). Выход 3,5 г, 15 %.
Метод 4
В трёхгорлой колбе, снабженной обратным
холодильником, термометром и механической мешалкой готовят раствор метилата
натрия растворением 3,04г (0,132 моль) металлического натрия в 50мл метанола,
осушённого гидридом кальция. Отдельно готовят раствор 5 г (0,053моль)
солянокислого ацетамидина в 13,3 мл абсолютного метанола и быстро приливают его
к раствору метилата натрия. Затем готовят раствор 7,71г (0,053моль)
диэтилоксалата в 16мл абсолютного метанола.
Раствор диэтилоксалата в спирте
дозируют на протяжении 3-х часов при постоянном перемешивании и температуре
25°С. После окончания дозировки раствор выдерживают 1ч при постоянном
перемешивании и температуре 30°С. Чтобы нейтрализовать метилат натрия в колбу с
реакционной дозируют соляную кислоту (35%) до рН=3-4. Смесь переносят в
одногорлую колбу и отгоняют растворитель досуха. Осадок растирают в ступке и
переносят в колбу со 100мл кипящего абсолютного метанола. Раствор фильтруют, а
осадок промывают кипящим метанолом (абс). Фильтрат кипятят при 75-80°С 1час с
обратным холодильником. Колбу со смесью подсоединяют к роторному испарителю и
упаривают растворитель досуха. Выход гидрохлорида ММИД составил 17,6 г., 95%.
ИК 3524, 3452, 3235, 3126 см-1-NH, 1753, 1700
см-1-C=O, 1176 см-1-O-CH3; 1489,
1439, 1412,1383 см-1
2.3 2-метил-1Н-имидазол-4,5-дион
метод
В трёхгорлой колбе, снабженной
обратным холодильником, термометром и механической мешалкой готовят раствор
этилата натрия путём растворения 3,04г (0,132 моль) металлического натрия в
50мл этаноле при t =50°С, осушённого гидридом кальция.
Отдельно готовят раствор 5 г (0,053моль) солянокислого ацетамидина в 13,3мл
абсолютного этанола и быстро приливают к этилату натрия. Затем готовят раствор
7,71г(0,053моль) диэтилоксалата в 16 мл абсолютного этанола.
Раствор диэтилоксалата в этиловом
спирте дозируют на протяжении 3-х часов при постоянном перемешивании и
температуре 25°С. После окончания дозировки раствор выдерживают 1час при
постоянном перемешивании и температуре 30°С. Чтобы нейтрализовать этилат натрия
в колбу с реакционной массой дозируют соляную кислоту (35%) до рН=3-4. Смесь
переносят в одногорлую колбу и отгоняют растворитель досуха.
Смесь с хлоридом натрия не
разделялась. По ВЭЖХ (колонка - Silfsorb CN, 5 μ, 120*2 мм,
элюент - 95% Ацетонитрил - 4,8% вода - 0,2% уксусная кислота, 200 μl/min, детектор
216, 224, 232 нм) объем удержания основного компонента - 680 мкл. ИК:
3200-3600 см-1 (NH*HCl), 1750 см-1
(С=О), 1419 (амид II).
Метод 2
В трёхгорлой колбе, снабженной
обратным холодильником, термометром и механической мешалкой, готовят раствор
изопропилата натрия растворением 3,04г (0,132 моль) металлического натрия в 70
мл изопропилового спирта при кипячении, осушённого гидридом кальция. Отдельно
готовят раствор 5 г (0,053моль) солянокислого ацетамидина в 25 мл кипящего
абсолютного изопропанола и быстро приливают к изопропилату натрия. Затем
готовят раствор 7,71г(0,053моль) диэтилоксалата в 16мл абсолютного
изопропилового спирта. Раствор диэтилоксалата в спирте дозируют на протяжении
3-х часов при постоянном перемешивании и температуре 40°С. После окончания
дозировки раствор выдерживают 1час при постоянном перемешивании и температуре
45°С. Чтобы нейтрализовать изопропилат натрия в колбу с реакционной массой
дозируют соляную кислоту (35%) до рН=3-4. Смесь переносят в одногорлую колбу и
отгоняют растворитель досуха. Осадок растирают в ступке и переносят в колбу со
100мл кипящего абсолютного изопропанола. Раствор фильтруют, а осадок промывают
кипящим ИПСом (абс). Колбу с фильтратом подсоединяют к роторному испарителю и
упаривают растворитель досуха.
По ВЭЖХ полученный продукт
представляет смесь разделение которой не производилось.
2.4 Синтез ДАДНЭ из 2-метил-2-метоксиимидазолидин-4,5-диона
(ММИД)
Стадия 1
Метод 1
В трехгорлой колбе, снабженной
капельной воронкой, термометром и механической мешалкой, готовят раствор 0,5 г
(3,4 ммоль) ММИД в серной кислоте 18 мл (ρ = 1,84 г/см3)
при постоянном перемешивании и t = 15-20єС. ММИД дозируется порциями
по 0,36 г четыре раза, при этом добавление каждой новой порции происходит после
растворения предыдущей. После добавления последней порции дают выдержку 5 - 10
минут. Дозировка азотной кислоты в количестве 1,8 мл (43 ммоль) 98 % ведётся на
протяжении 5 минут, при этом температура не должна превышать 25єС. При
добавлении первой капли раствор приобретает красноватый оттенок и образуется
осадок. По окончании дозировки азотной кислоты раствор приобретает
бледно-желтый цвет, после чего смесь выдерживают 10 мин. Раствор фильтруют на
фильтре Шота. Осадок на фильтре промывают 3-5 мл трифторуксусной кислоты. Выход
составил 0,6 г, 85%. ИК: 3311, 3248 см-1- NH; 1804, 1785
см-1- С=О; 1578, 1253 см-1 - NO2.
Метод 2
В трехгорлой колбе, снабженной капельной
воронкой, термометром и механической мешалкой, готовят раствор 1 г (6,9ммоль)
ММИД в 4.5 мл серной кислоты (ρ = 1,84 г/см3)
при постоянном перемешивании и t
= 15-20єС. ММИД дозируется порциями по 0,36 г четыре раза, при этом добавление
каждой новой порции происходит после растворения предыдущей. После добавления
последней порции дают выдержку 5 - 10 минут, а температуру понижают до 0єС.
Дозировка 98 % азотной кислоты в количестве 0,7 мл (16,6 ммоль) происходит на
протяжении 1 минуты, при этом температура не должна превышать 5°С. При
добавлении первой капли раствор приобретает красноватый оттенок, который быстро
исчезает. По окончании дозировки азотной кислоты дозировку прекращают и при достижении
20°С наблюдается резкое выделение осадка. Реакционную массу выдерживают 10-15
минут. Осадок отфильтровывают и без промывки используют на следующей стадии.
Метод 3
В трехгорлой колбе, снабженной капельной
воронкой, термометром и механической мешалкой, готовят раствор 1,44 г
(7,95ммоль) ММИД в серной кислоте 6 мл (ρ = 1,84 г/см3)
при постоянном перемешивании и t
= 15-20єС.наблюдается выделение газообразного НСI
ММИД НСI дозируется
порциями по 0,36 г четыре раза, при этом добавление каждой новой порции происходит
после растворения предыдущей. После добавления последней порции дают выдержку 5
- 10 минут. Дозировка азотной кислоты в количестве 1,1 мл (26 ммоль) 98 %
ведётся на протяжении 5 минут, при этом температура не должна превышать 25єС.
При добавлении первой капли раствор приобретает красноватый оттенок и
образуется осадок. По окончании дозировки азотной кислоты раствор приобретает
бледно-желтый цвет, после чего смесь выдерживают 10 мин. Осадок отфильтровывают
и без промывки используют на следующей стадии.
Стадия 2
2.5 Гидролиз
2-(динитрометилен)-4,5-имидозоледиона до 1,1-диамино-2,2-динитроэтилена
.
Метод 1
Реакционная масса с первой стадии без выделения
нитросоединения переливается в стакан с 20 мл колотого льда и перемешивается
механической мешалкой до полного растворения льда. Затем стакан с реакционной
массой переносят в баню с холодной водой и при постоянном перемешивании
дозируют 25% водный аммиак до pH
= 8. После окончания дозировки аммиака раствор выдерживают (при t
= 20єС) 20 мин - при этом выпадают желтые кристаллы. Кристаллы фильтруют и
промывают 5 мл дистиллированной воды . Кристаллы сушат в сушильном шкафу при
50єС. Выход ДАДНЭ составил 58-65%, после 2 х суточной выдержки из маточника
дополнительно может быть получено еще 2-9% целевого соединения. ИК: 3404 см-1,
3324 см-1, 3298 см-1, 1617 см-1-NH2;
1501 см-1 ,1191 см-1 -NO2.
Метод 2
Динитропроизводное с первой стадии синтеза
переносится в стакан с 5 мл дистиллированной водой и перемешивается механической
мешалкой до полного растворения продукта. Затем стакан с реакционной массой
переносят в баню с холодной водой и при постоянном перемешивании дозируют 25%
водный аммиак до pH
= 8. После окончания дозировки аммиака раствор выдерживают (при t=
20єС) 20 мин - при этом выпадают желтые кристаллы. Кристаллы фильтруют и
промывают 2 мл дистиллированной воды. Кристаллы сушат в сушильном шкафу при
50єС. Выход около 70%. ИК: 3404 см-1, 3324 см-1, 3298 см-1,
1617 см-1-NH2;
1501 см-1 ,1191 см-1 -NO2.
нитрование имидазол ацетамидин
гидролиз
2.5 Гидролиз
2-(динитрометилен)-4,5-имидозоледиона при рН=6
Реакционная масса с первой стадии
переливается в стакан с 20 мл колотого льда и перемешивается механической
мешалкой до полного растворения льда. Затем стакан с реакционной массой
переносят в баню с холодной водой и при постоянном перемешивании дозируют 25%
водный аммиак до pH = 6-7. После окончания дозировки
аммиака раствор выдерживают (при t = 20єС) 5 минут - при этом выпадают
бледно жёлтые кристаллы. Кристаллы фильтруют, промывают 2 мл дистиллированной
воды и сушат в эксикаторе над Р2О5 5-6 часов. Соединение
было идентифицировано по ИК спектру (ИК: 3301, 3186 см-1- NH; 1730, 1604
см-1- С=О; 1579, 1255 см-1 см-1-NO2) как аммонийная
соль [(1-амино-2,2-динитровинил)амино](оксо)уксусной кислоты II. Выход
целевого продукта: 0,88г (75%).
.6 Общая методика проведения
кинетических экспериментов
В термостатируемую ячейку помещали нитрующую
смесь (V=26 мл) и после 30
минут термостатирования при 25°С к ней присыпали заданную навеску (от 10 до 30
мг) нитруемого вещества (или приливали его раствор в Ѕ части серной кислоты,
используемой в опыте). Включается секундомер, и через определённые промежутки
времени из реакционной смеси пипеткой отбираются пробы (1 мл). Проба вносится в
колбу объёмом 100 мл, после чего дистиллированной водой объём доводится до 100
мл. Получаются 1,6-1,8 % растворы кислоты в воде.
Далее снимаются спектры поглощения
приготовленных таким способом растворов. В кювету сравнения заливается раствор,
полученный разбавлением в 100 раз кислотной смеси рабочей концентрации.
3. Обсуждение результатов
На первом этапе работы была предпринята попытка
оптимизации метода получения 2-метил-2-метоксиимидазолидин-4,5-диона (ММИД).
Первоначально был синтезирован ММИД по схеме
4.1. с использованием методики, описанной в [5], путем конденсации ацетамидина
с диэтилокалатом.
Схема 4.1 Синтез ММИД
В этом случае при использовании
раствора метилата натрия в метаноле с концентрацией 103 г/л выход целевого
продукта составил 46,5 %, что несколько ниже приведённого в оригинальной
методике [5], где выход составляет 64%.
Методом ВЭЖХ было подтверждено, что
полученный ММИД имеет чистоту не менее 95 %.
После получения ММИД по описанной
методике была проведена серия опытов, в которых тем или иным образом
варьировались условия эксперимента с целью оптимизации метода. Переменными
параметрами являлись следующие: время дозировки, время выдержки, порядок слива
компонентов и рН реакции в определённый момент времени. Неизменной оставалась
концентрация метилата натрия, который брали в избытке, исходя из расчёта 2,5
моль на 1 моль ацетамидина. В результате было установлено, что необходимыми
условиями реакции является проведение её в сильнощелочной среде и четкое
соблюдение рН на определённом этапе синтеза. В нейтральной и кислой среде
ацетамидин не вступает в реакцию с диэтилоксалатом, в продуктах реакции в
основном исходный ацетамидин, что подтверждают данные ИК спектроскопии: 3312 см-1-NH 2, 3133 см-1-NH, 1700 см-1,
1518 см-1, 1369 см-1, 663см-1.
После завершения циклизации
проводится нейтрализация избытка метилата натрия газообразным HCl или его
водным раствором. В литературных методиках рН после нейтрализации чётко не
определено, его значение колеблется от 4 [4] , 5[3]. до 5-6[5]. Поэтому была
проведена серия экспериментов с различной величиной рН при нейтрализации
реакционной массы.
Было установлено, что при рН=3-4
образуется гидрохлорид ММИД, что подтверждает проба с нитратом серебра и
ИК-спектр полученного соединения: 3524, 3452, 3235, 3126 см-1-NH, 1753, 1700
см-1-C=O, 1176 см-1-O-CH3; 1489,
1439, 1412,1383 см-1 и результаты ВЭЖХ анализа которые показали
идентичность полученного вещества с образцом. Существование продукта в виде
гидрохлорида также подтверждено при проведении титрования, в процессе которого
было установлено наличие одного моля хлороводорода в соли. Выход в пересчете на
гидрохлорид ММИД составил 95 %. Однако, попытки его выделения в свободном виде
нейтрализацией гидрокарбонатом натрия в водной среде привели к гидролизу
предположительно до ацетамидина (ИК-спектр продуктов гидролиза в основном
совпадают с ИК-спектром ацетамидина).
При рН=5-6 был получен
2-метил-2-метоксиимидазолидин-4,5-диона с выходом 46,5 %. Данные
ИК-спектроскопии: NH-3251 см-1, C=O - 1752,
1701 см-1, O-CH3 - 1176 см-1.
По данным ВЭЖХ вещество имеет достаточно высокую степень чистоты (не менее 95
%) рис.4.1.
Рис. 4.1 Данные ВЭЖХ по полученному
ММИД из метанола по литературной методике.
В этих условиях основные потери
целевого соединения приходятся на стадию очистки от хлорида натрия, так как она
затруднена его низкой растворимостью в органических растворителях.
При рН выше 6 была получена смесь по
данным ВЭЖХ состоящая из двух продуктов. Один из них по данным ВЭЖХ и ИК
спектроскопии был идентифицирован как ММИД по совпадению с образцовым, его
выход составил 23%. Второе соединение по данным ИК и ПМР спектроскопии идентифицирован
как (этанимидолиламино)(оксо)укусная кислота. Спектры приведены на рисунках
Вероятно, она образовалась в
результате частичного гидролиза целевого соединения в нейтральной среде водой,
содержащейся в реакционной массе. Следует отметить, что накопление данного
соединения наблюдалось также в процессе очистки ММИД перекристаллизацией из
метанола.
В ПМР спектре (рис. 4.2)
присутствуют сигналы: 2,25 м.д c 1H (СН3),
7,95 м.д. с 1Н (NH), 8.22 м.д. с 1Н (NH), 10,52
м.д. с 1Н (OH).
Рис. 4.2. ПМР спектр для
(этанимидолиламино)(оксо)укусной кислоты.
В ИК спектре (рис. 4.3) наблюдаются
следующие полосы: 3415 см-1 3280 см-1, 3234 см-1 -
(NH), (ОН),
1778 см-1 (С=О), 1706 см-1 (С=О), 1694 см-1
(амид I), 1510 см-1
(амид 2).
Рис. 4.3 ИК спектр для
(этанимидолиламино)(оксо)укусной кислоты.
Таким образом, было показано, что
при нейтрализации реакционной массы во избежание гидролиза и образования
гидрохлорида, рН раствора должен находится в области 5-6. При
перекристаллизации полученного ММИД необходимо использовать тщательно осушенный
метанол.
Как отмечалось выше, по литературным
данным, при проведении синтеза ММИД в среде метанола образуется смесь двух
продуктов: 2-метил-2-метоксиимидазолидин-4,5-диона и
2-метил-1Н-имидазол-4,5-дион, поэтому необходима дополнительная стадия, в ходе
которой происходит полное превращение 2-метил-1Н-имидазол-4,5-дион в
2-метил-2-метоксиимидазолидин-4,5-диона.
На следующем этапе работы была
предпринята попытка замены токсичного метанола на менее ядовитые растворители.
В качестве альтернативы метанолу были опробованы этиловый и изопропиловый
спирты. Условия реакции оставались неизменными по отношению к синтезу в
метаноле, за исключением температуры, это связано с более низкой растворимостью
исходных веществ в этаноле и изопропаноле. Синтез проводился при 35-40°С и
60-70°С, соответственно, вместо 20-25°С при проведении реакции в метаноле. В
этом случае ожидалось преимущественное образование 2-метил-1Н-имидазол-4,5-диона.
При проведении реакции в среде
изопропанола по данным ВЭЖХ была получена сложная смесь продуктов (рис 4.4).
Таким образом, проведение реакции в данных условиях не приводит к
положительному результату.
Рис. 4.4.По данным ВЭЖХ в среде
изопропанола была получена сложная смесь продуктов.
При проведении реакции в этаноле
образуется в основном один продукт отличный от получаемого в среде метанола,
рис.4.5
Рис. 4.5. Данные ВЖЭХ для продукта
из этанола.
Однако из-за низкой растворимости
образовавшегося соединения в этиловом спирте разделить его смесь с хлоридом
натрия не удалось и для дальнейшего нитрования это вещество не использовалось.
Таким образом, попытка замены
метилового спирта на этанол и ИПС к успеху не привели.
3.2 Изучение стадии гидролиза
2-динитрометилен-имидазолин-4,5-диона (ДНИД)
ДНИД был получен по литературной
методике (см. эксп. часть ), выход составил 85 %. Идентичность полученного
вещества подтверждена ИК-спектроскопией (рис. 4.6).
Найдены пики (см-1):
3311, 3248 см-1- NH; 1804, 1785 см-1-
С=О; 1578, 1253 см-1 см-1-NO2.
Рис 4.6. ИК-спектр для
2-динитрометилен-имидазолин-4,5-диона (ДНИД).
По литературным источникам его гидролиз
проводят в щелочной среде, обрабатывая ДНИД водным раствором аммиака при рН
около 8. Сведений о кислотном гидролизе найдено не было. Поэтому для изучения
возможности кислотного гидролиза и выбора оптимальных условий была изучена
зависимость скорости реакции от рН среды.
Измерение проводилось
спектрофотометрическим методом при комнатной температуре (22°С), из полученных
спектров рассчитывали константы скоростей и выход целевого продукта и делали
заключение об идентичности соединений.
Все кинетические кривые хорошо
описывались уравнением реакции первого порядка записанного для оптической
плотности:
D=A+B*exp(-k*t)
Где D -
оптическая плотность на выбранной длине волны
t - время
А - предельная оптическая плотность
в конце процесса
B - общее
изменение оптической плотности
k - константа
скорости реакции первого порядка
Гидролиз в кислой, нейтральной и
слабощелочной среде имеет некоторые различия. Необходимо отметить, что гидролиз
динитропроизводного является ступенчатым и протекает в две стадии:
В результате образуется ДАДНЭ и
щавелевая кислота, либо ее соли или другие производные, что зависит от рН
среды.
При проведении гидролиза в
нейтральной среде оказалось, что процесс неприводит к образованию ДАДНЭ, вместо
него образуется другое вещество с максимумом поглощения при 230 нм. (рис.4.8).
Данное соединение было синтезировано при гидролизе динитропроизводного водным
раствором аммиака при рН=6-7, выход составил 74 %, структура подтверждена
данными ИК спектроскопии рис., на нем присутствуют следующие пики:
Их идентичность доказана по
совпадению УФ-видимых спектров в растворе с рН=8 и хроматографически методом
ВЭЖХ (рис.4.7). По данным ИК-спектроскопии (рис 4.9) полученному веществу может
быть приписана структура аммиачной соли соединения II. (ИК: 3301,
3186 см-1- NH; 1730, 1604 см-1-
С=О; 1579, 1255 см-1 см-1-NO2)
Рис. 4.7.а. Хроматограма раствора
ДНИД в нейтральной среде после 100 мин выдержки.
Рис. 4.7.б. Хроматограма продукта
гидролиза ДНИД среде с рН=6
Рис. 4.9. ИК-спектр для продукта
полугидролиза.
В слабощелочной среде при рН=8
первая стадия гидролиза завершается за 5-10 минут приводя к солевой форме
соединения II, затем
следует более медленный гидролиз до ДАДНЭ требующий для завершения более 7
часов при комнатной температуре.
Данные представлены на рис. 4.10.
В кислой среде с рН от 2 до 0 первая стадия
происходит за время менее 5 минут. Образование соединения II
подтверждено методом ВЭЖХ. Время необходимое для завершения второй сильно
зависит от рН среды. На рис. 4.11 представлены данные по гидролизу в среде 1 Н
соляной кислоты с рН=0.
Сводные данные по зависимости скорости гидролиза
и выхода ДАДНЭ, полученные по результатам кинетических экспериментов
представлены в таблице 4.1
Таблица 4.1
|
Среда
|
рН
|
Константа
скорости первой стадии, мин-1
|
Константа
скорости второй стадии, мин-1
|
Выход
%
|
0
|
|
0,07
|
63
|
|
0,1
н HCl
|
1
|
|
0,033
|
67
|
|
0,01
н HCl
|
2
|
|
0,013
|
|
|
H2O
|
6,5
|
0,049
|
|
|
|
Na2HPO4
|
8
|
0,6
|
0,0066
|
92
|
Как из нее видно выход целевого продукта
существенно снижается при переходе от слабощелочной среды к кислой. По
литературным данным побочным соединением снижающим выход может быть парабановая
кислота.
Сравнивая данные по гидролизу
тетранитропиримидиндиона (ТНПД) [6] и ДНИД рис.4.12. можно увидеть, что
скорость гидролиза последнего в кислой среде существенно выше, и в среде с рН
может быть достигнут выход ДАДНЭ соизмеримый с выходом из ТНПД в оптимальных
условиях. Вместе с тем для ДНИД в отличие от ТНПД, нецелесообразно проводить
гидролиз в среде отработанной кислоты. В прямом опыте с разбавлением
реакционной массы после нитрования ММИД до 20 % массовых по серной кислоте
выход целевого ДАДНЭ составил всего 20 % (оп 6).
3.3 Нитрование
2-метил-2-метоксиимидазолидин-4,5-диона
На следующем этапе рабаты был изучен процесс
получения ДАДНЭ из 2-метил-2-метоксиимидазолидин-4,5-диона. По литературным
данным [4, 5, 3] он может быть представлен схемой 4.13.
Схема 4.13
Была проведена серия экспериментов
по нитрованию ММИД серно-азотными кислотными смесями в различных условиях.
Изучалась зависимость выхода ДАДНЭ от времени проведения реакции и от
концентрации азотной кислоты в нитрующей смеси.
В таблице 4.2 представлены
результаты проведённых экспериментов в зависимости от условий их проведения.
Таблица 4.2 Условия проведения
опытов по нитрованию
|
Номер
опыта
|
1
|
2
|
3
|
4
|
5
|
6
|
7
|
8
|
|
Нитруемое
соединение
|
ММИД
|
ММИД
|
ММИД
|
ММИД
|
ММИД НСI
|
ММИД
|
ММИД
|
ММИД
|
|
Моль
HNO3/моль
нитр. соединения
|
2,64
|
2,43
|
2,43
|
2,43
|
2,65
|
4,00
|
4,00
|
2,43
|
|
Моль
H2SO4/моль
нитр. соединения
|
11,3
|
13,5
|
13,5
|
13,5
|
11,3
|
11,8
|
11,8
|
13,5
|
|
Время
дозировки HNO3, мин
|
5
|
1
|
1
|
1
|
5
|
35
|
1
|
|
Время
реакции, мин
|
35
|
16
|
31
|
61
|
15
|
65
|
88
|
16
|
|
Температура,
єС
|
25-28
|
25
|
25
|
25
|
25-28
|
25
|
23
|
25
|
|
температура
дозир., єС
|
15-20
|
0-5
|
0-5
|
0-5
|
15-20
|
15
|
15
|
0-5
|
|
Выход
ДАДНЭ при гидролизе %
|
70
|
64,4
|
63,2
|
58,1
|
24
|
-
|
-
|
-
|
|
Выход
ДАДНЭ из отработ. к-ты, %
|
5,5
|
1,9
|
2,6
|
7,9
|
16
|
-
|
-
|
-
|
|
Суммарный
ДАДНЭ выход, %
|
75,5
|
66,3
|
65,8
|
66
|
40
|
20*
|
85,5**
|
74,3***
|
* - кислотный гидролиз
** - выход на динитропроизводное
*** - выход на промежуточный продукт гидролиза
По литературным данным после нитрования
динитропроизводное отделяется фильтрованием и, затем, подвергается гидролизу
водным раствором аммиака. В опыте 1 была воспроизведена данная методика
синтеза, выход составил 70%, что близко к литературному. Дополнительно
отработанная кислота так же была нейтрализована аммиаком до рН - 8, после
суточной выдержки выпало дополнительное количество ДАДНЭ, таким образом, выход
увеличился до 75,5 %.
В опыте 5 было проведено нитрование ММИД в виде
гидрохлорида. Однако в этом случае выход целевого соединения оказался
значительно ниже. Динитросоединение сразу после фильтрования начало разалгаться
на фильтре и существенно увеличилась доля ДАДНЭ выделенного из отработанной
кислоты. Таким образом, суммарный выход составил 40%, такой результат может
быть связан с отрицательным влиянием ионов хлора на процесс нитрования.
Следовательно, очистка ММИД от хлорида натрия и хлорид ионов необходима для
получения хорошего выхода ДАДНЭ.
В следующей серии опытов (2, 3, 4) был немного
уменьшен модуль по азотной кислоте с 2,65 до 2,43. Кроме этого было изучено
влияние времени выдержки на выход целевого продукта. В данной серии опытов для
снижения потерь динитропроизводное из реакционной массы не отфильтровывалось, а
производилось ее разбавление льдом до 20% по серной кислоте с последующей
нейтрализации аммиаком до рН-8. Как видно из таблицы, выход с снизился с 75 до
65% (оп. 1 и 3). При увеличении выдержки суммарный выход остается неизменным,
однако увеличивается доля продукта выпавшего из маточного раствора после
длительной выдержки.
Эти данные согласуются с результатами УФ
спектроскопического изучения процесса нитрования ММИД. Нитрование проводилось в
смеси 25 мл 94% серной кислоты и 1 мл 98% азотной кислоты. Как видно из рисунка
4.14 изменение спектра поглощения разбавленной реакционной массы практически
прекращается после 40 минут выдержки. С учетом того, что концентрация азотной
кислоты в этом эксперименте была в 4 раза меньше чем опытах 2 - 4, и
предполагая первый порядок реакции нитрования по азотной кислоте, можно оценить
время необходимое для завершения образования динитропроизводного в 10 - 15 мин.
Рис.4.14 Зависимость изменение спектра
поглощения от времени выдержки.
Выводы
1. Изучен процесс синтеза ММИД, показана
сильная зависимость выхода целевого продукта от рН среды при его выделении;
оптимальное значение рН 5-6. Необходимо исключить наличие воды в реакционной
массе при выделении целевого соединения.
2. Изучен гидролиз ДНИД при рН
среды от 0 до 8, определены константы скорости процесса. Показано что при
рН=6-7 гидролиз останавливается на образовании аммонийной соли
[(1-амино-2,2-динитровинил)амино](оксо)уксусной кислоты. Проведение гидролиза в
кислой среде более чем на 30% снижает выход ДАДНЭ.
. Проверены методики нитрования ММИД
серно-азотными кислотными смесями. Оценена скорость нитрования, определено
время необходимое для завершения процесса. Показано, что наличие ионов хлора на
25-30% снижает выход ДАДНЭ.
Список использованной литературы
1. Baum.K.;
Bigelow S.S.;
Ngueyn N.V.;
Archibald
T.G.;
Gilardi R.;
Flippen-Anderson
J.L.;
George C.J.
Org. Chem.1992,
57, 235-241.
. Latypov N.V.; Bergman J.
Syntesis and reactions of 1,1-diamino-2,2-dinitroethylene. Tetrahedron 54
(1998) 11525-11536.
. Оchert
I.J. FOX-7 A new insensitive explosive. Report DSTO-TR-1238 Australia, 2001. 23
p.
. Пат.
США
6312538 (2001) Latypov N. et al Chemical compound suitable for use as an
explosive,intermediate and method for preparing the compound.
6. Збарский В.Л., Юдин Н.В., Куштаев
А.А. Изучение кинетики нитрования 2-метилпиримидин-4,5-диона. Дипл. работа.
Москва 2007.
. Астратьев А.А., Дашко Д.В., Мершин
А.Ю., Степанов А.И., Уразгильдеев Н.А. Некоторые особенности кислотного
нитрования 2-замещенных 4,6-дигидроксипирими-динов. Нуклеофильное расщепление
продуктов нитрования.ЖОрХ, 2001. Т.37. В.5. С.766-770.
. Chylek
Z., Cudzilo
S., Diduszko
R. Optimitization
of 1,1-diamino-2,2-dinitroethane.
Biul. WAT, 2004. V. 54. N 5-6. P.