Изменение диэлектрических свойств сегнетоэлектриков, внедрённых в пористые плёнки Al2O3

  • Вид работы:
    Дипломная (ВКР)
  • Предмет:
    Физика
  • Язык:
    Русский
    ,
    Формат файла:
    MS Word
    2 Мб
  • Опубликовано:
    2012-09-13
Вы можете узнать стоимость помощи в написании студенческой работы.
Помощь в написании работы, которую точно примут!

Изменение диэлектрических свойств сегнетоэлектриков, внедрённых в пористые плёнки Al2O3

Министерство образования и науки Российской Федерации

Государственное образовательное учреждение высшего профессионального образования

АМУРСКИЙ ГОСУДАРСТВЕННЫЙ УНИВЕРСИТЕТ

(ГОУВПО «АмГУ»)

Инженерно физический факультет

Кафедра теоретической и экспериментальной физики

Специальность 010701.65 - Физика





ДИПЛОМНАЯ РАБОТА

на тему: Изменение диэлектрических свойств сегнетоэлектриков, внедрённых в пористые плёнки Al2O3











Благовещенск 2011

РЕФЕРАТ

Дипломная работа содержит 46с., 24 рисунков, 1 таблицы, 23 использованных источников.

НАНОКРИСТАЛЛИЧЕСКИЕ МАТЕРИАЛЫ, ПОРИСТЫЕ УПОРЯДОЧЕННЫЕ СТРУКТУРЫ, ПОРИСТЫЕ ПЕРИОДИЧЕСКИЕ СТРУКТУРЫ, ЦЕОЛИТЫ, ПОРИСТЫЕ СТЁКЛА, ПОВЕРХНОСТНО-АКТИВНЫЕ ВЕЩЕСТВА, АНОДИРОВАНИЕ, ОКСИДНАЯ ПЛЁНКА, ПОРЫ, СЕГНЕТОВА СОЛЬ, ТРИГЛИЦИНСУЛЬФАТ, ФАЗОВЫЙ ПЕРЕХОД, ТОЧКА КЮРИ, ДИЭЛЕКТРИЧЕСКАЯ ПРОНИЦАЕМОСТЬ.

В данной работе рассмотрены пористые упорядоченные структуры и исследованы диэлектрические свойства сегнетовой соли и триглицинсульфата, внедрённых в Al2O3. Установлено, что одним из самых технологически простых и доступных методов получения наноматериалов является метод анодирования алюминия. Полученные данным методом пористые плёнки Al2O3, имеют разброс пор от 40 - 120 нм с нечёткой геометрией. При снятии диэлектрических характеристик внедренной сегнетовой соли в оксидные пористые плёнки со средним размером пор 40 - 60 нм показано, что происходит сдвиг нижнего фазового перехода в область более низких температур. При исследовании внедренного триглицинсульфата в оксидные пористые плёнки со средним размером пор 100 - 120 нм показано, что происходит размытие фазового перехода.

СОДЕРЖАНИЕ

Введение

. Основные свойства исследуемых сегнетоэлектриков

.1 Фазовые переходы в сегнетовой соли

.2 Основные свойства триглицинсульфата

. Пористые упорядоченные структуры

.1 Пористые периодические структуры

.2 Анодирование алюминия

. Получение и исследование композитных сегнетоэлектрических материалов на основе пористых плёнок Аl2О3

.1 Исследование образцов методом электронной микроскопии

.2 Получение пористого анодного оксида алюминия

.3 Приготовление образцов и исследование диэлектрических свойств

.4 Измерение ёмкости полученной плёнки

.5 Исследование диэлектрических свойств сегнетовой соли, внедрённой в Al2O3 

.6 Характеристики ТГС в Al2O3 

Заключение

Библиографический список

ВВЕДЕНИЕ

Многочисленные исследования, проведенные для малых частиц, выявили зависимость их физических свойств от размеров. Одним из способов получения малых частиц является внедрение исследуемого вещества в пористые матрицы, характерный размер пор которых лежит в нанометровом диапазоне. К настоящему времени разработан ряд эффективных методов создания наноструктур, в их числе методы, основанные на принципе самоформирования [1,2]. Методы самоформирования включают агрегацию наночастиц в структуры с заданной формой и размером. Одним из таких материалов для создания наноструктур на основе самоформирования является пористый оксид алюминия. Диаметр ячеек пористых пленок оксида алюминия колеблется в зависимости от технологии получения и составляет от 30 до 500 нм, диаметр пор 0,3 - 0,5 диаметра ячейки, плотность заселения от 10 до 100 на мкм2. Диэлектрическая проницаемость анодных оксидов зависит от природы электролита анодирования и может принимать значения от 6,8 до 13,0 [3].

Сегнетоэлектрические свойства частиц, введенных в нанопористые матрицы, изучены, сравнительно, мало. Исследованию размерных эффектов для сегнетоэлектриков, внедренных в пористый оксид алюминия, посвящено всего несколько работ (см. [4 - 6] и ссылки в этих работах).

Формирование материалов в пористых матрицах является эффективным способом создания наносистем, в том числе сегнетоэлектрических наноструктур. Среди перспективных применений сегнетоэлектрических наноструктур на основе пористых мембран следует отметить возможность их использования в качестве элементов памяти с высокой плотностью записи информации, устройств оптоэлектроники, нанофорсунок для жидких сред и пр.

В качестве объектов исследования были выбраны водорастворимые сегнетоэлектрики сегнетова соль и триглицинсульфат, внедренные в наноразмерные пористые пленки оксида алюминия.

Цель работы - исследовать изменение диэлектрических свойств сегнетовой соли и триглицинсульфата, внедрённых в пористые плёнки Al2O3.

Для достижения данной цели были поставлены следующие задачи:

) проанализировать методы получения и свойства пористых упорядоченных структур;

2) получить пористые оксидные плёнки путём анодирования алюминия;

) исследовать полученные пленки методом РЭМ и измерить их диэлектрические параметры;

) внедрить в оксидные плёнки сегнетову соль и триглициисульфат для исследования изменения их диэлектрических характеристик в наносостоянии.

пористый плёнка диэлектрический анодирование алюминий

1. ОСНОВНЫЕ СВОЙСТВА ИССЛЕДУЕМЫХ СЕГНЕТОЭЛЕКТРИКОВ


1.1     Фазовые переходы в сегнетовой соли

Сегнетовой солью называют двойной тартрат натрия - калия, содержащий четыре молекулы кристаллизационной воды и имеющий следующую химическую формулу: NaKC4H4О6*4H20. Впервые это вещество было изучено Сегнетом около 1655 г. в Ла-Рошели (Франция).

Сегнетова соль - это первый и долгое время считавшийся единственным кристалл, у которого были обнаружены сегнетоэлектрические свойства. Аномально большой пьезоэлектрический эффект в сегнетовой соли был обнаружен братьями Кюри еще в 1880 г. в их работах по пьезоэлектричеству, положивших начало исследованиям в этой области, а уже в 1894 г. Поккольс провел количественные исследования пьезоэлектрического и электрооптического эффектов в сегнетовой соли. Однако ее аномальные диэлектрические свойства были открыты только в 1921 г. Валашеком. Валашек уловил аналогию этого диэлектрического явления с ферромагнетизмом и впервые ввел в физику диэлектриков термин «точка Кюри».

Окраска кристаллов <#"581042.files/image001.gif">

Рисунок 1 - Сравнительно большой кристалл, выращенный на станции «Скайлэб»

Рисунок 2 - Примерное изображение кристалла сегнетовой соли.

Наиболее характерная особенность сегнетовой соли - наличие у нее двух точек Кюри. В кристаллах сегнетовой соли сегнетоэлектрическое состояние существует лишь в интервале температур примерно от минус 18 до плюс 24 °С. Нижняя критическая температура (около минус 18 °С) носит название нижней точки Кюри. Она характеризуется такой же большой аномалией диэлектрической проницаемости, как и нормальная точка Кюри вблизи плюс 24 °С, которая называется верхней точкой Кюри. В неполярной фазе, выше плюс 24 °С кристаллы по симметрии относятся к ромбическому классу 222 (и, следовательно, являются пьезоэлектриками); ниже минус 18 °С снова возникает неполярная фаза с той же симметрией. Ромбическая фаза при 35 °С обладает следующими параметрами ячейки:

а = 11,878 Å, b =14,246 Å, с = 6,218 Å.

Сегнетоэлектрическая фаза принадлежит к моноклинному классу 2, причем полярная ось параллельна направлению исходной ромбической оси. Кристаллы сегнетовой соли химически устойчивы только в определенных условиях температуры и влажности. Так, например, при плюс 25 °С при относительной влажности, меньшей 40 процентов, кристалл теряет кристаллизационную воду, а при влажности, большей 85 процентов, поглощает влагу из окружающей среды и медленно растворяется. При 55,6 °С кристалл разлагается на смесь натриевого и калиевого тартратов и их насыщенного раствора, и при 58 °С эти соли полностью растворяются в воде. Этот необратимый процесс обычно называют «плавлением» сегнетовой соли. Растворимость сегнетовой соли в воде очень велика.

Диэлектрическая проницаемость, измеренная в слабых полях, обнаруживает заметные аномалии в верхней и нижней точках Кюри, т. е. при плюс 24 и минус 18 °С (рисунок 3). Сегнетова соль поляризуется без всякого воздействия электрического поля. Достаточно лишь нагреть её, как молекулы самопроизвольно выстраиваются в ряды, с определённой ориентацией в пространстве.

Рисунок 3 - Температурная зависимость диэлектрической проницаемости εа в слабых полях для сегнетовой соль [7]

Спонтанная поляризация вблизи точек Кюри растет достаточно круто, но без скачка в соответствии с тем, что переходы являются переходами второго рода. Своего максимального значения спонтанная поляризация достигает в окрестности 5 °С, где она равна 0,25 - 10-6 К/см2. Аналогично ведет себя напряженность коэрцитивного поля Ес, которая достигает своего максимального значения ~200 В/см в интервале между 5 и 15 °С.

Поскольку сегнетова соль имеет большую диэлектрическую проницаемость, на её основе можно изготавливать сложные диэлектрики и использовать их для изготовления конденсаторов большой емкости. Так как диэлектрическая проницаемость существенно зависит от напряженности внешнего электрического поля, можно изготавливать нелинейные конденсаторы (так называемые вариконды). А так как показатель преломления диэлектриков существенно зависит от величины e (n2 ~ e, для диэлектриков e = 1), то сегнетоэлектрики могут быть использованы в качестве электрооптических материалов.

Пьезоэлементы из сегнетовой соли широко использовались в аппаратуре, работающей в сравнительно узком температурном интервале, в частности, в звукоснимателях. Однако в настоящее время они почти полностью вытеснены керамическими пьезоэлементами.

 

1.2 Основные свойства триглицинсульфата


Триглицинсульфат - хорошо изученный представитель семьи сегнетоэлектрических кристаллов. Он привлекает к себе внимание многих исследователей, так как его сегнетоэлектрические свойства проявляются при комнатной температуре. Кроме того, легко вырастить кристаллы триглицинсульфата больших размеров и он легко растворим в воде. С химической и кристаллографической точек зрения триглициисульфат, несомненно, не является простейшим из известных сегнетоэлектриков, однако его феноменологическое поведение оказывается очень простым. Фактически он представляет один из наиболее типичных примеров сегнетоэлектрика.

Сегнетоэлектрическая активность кристаллов триглицинсульфата (NII2CH2COOH)3 - H2S04 (сокращенно ТГС) была открыта Маттиасом и др. в 1956 г. Температура Кюри равна 49 °С. Выше температуры Кюри кристалл триглицинсульфата имеет моноклинную симметрию и принадлежит к центросимметричному классу 2/m. Ниже Тс зеркальная плоскость исчезает и кристалл принадлежит к полярной точечной группе 2 моноклинной системы. Полярная ось лежит вдоль моноклинной (2-го порядка) оси b. Параметры решетки при комнатной температуре равны:

a=9,15 Å, b=12,69 Å, c=5,73 Å.

На элементарную ячейку приходится две формульные единицы. Структура ТГС сложна и представляет собой сетку молекул глицина CH2NH2COOH и тетраэдров SO4, связанных между собой водородными связями типа - О-H...О и N-Н...О (рисунок 4).


Рисунок 4 - Схематическое изображение структуры ТГС:

a, b-параметры элементарной ячейки, β - угол моноклинности [8]

Температурная зависимость этих величин, измеренная на частоте 1 кГц и при напряженности поля 1 В/см, представлена на рисунке 5.

Рисунок 5 - Температурная зависимость диэлектрической проницаемости кристалла триглицинсульфата [9]

Глициновые группы асимметричны, обладают значительным дипольным моментом, однако в параэлектрической фазе ионы глицина, могут, по-видимому, занимать два эквивалентных симметричных положения под углом 12,5° к плоскости симметрии. Таким образом, выше точки фазового перехода структура ТГС состоит из равного числа ячеек с дипольными моментами противоположной полярности, и в структуре имеются плоскости зеркального отражения у = 1/4 и у = 3/4. Фазовый переход сопровождается аномалией только компоненты e22 тензора диэлектрической проницаемости (ось у направлена вдоль полярной оси). Спонтанная поляризация непрерывным образом зависит от температуры, и фазовый переход обладает всеми чертами фазового перехода II рода. Выше Tc диэлектрическая проницаемость подчиняется закону Кюри - Вейсса с постоянной С = 3,2∙103 К [10].

Основная особенность перехода типа порядок - беспорядок - это существование способных вращаться диполей или ионов с двумя равновесными положениями, которые упорядочиваются ниже критической температуры. Такой кооперативный эффект имеет много общего с переходами тина порядок - беспорядок в сплавах и с ферромагнитными фазовыми превращениями, однако некоторые особенности явления сегнетоэлектричества радикальным образом отличают его от других кооперативных эффектов. Одна из таких особенностей - это сильная анизотропия сил дипольного взаимодействия. Так, у ТГС структурными исследованиями обнаружено сильное дипольное взаимодействие вдоль осей b и с и очень слабое вдоль оси а. Для изотропных диэлектриков, диэлектрическую проницаемость можно связать с тепловыми флуктуациями поляризации. Бэрджесс развил теорию тепловых флуктуаций электрической поляризации в сегнетоэлектриках, причем уделил особое внимание рассмотрению флуктуаций вблизи точки Кюри. Эта теория дает основание предполагать, что при исследовании диффузного рассеяния рентгеновских лучей можно получить определенные сведения о характере перехода.

Экспериментальные наблюдения достаточно хорошо согласуются с теоретическими предсказаниями: в точке Кюри обнаруживается заметный пик интенсивности диффузного рассеяния. Этот результат подтверждает, что возникновение сегнетоэлектрической активности в кристаллах ТГС вызвано переходом из неупорядоченного состояния в упорядоченное.

2. ПОРИСТЫЕ УПОРЯДОЧЕННЫЕ СТРУКТУРЫ

2.1 Пористые периодические структуры

 

Пористые стёкла

Пористые стекла получаются путем кислотного выщелачивания натриевоборосиликатного стекла, содержащего фтор растворами 3 и 4 М HCl (при 373 оК). После формования изделия оно обрабатывается кислотой и из него почти полностью извлекается боронатриевая составляющая. Остающееся стекло на 95 - 96 % оказывается кремнеземным [11]. При этом не изменяется форма, размеры и внешний вид изделия. Оно оказывается пронизанным сложными порами, средний диаметр которых 200 - 400 нм (рисунок 6).

Рисунок 6 - Микропористая структура стеклянной мембраны и распределение пор по размерам [11]

Варьирование химического состава стекол, режимов отжига и последующей обработки разными растворителями позволяет получать пористые стекла с размером пор от нескольких десятков до 10000 нм. Исследованию физических свойств веществ в пористых стеклах посвящено большое число работ (см., например, [12 - 14 ] и ссылки к ним).

Цеолиты и асбесты

Цеолиты относятся к группе алюмосиликатов, каркас которых образуется при сочленении через общие вершины тетраэдров AlO4 и SiO4 [15]. Кристаллическая решетка цеолитов имеет регулярную систему полостей, сообщающихся между собой каналами, в которых находятся катионы металлов и молекулы воды. Катионы подвижны и могут в той или иной степени обмениваться на другие катионы. Вода, при нормальных условиях заполняющая свободный объем кристаллической решетки, может удаляться при нагревании или вакуумной откачке [15].

Согласно Бреку [15], все цеолиты разделяются на семь групп, в каждую из которых входят структуры с одинаковым характером сочленения тетраэдров (Al, Si) O4 в структурные элементы. Таким образом, первичным структурным элементом кристаллического каркаса цеолита является алюмокремнекислородный тетраэдр. Вторичные структурные элементы представляют собой характерные конфигурации из тетраэдров, которые образуют 4, 5, 6-членные одиночные и двойные кольца, соединенные между собой. По структурным и морфологическим особенностям различают цеолиты трехмерные (изотермические) с одинаковой прочностью связей во всех направлениях; двумерные (пластинчатые) с прочной связью в одной плоскости; одномерные (волокнистые) со связями тетраэдров, более прочными в одном направлении, чем в другом.

В настоящее время известно более 100 синтетических и около 40 природных цеолитов. Их специфической особенностью являются калиброванные размеры окон каналов (от 0,3 до 1 нм), которые определяются строением элементарной решетки каждого типа кристалла. Эта особенность стала причиной и другого довольно частого названия цеолитов - молекулярные сита”. Молекулярные сита - это материалы, которые вследствие своей внутренней структуры могут избирательно адсорбировать молекулы в соответствии с их размерами и формой.

Каркас цеолитов прочен, может выдерживать температуры до 1073 К или сжатие до 100 кбар [16]. Одни цеолиты устойчивы к щелочам (NaA, NaX), другие к кислотам (морденит). Наибольшими диаметрами каналов обладают промышленные цеолиты NaX (фожазит), NaA, морденит. Входы в каналы этих цеолитов образованы кольцами из тетраэдров (рисунок 7).

Рисунок 7 - Структуры каркасных алюмосиликатов и хризотил-асбеста. а) Сочленение тетраэдров AlO4 - SiO4. Структуры: б) берилла, в) морденита. Форма полостей цеолитов: г) NaA, д) NaX, е) монокристаллические слои, образующие структуру волокон хризотила [16]

Максимальные размеры кристаллов синтетических цеолитов ~ 0,1 мм. Природные кристаллы морденита встречаются в виде игл - 0,03×0,04×1 мм. Среди природных цеолитов есть и крупные кристаллы объемом до нескольких мм3.

Правильные каналы диаметром 150 - 1000 нм имеются у волокнистого минерала хризотил-асбеста (хризотила) Mg3Si2О5(ОH)4 [17,18]. Монокри-сталлические слои минерала (рисунок 7 е) имеют естественную кривизну 88 нм и при росте сворачиваются внутрь и наружу, что хорошо видно на электронных фотографиях [19]. Пачки волокон диаметром 200 - 3000 нм образуют прозрачные кристаллы длиной до нескольких сантиметров. В зависимости от месторождения каналы в асбестах бывают заполнены либо аморфным веществом, либо водой, которая удаляется прогревом до 373 - 42 К, после чего в каналы могут быть введены, исследуемые вещества, например металлы.

Смачивающие жидкости или способные адсорбироваться пары входят в каналы цеолитов самопроизвольно, если диаметры молекул соответствуют диаметрам каналов. Ионообменные свойства цеолитов используются для выделения в полостях атомов металлов, которые находились на стенках полостей в виде ионов. Места этих ионов занимают, например, ионы водорода. Так получали в полостях цеолитов атомы никеля, серебра и ряда других металлов. Использовалась методика введения железа путем разложения его соединений в каналах цеолитов [20]. Максимальное количество металла (20 - 25 % объема кристалла) удается вводить из расплава под высоким давлением.

Силикагель

Силикагель - это высушенный гель кремниевой кислоты пористого строения с исключительно развитой внутренней поверхностью, которая достигает 1000 м2/г. Он обладает сильными адсорбирующими свойствами, химически и биологически безвреден, инертен, температура его плавления близка к температуре плавления обычного речного песка. Химическая формула - двуокись кремния SiO2.

Повышая температуру, адсорбированный газ или водяной пар можно удалить с поверхности силикагеля. Это восстановление обычно происходит в течении 2 - 3 часов при температуре около 393 - 453 К.

Силикагель представляет собой тонкодисперсный порошок, либо гранулы размером до 7 мм в диаметре. Цвет гранул может варьироваться от прозрачно-матового до темного с черными включениями. Форма гранул - овальная или неправильно сферическая. Размер пор силикагеля лежит в пределах 100 - 5000 нм. Введение исследуемого вещества в поры осуществляется из расплава или раствора, аналогично цеолитам.

Опаловые матрицы

Для получения трехмерных диэлектрических матриц с регулярной системой пустот и каналов можно использовать синтетический опал.

Опалы синтетические и природные, состоят из плотно упакованных аморфных сфер SiO2, достаточно однородных по размерам (200 - 250 нм в диаметре). Чтобы получить трехмерную правильную решетку из нанокластеров, необходимо, чтобы сферы SiO2 в опале располагались упорядоченно с кубической или гексагональной плотной упаковкой. Тогда и пустоты между сферами будут иметь регулярное периодическое распределение. Поскольку размер сфер SiO2 составляет доли микрона, то, как показывают вычисления, пустоты (октаэдрические и тетраэдрические) будут иметь размеры (диаметры вписанных в них сфер) ~45−55 и ~85−105 нм соответственно. Они и будут определять максимальный размер "квазиатома" кластерной подрешетки при введении в пустоты опаловой матрицы различных материалов тем или иным способом. При идеальной форме сфер SiO2 пустоты в опале соединяются каналами, имеющими в сечении форму треугольника с вогнутыми сторонами. Диаметр вписанного в него цилиндра составляет ~30−40 нм.

Такие каналы-капилляры обеспечивают последовательное заполнение всех пор веществом с образованием кластеров при помещении исходного опала в соответствующую среду. Очевидно, что только в "монокристаллических" опалах возможно получение высококачественных трехмерных кластерных структур.

2.2 Анодирование алюминия

Анодирование - получение оксидов на поверхности металлов и полупроводников при анодной поляризации в кислородсодержащих средах с ионной проводимостью. За счет образования анодного оксида изменяются поверхностные свойства материала: твердость, электрическое сопротивление, термостойкость, износостойкость, каталитическая активность и др. Широко распространена технология анодирования алюминия. Обычно анодирование проводят при постоянном токе.

Анодные плёнки нашли широкое применение в различных областях науки и техники. Их применяют для коррозионной защиты в качестве декоративных покрытий, для создания конденсаторных структур и т.д. Анодное окисление используют в технологии создания электронных приборов и при изготовлении различного вида датчиков. Низкие температуры проведения процесса и возможность контроля толщины оксида с нанометровой точностью позволяют применять анодирование и для формирования наноструктур.

Анодные оксидные плёнки образуются на поверхности большинства металлов полупроводников. В основе процесса лежит реакция взаимодействия ионов окисляемого материала с молекулами воды. В зависимости от характера взаимодействия образующегося оксида с компонентами электролита имеется возможность управления структурой оксида. Так, при отсутствии растворения оксида на поверхности электрода образуются беспористые барьерные плёнки. При частичном растворении оксида электролитом имеет место рост пористых плёнок. Среди последних наибольшее практическое значение имеют пористые анодные оксидные плёнки алюминия.

Пористый анодный оксид алюминия (ПАОА) характеризуется рядом свойств, которые делают его перспективным материалом для создания наноструктур. А именно:

- регулярная, близкая к идеально упорядоченной, структура;

простота управления размерами пор посредством выбора режимов формирования оксида;

широкий диапазон размеров пор (10 нм до 1 мкм);

слабая чувствительность свойств оксида к кристаллической структуре исходного;

высокая однородность плёнок, получаемых на большой площади;

хорошая воспроизводимость процесса;

совместимость процесса анодного окисления со стандартными операциями технологии микроэлектроники.

ПАОА представляет собой массив плотноупакованных гексагональных ячеек, в центре каждой из которых имеется вертикальный полый канал.

Строение ПАОА можно охарактеризовать следующими геометрическими параметрами, которые определяют области применения и свойства оксида:

) размер оксидной ячейки (период пористой структуры), который представляет собой диаметр окружности вписанной в шестиугольную проекцию ячейки;

) диаметр поры;

) толщина барьерного слоя;

) толщина пористого слоя.

На геометрические параметры оксида наибольшее влияние оказывают состав электролита и электрические режимы формирования. На основании многочисленных экспериментальных результатов установлено, что между геометрическими размерами оксида и напряжением его формирования существует линейная зависимость [21]:

Dc=-l,7+2,8UA,   (1)

где, Dc - размер оксидной ячейки;

UA - анодное напряжение.

В зависимости от вида кислородсодержащей среды, заполняющей межэлектродное пространство, различают анодирование: в водных растворах электролитов, в расплавах солей, в газовой плазме, плазменно-электролитическое.

Анодирование в водных растворах электролитов

Анодирование в водных растворах электролитов наиболее распространенный и универсальный способ, легко поддающийся автоматизации. Площадь одновременно анодируемых в ванне изделий определяется только вместимостью ванны и мощностью источника. В качестве электролитов применяют водные растворы кислот или щелочей.

В электролитах, не пептизирующих или почти не пептизирующих оксид (борная кислота, бура, нитраты, фосфаты, бикарбонаты), получают тонкие плотные (толщиной до 1 мкм) оксиды. В электролитах, слабо пептизирующих оксид (кислоты: хромовая, серная, щавелевая, фосфорная; сульфаты, квасцы), получают оксиды толщиной до 250 мкм. Эти оксиды имеют двухслойную структуру: тонкий, прилегающий к металлу слой имеет плотную упаковку; наружный слой - пористый.

В электролитах, сильно пептизирующих оксид алюминия (хлориды, фториды и др.), анодный оксид не возникает; происходит травление металла. Для получения оксидов толщиной 150 - 250 мкм обычно требуется охлаждение электролита и изделия. Установка для анодирования представляет собой ванну, заполненную водным раствором электролита или расплавом солей, в которую помещены два электрода: катод и окисляемое изделие - анод [8].

Наиболее распространенный электролит при анодировании алюминия - водный раствор серной кислоты. Катод выполняют из свинца, графита или коррозионно-стойкой стали.

Подготовка поверхности деталей перед анодированием

Способы подготовки поверхностей деталей зависят от вида анодирования. Они почти идентичны для анодирования в водных растворах электролитов, в расплавах солей и плазменно-электролитического. При плазменном анодировании обычно окисляются поверхности напыленных в вакууме металлических пленок. Их микрогеометрия определяется микрогеометрией подложки. Дополнительная обработка поверхности металла при плазменном анодировании применяется сравнительно редко, например, при разрыхлении поверхности напыленного металла для увеличения емкости конденсаторов.

Последовательность технологических операций подготовки поверхности под анодирование определяется исходным состоянием поверхности, требуемой шероховатостью поверхности, имеющимся оборудованием и материалами.

Все подготовительные операции делят на четыре группы:

) предварительная обработка (грубая очистка, грубое травление, обдувка кварцевой крошкой и дробью);

) основная обработка (гидропескоструйная обработка, шлифование, травление);

) окончательная обработка (полирование механическое, химическое, электрохимическое);

) очистка (обезжиривание химическое, электрохимическое; ультразвуковая очистка; удаление пассивной пленки).

Операции четвертой группы практически не изменяют размеров изделий.

Предварительная обработка

Обычно операциям предварительной обработки подвергают детали, изготовленные методом литья, когда необходимо удалить остатки формовочной смеси, литейной корки, грубых поверхностных дефектов.

Для грубого травления применяют растворы с большой концентрацией веществ и, соответственно, большой скоростью травления металла. При щелочном травлении алюминиевых сплавов, содержащих железо и медь, поверхность после травления приобретает темный цвет. Удалить этот налет можно, погрузив деталь на несколько минут в 20 - 40-процентный водный раствор азотной кислоты (операция осветления). Для сплавов, содержащих кремний, рекомендуется раствор с фтористоводородной кислотой.

Для операций грубого травления алюминиевых сплавов в щелочных ваннах характерно активное стравливание металла, которое обычно составляет 3 - 20 мкм/мин. Так как продукты коррозии защитными свойствами не обладают, то глубина стравливания почти пропорциональна времени нахождения детали в ванне. Повышение температуры очень резко интенсифицирует процесс.

Шлифование - абразивная обработка, при которой инструмент совершает только вращательное движение, которое является главным движением резания, а заготовка - любое движение. Направление обработки при различных переходах рекомендуется изменять под углом 30 - 90°. В этом случае уменьшается вероятность появления длинных рисок. Для быстрого удаления рисок от предыдущего перехода зернистость шлифовального круга должна быть меньше. Обычно при шлифовании выполняют четыре - семь переходов со сменой кругов на круги с более мелкой зернистостью.

Для изготовления абразивных инструментов часто применяют электрокорунд, состоящий в основном из оксида алюминия. Так, нормальный электрокорунд содержит 92 - 95 процентов оксида алюминия. В белом электрокорунде количество оксида алюминия составляет 97 - 99 процентов. Для увеличения шлифующие способности абразивных кругов в электрокорунд вводят оксид титана, циркония, хрома. Например, применение хромистого электрокорунда увеличивает производительность на 20 - 30 процентов по сравнению с белым электрокорундом. Циркониевый электрокорунд обладает высокой прочностью. Шлифовальные круги из него имеют стойкость при обдирочном шлифовании в 10 - 40 раз выше стойкости инструмента из нормального электрокорунда.

Для обработки мягких и вязких материалов (пластмасс, цветных металлов и других) применяют сферокорунд. В процессе шлифования его сферические зерна разрушаются, образуя острые режущие кромки, что обеспечивает высокопроизводительную обработку при малом выделении теплоты. Для шлифования часто используют эластичные круги из войлока, фетра, сукна, кожи и других материалов [22].

2. ПОЛУЧЕНИЕ И ИССЛЕДОВАНИЕ КОМПОЗИТНЫХ СЕГНЕТОЭЛЛЕКТРИЧЕСКИХ МАТЕРИАЛОВ НА ОСНОВЕ ПОРИСТЫХ ПЛЁНОК Al2O3

Для получения пористого анодного оксида алюминия (ПАОА), необходимо добиться высокой степени ровности и гладкости поверхности, от чего зависит степень упорядоченности структуры, очистить поверхность алюминия от загрязнений, убрать оксидную пленку, обеспечить высокую степень чистоты деталей. Изменение поверхности образцов после каждого этапа подготовки контролировался с помощью растрового электронного микроскопа ТМ - 1000.

Эта система предназначена для просмотра изображений образца, облучаемого сфокусированным электронным лучом. Изображение получают благодаря регистрации электронов, рассеянных поверхностью образца в обратном направлении. Просмотр образца может проводиться при столь высокой степени увеличения, которая не доступна при работе с обычными оптическими микроскопами. Благодаря большей глубине резкости, удается получать стереоскопическое изображение. Размер прибора гораздо меньше типичного для традиционного электронного микроскопа.

Рисунок 8 - лабораторный комплекс TM-1000

Микроскоп ТМ-1000 может быть установлен на рабочем столе. Управление микроскопом (т.е. все, что требуется для наблюдения изображения) обеспечивается портативной вычислительной машиной. Микроскоп ТМ-1000 полезен специалистам, работающим в областях материаловедения, биологии, контроля качества, специалистов ВУЗов и т.д.

Электронный микроскоп состоит из четырёх основных составляющих:

1)  Управляющий блок

2)      Основной блок

)        Вычислительная машина

)        Диафрагменный насос

На экран вычислительной машины выводится изображение полученное с помощью микроскопа. Просмотр изображений производится в программе ТМ 1000. Микроскоп позволяет получать изображения увеличенные в 100 - 10000 раз.

3.2 Получение пористого анодного оксида алюминия

Исходный материал представлял собой алюминиевые пластинки прямоугольной формы (1,7×1,1×0,1), чистота алюминия 9999 (рисунок 9):

Рисунок 9 - Вид алюминиевого образца

На первоначальном этапе подготовки образцов выполнялась шлифовка смесью пасты ГОИ и керосина, которая позволила сгладить видимые неровности на поверхности (рисунок 10):

Рисунок 10 - Поверхности образца после шлифовки (х2000)

Следующий технологический этап - это травление, которое проводилось в 65 - 75% растворе фосфорной кислоты (H3PO4) (рисунок 11):

Рисунок 11 - Поверхности образцов после травления (х1000)

Процесс травления должен выполняться очень осторожно с четким соблюдением всех норм. В случае нарушения технологии травления образец сильно портился (рисунок 12):

Рисунок 12 - Поверхности образцов после длительного травления (25 - 30 мин.) (х1000)

На следующем этапе образцы отжимались под 20 - тонным прессом для придания им формы и отжигались в печи для снятия дефектных поверхностных напряжений при температуре 500 оС в течение 3 часов с последующим медленным охлаждением (рисунок 13):

Рисунок 13 - Поверхность образца после отжига (х1000)

На заключительном этапе образцы полировались механическим способом, с применением натурального шёлка (рисунок 14):

Рисунок 14 - Поверхности образца после полировки (х1000)

После подготовки поверхности образца можно приступать непосредственно к анодированию. На начальном этапе процесса необходимо выполнить следующие действия:

1)   Рассчитать полную поверхность образца, подвергаемую анодированию

2)      В соответствии с выбранным электролитом, определить технологические параметры процесса в соответствии с представленной ниже таблицей 1

Таблица 1 - Параметры процесса анодирования от выбора кислоты [22]

Электролит

Концентрация, г/л

Плотность тока, А/дм2

 Напряжение, В

 Температура, 0С

Продолжительность, мин

Кислота серная

180-200

2,5 - 5

До 90

0 - 7

20-90

Кислота щавелевая

20

2

12-75

45

30

Кислота ортофосфорная

5-12

20-30

110-130

20-30

15


3)   Обезжирить поверхность образца непосредственно перед самим анодированием

4)      Подготовить установку для анодирования, схема которой представлена ниже (рисунок 15):

Рисунок 15 - Схема установки для анодирования

В состав установки входят: алюминиевый стакан с водным раствором электролита, источник питания, штатив с алюминиевым держателем для образца, лёд для охлаждения электролита, соединительные провода, мультиметр для контроля величины силы тока, термометр для контроля температуры электролита. Использование хромель-алюмелевой термопары, позволяет прибору измерять температуру в широком диапазоне, от 73 K до 1643 K с базовой погрешностью ±0,2 %. В процессе измерений прибор позволяет автоматически учитывать температуру в комнате.

Образец, закреплённый в держатель штатива, погружается в алюминиевый стакан с электролитом. Стакан находится в контейнере со льдом. Эта мера необходимо для того, чтобы поддерживать постоянной величину температуры электролита, т.к. в процессе анодирования происходит значительный разогрев раствора электролита. Так же для получения однородной пленки необходимо контролировать значение силы тока при помощи регулировки значений напряжения.

По окончании анодирования образец необходимо промыть в щелочном растворе для того, чтобы удалить кислоту из пор. Поверхность образцов алюминия при этом становится диэлектрической и визуально выглядит поблекшей по сравнению с чистым алюминием.

После получения пленки на поверхности алюминия необходимо убедиться в том, что полученная структура является упорядоченной и пористой (рисунок 17).

Рисунок 17 - Поверхность алюминия, анодированного в серной кислоте (увеличение в 9000 раз).

Оксидная пленка Al2O3 формировавшаяся в водном растворе серной кислоты и представляет собой плотноупакованные оксидные ячейки, имеющие форму „пчелиных сот“. Средний размер пор около 40 - 60 нм. Диаметр оксидной ячейки 60 - 80 нм. Толщина пленки составляет 50-60 мкм В центре каждой ячейки имеется одна пора, представляющая собой прямолинейный цилиндрический канал, диаметр которого мало зависит от электрических параметров оксидирования и определяется природой электролита. Основанием нанопористых оксидных ячеек является сплошной барьерный слой, непосредственно примыкающий к поверхности металла.

Рисунок 18 - Поверхность алюминия анодированного в щавелевой кислоте (увеличение в 20000 раз)

 

.3 Приготовление образцов и исследование диэлектрических свойств

 

Внедрение сегнетоэлектриков в поры

В качестве пористых матриц использовались окисные пленки Al2O3, полученные путем анодирования химически чистого алюминия в растворе серной и щавелевой кислоты. Средний размер пор определялся методами электронной микроскопии и составлял 40 - 60 нм для образцов проанодированных в серной кислоте, 100 - 120 нм для плёнки полученной в щавелевой кислоте.

Внедрение сегнетоэлектриков в поры проводилось из насыщенных водных растворов. Алюминиевый образец с пористой окисной пленкой помещался в насыщенный раствор, который в течение двух суток испарялся, при этом в порах образовывались нанокристаллы. Избыточный слой вещества с поверхности образца удалялся влажной тканью. Для исключения влияния адсорбированной воды измерения проводились в вакууме. Объемные кристаллы размером 5 - 8 мм, образовавшиеся из этого же раствора, использовались в качестве эталонных. Сегнетова соль внедрялась в оксидные плёнки со средним размером пор 40 - 60 нм, полученные при анодировании в серной кислоте. Плёнки полученные при анодировании в щавелевой кислоте со средним размером пор 100 - 120 нм заполнялись триглицинсульфатом.

Измерение электрических параметров

На проанодированную поверхность образца в качестве электрода наносилась In-Ga паста. Вторым электродом являлся сам алюминиевый образец. Таким образом, наша система из алюминиевого образца, оксидной плёнки и In-Ga пасты являлась ни чем иным как конденсатором, на измерении ёмкости которого и основано наше исследование.

Для измерений в температурном интервале от 294 до 455 K использовалась установка, схема которой показана на рисунке 19:

Измеритель импеданса цифровой (Е7 - 12):

Частота измерения: 1 МГц.

Диапазон измерения:

-  емкости (С): ±(0,001п Ф - 100 нФ);

-       индуктивности (L): ±(10 пГн - 1 мГн);

-       проводимости (G): 0,01 мкСм - 1 См.

Рисунок 19 - Измерительная установка: 1 - электронный термометр, 2 - нагревательная печь, 3 - измеритель импеданса E7-12, 4 - источник питания, 5 - исследуемый образец.

Пределы допускаемой основной погрешности измерения: емкости, проводимости, сопротивления: 0,3% + 4 ед.сч., индуктивности: 0,4% + 4 ед.сч. Время измерения: 0,15 - 0,5 с.

Особенностью прибора Е7 - 12 является возможность использования его для измерения параметров нелинейных объектов. В приборе предусмотрены режимы низкого уровня сигнала и возможность подачи смешения по напряжению постоянного тока или по току. Четырехпарное включение измеряемого объекта в измерительную цепь обеспечивает высокие метрологические параметры прибора Е7 - 12.

Нагрев проводился в печи, питание которой, для уменьшения наводок, осуществлялось постоянным током. В качестве нагревательного элемента применялась нихромовая проволока, намотанная на латунный корпус печи. Печь представляла собой трубу длиной 30 см и внутренним диаметром 30 мм, торцы которой закрывались теплоизолирующими заглушками. Максимальная мощность печи была 100 Вт, что позволяло проводить измерения до температуры 700 К. При скорости нагревания 0,1 К/c градиент температуры в образце не превышал 0,1 К/см.

Измерение температуры осуществлялось электронным термометром фирмы Hitachi. Он способен измерять температуру в широком диапазоне, от 73 K до 1643 K с базовой погрешностью ± 0,2 %. В процессе измерений прибор позволяет автоматически учитывать температуру в комнате.

Схема установки для температурных исследований на низких температурах показана на рисунке 20.

Измерительная схема включает: сосуда Дьюара, заполненного жидким азотом, в который постепенно опускается держатель с образцом, патрубок для откачки воздуха, электронный термометр и измеритель и импеданса. Температура образца постоянно фиксируется электронным термометром, так же фиксируется емкость образца при понижении температуры на один градус

Рисунок 20 - Схема измерительной установки: 1 - исследуемый образец, 2 - вакуумный держатель, 3 - сосуд Дьюара, 4 - жидкий азот, 5 - патрубок для откачки, 6 - вакуумный разъем.

3.4 Измерение ёмкости полученной плёнки

Образец с порами, полученный при анодировании, подвергался нагреванию, регистрация ёмкости производилась через температурные интервалы в 5°C (рисунок 21).

Рисунок 21 - Зависимость ёмкости ПАОА от температуры [23]

При сравнении полученных результатов можно сказать следующее: с температурным ходом при нагревании емкость пленки изменяется незначительно. Заметный градиент ёмкости при первом проходе обусловлен наличием воды в порах. При последующих проходах изменение ёмкости при нагревании заметно меньше. Это означает, что, при исследовании диэлектрических свойств внедрённых материалов в ПАОА, в первом приближении, изменение диэлектрических характеристик при нагревании будет обусловлено происходящими изменениями только во внедренном веществе.

3.4 Исследование диэлектрических свойств сегнетовой соли, внедрённой в Al2O3

Верхний фазовый переход в сегнетовой соли, внедрённой в наноразмерные матричные материалы, изучен достаточно хорошо. Результаты данных исследований приведены в [23]. Влияние условий ограниченной геометрии на нижний фазовый переход остаётся плохо изученным. Мы же исследуем диэлектрические свойства сегнетовой соли внедрённой в оксидные плёнки в широком температурном интервале, включая как верхний, так инижний фазовые переходы.

Как показали исследования диэлектрических свойств заполненных матриц Al2O3 со средним размером пор 40 - 60 нм, в районе нижнего фазового перехода аномалии ε¢(T) наблюдаются, при этом максимум диэлектрической проницаемости сдвигается на несколько градусов в область более низких температур относительно объемного кристалла и сильно зависит от частоты измерительного сигнала (рисунок 22).

Рисунок 22 - Температурный ход емкости для пористых пленок Al2O3 с сегнетовой солью взбили нижнего фазового перехода на разных частотах: 20 Гц - 1; 103 Гц - 2; 104 Гц -3

Из графика видно, что для сегнетовой соли, внедрённой в плёнки, с увеличением частоты генерируемого тока уменьшается величина диэлектрической проницаемости, т.е., как и для многих сегнетоэлектриков наблюдается низкочастотная дисперсия, величина которой больше всего в области температуры фазового перехода.

На рисунке 23 приведена температурная зависимость емкости окисной пленки c внедренной сегнетовой солью и монокристалла, выросшего из раствора при внедрении сегнетовой соли в поры. При расчёте диэлектрической проницаемости образца необходимо помнить, что мы получаем характеристики смешанной системы сегнетоэлектрик - пористая плёнка. На сегодняшний день формулы для расчётов параметров материалов, внедрённых в плёнки Al2O3, отсутствуют. Это связанно с достаточно большим разбросом размеров пор.

Так как аномалии ε¢(Т) в районе фазового перехода на частоте 1MHz для пленок составляют не более 20 - 30% для сравнения с монокристаллом, графики приведены в относительном масштабе.

Рисунок 23 - Температурная зависимость относительного изменения диэлектрической проницаемости на частоте 1МГц: квадраты- для монокристалла (Т1 = 255 K), ромбы- для пленки со средним размером пор 40-60 нм (Т1 = 246 K)

Таким образом, при внедрении сегнетовой соли в оксидные пористые плёнки со средним размером 40 - 60 нм происходит сдвиг нижнего фазового перехода в область более низких температур. Это может быть связанно с механическим зажатием нанокристаллов сегнетовой соли в порах. Это согласуется с литературными данными по верхнему фазовому переходу, температура которого тоже смещается, но в область более высоких температур. То есть происходит процесс расширения сегнетоэлектрической фазы.

3.6 Характеристики ТГС в Al2O3

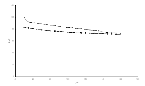
Проведенные исследования показали, что максимум диэлектрической проницаемости для образца в окисной пленке Al2O3 со средним размером пор 100 - 120 нм, не отличается более чем на 1-2 оС от температуры фазового перехода для объемного поликристаллического образца и монокристалла (рисунок 24)

а)



б)

Рисунок 24 - Температурная зависимость относительного изменения диэлектрической проницаемости для ТГС: а) монокристалл; б) прессованный объемный образец (1), образец в пористой пленке Al2O3 (2)

В оксидной плёнке наблюдается размытие максимума e¢(T), которое определяется степенью упорядочения матрицы. Так же наблюдается активационный рост e¢(T) с ростом температуры, что можно объяснить ионно-миграционной поляризацией за счет увеличения числа ионов принадлежащих поверхности.

ЗАКЛЮЧЕНИЕ


В данной работе были рассмотрены свойства пористых материалов, получены оксидные плёнки, с нанометровыми порами, путём анодирования алюминия. В полученные плёнки внедрялись сегнетоэлектрические материалы сегнетова соль и ТГС. Исследованы изменения диэлектрических свойств и температуры фазового перехода.

В результате проделанной работы можно сделать следующие выводы:

) При анализе свойств пористых материалов выявлено, что силикатные и пористые материалы со временем оказывают влияние на характеристики внедрённых в поры материалов, поэтому использование пористых пленок оксида алюминия является оптимальным с этой точки зрения.

) Экспериментальным путём установлено, что подготовка поверхности алюминия оказывает значительное влияние на качество оксидной плёнки, полученной на поверхности, т.к. шероховатости металла приводят к неравномерному и неупорядоченому формированию пористой структуры.

) При снятии диэлектрических характеристик сегнетовой соли, внедренной в оксидные пористые плёнки с размером 40 - 60 нм показано, что происходит сдвиг нижнего фазового перехода в область более низких температур, в связи с механическим зажатием наночастиц порами.

) Показано, что для ТГС, внедрённого в Al2O3 с размером пор 100 - 120 нм происходит размытие пика диэлектрической проницаемости, что объясняется увеличением разупорядочности структуры.

БИБЛИОГРАФИЧЕСКИЙ СПИСОК

Аверьянов, Е.Е. Справочник по анодированию / Е.Е. Аверьянов - М.: Машиностроение, 1998. - 224 с.

Андриевский, Р.А. Наноструктурные материалы / Р.А Андриевский, А.В. Рагуля. - М.: Академия, 2005. - 192 с.

Нанотехнологии в электронике / под ред. Ю.А. Чаплыгина. - М.: Техносфера, 2005. - 448 с.

Сергеев, Г.Б. Нанохимия / Г.Б.Сергеев. - М.: Изд-во МГУ, 2003. - 288 с.

Нанотехнология в ближайшем десятилетии. Прогноз направления исследований./ Под ред. М. К. Роко, Пер. с англ. - М.: Мир, 2002. - 292 с.

Нанотехнологии в электронике. Под ред. Чаплыгина Ю.А. С. 21.

Лайнс, М. Сегнетоэлектрики и родственные им материалы/ М. Лайнс, А. Гласс. Перевод с английского под редакцией В.В. Леманова, Г.А. Смоленского - М.: Мир, 1981.- 736 с.

Смоленский Г.А., Боков В.А., Исупов В.А., Крайник Н.Н., Пасынков Р.Е., Шур М.С. Сегнетоэлектрики и антисегнетоэлектрики. - М.: Наука, 1971. - 476 с.

Иона Ф., Ширане Д. Сегнетоэлекрические кристаллы/Перевод на русский под редакцией Л.А. Шувалова. - М.: Мир, 1965. - 555 с.

Блинц P., Жекш Б. Сегнетоэлектрики и антисегнетоэлектрики/Перевод с английского под редакцией Л.А. Шувалова. - М.: Мир, 1975. - 398 с.

Свитцов А.А., Кострикова О.А. Электронный учебник "Полупроницаемые пористые мембраны". - М.: РХТУ им. Д.И. Менделеева, 2005. -Режим доступа: http://www.membrane.msk.ru/books/book2/, свободный.

Аблицова А.С., Агекян В.Ф., Серов А.Ю. Оптические спектры микрокристаллов слоистого полупроводника PbI2, выращенных в стеклянных матрицах//ФТП. - 1998. - T.32. - С.151-154.

Бегер В.Н., Фадеев А.Ю., Лисичкин Г.В. Управление спектральными характеристиками молекул органических красителей, адсорбированных в пористом стекле, путем предварительного химического модифицирования поверхности пор//ПЖТФ. - 1999. - T.25. - С.78-82.

Парфеньева Л.С., Смирнов И.А., Фокин А.В., Мисиорек Х., Муха Я., Ежовский А. Рассеяние фононов на границах малых кристаллов,

Бρeк, Д. Цеолитовые молекулярные сита/ Д. Бρeк - Μ.: «Мир», 1976. - 781 c.

Богомолов, В.И.. Жидкости в ультратонких каналах//УФН. - 1978. - Т.124. - С.171-182.

Бρегг У.Л., Клаρингбулл Г.Ф. Кристаллическая структура минералов. - М.: «Мир», 1967. - 392 с.

Богомолов В.Н., Волконская Т.И., Задорожний А.И., Капанадзе А.А., Луценко Э.Л. Фазовый переход системы капель Ga и Hg//ФТТ. - 1975. - Т.17. - С.1707-1710.

Кубасов, А.А. Цеолиты - кипящие камни//Соросовский образовательный журнал. - 1998. - Т. 3. - С. 58-65.

20 Seff K. Crystal structure of a sulfur sorption complex of zeolite 4A//J. Phys. Chem. - 1972. - V.76. - P.2601-2605.

Гусев, А.И. Наноматериалы, наноструктуры, нанотехнологии/ А.И. Гусев - М.: Физматлит, 2005. - 416 c

О.В. Рогазинская, С.Д. Миловидова, А.С. Сидоркин, В.В. Чернышев, Н.Г. Бабичева. Свойства нанопористого оксида алюминия с включениями триглицинсульфата и сегнетовой соли // ФТТ. - 2009. - Т. 51. - С. 1430 - 1432.

Похожие работы на - Изменение диэлектрических свойств сегнетоэлектриков, внедрённых в пористые плёнки Al2O3

 

Не нашли материал для своей работы?
Поможем написать уникальную работу
Без плагиата!
Без нейросетей!