Проектирование цифровой системы управления с заданным быстродействием
Оглавление
Цель
работы
Техническое
задание
.Проектирование
аналоговой системы
.1
Теоретическая часть
.1.1
Вывод формул для вычисления параметров аналогового фильтра при
буквенных
значениях коэффициентов a , n ,
.1.2
Построение переходных процессов в замкнутой системе
.1.3
Нахождение начальных и установившихся значений при ступенчатых
воздействиях
.2
Исследовательская часть
.2.1
Определение оптимального значения параметра а.
.2.2
Определение а, при котором установившееся значение W1(p) равно нулю
.3
Расчётно-графическая часть
.3.1
Графики переходных процессов замкнутой системы
.3.2
Графики переходных процессов фильтра
.3.3
Графики переходных процессов при нулевом входном сигнале и
ненулевой
помехе
.
Проектирование цифровой системы
.1
Построение цифрового фильтра
.1.1
Построение цифрового фильтра при использовании полуаналитического
метода
без производных
.1.2
Цифровая реализация аналогового фильтра
.1.3
Графики выхода цифрового фильтра, построенного с помощью
полуаналитического
метода без производных, при разных шагах дискретизации
.1.4
Моделирование замкнутой системы с цифровым фильтром
.1.5
Графики переходного процесса системы с фильтром, построенным полуаналитическим
методом без производных
.1.6
Графики переходных процессов в системе с учетом запаздывания
.2
Построение цифрового фильтра при использовании полуаналитического
метода
с одной производной
.2.1
Построение переходных процессов цифрового фильтра,
построенного
полуаналитическим методом с одной производной
.2.2
Переходные процессы замкнутой системы с цифровым фильтром, построенным методом
с одной производной
.2.3
Графики переходных процессов в системе с учетом задержки
.
Выводы
Цель работы:
Для объекта с известной передаточной функцией
спроектировать цифровую систему управления с заданным быстродействием.
В зависимости от требований Технического задания
необходимо выбрать:
Структурную схему системы управления
Структуру и параметры аналогового фильтра
Метод дискретизации и параметры цифрового
фильтра, обеспечивающие требования Технического задания
Техническое задание
Назначение системы управления
Система управления предназначена для
нейтрализации внешних возмущений f,
приложенных к объекту, и поддерживания выходного параметра ХВЫХ равному или
пропорциональному управляющему сигналу ХВХ.
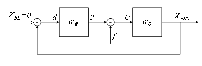
Структурная схема системы управления
Рис. 1. Структурная схема системы управления.
Исходные данные
Передаточная функция объекта:
,
где
.
Передаточная функция фильтра:
.
Динамические требования к системе
управления.
Заданы следующие значения
коэффициентов характеристического уравнения замкнутой системы:
,
где n -
относительное удаление второй пары корней от мнимой оси,
- степень
устойчивости
Характеристическое уравнение
замкнутой системы:
где
,
Длительность переходного процесса:
Задание к аналоговой части:
Вывести формулы для вычисления
параметров аналогового фильтра при буквенных значениях коэффициентов a, n и
.
Варьируя численно коэффициент a, найти
значение aопт, при
котором перерегулирование в замкнутой системе минимально.
Рассчитать и построить графики
переходных процессов для фильтра и замкнутой системы при
,
.
Определить основные параметры для
каждого графика: Т, перерегулирование и т.п.
Задание к цифровой части:
Расчет цифрового фильтра следует
вести
полуаналитическим методом без
производной;
полуаналитическим методом с одной
производной, где производная находится как
.
Для каждого метода построить
алгоритм и программу реализации цифрового фильтра. Построить графики переходных
процессов в фильтре при различных шагах дискретизации при
. Сравнить с
аналоговым случаем.
Привести структурную схему системы с
цифровым фильтром. Построить алгоритм и программу моделирования замкнутой
системы с цифровым фильтром с учетом запаздывания. Выбрать шаг дискретизации h при
отсутствии запаздывания из условия среднеквадратического отклонения от
аналогового процесса равного 0,03. Построить графики переходных процессов в
замкнутой цифровой системе для выбранного шага при
t = 0, t = h/2, t = h.
1. Проектирование аналоговой системы
.1 Теоретическая часть
.1.1 Вывод формул для вычисления
параметров аналогового фильтра при буквенных значениях коэффициентов a , n ,
.
Рассчитаем параметры аналогового
фильтра.
Передаточная функция аналогового
фильтра имеет следующий вид
(1.1)
Передаточная функция объекта:
(1.2)
Передаточная функция разомкнутой
системы:
(1.3)
Передаточная функция замкнутой
системы (при единичной отрицательной обратной связи):
(1.4)
Характеристическое уравнение
замкнутой системы имеет вид:
A(p)=
(1.5)
где
и
(1.6)
Таким образом возможно вычислить
коэффициенты
,
,
,
,
через
заданные по условию
и
. Для этого
необходимо приравнять слагаемые при одинаковых степенях p в
выражениях 1.5 и 1.6.

=

=
Из данной системы уравнений возможно
получить формулы лишь для четырех коэффицентов из пяти. В данной работе будем
варьировать коэффициент a, и выберем его из условия
минимального перерегулирования в замкнутой системе.
Теперь найдем формулы для
коэффициентов
,
,
,

(1.7)
=
=3200-100а(1.8)

(1.9)
=
(1.10)
Выводы по разделу
В данном разделе были выведены
формулы для коэффициентов
передаточной
функции аналогового фильтра, исходя из заданных в условии степени устойчивости
и
относительного удаления второй пары мнимых корней от мнимой оси n.
Коэффициент а будет найден далее, исходя из условия минимального
перерегулирования в замкнутой системе.
1.1.2 Построение переходных процессов в
замкнутой системе
Передаточная функция системы при
отсутствии помехи: 
.
Рис 1.1. Система при отсутствии
помех
Передаточная функция этой системы:
(p)
(1.11)
Положим a=0. Тогда
=
(1.12)
Передаточная функция системы по
отношению к нулевому входному воздействию:
.
Рис. 1.2 Система при нулевом входном
сигнале
Найдем
передаточную функцию
Тогда
(1.13)
Сигнал на выходе фильтра:
.
Рис 1.3. Система при нулевых
помехах.
Тогда:

(1.14)
.1.3 Нахождение начальных и
установившихся значений при ступенчатых воздействиях
Найти начальные и установившиеся
значения можно, применив предельные теоремы:
Выполним данные действия в пакете MathCad 14.
Для нулевых
помех:
Для нулевого входного сигнала:
Выводы по разделу
В данном разделе, исходя из структурной схемы
системы, были выведены выражения для передаточной функции системы при
отсутствии помех, передаточной функции системы при нулевом входном сигнале и
ненулевых помехах, для передаточной функции системы на выходе фильтра. В этих
выражениях содержится коэффициент а. Данные выражения будут использоваться в
последующих разделах.
.2 Исследовательская часть
.2.1 Определение оптимального значения параметра
а
Переходный процесс - реакция системы на
единичное ступенчатое входное воздействие. Выражение для него можно получить,
домножив передаточную функцию замкнутой системы на
и
проведя обратное преобразование Лапласа к полученному выражению.
Будем варьировать значения параметра
а и найдём его оптимальное значение 
, при котором перерегулирование δ в
переходном процессе замкнутой системы минимально.
Вычислив обратное преобразование
Лапласа для
(p) с помощью Mathcad,
получим:

(1.15)
(1.16)
Теперь будем варьировать а для получения
переходного процесса с минимальным перерегулированием. Будем строить графики
переходного процесса для времени t=0..1c
и для различных а.
Приведем таблицу зависимости перерегулирования δ
и момент времени
, в который
перерегулирование максимально от параметра а.
|
a
|
0
|
1
|
2
|
3
|
4
|
5
|
6
|
7
|
8
|
9
|
10
|
11
|
12
|
|
δ
|
0,464
|
0,443
|
0,422
|
0,402
|
0,386
|
0,371
|
0,358
|
0,349
|
0,344
|
0,342
|
0,345
|
0,354
|
0,366
|
|
t
|
0,19
|
0,185
|
0,18
|
0,18
|
0,175
|
0,175
|
0,165
|
0,16
|
0,15
|
0,145
|
0,14
|
0,13
|
0,125
|
Построим через полученные точки аппроксимирующую
кривую и найдем, при каком а перерегулирование минимально.
Рис 1.4 Зависимость перерегулирования от
коэффициента а.
Таким образом, оптимальное значение а=8,56.
Теперь можно записать выражения для передаточных функций фильтра и замкнутой
системы для а=8.56.
(1.17)
(p)
(1.18)
.2.2 Определение параметра а, при
котором установившееся значение W1(p) равно нулю
Из (1.13)
Найдем установившееся значение
передаточной функции
:
(1.19)
=0, таким образом
32.
Выводы по разделу:
В данном разделе мы нашли значение
коэффициента а двумя способами. В первом случае мы варьировали значение
коэффициента а, и нашли такой а, при котором перерегулирование в замкнутой
системе минимально. Во втором случае мы нашли а из условия равенства нулю
статической ошибки от внешнего воздействия.
1.3 Графическая часть
.3.1 Графики переходных процессов замкнутой
системы
Рис 1.5. Переходные процессы в замкнутой системе
при различных а
Параметры переходных процессов
При а=0
Максимальные отклонения:
1.464
Длительность переходного процесса:
Перерегулирование:
Установившееся значение
При а=8.56 (оптимальное)
Максимальные отклонения:
1.342
Длительность переходного процесса:
Перерегулирование:
Установившееся
значение
Рис 1.6. Переходный процесс в
системе при а=32.
При а=32
Максимальные отклонения:
1.51
Длительность переходного процесса:
Перерегулирование:
Установившееся значение
Также рассмотрим переходные процессы в системе
при больших значениях параметра а
Из данных графиков видно, что параметр а влияет
на время переходного процесса, причем с ростом а (в некотором диапазоне) время
переходного процесса уменьшается. С дальнейшим ростом параметра а время
переходного процесса начинает увеличиваться. Также с ростом параметра а в
системе увеличивается колебательность. При а=8.56 величина перерегулирования
минимальна, чего мы и добивались. Сравнивая переходные процессы при a=8.56
и при a=32 (из условия
равенства нулю установившегося значения W1(p)
), видим, что переходный процесс при а=32 имеет большую длительность и большую
колебательность.
.3.2 Графики переходных процессов фильтра
Вычислив обратное преобразование
Лапласа для
(p) с помощью Mathcad,
получим:
(1.20)
Рис 1.7. Графики переходных процессов фильтра
Параметры переходных процессов
При а=0
Максимальные отклонения:
2.959,
Длительность переходного процесса:
Установившееся значение
При а=8.56 (оптимальное)
Максимальные отклонения:
9.0,
Длительность переходного процесса:
Установившееся значение
1.3.3 Графики переходных процессов Xвых(t)
при нулевом входном сигнале и ненулевом внешнем возмущении
Вычислив обратное преобразование
Лапласа для
(p) с помощью Mathcad,
получим:
(1.21)
Рис 1.9. Графики переходных процессов при
нулевом входном сигнале и ненулевом внешнем возмущении
Параметры переходных процессов
При а=0
Максимальные отклонения:
0 ,
Длительность переходного процесса:
Установившееся значение
При а=8.56
Максимальные отклонения:
0,
Длительность переходного процесса:
Установившееся значение
При а=32 (оптимальное из условие равенства
статической ошибки нулю)
Максимальные отклонения:
0.018
Установившееся значение
Выводы по разделу:
Целью данной части работы было
проектирование аналоговой системы управления для объекта, заданного своей
передаточной функцией. Таким образом, необходимо было получить все параметры в
передаточной функции фильтра:
.
Сначала были выведены формулы для
коэффициентов
передаточной
функции аналогового фильтра, исходя из заданных в условии степени устойчивости
и
относительного удаления второй пары мнимых корней от мнимой оси n. Получили
следующие коэффициенты:

, 
, 
,
=3200-100а.
Далее был получены два значения для
коэффициента а: одно исходя из минимального перерегулирования в замкнутой
системе (a=8.56) Для
этого с помощью пакета Mathcad произвели
обратное преобразование Лапласа к передаточной функции замкнутой системы, и
варьируя значение а нашли такое, при котором перерегулирование минимально.
Второе значение коэффициента а было
найдено исходя из равенства нулю статической ошибки при нулевом входном сигнале
и ненулевом внешнем возмущении (a=32). В ТЗ задано условие
минимального перерегулирования, поэтому выбираем а=8.56. Таким образом
выражение для передаточной функции фильтра имеет вид:
Далее были построены графики
переходных процессов в замкнутой системе для а=0, а=
, a=32. Было
выяснено, что параметр а влияет на время переходного процесса, причем с ростом
а (в некотором диапазоне) время переходного процесса уменьшается. С дальнейшим
ростом параметра а время переходного процесса начинает увеличиваться.
Затем мы построили графики
переходного процесса в фильтре при а=0, а=
, a=32.
Выяснили, что параметр а влияет на время переходного процесса в фильтре, причем
с ростом параметра а время переходного процесса уменьшается.
2. Проектирование цифровой системы управления
.1 Построение цифрового фильтра
.1.1 Построение цифрового фильтра при
использовании полуаналитического метода без производных
Передаточная функция фильтра:
(2.1)
Для нахождения коэффициентов разностного
уравнения воспользуемся полуаналитическим методом без производной. Методы,
называемые полуаналитическими, основываются на том факте, что часть общего
решения, описывающая свободное движение, имеет простую аналитическую форму, и
может быть вычислена точно. Таким образом, погрешность общего решения будет
определяться только погрешностями вынужденной части решения.
Из (2.1) следует, что
(2.2)
Запишем дифференциальное уравнение
для фильтра:
(2.3)
Введем промежуточное вспомогательное
уравнение:
(2.4)
Тогда получим неоднородное
дифференциальное вспомогательное уравнение:
, где
.
(2.5)
Из (2.1) и
(2.4):
Таким образом,
Теперь можно сформировать решение по
x:

(2.6)
Решение уравнения (2.5) на шаге h с заданными
начальными условиями
можно
представить в виде
, (2.7)
где
- общее решение однородного
уравнения
- частное решение
Характеристическое уравнение диф. уравнения
(2.5) имеет вид:
, (2.8)
где корни
Общее решение однородного уравнения:
,(2.9)
где А и В - const и
определяются из начальных условий,
Разложим внешнее возмущение y(t) в ряд
Тейлора
(2.10)
Частное решение будем искать в виде:
,(2.11)
где
- пока неизвестные константы.
Тогда:
(2.12)
(2.13)
Подставив (2.10), (2.11), (2.12),
(2.13) в (2.5) и приравняв коэффициенты при одинаковых степенях h, получим
коэффициенты для
:
(2.14)
(2.15)
(2.16)
Так как в условии курсовой работы
задано применить полуаналитический метод без производных, будем считать, что в
разложении Тейлора
.
Тогда мы можем найти коэффициенты
:
,
Таким образом, общее решение будет:

(2.17)
Продифференцировав уравнение (2.17)
по t, получим:
(2.18)
Для того, чтобы найти А и В, примем h
= 0 и подставим в уравнения (2.17) или (2.18):
Таким образом, алгоритм вычислений будет иметь
следующий вид:
По известному
вычисляется
значение
.
Вычисляются текущие коэффициенты A и B.
Полученные величины используются для
вычисления
и
, которые
будут условиями для следующего шага.
Вычисляется реакция фильтра в
текущий момент времени
п.1-4 повторяются заданное шагом дискретизации
количество раз.
Выводы по разделу
В данном разделе были построен алгоритм для
реализации цифрового фильтра полуаналитическим методом без производных.
.1.2 Цифровая реализация аналогового фильтра
Программа цифровой реализации аналогового
фильтра, алгоритм которой был описан в предыдущем пункте, была разработана и
написана с помощью пакета математически[ вычислений MATLAB
R2007a.
Перед началом работы алгоритма необходимо
описать все параметры участвующие в программе.
- шаг дискретизации (окончательно он
будет выбран при разработке замкнутой системы с цифровым фильтром - см.
следующий пункт данного параграфа).
- количество точек (отсчетов,
охватывающих время переходного процесса), взятых для реализации переходного
процесса в фильтре. Будем исследовать переходный процесс на протяжении 1
секунды от момента его начала. За это время переходный процесс успеет
завершиться, к тому же, масштаб графиков переходного процесса удобен для их
исследования. Таким образом, количество отсчетов, охватывающих время
переходного процесса, вычисляется по формуле
. (2.19)
Листинг программы:
>> alfa = 30;
>> beta = 13.5;
>> k = 100;
>> z = zeros(1, k);
>> x = zeros(1, k);
>> zp
= zeros(1, k);
>> zpp
= zeros(1, k);
>> A =
0;
>> B =
0;
>> h =
1/k;
>> b0
= 100;
>> y =
ones(1, k);
>>
alfa0 = y(i) / 944;
>> A =
z(i) - alfa0;
>> B =
(zp(i)+ alfa * A)/beta;
>>
z(i+1) = exp(-alfa*h)*(A*cos(beta*h)+B*sin(beta*h)) + alfa0;
>>
zp(i+1) = exp(-alfa*h)* (cos(beta*h)*(-A*alfa + B*beta) - sin(beta*h)*(A*beta +
B*alfa));
>>
zpp(i+1) = (-1) * exp(-alfa*h) * (cos(beta*h) * (-A*alfa*alfa + 2*alfa*beta*B +
A*beta*beta) + sin(beta*h) *
(-B*alfa*alfa
-2*A*alfa*beta+ B*beta*beta));
>>
x(i+1) = (8.56 * zpp(i+1) + 240 * zp(i+1) + 1600 * z(i+1));
>> end;
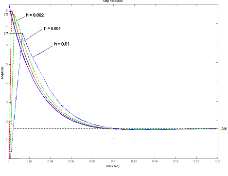
2.1.3 Графики выхода цифрового фильтра,
построенного с помощью полуаналитического метода без производных, при разных
шагах дискретизации.
Построим графики переходных процессов цифрового
фильтра для шагов h = 0.01,
0.004 и 0.002 соответственно (при нулевых начальных условиях).
Рис 2.1. Переходный процесс на выходе фильтра
при различных шагах дискретизации
Переходный процесс цифрового фильтра при h
= 0,01с
Установившееся значение равно 1,776.
Максимальное значение 6,7.
Переходный процесс цифрового фильтра при h
= 0,004с
Установившееся значение равно 1,776.
Максимальное значение 7,80.
Переходный процесс цифрового фильтра при h
= 0,002с
Установившееся значение равно 1,776.
Максимальное значение 8,02.
Из графика видно, что чем меньше шаг
дискретизации, тем ближе переходный процесс цифрового фильтра к переходному
процессу аналогового фильтра. Значительное расхождение в начале переходного
процесса связано с тем, что при реализации цифрового фильтра были взяты нулевые
условия (А=0, В=0).
Сравним полученные значения с аналоговым
случаем:
|
Шаг дискретизации
|
0,01
|
0,004
|
0,002
|
Аналоговый фильтр
|
|
Максимальное знач.
|
6,7
|
7,80
|
8,02
|
8.56
|
|
Установившееся знач.
|
1,776
|
1,776
|
1,776
|
1,776
|
Вывод по разделу
В данном разделе были построены графики
переходных процессов цифрового фильтра, построенным полуаналитическим методом
без производных, и был сделан вывод о том, что чем меньше шаг дискретизации,
тем ближе выход с цифрового фильтра к выходу с аналогового фильтра.
.1.4 Моделирование замкнутой системы с цифровым
фильтром
Рассмотрим работу замкнутой системы с цифровым
фильтром.
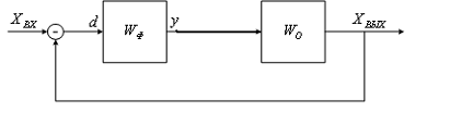
Рис. 2.2 - Замкнутая система с цифровым
фильтром.
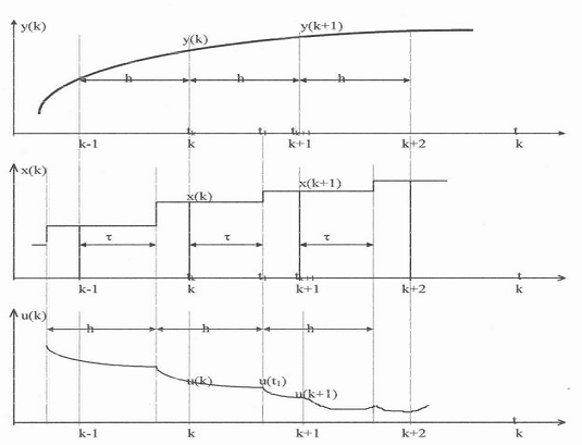
Рис 2.3. Временная диаграмма работы цифрового
фильтра
Процесс работы замкнутой системы с цифровым
фильтром выглядит следующим образом. Пусть текущий момент tk+1.
В этот момент АЦП измеряет входной сигнал - y(k+1).
В памяти ЦВМ в этот момент находятся значения x(k),
y(k)
по которым она вычисляет значение x(k+1).
Затем это значение выставляется на выход фильтра только в момент времени tk
= tk + t.
Где t - чистое запаздывание, включающее в
себя время срабатывания АЦП, ЦАП, машинное время вычисления и, при
необходимости, специально введенное дополнительное запаздывание.
На интервале времени [tk
; tk + t]
уравнение объекта имеет вид:
, где
.(2.20)
Отсюда

;(2.21)
.
(2.22)
На интервале времени
уравнение
объекта
, откуда
;(2.23)
(2.24)
Эти соотношения являются моделью
объекта управления
.
Для окончательного описания
замкнутой системы нужно добавить уравнение отрицательной обратной связи
.
Вышеперечисленные действия реализованы в Matlab.
>> alfa = 30;
>> beta = 13.5;
>> k = 1000;
>> z = zeros(1, k);
>> x =
zeros(1, k);
>> zp
= zeros(1, k);
>> zpp
= zeros(1, k);
>> A =
0;
>> B =
0;
>> h =
1/k;
>> tau
= 0;
>> b0
= 100;
>> u =
zeros(1, k);
>> up
= zeros(1, k);
>> ut
= zeros(1, k);
>> utp
= zeros(1, k);
>> y =
ones(1, k);
>> for
i = 1:k;
>>
alfa0 = y(i) / 1000;
>> A =
z(i) - alfa0;
>> B =
(zp(i)+ alfa * A)/beta;
>>
z(i+1) = exp(-alfa*h)*(A*cos(beta*h)+B*sin(beta*h)) + alfa0;
>>
zp(i+1) = exp(-alfa*h)* (cos(beta*h)*(-A*alfa + B*beta) - sin(beta*h)*(A*beta +
B*alfa));
>>
zpp(i+1) = (-1) * exp(-alfa*h) * (cos(beta*h) * (-A*alfa*alfa + 2*alfa*beta*B +
A*beta*beta) + sin(beta*h) >> >> * (-B*alfa*alfa -2*A*alfa*beta+
B*beta*beta));
>>
x(i+1) = (8.56 * zpp(i+1) + 240 * zp(i+1) + 16000 * z(i+1));
>>
upt(i) = up(i) + b0 * x(i) * tau;
>>
ut(i) = u(i) + up(i) * tau + (b0 * x(i) * tau * tau) / 2;
>>
up(i+1) = upt (i) + b0 * x(i+1) * (h-tau);
>>
u(i+1) = ut(i) + upt(i) * (h-tau) + (b0 * x(i+1) * (h-tau) * (h-tau)) / 2;
>> y(i+1) = 1 - u( i+1);
>> end;
Вывод по разделу:
В данном разделе был построен
алгоритм и программа моделирования замкнутой системы с цифровым фильтром,
реализованным полуаналитическим методом без производных
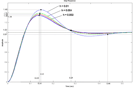
2.1.5 Графики переходного процесса системы с
фильтром, построенным полуаналитическим методом без производных, при разных
шагах дискретизации.
Построим графики переходных процессов замкнутой
системы для шагов дискретизации 0.01, 0.004 и 0.002 соответственно при нулевом
запаздывании.
Рис 2.4. Переходной процесс в системе с цифровым
фильтром при различных h
Переходный процесс в системе при h
= 0,01с
Время переходного процесса Т = 0,44с.
Максимальное значение (1,48) достигается в 0,15с
от начала переходного процесса.
Переходный процесс в системе при h
= 0,004с
Время переходного процесса Т = 0,29с.
Максимальное значение (1,39) достигается в 0,14с
от начала переходного процесса
Переходный процесс в системе при h
= 0,002с
Время переходного процесса Т = 0,29с.
Максимальное значение (1,36) достигается в
0,135с от начала переходного процесса
Сравним полученные значения с аналоговым
случаем:
|
Шаг дискретизации, h
|
0,01
|
0,004
|
0,002
|
Аналоговый случай
|
|
Время
перех. процесса, Т, с
|
0,44
|
0,29
|
0,29
|
0,285
|
|
Перерегулирование, %
|
47
|
39
|
36
|
34,2
|
По данным таблицы можно сделать вывод, что при
уменьшении шага дискретизации величина перерегулирования уменьшается и время
переходного процесса замкнутой системы с цифровым фильтром приближается ко
времени переходного процесса замкнутой системы с аналоговым фильтром.
Среднеквадратическое отклонение системы с
цифровым фильтром от замкнутой аналоговой системы рассчитывается по формуле
(2.25)
Найдем СКО следующим образом:
Реализуем в Simulink реализацию
системы с аналоговым фильтром
Рис 2.5. Система с аналоговым
фильтром
Сравним сигнал с ее выхода с сигналом системы и
цифровым фильтром:
>> k
= 100;// задаем в зависимости от шага дискретизации
>> for i = 1:k;
>>s=s+(u(i)-analog)*(u(i)-analog)
>>end;
>>s=s/k;
>>sko=s^.0.5;
В случае, когда h=0.01,
СКО=10%
В случае, когда h=0.004,
СКО=2.85%
В случае, когда h=0.002,
СКО=0.8%
Таким образом, выберем шаг h=0.004.
поскольку он удовлетворяет заданному условию.
Выводы по разделу:
В данном разделе были построены графики
переходных процессов замкнутой системы с цифровым фильтром, реализованным
полуаналитическим методом без производных, при разных шагах дискретизации и был
сделан вывод о том, что при уменьшении шага дискретизации величина
перерегулирования уменьшается и время переходного процесса замкнутой системы с
цифровым фильтром приближается ко времени переходного процесса замкнутой
системы с аналоговым фильтром. Исследовал среднеквадратическое отклонение
выхода системы с цифровым фильтром от системы с аналоговым фильтром, видим, что
для достижения заданной точности (СКО<=3%) достаточно взять шаг
дискретизации h=0.004.
2.1.6 Графики переходных процессов в системе с
учетом запаздывания.
Для того, чтобы исследовать переходный процесс в
системе при ненулевом запаздывании, необходимо всего лишь изменить в листинге
программы, приведенной на стр. 21, строку:
>> tau
= 0;
на строку
>> tau = h/2; (для
задания запаздывания
)
А затем на строку:
>> tau = h; (для
задания запаздывания
)
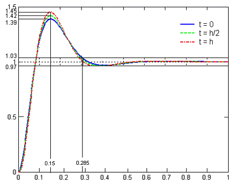
Рис 2.5. Переходной процесс в системе с цифровым
фильтром при h=0.004 и различном
времени запаздывания
Переходный процесс замкнутой системы
с цифровым фильтром при
.
Время переходного процесса Т = 0,285с.
Максимальное значение (1,39) достигается в 0,15с
от начала переходного процесса.
Переходный процесс замкнутой системы
с цифровым фильтром при
.
Время переходного процесса Т = 0,29с.
Максимальное значение (1,43) достигается в 0,15с
от начала переходного процесса.
Переходный процесс замкнутой системы
с цифровым фильтром при
.
Время переходного процесса Т = 0,395с.
Максимальное значение (1,48) достигается в 0,15с
от начала переходного процесса.
Мы видим, что перерегулирование минимально при
нулевом запаздывании и максимально при запаздывании равном шагу дискретизации.
Длительность переходного процесса также максимальна при максимальном
запаздывании. При нулевом запаздывании переходный процесс наиболее близок к
аналоговому.
Вывод по разделу:
В данном разделе были построены графики
переходных процессов замкнутой системы с цифровым фильтром, реализованным
полуаналитическим методом без производных, при запаздываниях t
= 0, t = h/2,
t = h
и был сделан вывод о том, перерегулирование минимально при нулевом запаздывании
и максимально при запаздывании равном шагу дискретизации, а длительность
переходного процесса также максимальна при максимальном запаздывании.
2.2 Построение цифрового фильтра при
использовании полуаналитического метода с одной производной
Передаточная функция и все начальные расчеты
совпадают с началом пункта 2.1. Отличие составляет функция y(t),
которая подается на вход фильтра.
Разложим y(t)
в ряд Тейлора:
(2.26)
Частное решение будем искать в виде:
,(2.27)
где
- пока неизвестные константы.
Тогда:
(2.28)
(2.29)
Приравняв коэффициенты при
одинаковых степенях h, получим коэффициенты для
:
(2.30)
(2.31)
(2.32)
Так как в условии курсовой работы
задано применить с одной производной, будем считать, что в разложении Тейлора
.
Тогда мы можем найти коэффициенты
:
,
,
, где производная находится как
.
Таким образом, общее решение будет:
(2.33)
Продифференцировав уравнение (2.31)
по t, получим:
(2.34)
Для того, чтобы найти А и В, примем h = 0 и
подставим его в уравнения (2.33) и (2.34):
Таким образом, алгоритм вычислений будет иметь
следующий вид:
1.По известному
вычисляется
значение
.
.Вычисляются текущие коэффициенты A и B.
.Полученные величины используются
для вычисления
и
, которые
будут условиями для следующего шага.
.Вычисляется реакция фильтра в
текущий момент времени
5.п.1-4 повторяются заданное шагом дискретизации
количество раз.
Листинг программы:
>> alfa0
= 0.001;
>> alfa
= 30;
>> beta
= 13.25;
>> k = 1000;
>> z = zeros(1, k);
>> x = zeros(1, k);
>> zp = zeros(1, k);
>> zpp = zeros(1, k);
>> y = ones(1, k);
>> y(1) = 0;
>> yp = zeros(1, k);
>> A = 0;
>> B = 0;
>> h = 1/k;
>> tau = 0;
>> b0 = 100;
>> u = zeros(1, k);
>> up = zeros(1, k);
>> ut = zeros(1, k);
>> utp = zeros(1, k);
>> for i = 2:k ;
>> y(i+1) = y(i) + yp(i) * h;
>> yp(i+1) =
(y(i+1)-y(i-1))/2*h;
>> alfa0 = y(i+1)/944;
>> alfa1 = yp(i+1)/944;
>> A = z(i) - alfa0;
>> B = (zp(i)+ alfa * A)/beta;
>> z(i+1) =
exp(-alfa*h)*(A*cos(beta*h)+B*sin(beta*h)) + alfa0 + alfa1 * h;
>> zp(i+1) = exp(-alfa*h)*
(cos(beta*h)*(-A*alfa + B*beta) - sin(beta*h)*(A*beta + B*alfa)) + alfa1;
>> zpp(i+1) = (-1) *
exp(-alfa*h) * (cos(beta*h) * (-A*alfa*alfa + 2*alfa*beta*B + A*beta*beta) +
>> >> sin(beta*h) * (-B*alfa*alfa -2*A*alfa*beta+ B*beta*beta));
>> x(i+1) = 8.56 * zpp(i+1) +
240 * zp(i+1) + 16000 * z(i+1);
>> upt(i) = up(i) + b0 * x(i)
* tau;
>> ut(i) = u(i) + up(i) * tau
+ (b0 * x(i) * tau * tau) / 2;
>> up(i+1) = upt (i) + b0 *
x(i+1) * (h-tau);
>> u(i+1) = ut(i) + upt(i) *
(h-tau) + (b0 * x(i+1) * (h-tau) * (h-tau)) / 2;
>> y(i+1)
= 1 - u( i+1);
>> end;
Выводы по разделу:
В данном разделе был построен алгоритм и
программа реализации цифрового фильтра полуаналитическим методом с одной
производной.
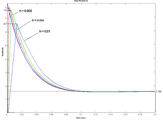
2.2.1. Построение переходных процессов цифрового
фильтра, построенного полуаналитическим методом с одной производной, при
различных шагах дискретизации
Построим графики переходных процессов цифрового
фильтра для шагов дискретизации 0.01, 0.005 и 0.002 соответственно.
Рис. 2.2.2 Графики переходного процесса фильтра.
Переходный процесс цифрового фильтра при h
= 0,01с
Установившееся значение равно 1,776.
Максимальное значение 6,8.
Переходный процесс цифрового фильтра при h
= 0,005с
Установившееся значение равно 1,776.
Максимальное значение 7,92.
Переходный процесс цифрового фильтра при h
= 0,002с
Установившееся значение равно 1,776.
Максимальное значение 8,08.
Сравним полученные значения с аналоговым
случаем:
|
Шаг дискретизации
|
0,01
|
0,005
|
0,002
|
Аналоговый фильтр
|
|
Максимальное знач.
|
6,8
|
7,92
|
8,08
|
8.56
|
|
Установившееся знач.
|
1,776
|
1,776
|
1,776
|
1,776
|
По данным таблицы можно сделать вывод, что чем
меньше шаг дискретизации, тем ближе выход с цифрового фильтра к выходу с
аналогового фильтра.
Выводы по разделу:
В данном разделе были построены графики
переходных процессов цифрового фильтра, реализованного полуаналитическим
методом с одной производной, при разных шагах дискретизации и был сделан вывод
о том, что чем меньше шаг дискретизации, тем ближе выход с цифрового фильтра к
выходу с аналогового фильтра.
.2.2 Графики переходных процессов замкнутой
системы с цифровым фильтром, построенным полуаналитическим методом с одной
производной
Построим графики переходных процессов замкнутой
системы для шагов дискретизации 0.01, 0.005 и 0.002 соответственно при нулевом
запаздывании.
Рис. 2.8.1 Переходный процесс замкнутой системы
при различных h
Сравним полученные значения с аналоговым случаем
|
Шаг дискретизации, h
|
0,01
|
0,005
|
0,002
|
Аналоговый случай
|
|
Время
перех. процесса, Т, с
|
0,44
|
0,288
|
0,287
|
0,285
|
|
Перерегулирование, %
|
44
|
38
|
36
|
34,2
|
По данным таблицы можно сделать вывод, что при
уменьшении шага дискретизации величина перерегулирования уменьшается и время
переходного процесса замкнутой системы с цифровым фильтром приближается ко
времени переходного процесса замкнутой системы с аналоговым фильтром.
Способом, аналогичным тому, который
использовался при расчете СКО для полуаналитического метода без производных,
рассчитаем СКО для метода с одной производной.
В случае, когда h=0.01,
СКО=9,11%
В случае, когда h=0.005,
СКО=2.82%
В случае, когда h=0.002,
СКО=0.55%
Таким образом, выберем шаг h=0.005.
поскольку он удовлетворяет заданному условию.
Выводы по разделу:
В данном разделе были построены графики
переходных процессов замкнутой системы с цифровым фильтром, реализованным
полуаналитическим методом с одной производной, при разных шагах дискретизации и
был сделан вывод о том, что при уменьшении шага дискретизации величина
перерегулирования уменьшается и время переходного процесса замкнутой системы с
цифровым фильтром приближается ко времени переходного процесса замкнутой
системы с аналоговым фильтром. Исследовав среднеквадратическое отклонение
выхода системы с цифровым фильтром от системы с аналоговым фильтром, видим, что
для достижения заданной точности (СКО<=3%) достаточно взять шаг
дискретизации h=0.005.
.2.3 Графики переходных процессов в замкнутой
системе с учетом задержки
1. Запаздывание
.
Время установившегося процесса Т =
0,285с
Максимальное значение (1,36)
достигается в 0,14с от начала переходного процесса.
. Запаздывание
.
Время установившегося процесса Т =
0,285с
Максимальное значение (1,42)
достигается в 0,14с от начала переходного процесса.
. Запаздывание
.
Время установившегося процесса Т =
0,42с
Максимальное значение (1,45) достигается в 0,14с
от начала переходного процесса.
Видно, что перерегулирование минимально при
нулевом запаздывании и максимально при запаздывании равном шагу дискретизации.
Длительность переходного процесса также максимальна при максимальном запаздывании.
Вывод по разделу:
В данном разделе были построены графики
переходных процессов замкнутой системы с цифровым фильтром, реализованным
полуаналитическим методом с одной производной, при запаздываниях t
= 0, t = h/2,
t = h
и был сделан вывод о том, перерегулирование минимально при нулевом запаздывании
и максимально при запаздывании равном шагу дискретизации, а длительность
переходного процесса также максимальна при максимальном запаздывании.
передаточная функция цифровой фильтр
3.Выводы
Целью данной курсовой работы было
проектирование цифровой системы управления с заданным быстродействием для
объекта, заданного передаточной функцией
. Была задана передаточная функция
фильтра:
, где
коэффиценты
надлежало
найти, исходя из динамических требований к системе. Была задана оценка
длительности переходного процесса T=0.3c.
Сначала была построена аналоговая
система управления. Были выведены уравнения для коэффициентов
.
Коэффициент а был найден далее двумя способами.
В первом случае коэффициент а был
найден, исходя из условия минимального перерегулирования передаточной функции W(p). При этом,
варьируя коэффициент а, были получены различные значения перерегулирования.
Оказалось, что перерегулирование в системе минимально при a=8.56.
Во втором случае коэффициент а был
найден, исходя из условия, что установившееся значение на выходе системы с
нулевым входным воздействием, и ненулевой помехой (передаточная функция W1(p)) , равно
нулю. Получили а=32.
Поскольку, в условии курсовой работы
сказано, что а необходимо выбрать из условия минимального перерегулирования, то
выберем а=8.56. Передаточная функция фильтра при этом имеет вид,
а
передаточная функция системы имеет вид

.
Далее было исследовано влияние коэффициента а на
параметры переходного процесса.
Переходной процесс в системе:
|
|
a=0
|
a=8.56
|
a=32
|
a=34
|
а=36
|
|
Длительность перех. Процесса, c
|
0.36
|
0.285
|
0.36
|
0.4
|
0.4
|
|
Перерегулирование, %
|
46.4
|
34.2
|
51
|
65
|
76
|
Из таблицы видно, что параметр а влияет на время
переходного процесса, причем с ростом а (в некотором диапазоне) время
переходного процесса уменьшается. С дальнейшим ростом параметра а время
переходного процесса начинает увеличиваться. Также с ростом параметра а в
системе увеличивается колебательность.
Во второй части работы была спроектирована
цифровая система управления.
При этом были исследованы два метода перехода от
аналогового фильтра к цифровому - полуаналитический метод без производных, и
полуаналитический метод с одной производной. Для обоих методов были построены
алгоритмы их реализации, и они были реализованы в Matlab.
Далее было проведено исследование влияния шага
дискретизации на переходный процесс в системе с цифровым фильтром. Результаты
исследования были сведены в таблицы:
Переходной процесс в системе с цифровым фильтром
(метод без производных)
|
Шаг дискретизации, h
|
0,01
|
0,004
|
0,002
|
Аналоговый случай
|
|
Время
перех. процесса, Т, с
|
0,44
|
0,29
|
0,29
|
0,285
|
|
Перерегулирование, %
|
47
|
36
|
34,2
|
Переходной процесс в системе с цифровым фильтром
(метод с одной производной)
|
Шаг дискретизации,
h0,010,0050,002Аналоговый случай
|
|
|
|
|
|
Время
перех. процесса, Т, с
|
0,44
|
0,288
|
0,287
|
0,285
|
|
Перерегулирование, %
|
44
|
38
|
36
|
34,2
|
Как и предполагалось, с уменьшением шага
дискретизации переходной процесс в системе с цифровым фильтром, приближался к
переходному процессу в системе с аналоговым фильтром.
Далее, для каждого из выбранных шагов
дискретизации было рассчитано среднеквадратическое отклонение выхода системы с
цифровым фильтром от выхода системы с аналоговым фильтром. Результаты расчетов
были сведены в таблицы:
СКО (метод без производных)
|
Шаг дискретизации
|
h=0.01
|
h=0,004
|
h=0.002
|
|
СКО, %
|
10
|
2.85
|
0.8
|
СКО (метод с одной производной)
|
Шаг дискретизации
|
h=0.01
|
h=0,005
|
h=0.002
|
|
СКО, %
|
9.11
|
2.82
|
0.55
|
Поскольку в задании сказано, что СКО не должно
превышать 3%, то были выбраны следующие шаги дискретизации:
Для метода без производных - h=0,004
Для метода с одной производной - h=0,005
Наконец, было исследовано влияние
задержки
на
переходной процесс для обоих методов (при выбранных шагах дискретизации).
Влияние задержки на переходной
процесс (метод c одной производной)
|
|
tau=0
|
tau=h/2
|
tau=h
|
|
Макс. значение на выходе
|
1,36
|
1,42
|
1,45
|
|
Время перех. Процесса
|
0,285
|
0,285
|
0,42
|
Влияние задержки на переходной процесс (метод
без производных)
|
|
tau=0
|
tau=h/2
|
tau=h
|
|
Макс. значение на выходе
|
1,39
|
1,43
|
1,48
|
|
Время перех. Процесса
|
0,285
|
0,29
|
0,395
|
Оказалось, что с увеличением задержки растет
время переходного процесса, и увеличивается колебательность в системе. То есть,
как и предполагалось, задержка ухудшает переходной процесс, и надо стремиться к
ее уменьшению.
Таким образом, исследовав оба метода, можно
сказать, что метод с одной производной обеспечивает большую точность, чем метод
без производных, поскольку:
.Для того, чтобы СКО не превышало 3%, в методе
без производных должен быть шаг дискретизации не больше 0,004, а в методе с
одной производной - достаточно взять шаг не больше 0,005.
.При одной и той же величине запаздывания,
переходной процесс в системе с фильтром, построенным по методу с одной производной
ближе к аналоговому случаю, чем в системе с фильтром, построенным по методу без
производных.
1.