Характеристика та технологія виробництва ЗАТ 'Криворізький суриковий завод'

  • Вид работы:
    Отчет по практике
  • Предмет:
    Другое
  • Язык:
    Украинский
    ,
    Формат файла:
    MS Word
    298,79 Кб
  • Опубликовано:
    2012-11-18
Вы можете узнать стоимость помощи в написании студенческой работы.
Помощь в написании работы, которую точно примут!

Характеристика та технологія виробництва ЗАТ 'Криворізький суриковий завод'

Міністерство освіти і науки, молоді та спорту України

Криворізький національний університет

Кафедра комп’ютерних систем та мереж







Звіт

З технологічної практики




Виконав: ст. гр. КСМ - 09 - 2 Бортуаль Г.А.

Прийняв: доцент кафедри КСМ Варава А.А.

Прийняв: інженер-програміст Бояркіна Е.А.






Кривий Ріг 2012

Зміст

 

Вступ

Розділ 1. Характеристика та технологія виробництва

Розділ 2. Апаратні засоби інформації, комунікації. Рекомендації по удосконаленню

2.1 Апаратне забезпечення

2.2 Задачі подальшого розвитку по напрямах діяльності автоматизація фінансово-економічних задач

2.3 Ризики розробки, упровадження і супроводи системи автоматизації

Розділ 3. Робота у відділі ОАСУ

3.1 Протоколи обміну та параметри їх налаштування, необхідні для організації внутрішньо системних зв’язків

3.2 Операційна система

3.3 Структурна схема відділу ОАСУ

Висновки

Література

Вступ

Закрите акціонерне товариство "Криворізький суриковий завод" засновано в 1938 році. Територія цеху займає 101400 м2. Первична потужність заводу була 5 тис. т. сурику. У 1990 році на базі залежів талькових сланців Криворізького басейна завод освоїв виробництво талька молотого на існуючим на підприємстві обладнання. Сьогодні "Криворізький суриковий завод" - це підприємство, що динамічно розвивається з максимальною орієнтацією потреб споживачів. З цією метою обрано два провідних напрями діяльності заводу - постійне покращення якості та розширення асортименту готової продукції. У грудні 2003р. на підприємстві була розроблена і виправдана система управління якістю ISO 9001-2001. Вся продукція заводу була добровільно сертифікована.

Закрите акціонерне товариство "Криворізький суриковий завод" - одне з найбільших підприємств хімічної промисловості України з більш, ніж півстолітнім досвідом роботи на внутрішньому і зовнішніх ринках. Підприємство спеціалізується на випуску високоякісних сухих земляних пігментів: сурику залізного, мумії, охри, а також тальку технічного. Не менш важливим напрямом діяльності заводу є виробництво високоякісних лакофарбових матеріалів (емалі, масляні фарби, ґрунтовки, шпаклівки, оліфа, уайт-спірит, водно-дисперсійні фарби).

Розділ 1. Характеристика та технологія виробництва


Продукцією ЗАТ "Криворізький суриковий завод" є сурик, мумія, тальк. шлак - сухі земляні пігменти. лакофарбова продукція.

Сурик залізний і мумія - це природні неорганічні пігменти червоно - коричневого кольору, які складаються з окису заліза з домішками мінералів та кварцитів.

У залежності від вмісту окису заліза та застосування, сурик виробляється наступних марок: "К", "Э".

Тальк - природний неорганічний пігмент, який складається з талькових сланців з домішками окису заліза, магнію, алюмінію, кварцу та кремнію.

Промислова лінія по виробництву сухих земляних пігментів у замкнутому вентильованому контурі була запущена в 1984 р.

Проектна потужність цеху по виробництву сухих пігментів 35 тис. т/рік, фактичне навантаження - 100% від проектної.

Краскова руда зі складу грейферним краном завантажується у бункер, потім пластинчатим поживлювачем та стрічковим конвеєром подається у подрібнювальне відділення. Подрібнення руди здійснюється у молотковій дробарці.

Подрібнена руда конвеєром подається у сушильно - розмольне відділення. Сушка та змільчення здійснюється у шаровому млині ШБМ - 287/470, працюючому у замкнутому циклі з центробіжним сепаратором.

У млин завантажують сталеві шари для розмолу руди. Разом з рудою у млин подається сушильний агент.

Розмол руди проходить до крупності 3-0 мм.

Подрібнена руда повітряним потоком подається на класифікацію в центробіжний сепаратор СПЦВ-4750/1600.

Після класифікації крупна фракція з сепаратору вертається у млин на дозмільчування, а готовий продукт на першу ступінь уловлювання, яка складається з чотирьох циклонів діаметром 1400 мм.

Після першого ступеня очищення, продукція подається на другий ступінь, яка складається з восьми циклонів діаметром 1000 мм

Третя ступінь очистки складається з восьми циклонів діаметром 500 мм, де проходить уловлювання найбільш тонкого продукту.

Після третього ступеня очистки проходить очищення газів та пилу у мокрому пиловловлювачу.

Готова продукція після трьох ступенів очищення подається гвинтовим конвеєром у бункер готового продукту, звідкіля розфасовується у тару

(поліпропіленові контейнери та мішки паперові).

Витрати фарбової руди на виробництво 1 т сурику марки "К" - 1200,0 кг.

Витрати фарбової руди на виробництво 1 т мумії - 1200,0 кг.

Витрати талькових сланців на виробництво 1 т талька - 1200,0 кг.

Продукцією ЗАТ "Криворізький суриковий завод" є пентафталеві емалі та грунтівки, олійні фарби, водно-дисперсні фарби та шпатлівки "Декор", акрилові грунтівки та фарби для шиферу "Лакрил", бітумні та пентафталеві лаки, оліфи.

Потужності по випуску лакофарбової продукції дорівнюють 4500 тон на рік. Фактична загрузка за 2011 складає 48,1 %.

Пентафталеві емалі та грунтівки, фарби олійні - це суспензії пігментів та наповнювачів у пентафталевому лаці або оліфі з додатком до них сиккативу та розчинників.

Виробництво лакофарбової продукції складається з одного технологічного потоку. Спосіб виробництва - механічне змішування пігментів та наповнювачів у зв’язуючому у швидкісних змішувачах (дисольверах), диспергування пігментної пасти на бісерних млинах, та становлення на "тип".

Вся сипуча сировина завозиться до цеху автонавантажувачем зі складу сировини, а рідини насосом перекачуються зі складу ЛЗР. Перед закладанням вся сировина зважується на електронних вагах.

Змішування пігментів та наповнювачів зі зв’язуючим (приготування пігментної пасти) відбувається у швидкісних змішувачах, далі насосом перекачується до тихохідного змішувача, призначеного для постійного живлення бісерних млинів, на котрих відбувається диспергування пігментних паст. Бісерний млин представляє собою циліндр, у центрі котрого розташований вал з насадженими на нього металевими дисками, розташованими один від одного на однаковій відстані. Поміж дисками і корпусом млина є зазор для циркуляції пасти вверх і вниз. Корпус бісерного млина обіймає водна сорочка для охолодження його та пігментної пасти. У ролі мелющих тіл використовують скляний бісер діаметром 2-4 мм.

Продиспергіровану пігментну пасту перекачують насосом до змішувача зі зв’язуючим і роблять складання та постановку на "тип". Готову фарбу витримують у змішувачі до стабілізації по усім показникам якості не менше однієї години при працюючій мішалці, а потім по вазі розфасовують у тару: банки металеві по 0,9 кг, 1,0 кг, 2,5 кг, 2,8 кг; бачки металеві 50 л, бочки металеві по 100 та 200 л.

Готову продукцію приймає ВТК і після отримання паспорту якості здається на склад готової продукції.

Витрати сировини на виготовлення однієї тони:

емалі 1010 кг

грунтівки 1010 кг

фарби олійної 1010 кг

Воднодісперсні фарби, грунтівки "Лакрил", шпаклівки "Декор" - це суспензії пігментів і наповнювачів у водній дисперсії акрилових сополімерів з додатком до них модифікуючих присадок і цільових добавок.

Фарби воднодісперсні призначені для зовнішнього і внутрішнього фарбування житлових, адміністративних і виробничих споруд (окрім фарбування підлог.

Грунтівки акрилові "Лакрил" призначені для погрунтування пористих (бетонних, цеглових, гіпсокартонних), зовнішніх та внутрішніх конструкцій споруд, шиферу, перед нанесенням воднодісперсних та інших матеріалів на водній основі.

Шпатлівки призначені для вирівнювання та усунення дефектів поглинаючих поверхонь (бетонних, цегляних, дерев’яних) ззовні та всередині приміщень.

Процес виробництва - це механічне змішування складових компонентів у змішувачі із нержавіючої сталі, оснащеному дискофрезерною мішалкою, згідно норм витрат.

Готова продукція за вазою розфасовується у поліетиленову тару від 1 л до 50л, проходить прийомку ВТК, і після отримання паспорту якості здається на склад готової продукції.

Витрати сировини на виготовлення однієї тони:

         фарби "Декор" 1010 кг

-        фарби "Лакрил" для шиферу 1010 кг

         грунтівок "Лакрил" 1010 кг

         шпаклівок "Декор" 1018 кг.

Оліфи представляють собою розчин преперированих рослинних олій у керосині або уайт-спіриті з додаванням різних модифікаторів і сикативів.

Технологічний процес виробництва складається із підігріву рослинної олії, оксидації із сикативом, змішуванні оксидованої олії із сикативом і керосином, постановки на "тип".

Готова оліфа, після приймання ВТК, насосом перекачується на склад ЛЗР.

Частина оліфи за вагою фасується у пляшку технічну 0,5 л та бачки і бочки металеві 50-200 л. Оліфа використовується для виробництва олійних фарб.

Витрати сировини на виготовлення однієї тони оліфи - 1010 кг.

Лаки БТ представляють собою розчин нафтового бітуму у суміші органічних розчинників з введенням синтетичних модифікуючих додатків та сикативу.

Лаки БТ призначені для пофарбування внутрішніх поверхонь виробів для виключення контактів спеціальних речовин з конструкційними матеріалами і для захисту поверхонь металевих конструкцій та виробів при нетривалому їх зберіганні і транспортировці, а також для виготовлення алюмінієвої фарби.

Процес виробництва складається із двох частин:

розчинення нафтового бітуму у частці органічного розчинника у швидкісному змішувачі при роблячий мішалці;

постановка на "тип" - додаток залишків органічного розчинника, сикативу, модифікуючих додатків, стабілізації по всім показникам з якості.

Подрібнений бітум засипається у змішувач вручну, уайт-спірит закачується насосом зі складу ЛЗР дозовано через ваги.

Готовий бітумний лак по вазі фасується у скляні технічні пляшки 0,5 л та бачки металеві 50 л, проходить прийомку ВТК і, після отримання паспорта якості здається на склад готової продукції.

Витрати сировини на виготовлення однієї тони лака 1018 кг.

хімічна промисловість автоматизація протокол

Розділ 2. Апаратні засоби інформації, комунікації. Рекомендації по удосконаленню


Під час проходження технологічної практики відбулось ознайомлення з технологією прокладання нової та оновлення існуючої СКМ (структурована комп’ютерна мережа). Під час прокладання мережі було використано наступні технології.

 

.1 Апаратне забезпечення


¨      Комутаційні вузли:

·        Shneider Electric - комутатор великої ємності 42U;

·        TRITON - настінний комутатор малої ємності 15U;

·        APC - шафа для серверного приладдя;

¨      Обладнання для прокладання нової СКМ:

·        Reichle & De-Massari - кабель, розетки, патч-корд, патч-панелі;

·        Marshall Tufflex (Mini Trunking 38x25, 38x16; Maxi Trunking 100x50, 50x50) - короба для прокладання кабелів;

¨      Обладнання для оновлення існуючої СКМ:

·        ОдесКабель - кабель, розетки;

·        Marshall Tufflex (Mini Trunking 38x25, 38x16; Maxi Trunking 100x50, 50x50) - короба для прокладання кабелів;

¨      Тестування та маркування кабелів:

·        NETS RX-1000 - тестер для повсякденної роботи;

·        Fluke CIQ-100 Kit - тестовий набір для діагностування серйозних проблем;

·        Fluke IT-100 Kit Kit - тестовий набір для діагностування серйозних проблем;

·        Brady BMP21 Kit - набір для маркування елементів мережі.

Shneider Electric

Якість - пріоритетний напрям промислової політики Schneider Electric, що підтверджується сертифікатом ISO 9001 на розробку і виробничий процес і сертифікатом ISO14001 на дотримання вимог охорони навколишнього середовища.

Для полегшення проектування і збірки шаф Scheider Electric пропонує наступні засоби:

·        Керівництво по вибору настінних і підлогових шаф і пультів управління

·        Керівництво по конфігурації збірних шаф Spacial 6000

·        Керівництво по конфігурації клемних осередків для передачі даних CaSys

·        Програмне забезпечення для термодинамічних розрахунків

Корпуса Schneider Electric знайшли широке застосування в промисловості, цивільному будівництві та інфраструктурах. Наявність вентиляційних комплектів і модулів кондиціонування серед додаткового обладнання дозволяє реалізовувати системи управління на базі частотнорегульованого електроприводу, а 19-ти дюймові стійки незамінні для розміщення типових електронних плат.

Для задоволення сучасних запитів в області розподілу електроенергії, автоматизації та мережевої електроніки Sarel постійно розширює асортимент своєї продукції.- відома в Європі торгова марка чеського виробника шаф. Європейському споживачеві не має сенсу заново знайомиться з цією торговою маркою, але ось що стосується країн СНД, - тут продукція чеського виробництва останнє десятиліття реалізовувалася під самими різними торговими марками. Незважаючи на те, що доводилося бути в тіні інших торгових марок, Triton успішно зайняв свою нішу, повільно але впевнено заробляв собі авторитет у солідних системних інтеграторів в Україну.

Особливості монтажних конструктивів від Triton, добре зарекомендували себе в Україні. Основа шафи - зварна металоконструкція, порошкове покриття поверхні надійно захищає метал від вологи і механічних пошкоджень. Лінійка устаткування представлена ​​настінними шафами висотою від 4 до 18U і підлоговими шафами висотою від 15 до 45 U. Ширина шаф 600 і 800мм, а глибина - 600, 800, 900 і 1000 мм. В силу великої міцності, шафи Triton підходять для установки важкого устаткування. Навантажувальна ємність шафи 15-22U - 300кг, 27-45U - 400кг, а спеціальна розробка чеських конструкторів у вигляді серії Q дозволяють навантажити підлоговий шафа на все 800кг.& De-Massari

Сьогодні компанія R & M пропонує своїм замовникам повністю закінчені рішення на основі універсальних кабельних систем, побудованих на компонентах виключно власного виробництва. СКС R & Mfreenet містить понад 50 000 найменувань, серед яких повний спектр мідних і волоконно-оптичних компонентів, кабелі різного призначення, з'єднувальні та телекомунікаційні розетки, панелі і шнури перемикань, монтажні шафи та стійки.

Рішення та компоненти СКС R & Mfreenet забезпечують повну сумісність і гарантовану працездатність мережі протягом усього терміну експлуатації і враховують специфіку російського телекомунікаційного ринку.

Якість виробництва та обслуговування замовників R & M визнано відповідним міжнародним стандартом ISO 9001. Сертифікати ISO 11801, EN 50173, TIA / EIA 568 є свідченням високого професіоналізму компанії, гарантією якості випускаються систем та окремих компонентів, програм навчання і сервісної підтримки.

ОдесКабель

Спеціалізуючись на виробництві телекомунікаційних кабелів, Одеський кабельний завод освоїв і випускає широкий асортимент мідних і волоконно-оптичних кабелів зв'язку, радіочастотних, а також затребуваних в останні десятиліття цифрових або LAN-кабелів, номенклатура яких є найширшою в країнах Співдружності. Крім цього, ПАТ "Одескабель" пропонує своїм споживачам силові кабелі, проводи й шнури різного призначення.

На Одеському кабельному заводі розроблена й впроваджена інтегрована система менеджменту за чотирма міжнародними стандартами, а саме: система менеджменту якості за ISO 9001: 2008, система екологічного управління по ISO 14001: 2004, система управління гігієною та безпекою праці по OHSAS 18001: 2007 і система соціальної відповідальності по SA 8000: 2008. Це означає, що рівень організації виробництва та управління ПАТ "Одескабель" повністю відповідає світовим стандартам.Tufflex

Серія Mini Trunking - Короба невеликого перерізу з цільної секцією і замикалася верхньою кришкою. Ідеально підходять для невеликих інсталяцій пожежних, охоронних і телекомунікаційних систем. Перевага - жорстка конструкція (відсутність деформацій при монтажі), міцне кріплення кришки, великий вибір типорозмірів, різноманітність аксесуарів. З розміру 25х16 мм короба поставляються з отворами для монтажу, що прискорює і полегшує їх кріплення. Короба розміром 38х16 мм і 38х25 мм поставляються в двох версіях - з і без розділової перегородкою.

Серія Maxi Trunking - Короба з цільної секцією і кришкою, фіксується поверх підстави. Використовуються як магістральних коробів. Переваги даної серії - зручність монтажу, невисока ціна, єдиний дизайн і загальні розеткові елементи для декількох популярних розмірів.CIQ-100 Kit™ Residential Qualifier

Кваліфікуючу тестер мідного кабелю призначений для кваліфікації та документування результатів перевірки якості кабельних систем житлових будинків.

Документування того, що в кабельних системах житлових будинків відсутні дефекти і вони сумісні зі стандартом TIA-570B

Кваліфікація кабельних систем житлових будинків на предмет підтримки ними передачі голосу або трафіку VoIP, можливості створення мережі Ethernet 10/100/1000 і підключення кабельного телебачення

Складання карт конфігурації проводки і відображення відстані до місць виникнення несправностей за допомогою вбудованої технології динамічної рефлектометрії

Тестує та усуває неполадки в низьковольтних кабелях житлових будинків:

·        Коаксіальні кабелі

·        Телефонні кабелі

·        Кабелі безпеки

·        Акустичні кабелі

Виявлення та відстеження кабелів із застосуванням технології подачі цифрового сигналу IntelliTone.IT-100 Kit Kit

Тон-генератор і детектор тональних сигналів IT100 IntelliTone ™ дозволяють проводити пошук і ідентифікувати кабелі на основі витої пари

(UTP / STP / SSTP категорій 5е і 6), коаксіальні кабелі (RG6, RG59 та інші типи, призначені для систем кабельного телебачення CATV і відео-спостереження CCTV), неізольовані дроти (наприклад, від гучномовців або мереж безпеки), а також телефонні кабелі категорії 3. Тон-генератор, крім того, дозволяє перевіряти мовні типи сервісів. За допомогою модулів приладу IntelliTone Toner і Probe можна здійснити відповідно генерацію

тональних сигналів та їх уловлювання детектором. Цифровий сигнал приладу IntelliTone легше визначається на відстані, ніж аналогові сигнали, а їх частота та кодування виключають ризик неправильної ідентифікації кабелю в тих випадках, коли сигнал ослаблений або присутній зовнішній шум або наводки.

Тон-генератор і детектор IT100 також дозволяють скористатися стандартними функціями аудіо - і візуальної індикації потужності сигналу, функцією тон-генерації та уловлювання сигналів на частоті 1 кГц, функцією тестування безперервності, і також можливістю надання харчування зовнішньому обладнання для тестування телефонних ліній.BMP21 Kit

Мініпринтер BMP21 - це економічний, оперативний інструмент для роботи бригад монтажу СКМ, електрики, промислових підприємств. На цьому термотрансферному принтері ви створите надійну маркування, яке буде служити довгі роки.був оновлений:

Російська мова - тепер можна конфігурувати меню принтера не лише англійською, іспанською, французькою, португальською, німецькою і датською, а й російською мовою.

Новий шрифт друку на термоусадочній трубці малого діаметра M21-125-C-342 (6 мм) і M21-187-C-342 (9 мм) - раніше друкований текст на маркерах розміром 6 мм не прочитувався через дуже маленького розміру шрифту. У новій версії принтера це незручність усунуто. Для маркерів розміром 9 мм з'явилася нова можливість вибору шрифта 14pt (раніше найбільшим був шрифт 9pt)

 

.2 Задачі подальшого розвитку по напрямах діяльності автоматизація фінансово-економічних задач


Забезпечення керованості і прозорості діяльності підприємства.

Стандартизація ключових бізнес-процесів і забезпечення корпоративних стандартів управління.

Уніфікація і оперативне надання достовірної управлінської

звітності.

Використовування світових стандартів і підходів в управлінні бізнесом.

Фінансове планування і контроль використовування фінансових коштів.

Управління корпоративними правами.

Автоматизація системи управління на підставі ведучих галузевих практик.

автоматизація технологічних задач:

зниження енергоємності виробничих процесів

зниження позапланових простоїв устаткування, за рахунок своєчасної реєстрації несправностей, стабілізації режимів роботи, обліку напрацювання;

підвищення продуктивності роботи основного устаткування за рахунок оптимізації технологічного процесу і стабілізації його параметрів;

вивільняється трудових ресурсів і підвищення культури виробництва за рахунок автоматизації технологічних процесів;

надання в АСУ комбінату достовірної інформації про об'єми виробництва, використовування сировинних матеріалів, витрати енергоносіїв.

загальносистемні задачі:

підвищення відмовостійкості транспортної мережі передачі даних

підвищення відмовостійкості системи зберігання даних

підвищення відмовостійкості серверів

забезпечення антивірусного захисту і захисту від зовнішніх вторгнень

упровадження системи підтримки користувачів (help-desk)

перехід на використовування відкритого програмного забезпечення (linux)

 

2.3 Ризики розробки, упровадження і супроводи системи автоматизації


По напрямах діяльності:

автоматизація фінансово-економічних задач:

·        відсутність опису технічних специфікацій задачі;

·        відсутність пріоритетів завдань, що поступили;

·        відсутність необхідної кількості ресурсів;

·        зміни/доповнення функціонала проекту, що розробляється, при збереженні термінів і ресурсів;

·        відсутність часу, необхідного для виконання термінових завдань

·        відсутність робочих груп (відповідальних осіб з боку замовника) при розробці і упровадженні систем автоматизація технологічних задач:

АСОДУ комбінату

·        Відсутність достовірної інформації про виробництво готової продукції

·        Відсутність достовірної інформації по використовуванню обладнання.

·        Відсутність узгодженості вантажопотоків усередині комбінату

·        Збільшення витрат часу на проведення телефонних переговорів між диспетчерами підрозділів і диспетчером комбінату

·        Неможливість своєчасного змінно-добового планування випуску

·        продукції по цехах заводу

АСУТП скельного тракту

·        Зупинка основного технологічного обладнання, збій в графіку проведення робіт на РУ, підвищення вірогідності виникнення аварій на основному технологічному устаткуванні, порушення технології транспортування скелі, відсутність інформації про перебування основного технологічного обладнання, підвищення питомих витрат ресурсів

АСУТП завантаження дробарок Hydrocone 7800 УДТК

·        Зупинка основного технологічного обладнання, вихід з ладу дробарок, зниження якості, підвищення питомих витрат ресурсів

АСУТП 14-й секції РОФ

·        Зупинка основного технологічного обладнання, виникнення аварійної ситуації на секції, зниження якості концентрату, підвищення питомих витрат ресурсів

АСУТП шихтоподготовки АЦ

·        Зупинка основного технологічного обладнання, зниження якості агломерату, підвищення питомих витрат ресурсів, порушення циклічності при виробництві агломерату.

АСУТП котельною

·        Виникнення аварійної ситуації яка може спричинити значні матеріальні втрати і загрозу здоров'ю технологічного персоналу, вихід з ладу обладнання котельної, збій в подачі теплоносія.

АСУ зважування на вагонних терезах

·        Неможливість проведення розрахунків із споживачами, відсутність можливості роботи з "Укрзалiзницей", збої в поставках готової продукції, відсутність інформації про відвантажену продукцію

АСУ технічного обліку

·        Необґрунтована перевитрата енергоносіїв, у разі системи обліку витрати технічної води - відсутність контролю за замерзаннями водоводов

АСУ комерційного обліку електроенергії

·        Неможливість участі в енергоринку, минувши Обленерго, завищення тарифів оплати за електроенергію, при довготривалій перерві в роботі системи - відключення комбінату

Розділ 3. Робота у відділі ОАСУ


3.1 Протоколи обміну та параметри їх налаштування, необхідні для організації внутрішньо системних зв’язків


У нормально працюючій системі обміну даними підсистемою нижнього рівня займається IOSERVER. Обмін даними з підсистемою нижнього рівня проводить мережі Ethernet через мережну плату серверів з адресами 192.168.1.4 і 192.168.1.3 Зв'язок між контроллерами здійснюється по мережі CC-Link (вита екранована пара) (див. Додаток В).

Мінімальні вимоги до апаратної частини системи робочого місця оператора і серверу

·        Windows NT 4.0 SP6 - Pentium 500MHZ - 96MB RAM - 1GB HDD (вільно)

·        Windows NT Server Enterprise SP5 - Pentium 500MHZ - 96MB RAM - 1GB HDD (вільно)

·        Windows NT Server 4.0 Terminal Server SP6 - Pentium 500MHZ - 96MB RAM - 1GB HDD (вільно)

·        Windows 2000 Server SP3 - Pentium 500MHZ - 128MB RAM - 1GB HDD (вільно)

·        Windows 2000 SP3 - Pentium 500MHZ - 128MB RAM - 1GB HDD (вільно)

·        Windows XP - Pentium 500MHZ - 128MB RAM - 1GB HDD (вільно)

·        Windows Server 2003 - Pentium 500MHZ - 128MB RAM - 1GB HDD (вільно)

Якщо використовується аналіз процесу, то рекомендується наявність графічної карти з, принаймні, 64МБ VRAM локальної пам'яті і що не розділяється з основною пам'яттю.

3.2 Операційна система


Windows NT, 2000 або XP

Протоколи обміну і параметри їх настройки, необхідні для організації внутрішньо системних зв'язків.

Зв'язок між операторською станцією і головним контролером системи (MELSEC Q) здійснюється по мережі Ethernet специфікації 100Base-TX. Зв'язок між контролерами - Profibus-DP.

 

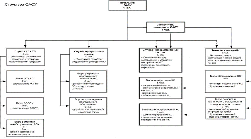
.3 Структурна схема відділу ОАСУ


Рисунок 3.1 Структурна схема відділу ОАСУ

Короткий опис задач кожного з підрозділів:

. Адміністрація - організація робіт і загальне керівництво відділу.

. Служба інформаційних технологій - СИТ забезпечує безперебійну роботу комп'ютерної мережі, призначеної для збору інформації в місцях її виникнення, математичного забезпечення мережі, що дозволяє проводити обмін інформацією між користувачами за безпаперовою технологією, забезпечує захист інформації від несанкціонованого доступу і спотворень при передачі і роботі з базами даних, доступ до інформації у будь-який час доби, архівацію інформації і її зберігання.

. Служба програмних систем - забезпечує розробку організаційно - функціональних підсистем автоматизованої системи управління підприємством з послідовним і поступовим упровадженням більш вчинених науково - обґрунтованих методів управління на базі економіко - математичних методів і існуючих засобів обчислювальної техніки, а також підтримка в робочому поляганні існуючих і упровадження більш досконалих інформаційних систем і пакетів прикладних програм загального призначення.

. Технічна служба - забезпечує безперебійну роботу технічних засобів комп'ютерної мережі

. Служба АСУ ТП - забезпечує рішення задач управління виробництвом і технологічними процесами у виробничих цехах і створення інформаційної бази даних для вирішення задач АСУ ТП комбінату.

Висновки


Було пройдено курс технологічної практики на підприємстві ПАТ "Суриковий завод" у відділі ОАСУ (організації автоматизації систем управління).

Під час проходження технологічної практики відбулось ознайомлення з підприємством, організаційною структурою, історією розвитку та роботою технічного відділу ОАСУ; ознайомлення та отримання практичних навичок з технології прокладання нової та оновлення існуючої СКМ (структурованої комп’ютерної мережі).

Література


1.       http://www.dlgr. ho.ua/Pidpr4.html <http://www.dlgr.ho.ua/Pidpr4.html>

.        http://www.schneider-electric.com/site/home/index. cfm/ua/ <http://www.schneider-electric.com/site/home/index.cfm/ua/>

.        <http://www.apc.com/site/apc/>

.        <http://www.brady.ru/products/print/portable/bmp21/>

.        <http://icsgroup.ru/marshall/>

.        http://www.odeskabel.com/main-rus/index. php <http://www.odeskabel.com/main-rus/index.php>

.        <http://www.starcom-trade.com.ua/public.html>

.        <http://www.rdm-russia.ru/>

Похожие работы на - Характеристика та технологія виробництва ЗАТ 'Криворізький суриковий завод'

 

Не нашли материал для своей работы?
Поможем написать уникальную работу
Без плагиата!
Без нейросетей!