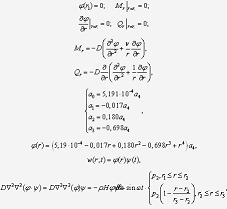
|
Прогибы,
мкмНаименьших квадратовБубнова-ГалеркинаANSYS
|
|
|
|
|
|
1
|
2
|
3
|
4
|
5
|
|
4.54.167.742-46
|
|
|
|
|
|
12.711.814.714-20
|
|
|
|
|
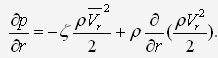
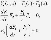
Оценивая погрешности, видим, что
метод наименьших квадратов и Бубнова-Галеркина дают
неточные результаты. А значит их применение для решения даной задачи не
эффективно.
4.Статический расчет гидропяты
.1 Построение статической и
расходной характеристик гидропяты с учетом деформации разгрузочного диска
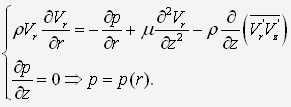
Ламинарный режим течения
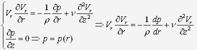
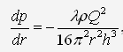
Статический расчет базируется
на уравнении осевого равновесия ротора, а также на уравнении баланса расходов, где
- суммарная
осевая сила, которая действует на ротор насоса;
- уравновешивающее усилие [1]:
Примем
, где
- торцовый
зазор без учета деформации диска
Для нахождения
воспользуемся
программным пакетом ANSYS. После аппроксимации:
где
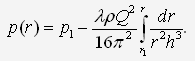
Давление
определим
из уравнения баланса расходов:
где
Рассмотрим следующий пример:
радиус ротора
;
внутренний радиус
разгрузочного диска
;
наружный радиус разгрузочного
диска
;
давление за последней
ступенью насоса
;
давление за гидропятой
;
коэффициент динамической
вязкости воды
;
длина цилиндрического
дросселя
;
цилиндрический зазор
;
радиус цилиндрической щели
;
суммарная осевая сила,
действующая на ротор насоса
;
Рисунок 4.1 - Статическая
характеристика
для ламинарного режима течения
Рисунок 4.2 - Расходная
характеристика для ламинарного режима течения
Рисунок 4.3 - Характеристики узла гидропяты
Определим изменение расхода, если
учесть деформацию:
4.1.1 Турбулентный
режим течения
Представляя зазор
в виде суммы
где
- торцовый
зазор без учета деформации
диска,
- деформация
диска гидропяты, а также раскладывая интегралы
выражения (4.7) в
ряд Тейлора для малых
, сохраняя
члены первого порядка малости, в случае
можно получить упрощенное выражение
для разгрузочного усилия:
Потери
жидкости через цилиндрический дроссель:
где
- постоянная
проводимость цилиндрического дросселя.
Потери жидкости через
торцовый зазор
определяются
по формуле (2.37).
Решая второе уравнение (4.1) с
учетом формул (2.37) и
(4.10),
получим выражение для давления в камере гидропяты:
Зависимость
(4.9) с
учетом выражений (2.38) и (4.11) дает
возможность построить статическую характеристику гидропяты как зависимость
уравновешивающего усилия
от торцового зазора
.
Зависимость (2.37) с учетом
выражений (2.38) и (4.11) дает возможность определить потери жидкости через
гидропяту в зависимости от торцового зазора
(рисунок 4.6).
Анализируя кривую, видим, что
деформация диска вызывает уменьшение торцового зазора вследствие
дополнительного перемещения ротора в сторону действия силы
на величину
; проводимость
дросселя уменьшается, вследствие этого уменьшаются потери рабочей жидкости
через узел гидропяты.
Рисунок 4.4 - Статическая
характеристика
для турбулентного режима течения
Рисунок 4.5 - Расходная
характеристика
для турбулентного режима течения
Рисунок 4.6 - Характеристики узла
гидропяты
Определим изменение расхода,
если учесть деформацию:
5.Анализ
устойчивости и определение критического значения торцового зазора
.1 Ламинарный
режим течения
Рассмотрим влияние деформации на
устойчивость гидропяты.
- статический коэффициент жесткости
- условие статической устойчивости
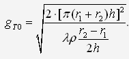
Рисунок 4.7 - коэффициент
гидростатической жесткости гидропяты
5.1.1 Турбулентный режим течения
Рассмотрим влияние деформации на устойчивость
гидропяты.
Рисунок 4.8 - коэффициент гидростатической
жесткости гидропяты
При
гидропята
теряет статическую устойчивость.
Исследовано влияние
деформаций разгрузочного диска на статические и расходные характеристики
гидропяты, при этом установлено, что деформация способствует дополнительному
смещению ротора в сторону действия осевой силы
, что приводит к уменьшению
проводимости торцовой щели и уменьшению протечек.
Из условия статической устойчивости
нашли отношение критического зазора
к номинальному
, при
котором произойдет задир:
- для ламинарного режима течения;
- для турбулентного режима течения.
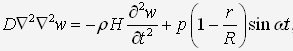
6.Динамический
расчет гидропяты
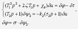
Основными уравнениями динамики
являются уравнения осевых колебаний упорного кольца и разгрузочного диска, а
также уравнения баланса расходов эждкости через цилиндрический и торцовый
дроссели с учетом расхода на сжатие жидкости в камере гидропяты и расхода
вытеснения:
Совокупность этих уравнений
представляет собой систему разрешающих уравнений динамики уравновешивающего
устройства.
Поскольку полученная система
уравнений нелинейна, то невозможно получить искомые зависимости
аналитически. Поэтому изучено поведение системы в малых отклонениях от
установившегося режима, определяемого статическим расчетом.
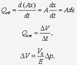
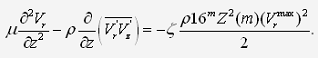
6.1 Расчет изгибных колебаний
торцового диска гидропяты
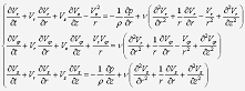
Запишем закон Ньютона для ротора насоса:
где
- масса
ротора;
- демпфирование;
- жесткость;
- уравновешивающее усилие;
- суммарная осевая сила,
действующая на ротор;
- отжимная сила.
Уравновешивающее усилие
находим по формуле:
где
-
эффективная площадь;
- давление в камере гидропяты;
- давление за разгрузочным диском (
);

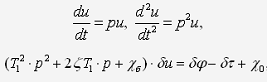
Приведем уравнение (5.1) к
безразмерному виду. Для этого левую и правую части разделим на произведение
,
где
- базовая
площадь;
- базовое давление:
где
-
безразмерное уравновешивающее усилие;
- безразмерная площадь;
- безразмерное давление в камере;
где
- начальное
сжатие;
- безразмерная осевая сила.
где
- базовый
торцовый зазор;
- безразмерное смещение.
где
-
-
Мы получили второй закон
Ньютона для ротора в безразмерной форме.
В дифференциальной форме
уравнение (5.2) примет вид:
Представим уравнение (5.3) в
операторной форме:
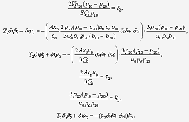
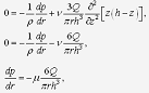
Запишем уравнение баланса
расходов:
где
- расходы
через цилиндрический и торцовый дроссели;
- объемный расход, изменение объема
по времени;
- расход сжатия.
Так как
, то:
где
- объем,
идущий на сжатие;
- объем камеры гидропяты в
стационарном положении;
- модуль упругости рабочей жидкости
I
рода;
- изменение давления.
где
-
проводимость цилиндрического дросселя;
- давление за последним рабочим
колесом;
- базовая проводимость торцового
дросселя.
С учетом выше приведенным
формул, уравнение (5.5) примет вид:
Линеаризуем это уравнение в
окрестности установившегося состояния равновесия:
где
- расход
жидкости через цилиндрическую щель в статическом расчете;
- давления за последней рабочей
ступенью и в камере гидропяты, полученные в статическом расчете.
где
- расход
через торцовую щель в статическом расчете;
Уравнение (5.6) примет вид:
В статике
.
Получили линеаризованное
уравнение расходов в вариациаях.
Получили линеаризованное
уравнение расходов в вариациях. Перейдем к безразмерному давлению. Для этого
разделим обе части уравнения (5.7) на
:
- безразмерное давление.
Обозначим:
В операторной форме:
.
Для получения АЧХ и ФЧХ
решаем систему следующих уравнений:
Решим систему матричным
методом:
Решаем эту систему в
программе MathCad 14.
Строим амплитудно-частотные характеристика для функций:
и
:
Рисунок 5.1
- АЧХ отношения безразмерного зазора к безразмерной суммарной осевой силе,
действующей на ротор
Рисунок 5.2
- АЧХ отношения безразмерного давления к осевой силе.
6.2 Решение задачи о совместных
колебаниях вала и разгрузочного диска центробежного насоса
Задача об изгибных колебаниях дисков тесно
связана с задачами о критических частотах роторов газотурбинных двигателей.
В настоящее время вопросу о критических
числах оборотов посвящено очень большое количество работ, в которых эта
проблема рассматривается с самых различных точек зрения. Так, например,
значительное развитие получил вопрос о несинхронных прецессиях, уделяется
большое внимание критическим числам оборотов двухвальных систем, создаются
методики расчета многодисковых валов с учетом гироскопических моментов дисков,
рассматривается неустановившееся движение гибкого вала и переход его через
критическое число оборотов, и т.д.
В последние годы в работах о
критических числах оборотов находит развитие учет влияния деформации корпуса
двигателя и податливости опор вала. Как показывают подробные исследования этого
вопроса, действительная картина критических оборотов при податливых опорах
значительно отличается от идеализированной схемы вращения упругого вала на
идеально жестких опорах. Изучение этого вопроса позволяет получить более
правильное представление о вибрациях в газотурбинных двигателях и создать более
точные методы расчета критических чисел оборотов.
В задачах о критических числах
оборотов и изгибных колебаниях валов диски рассматриваются как абсолютно
жесткие, недеформирующиеся. При таком представлении считается, что диски при
изгибе вала совершают только два вида движений: перемещение на величину прогиба
вала и поворот на угол, равный углу поворота сечения самого вала. На самом деле
при колебаниях или прецессировании вала происходят также изгибные колебания
дисков. Вследствие колебаний дисков их воздействие на вал оказывается далеко не
таким, как это принимается при жестких недеформирующихся дисках, а методы
расчета, не учитывающие гибкости дисков, могут давать существенные погрешности.
Следует отметить, что в работах,
посвященных колебаниям дисков, эти колебания рассматриваются изолировано от
вала. В действительности диск, являясь упругой частью ротора, может колебаться
только связанно с валом. При этом не только диск оказывает влияние на колебания
вала, но и форма и частота колебаний самого диска оказываются связанными с
колебаниями вала.
Рассмотрим колебания невращающегося диска
постоянной толщины, закрепленного на валу и свободного по внешнему контуру. Вал
совершает изгибные колебания, вследствии чего возникают изгибные колебания
диска с одним узловым диаметром, который располагается перпендикулярно
плоскости колебаний оси вала.
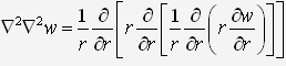
Основным уравнением колебаний диска является
известное и приводимое в теории упругости уравнение равновесия тонкой изогнутой
пластинки, которое запишем в виде:
Применяя оператор Лапласа второго
порядка
, можно
записать основное уравнение колебаний в таком виде:
Этот вид уравнения сохраняется и для
полярных координат, но оператор Лапласа в данном случае нужно брать в виде:
где
- прогиб
срединной плоскости диска;
- жесткость пластинки при
изгибе (цилиндрическая жесткость);
- интенсивность распределенной
по поверхности диска нагрузки.
Для колеблющегося диска
распределенной нагрузкой являются инерционные силы. В нашей задаче
интенсивность нагрузки:
где
- плотность
материала диска;
- ускорение точек диска;
После подстановки значения
в уравнение
(5.8) получим уравнение колебания диска:
Граничные условия:
Осредняем по
Рисунок 5.3 - АЧХ поперечных
колебаний диска при
Рисунок 5.4 - АЧХ поперечных
колебаний диска при
В результате динамического расчета
построены амплитудно-частотные характеристики системы «ротор - разгрузочное
устройство».
Найдена зависимость амплитуды
поперечных колебаний разгрузочного диска от безразмерной амплитуды осевых
колебаний ротора
Построение амплитудно-частотной
характеристики позволяет также определить критические частоты системы
уравновешивания осевой нагрузки.
7. Раздел охраны труда
Данная дипломная работа посвящена уточнению
методов расчета характеристик устройств автоматического уравновешивания осевых
сил центробежных машин. В ходе ее выполнения были проведены необходимые расчеты
и сделаны выводы, которые могут послужить материалом для дальнейших
исследований в этой области. Предполагается,
что разрабатываемый мною расчет будет использоваться в вычислительном центре
завода. Помещение отдела находится в здании СКБТКМ ОАО «Сумское НПО им. Фрунзе»
и представляет собой комнату размерами 7,5м×18м×3,5м.
Одна из ее больших стен имеет пять одностворчатых окна, размерами 3м×2,5м,
которые выходят на северо-восток. Окна расположены равномерно по всей длине
стены. Пол в комнате паркетный, все стены покрашены до высоты 1,8м, а далее
стены и потолок побелены. Вдоль стены расположены четыре письменных стола. На
них располагаются персональные компьютеры и другая оргтехника (модемы,
принтеры, телефоны и ксерокс). Столы имеют пластиковое покрытие. Их габариты
рабочей поверхности 1450мм×1100мм.
Высота столов 740мм. Высота сиденья от уровня пола составляет 440мм.
Помещения, в которых размещаются
ЭВМ, следует располагать в северной или северо-восточной стороне здания и
запрещается в подвальных и цокольных помещениях. Высота помещения от пола до
потолка должна быть не менее 2,5 м. Площадь помещения следует принимать из
расчёта 4 м2 на одного работника управления, 6 м2 на одного
работника конструкторского бюро.
Параметры помещения: ширина комнаты
- 7,5 м, длина - 18 м, высота - 3,5 м, общая площадь помещения составляет 135 м2,
общий объем помещения - 472,5 м3. В помещении расположено 10 рабочих
мест, т.е. на одного человека приходится 13,5 м2, что соответствует
норме. Объем помещения, приходящийся на одного человека 47,25 м3,
что также не противоречит нормам.
При обустройстве помещений
запрещается использовать полимерные материалы (ДСП, пластик и т.п.). Подбирая
цветовую гамму для оформления интерьера, необходимо учитывать, что цвет
является сильным психологическим стимулятором. Поэтому цветовое оформление
помещений должно соответствовать СН 181 - 70, согласно которым выбор цвета
определяется конструкцией здания, характером выполняемой работы, количеством
работающих, освещенностью. Окраска помещений должна быть спокойной для
визуального восприятия.
Рассмотрим влияние на человека
некоторых из потенциально опасных и вредных факторов (физические, химические,
биологические, психофизиологические).
Организация рабочих мест должна
осуществляться с учетом современных эргономических требований. При расположении
рабочих мест необходимо учитывать следующие факты:
- рабочие места с
видеотерминалами и персональными ЭВМ должны располагаться на расстоянии не
менее 1 м от стен со световым проемами;
- расстояние между
боковыми поверхностями видеотерминалов должно быть не менее 1,2 м;
- расстояние между
тыльной стороной одного видеотерминала и экраном другого должно быть не менее
2,5 м;
- проход между рядами
должен быть не менее 1 м.
Организация рабочего места
пользователя ЭВМ должна соответствовать ГОСТ 12.2.032 - 78 ССБТ. Согласно этому
стандарту рабочие места относительно световых проемов должны располагаться так,
чтобы естественный свет падал с левой стороны. В рассматриваемом помещении не
все рабочие места соответствуют этому требованию. Исправить положение
рекомендуется с помощью предусмотрения дополнительного искусственного освещения
(например, местного).
Конструкция рабочего места должна обеспечивать
характерную рабочую позу со следующими эргонометрическими характеристиками:
- стопы ног должны
располагаться на полу или на специальной подставке для ног;
- бедра должны
находиться в горизонтальном положении, предплечья вертикально;
- локти согнуты под
углом 70° - 90°, запястья - не более 20° по отношению к горизонтальной
плоскости;
- наклон головы
составляет 15° - 20°.
Создание комфортных рабочих мест
позволит избежать проблем с мышечной усталостью. Рабочий стол должен
регулироваться по высоте в пределах 600 - 800 мм. Если это невозможно, то
высота должна составлять 725 мм. Оптимальные размеры столешницы 1600×900
мм. Поверхность стола должна быть матовой с коэффициентом отражения 0,12 -
0,25. Рабочий стол должен иметь пространство для ног не менее 600 мм по высоте
и 500 мм по ширине, глубина на уровне коленей не менее 450 мм, на уровне стоп -
не менее 650 мм. Также стол должен быть оборудован подставкой для ног (ширина -
300 мм, длина - 400 мм), поверхность которой должна быть рифленой.
В анализируемом помещении обеспечены
комфортные рабочие места: габариты столов соответствуют нормам, стулья снабжены
подлокотниками.
Наиболее вредное воздействие на
зрение человека оказывают мониторы ЭВМ. Это обусловлено рядом факторов:
- наличие переменных
электромагнитных полей частотой 50 Гц;
- высокая
интенсивность труда;
- изображение на
экране не сплошное, а формируется из точек, что увеличивает нагрузку на глаза;
- изображение на
экране формируется не отраженным светом, а излучаемым;
- отраженный
солнечный свет создает на экране блики, которые чрезвычайно затрудняют чтение
информации с экрана.
Рекомендуется наличие на экранах
мониторов антистатического покрытия, которое препятствует возникновению на
поверхности экрана электростатического заряда, притягивающего пыль и не
благоприятно влияющего на здоровье пользователя.
В рассматриваемом помещении
используются:
- клавиатуры: SVEN
Internet 650;
- мониторы:
17" Samsung 750B; 19" LG Faltron.
Все изделия соответствуют
требованиям стандартов качества Европейского Сообщества, о чем имеют
соответствующие отметки в эксплуатационной документации. Все видеодисплейные
терминалы и другое оборудование, применяемое в данном помещении, имеет
гигиенический сертификат, соответствует требованиям действующих стандартов
(ГсанПиН 3.3.2.007 - 98).
Условия труда операторов ЭВМ
характеризуются возможностью воздействия на них комплекса производственных
факторов. При проектировании рабочих мест с применением ЭВМ необходимо строго
придерживаться принятых норм.
Здания и помещения, в которых проводится
эксплуатация ЭМВ, должны соответствовать:
- СНиП ІІ.09.02 - 85;
- СНиП ІІ.09.04 - 87;
- Правила устройства
электроустановок, утвержденные в 1984 г.;
- Правила безопасной
эксплуатации электроустановок потребителей;
- СНиП ІІ.01.02 - 85;
- СНиП ІІ.05.02 - 89,
дополненные приказом Украины от 29 декабря 1994г.;
- СН 912 - 78;
- ГсанПиН 3.3.2.007 -
98.
Поддержание нормальных параметров
микроклимата способствует созданию здоровых и безопасных условий работы.
Воздействие микроклимата на организм человека проявляется прежде всего через
самочувствие человека. Несоответствие параметров микроклимата норм приводит к
различным заболеваниям, в том числе простудным.
В соответствии с ГОСТ 12.1.005-88,
показателями, характеризующими микроклимат, являются:
1) температура воздуха;
2) относительная влажность
воздуха;
) скорость движения воздуха;
) интенсивность теплового
облучения.
Помещения с ЭВМ должны оборудоваться
системами отопления, кондиционирования воздуха или приточно-вытяжной
вентиляцией согласно СниП ІІ.04.05 - 91. Параметры микроклимата должны
соответствовать ГОСТу 12.1.005-88. Температура воздуха в холодный и теплый
периоды соответственно должна быть равной 22°-24° и 23°-25°; скорость движения
воздуха в теплый и холодный периоды года - 0,1-0,2 м/с и 0,1 м/с
соответственно; относительная влажность - 40%-60%. Для поддержания температуры
воздуха в помещении используется система водяного отопления.
Основной задачей установок
кондиционирования воздуха (УКВ) является поддержание параметров воздушной среды
в допустимых пределах, обеспечение надежной работы ЭВМ и комфорта
обслуживающего персонала. Работа УКВ должна быть круглосуточной. В
рассматриваемом помещение УКВ отсутствует. Микроклимат рассматриваемого
помещения соответствует требуемым нормам.
Содержание ионов в воздухе помещений
дисплейных залов должно соответствовать требованиям СН 2152 - 80. Для
поддержания нормированных значений концентраций отрицательных и положительных
ионов следует предусмотреть установки искусственной ионизации, ежедневную
уборку и регулярное проветривание помещений в течение рабочей смены. Пыль с
экрана должна удаляется не реже 1 раза в смену. Если за дисплеем никто не
работает, он должен быть выключен. В анализируемом помещении уборка
производится регулярно - ежедневно; проветривается помещение регулярно;
мониторы компьютеров включены целый день; пыли с экранов удаляется несколько
раз в неделю. Поэтому рекомендуется обслуживающему персоналу обратить внимание
на эти недостатки и устранить их. Также рекомендуется, по возможности, установить
в указанном помещении приборы искусственной ионизации воздуха.
Повышенный уровень шума приводит к
усталости органов слуха и нервной системы, общей усталости, снижению
производительности, как следствие - к повышению риска травматизма.
Основным источником шума в
анализируемом помещении являются печатающие устройства (матричный и лазерный
принтеры) и в самих ЭВМ - вентиляторы систем охлаждения и трансформаторы. В
соответствии с ГОСТ 12.1.003-83, СН 3223 - 85 , ГР 2411 - 81 и ГсанПиН 3.3.2 -
007 - 98 уровень шума на рабочих местах операторов ЭВМ не должен превышать 50
дБ.
Уровень шума принтеров, которые
предполагается использовать на рабочем месте, не превышает 50 дБ. В целях
профилактики шума на рабочем месте можно установить печатающие устройства на
специальные амортизирующие подкладки - на легкие коврики. Поскольку в данном
помещении уровень шума не превышает нормы, то условия для снижения шума можно
не применять.
Освещенность рабочего места большое
влияние на качество выполнения и продолжительность работы. Так увеличение
освещенности рабочего места до 300-500 лк приводит к повышению
производительности труда в 1,5 раза. В тоже время слишком сильное освещение
также вредно влияет на органы зрения, так как, например, оно может
"забивать" изображение дисплея. Также необходимо обеспечить следующие
коэффициенты отражения:
· потолок - 60-70%;
· пол - 30%;
· стены - 40-60%;
· мебель - 30-40%.
В анализируемом помещении окна
ориентированы на северо-запад. Козырек над окнами отсутствует. Здания,
предметы, заслоняющие солнечный свет отсутствуют на расстоянии до 500 м.
Искусственное освещение в рассматриваемом помещении оборудовано системой общего
равномерного освещения, которое выполнено в виде прерывистых линий светильников
класса преимущественно прямого света, укомплектованные рассеивателями. В
качестве источника света общего освещения применяются лампы дневного света
мощностью 40 Вт. Освещенность на рабочих местах соответствует требованию СниП
II - 479 (300 лк).
Для обеспечения нормированной
освещенности светильники и окна необходимо мыть не менее 2 раз в год и вовремя
менять лампы.
Электробезопасность при работе с
компьютером обеспечивается соответствующей конструкцией компьютерного
оборудования, применением технических способов и средств защиты,
организационными и техническими мероприятиями. Конструкция ЭВМ должна
соответствовать условиям их эксплуатации и обеспечивать защиту персонала от
соприкосновения с токоведущими частями, а оборудование от попадания внутрь
посторонних твердых тел и воды.
Основное питание используемого
оборудования осуществляется от 3-х фазной сети, частотой 50Гц, напряжением
220В. Такое напряжение опасно для жизни человека, поэтому необходимо принимать
меры, направленные на предотвращение поражением электрическим током. Так, в
рассматриваемом помещении все оборудование соответствует ГОСТ 12.2.007 - 75
ССБТ и ГОСТ 25.851 - 85. Согласно им оборудование должно иметь І класс защиты
или должно быть заземлено в соответствии ГНАТО 0.00.-1.21.98. Линия электросети
для питания ЭВМ выполнена как отдельная 3-х проводная сеть, путем прокладывания
фазного, нулевого рабочего и нулевого защитного проводов. Защитное заземление
(зануление) осуществляется при подключении ЭВМ к сети при помощи трехпроводного
электрического шнура со специальным заземляющим контактом. Нулевой защитный
провод проложен от стойки группового распределительного щита к розеткам
питания. Площади сечений нулевого защитного, нулевого рабочего и фазного
проводов равны.
Используемые в кабинете ЭВМ
подключены с помощью исправных штепсельных соединений и розеток заводского
производства и имеют специальные соединения для подключения нулевого защитного
проводника. Электросеть штепсельных соединений и электророзеток выполнена по
магистральной схеме - по 3-6 штук в одной цепи. Все штепсельные соединения и электророзетки
смонтированы на трудносгораемых пластинах. Электросеть проложена по полу
помещения, рядом со стенами, в металлических трубах. Все подлежащее заземлению
оборудование подключено к контур-мине отдельными соединениями. Контрмина
расположена под объектом, и имеет ячейки 1,2м х 1,2м.
Помещение, где оборудуется рабочее
место, относится к помещениям без повышенной опасности поражения электрическим
током по ГОСТ 12.1.019-79. По степеням защиты от поражения электрическим током
ЭВМ соответствует классу защиты 1 по ГОСТ 12.2.007-75.
Организационными мероприятиями по
обеспечению электробезопасности заключается в соответствующем обучении,
инструктаже и допуске к работе лиц прошедших медицинское освидетельствование,
выполнением ряда технических мер, соблюдением особых требований при работе.
Так, согласно ГНАТО 0.00.-1.21.98 запрещается:
- эксплуатация
кабелей и проводов с поврежденными защитными свойствами;
- оставлять под
напряжением кабели и провода с неизолированными проводниками;
- использовать
удлинители, которые не соответствуют ПУЭ.
- применять для
отопления нестандартные обогревательные приборы, а также лампы накаливания;
- использовать
поврежденные розетки;
- подвешивать
светильника непосредственно на токоведущих проводах;
- использовать для
абажуров ткань или бумагу.
По взрыво- и пожароопасности
рассматриваемое помещение имеет категорию В, т.е. здесь присутствуют горючие и
трудногорючие вещества и материалы, вещества и материалы, способные при
взаимодействии с кислородом воздуха или друг с другом только гореть.
В зависимости от пределов
огнестойкости, согласно СНИП 2.01.02-85 установлено 8 степеней огнестойкости
здания. Рассматриваемое здание имеет II тип огнестойкости. Для предотвращения
распространения огня в здании предусмотрены противопожарные преграды в виде
стен(2,5ч), перекрытия(2,5ч), двери и окна(1,2ч). Плиты пола - трудносгораемые,
с пределом огнестойкости большим 0,5ч, которые во время горения не выделяют
токсичных веществ.
Основной причиной возникновения
пожаров являются нарушения, связанные с технологическим режимом.
Для того чтобы обеспечить тушение
пожара в начальной стадии его возникновения, в здании присутствуют пожарные
водопроводы высокого давления. Ближайший пожарный гидрант находится от отдела
на расстоянии 2м. Он расположен на высоте 1,5м от пола и имеет рукав длиной
20м. Кроме того, для тушения пожара в помещении присутствует углекислотный
огнетушитель марки ОУ-2.
Система пожарной сигнализации
отсутствует. В целях своевременного предупреждения пожаров необходимо
установить ее, т. к. это позволит оповестить дежурный персонал о пожаре и месте
его возникновения.
При проектировании здания на случай
возникновения пожара были предусмотрены следующие пути безопасной эвакуации
людей:
из помещений первого этажа наружу
непосредственно или через коридор, вестибюль;
из помещений других этажей, кроме
первого, в коридор или проход, ведущий к лестничной клетке или непосредственно
в лестничную клетку, имеющую самостоятельный выход наружу или через вестибюль.
Необходимые мероприятия по
соблюдению противопожарных правил и норм при устройстве ЭВМ, освещенности,
отопления, правильного размещения ЭВМ. В помещении были проведены при его
проектировании. В помещении запрещается курение. Регулярно проводятся
эксплуатационные мероприятия, которые включают своевременные профилактические
осмотры, ремонты ЭВМ.
Международной организацией труда
было выработано решение об ограничении продолжительности работы с ЭВМ - не
более 50% рабочего времени при ежедневном их использовании. В случае
невозможности такого ограничения рекомендуется устраивать через каждый час
интенсивной работы 15 мин перерыв, а при менее интенсивной работе - через
каждые два часа.
Компьютер является электрическим
устройством с напряжением питания 220/380. В
трехфазной четырехпроводной сети с заземленной нейтралью.
В мониторе используется напряжение в
несколько десятков киловольт. Во избежание поражения электрическим током,
возникновения пожара и повреждения компьютера следует соблюдать следующие меры
безопасности:
· запрещается
включать компьютер и периферию со снятой крышкой
· запрещается
эксплуатация компьютера с неисправным шнуром питания
· запрещается
подключать к компьютеру периферийные устройства при включенном питании
· запрещается
эксплуатация компьютера в помещении с высокой влажностью или сильно
загрязненным воздухом
· при эксплуатации
требуется принять меры, исключающие удары и падения комп’ютера
· не оставлять без
присмотра работающий комп’ютер
· не допускается
попадание внутрь компьютера и периферии посторонних предметов, жидкостей и
сыпучих веществ
· не допускаются
перегибы, передавливания и натяжения питающих кабелів
· не допускается
устанавливать компьютер вблизи источников тепла
· не допускается
закрывание вентиляционных отверстий компьютера и периферии
В данном дипломном проекте производится
разработка вычеслительной сети, в состав которой входят ПЭВМ, соединение между
которыми реализуется при помощи кабелей.
В основном, работы по монтажу сети
заключаются в сборке закупленных компонентов сети и их подключении к
электросети.
Для обеспечения электробезопасности
при монтаже, наладке и работе с сетью необходимо обратить особое внимание на
создание защитных мер от попадания пользователей и обслуживающего персонала под
напряжение, для предотвращения электротравматизма при работе с сетью.
На рабочем месте необходимо наличие
зануления. Все электронные устройства необходимо занулить.
Электропитание рабочего места должно
быть подключено через рубильник, установленный в месте, удобном для быстрого
отключения питания рабочего места, а также должны быть предприняты меры для
обесточивания рабочего места в аварийных режимах (Обычно ставится
автоматический выключатель с защитой от короткого замыкания).
Расчет Зануления.
Все работы связанные с наладкой и
эксплуатацией сети ведутся в помещении, относящемуся к категории “ без
повышенной опасности ” поражения электрическим током.
В сети с глухозаземленной нейтралью
при однофазном замыкании на корпус необходимо обеспечить автоматическое
отключение поврежденного электрооборудования. При кратковременном, аварийном
режиме создается безопасность обслуживания и сохранность оборудования.
Однако, кратковременность может быть
обеспечена только созданием определенной кратности тока короткого замыкания на
корпус по отношению к номинальному току защитного аппарата.
Этого можно добиться только
прокладкой специального провода достаточной проводимости- нулевого провода, к
которому присоединяются корпуса электрооборудования.
В помещении, где производится монтаж
сети, питание электроустановок осуществляется от подстанции с трансформатором
P=600 кВт, удаленной от рабочего места на 300 м.
Питание к распределительному щитку
проводится алюминиевым проводом сечением 25 мм, а роль нулевого провода
выполняет стальная полоса сечением 50 мм.
При использовании зануления должны
быть выполнены следующие условия:
Где коэффициент
кратности номинального тока
плавкой вставки предохранителя
.
Номинальный ток
в помещении
. Значение
зависит от
фазного напряжения сети и сопротивления цепи, в том числе от полного
сопротивления трансформатора
, фазного проводника
, внешнего
индуктивного сопротивления петли “фаза-ноль”
, активного сопротивления заземлений
нейтрали обмоток трансформатора
и повторного заземления нулевого
защитного проводника
.
Так как Rо и Rп велики, по
сравнению с другими сопротивлениями, то ими можно пренебречь.
где
-
комплексное, полное сопротивление петли “фаза-ноль”.
Удельное сопротивление
фазного провода:
.
Отсюда
сопротивление фазного провода:
.
Удельное сопротивление
нулевого провода:
.
Отсюда
сопротивление нулевого провода:
.
Значения
и
малы и ими
можно пренебречь,
где
-
расстояние между проводниками
-
геометрический діаметр
Сопротивление электрической
дуги берем равной:
В соответствии с мощностью
трансформатора
Полное сопротивление петли
“фаза-ноль”:
При использовании зануления
по требованиям ПУЭ:
.
Выводы
1. В
результате решения уравнений гидродинамики получены выражения для распределения
давления по радиусу торцовой щели и проводимости торцового дросселя с учетом
деформаций разгрузочного диска.
. Получена картина деформаций
разгрузочного диска с применением программы ANSYS.
3. Исследовано влияние
деформаций разгрузочного диска на статические и расходные характеристики
гидропяты, при этом установлено, что деформация способствует дополнительному
смещению ротора в сторону действия осевой силы
, что приводит к уменьшению
проводимости торцовой щели и уменьшению протечек;
. Определено критическое
значение для торцового зазора, при котором гидропята теряет статическую
устойчивость.
. В результате динамического
расчета построены амплитудно-частотные характеристики системы «ротор -
разгрузочное устройство», решена задача о совместных колебаниях вала и
разгрузочного диска центробежного насоса.
Литература
1.Марцинковский
В.А. Щелевые уплотнения: теория и практика. - Сумы: Изд-во СумГУ, 2005. - 416
с.
.Чегурко
Л.Е. Разгрузочные устройства питательных насосов тепловых электростанций. - М.:
Энергия, 1978, - 160 с.
3.Andrzej
Korczak. Badania ukladów rownowążących napor osiowy w
wielostopniowych pompach odśrodkowych. Wyd. Politechniki Śląskiej,
Gliwice, 2005-161 s.
.Jedral
W. The influence of balancing disk deformation on pressure distribution in an
axial clearance // Труды 11-й Междунар. Науч.-техн. Конф. «ГЕРВИКОН-2005». - В
3 т. - Т.2. - Сумы: Изд-во СумГУ,2005. - с. 165-173.
.Hsu
Y.C., Burton R.A. A study of the interactions of turbulent shear flow and
displacement flow between parallel walls. - ASLE Transactions, 1968. - 11. -
№3. - P. 191-195.
.Марцинковский
В.А. Бесконтактные уплотнения роторных машин. - М.: Машиностроение, 1980. -
200с.
.Мисарек
Д.М. Турбокомпрессоры. - М.: Машиностроение, 1968. - 236с.
.Демидович
Б.П., Марон И.А., Шувалова Э.З. Численные методы анализа: приближение функций,
дифференциальные и интегральные уравнения. - М.: Наука,1967. - 372с.
.Филоненко-Бородич
М.М. Теория упргости. - М.: ОГИЗ, 1947. - 300 с.
.Каплун
А.Б., Морозов Е.М., Олферьева М.А. ANSYS в руках инженера изд. 2-е, исправл. -
М.: Эдиторпал УРСС, 2004. - 272с.
.Лойцянский
Л.Г. Механика жидкости и газа. - М.: ОГИЗ, 1950. - 680 с.
.Павленко
І.В., Корчак А., Карінцев І.Б. Аналіз статичних характеристик гідравлічної
п’яти з урахуванням податливості конструктивних елементів. - Сумы: Вісник
СНАУ-9(15), 2006. - с. 204.
.Марцинковский
В.А., Ворона П.Н. Насосы атомных электростанций. - М.: Энергоатомиздат,
1987.-256 с.
.Загорулько
А.В. Чисельні методи в механіці: Навчальний посібник. - Суми: Видавництво
СумДУ, 2008. - 186 с.
.Решетов
Д.Н., Иванов А.С., Фадеев В.З. Надёжность машин. - М.: Высшая школа, 1988. - 240
с.
.Виршинг
П., О свойствах статистических моделей, используемых при проектировании. -
Хьюстон: ASME, 1975. - с. 232-238.
.Кислий
О., Дубчак Б., Римарук Т., Знаходження змінних параметрів за наперед заданим
законом коливального руху. - Львів: МСУІМЛ-8, 2007. - с. 78-92.
.Лиз
С. Неопределённость и неточность. - Хьюстон: ASME, 1975. - с. 78-92.
.Зинкевич
О., Морган К. Конечные элементы и аппроксимация. - М.: Мир, 1986. - 318 с.
.Чегурко
Л.Е. Центробежные энергетические насосы, их неисправности и методы устранения.
- Челябинск. - 2002. - 103 с.