Товарные свойства шкурок нутрий
Введение
Главная составляющая бизнеса в международной
меховой торговле - это продукция звероводческих хозяйств. Их на сегодня в мире
насчитывается более 7 тыс., в том числе около 5 тыс. только в странах Европы.
Отрасль клеточного пушного звероводства берет
свое начало с 1927 года, с этого времени она относительно бурно развивалась,
осваивая новые и новые регионы: Калининградская, Ленинградская, Московская
обл., Дальний Восток, Карелия, Татарстан. Уже в 1960-е гг. прошлого века она
вышла в лидеры мирового пушно-мехового бизнеса.
В бывшем СССР в звероводство были вовлечены
около 600 сельскохозяйственных предприятий. Страна занимала тогда лидирующее
положение в мире по производству пушнины - до 16 млн. шкурок в год (при мировом
производстве 35-40 млн.). В отдельные годы объем ее продаж доходил до 150 млн.
дол. Это обеспечивало потребности легкой промышленности и экспортных поставок.
Сегодня мировое производство составляет более 60 млн. шкурок в год, а в России
- менее 3 млн. шт., функционирует приблизительно 30 предприятий, или 5%, от
ранее действовавших, и несколько мелких ферм в Якутии и Таймыре.
Основной причиной резкого снижения производства
пушнины является неподготовленность хозяйств к работе в новых экономических
условиях, неправильная кредитно-финансовая политика. С переходом России к
рыночным отношениям в тяжелом положении оказался АПК в целом и звероводство в
частности. В ходе рыночной трансформации аграрной экономики были уничтожены
связи между производителями и переработчиками продукции звероводства, а также и
ценами на ресурсы промышленного происхождения, потребляемые в звероводстве.
В результате «ножниц цен» произошло падение
платежеспособности большинства отечественных хозяйств, что привело к нарушениям
технологии выращивания зверопоголовья, ее упрощению, сокращению применения
витаминов, вакцин, набора и качества самих кормов, что резко сказалось на
продуктивности звероводства. Уменьшился размер шкурок и их качество.
Значительно утрачен генофонд, особенно редких мутантных типов, которые сегодня
востребованы покупателями. Отрасль сегодня нуждается в квалифицированных
кадрах.
Значительное сокращение объемов производства,
морально устаревшая производственно-техническая база и приводит к недополучению
нашей страной огромных финансовых ресурсов.
За последние 10 лет, которые не были
процветающими для экономики России, поголовье нутрии в стране также сильно
сократилось, хотя интерес к ним не пропал. В отличие от плотоядных пушных
зверей при выращивании нутрий требуются в основном растительные корма. И с этой
точки зрения их содержанию население отдает предпочтение. Владельцы ферм
получают от указанных животных шкурки различных цветов, из которых шьют
относительно недорогие меховые изделия, доступные по цене многим жителям нашей
страны. Причем развитие нутриеводства имеет и социальное значение, повышая
занятость населения в поселках, небольших городах, а также способствуя его
самообеспечению не только меховой одеждой, но и пищевым диетическим мясом.
Ценность шкурки нутрии обусловлена совокупностью
ее товарных качеств: размером, цветом, прочностью волоса и его густотой,
высотой меха, степенью дефектов, носкостью и т.д. Указанные свойства шкурок
зависят от возраста нутрий и сроков их забоя, а также от наследственных
особенностей и здоровья зверьков, условий содержания и качества корма.
Соответственно целью курсовой работы стало составление характеристики товарных
свойств невыделанных шкурок нутрии, а также определение их зависимости от
цветового типа.
1. Биологические
особенности нутрий
Нутрия - крупное млекопитающее, ведущее
полуводный образ жизни, относится к отряду грызунов, единственный вид семейства
нутриевых, составляет древнюю и обособленную группу животных, получивших
латинское название Myocastor coypus M. еще в XVIII веке.
Родиной нутрий является Южная Америка. Сначала
местные жители добывали нутрий в значительных количествах из-за их вкусного
мяса. Лишь спустя много лет был проявлен интерес и к меху. Усиленный промысел
нанес сильный урон численности этих зверьков, и уже с 30-х годов ХХ века их
клеточным разведением занялись во многих странах. В Россию нутрии были завезены
в 1930 году для разведения в южных районах страны, в частности в Краснодарский
край, где был организован совхоз «Северинский». В настоящее время нутрия стала
обычным животным в приусадебных и фермерских хозяйствах, хотя по степени
распространения и популярности она еще значительно уступает кроликам. Этих
зверьков разводят в самых различных климатических зонах - от полупустынных
регионов до холодных просторов Сибири.
Нутрия ведёт полуводный образ жизни. Излюбленные
места обитания - водоёмы со слабопроточной или стоячей водой: заболоченные
берега рек, тростниково-рогозовые озёра и болота с богатой водной и прибрежной
растительностью.
Взрослые звери весят 5-7 кг, а хорошо упитанные
животные достигают 10 кг и более. Длина тела взрослого зверька до 60 см, хвоста
- до 45 см. Самцы несколько крупнее самок. [1]
Телосложение у нутрии тяжелое; голова массивная,
с непропорционально маленькими глазами и ушами. Глаза находятся на уровне лба,
обеспечивая животному в воде хороший обзор. Конечности относительно короткие.
Морда тупая, с длинными вибриссами. Резцы ярко-оранжевого цвета, растут в
течение всей жизни нутрии по мере их стачивания.
В природных условиях нутрия активна в основном
ночью. Питается зверек корневищами, стеблями и листьями тростника и рогоза.
Дополнительный корм составляют камыш, водяной орех, кувшинки, рдесты. Животные
корма (пиявок, моллюсков) поедает редко, при недостатке растительных.
Нутрия отлично плавает и ныряет. Под водой может
находиться до 10 минут. В жаркие дни она менее подвижна и обычно скрывается в
тени. К обитанию в замерзающих водоемах не приспособлена - не строит надежного
убежища от холода и хищников, не запасает на зиму кормов, как это делают бобр,
ондатра и другие грызуны. Нутрия способна переносить морозы до -35° C, но к
жизни в холодном климате в целом не приспособлена.
У нутрии хорошо развит слух - она
настораживается даже при небольшом шорохе. Несмотря на кажущуюся
неповоротливость, она довольно быстро бегает, делая при этом скачки, но быстро
устает. Зрение и обоняние развиты хуже. [1,5]
Строение тела имеет ряд анатомических
особенностей, связанных с полуводным образом жизни. Например, носовые отверстия
у нутрии снабжены запирательными мышцами и могут плотно закрываться. Губы
разделены впереди и плотно смыкаются позади резцов, что позволяет нутрии
отгрызать растения под водой, не пропуская при этом воду в ротовую полость.
Между пальцами задних конечностей (кроме наружного) имеются перепонки. Хвост в
сечении округлый, почти лишен волос и покрыт мелкими темно-серыми чешуйками и
редкими грубыми и длинными волосами; при плавании он служит рулём. Молочные
железы и соски (4-5 пар) расположены у самок высоко на боках, что позволяет
детёнышам кормиться, находясь в воде.
Нутрия способна размножаться круглый год и
достаточно плодовита. Если самцы постоянно активны и могут покрывать самку в
любое время года, то у самок активность проявляется периодически через 25-30
дней. Длительность эструса от 2 до 4 дней. От одной нутрии можно получить 2-3
помёта в год, обычно весной и летом. Беременность длится 127-137 дней; в помёте
4-5 щенков, иногда больше. Новорожденные щенки зрячие, покрыты шерстью, с
прорезавшимися резцами, могут бегать, плавать, очень подвижны. Весят в среднем
175-250 г. Потомством занимается только самка. Молочное вскармливание
продолжается до 8 недель; в возрасте 3-7 месяцев наступает половая зрелость.
Продолжительность жизни нутрий 6-7 лет, но срок хозяйственного использования не
превышает 4-х лет, поскольку производительность нутрий с возрастом быстро
снижается. [1, 5, 12]
.1 Сезонные и возрастные изменения
волосяного покрова нутрий
Чтобы получать сырье высокого качества,
нутриеводам необходимо знать основные особенности строения шкурок нутрии,
возрастные и сезонные изменения в процессе их роста.
Изменение волосяного покрова у нутрий
обусловливается несколькими факторами. Прежде всего, возрастная изменчивость. В
меховой промышленности используют шкурки нутрий любой возрастной группы, кроме
зверьков с первичным пуховым волосом.
Изменения волосяного покрова в зависимости от
возраста животного можно рассматривать по трем периодам.
Первый - эмбриональный, когда процессы развития
кожного и первичного волосяного покровов происходят в условиях утробной жизни
организма, примерно начиная с 2-месячного возраста. Закладка волос происходит
последовательно: вначале на голове, затем на хребте, череве. Рост первичного
волоса продолжается и после рождения щенков и завершается к 35 - 40-дневному
возрасту, т. е. примерно к периоду окончания молочного питания молодняка.
Второй - когда происходит формирование
вторичного волосяного покрова. У малышей закладка вторичных волос происходит
уже в 1-2-дневном возрасте. Рост вторичных волос продолжается до 3-5-месячного
возраста. По мере роста щенка и увеличения площади тела происходит постепенное
выпадение первичного волоса, а рост вторичного волоса усиливается, начиная с
1,5-2-месячного возраста. К этому времени на шкурке количество первичных волос
составляет 45 %, а к 3-месячному возрасту - 25 %. Следует отметить, что в
зимнее время формирование вторичного волосяного покрова затягивается на 15-25
дней, из-за чего процесс смены волос идет менее заметно, чем летом. В
дальнейшем, примерно до 5-месячного возраста, подрастают новые волосы, которые
компенсируют изрежение меха, происходящее в связи с интенсивным ростом
молодняка и сопутствующим увеличением поверхности тела. Процесс выпадения
первичного волоса (ювенальная линька) заканчивается к 110-120 дням.
Третий период характеризуется сменой вторичного
волосяного покрова на третичный, т. е. на волосяной покров взрослого животного,
более густой и длинный. Этот период длится со 150-165-дневного возраста до
210-дневного, в дальнейшем рост новых волос идет замедленными темпами.
Наступлению очередной линьки у молодых особей предшествует обильное слущивание
эпидермиса и утолщение дермы, где идет закладка луковиц новых волос. В процессе
смены вторичного волосяного покрова на третичный количество волос на 1 см2 кожи
возрастает на 20-25 %. [5]
Таблица 1 - Изменение с возрастом длины и
толщины различных категорий волос у стандартных нутрий
|
Волосяной
покров
|
Хребет
|
Черево
|
|
|
Длина,
мм
|
Толщина,
мкм
|
Длина,
мм
|
Толщина,
мкм
|
|
|
1
|
2
|
3
|
4
|
5
|
|
Направляющие
волосы
|
|
|
Первичный
|
30,5
|
107,5
|
18,6
|
86,8
|
|
|
Вторичный
|
43,2
|
142,4
|
25,9
|
110,3
|
|
|
Третичный
|
63,5
|
167,8
|
36,1
|
149,1
|
|
|
Остевые
волосы
|
|
|
Первичный
|
23,6
|
92,9
|
15,3
|
69,6
|
|
|
Вторичный
|
28,2
|
120,1
|
20,5
|
81,2
|
|
|
Третичный
|
39,6
|
160,1
|
26,4
|
101,2
|
|
|
Пуховые
волосы
|
|
|
Первичный
|
1,3
|
11,9
|
9,3
|
11,3
|
|
|
Вторичный
|
15,6
|
12,6
|
11,8
|
11,6
|
|
|
Третичный
|
19,0
|
13,4
|
14,1
|
12,1
|
|
|
|
|
|
|
|
|
|
|
|
Строение и качество меха нутрий в периоды от
рождения до зрелости претерпевают изменения: возрастает толщина волос -
направляющих на 60 %, пуховых на 37 %; увеличивается их длина соответственно на
23 и 54 %; корковый слой относительно сердцевинного увеличивается на 6 %;
увеличивается в 3-4 раза количество волос на единице площади шкурки, особенно
пуховых (в возрасте 7 мес. на 1 см2 черева кроющих волос - 365 единиц, пуховых
- 11 178; в 1,5 мес. - соответственно 258 и 2894 единиц).
Изменчивость волосяного покрова зависит также и
от сезона года - это смена волосяного покрова (линька) в зависимости от
климатических циклов года. Линька у нутрий диффузная (перманентная), протекает
незаметно, в течение всего года часть волос выпадает, а на смену им вырастают
новые. При акклиматизации нутрии в северных районах появилась сезонность в
качестве волосяного покрова: с ноября по март уменьшается количество выпадающих
волос, так как зимой под влиянием минусовой температуры у нутрий замедляется
процесс линьки. [5, 15]
С наступлением весны зимний волосяной покров
тускнеет, кроющие волосы ломаются, появляется свалянность пуха в пахах, на
бедрах, наблюдается ослабление прочности связи волос с кожей. Летний мех нутрий
отличается от зимнего. Пуховые волосы летнего меха короче на 15-35 %, тоньше на
4,8-16,3 % и менее прочны на разрыв - на 10% в сравнении с зимним опушением.
Летний мех нутрий также менее густой. Так, количество пуховых волос на 1 см2
площади шкурки составляет на череве 12 тыс. в летнее время и 13 тыс. волосков в
зимнее; соответственно на хребте 4,9 и 6,3 тыс. Отмеченные особенности строения
летнего волосяного покрова - редковолосость, меньшая длина и прочность пуха -
делают летние шкурки менее ценными.
Сезонная линька начинается в 5 - 6-месячном
возрасте, когда вторичный волосяной покров заменяется «взрослым» мехом. У
животных, родившихся в мае, смена вторичного меха происходит в осеннее-зимний
период - с середины сентября до середины ноября; у родившихся в конце ноября -
весной, с апреля по июнь. К концу второго месяца после наступления линьки, то
есть к 7-8-месячному возрасту животных, общее количество волос снижается на 25%
против первоначального показателя. Вторичные волосы к этому времени выпадают
полностью.
Наступает физическая зрелость нутрий, но чтобы
получить шкурку 1 сорта (при меньших затратах на выращивание), зверьков можно
забивать в 6-7-месячном возрасте, когда масса животных стабилизируется,
приостанавливается их физический рост, размер шкурок не увеличивается, т.е. не
окупаются затраты на корма. Кроме того, при забое в 6-7-месячном возрасте в
группе выращиваемого молодняка почти нет драк, и, следовательно, мало закусов
на кожевой ткани. Забой нутрий в летний период нецелесообразен, потому что
шкурки 1 сорта в этот период составляют только 5%, второсортные - 56%, третьего
сорта - 29%, нестандартные - 10%. При забое нутрий с ноября по февраль шкурки 1
сорта составляют 55%, второго - 41%, третьего - 5%. Период возрастной смены
волосяного покрова молодняка нутрий растянут, но к 6-7-месячному возрасту
количество волос, закончивших рост, составляет в среднем 80-90%. [5]
1.2 Цветовые формы нутрий
В Европу нутрии были завезены в 1926 году из
Аргентины, где появились первые фермы по разведению этих животных, но лидерство
по разведению нутрий в искусственных условиях захватили Франция и Германия, а
затем Италия и другие страны. Именно в Европе в основном были созданы стада
цветных нутрий.
В нашей стране согласно ГОСТу нутрий делят на
шесть цветовых групп: черные, коричневые (стандартные, серебристые и бурые
окраски), пастелевые, белые, перламутровые (все шкурки, полученные от бежевых,
белых итальянских и перламутровых нутрий) и золотистые (лимонные, золотистые).
Стандартные нутрии (дикий тип) - самый
распространенный тип окраски этих животных, напоминающий дикую форму и имеющий
вариации от серовато- до темно-коричневой, а иногда до черно-коричневой.
Наиболее характерна темно-коричневая окраска меха, которая обуславливается в
основном окрасом кроющих волос. Они блестящие и зонально окрашены. Поэтому
интенсивность пигментации темноокрашенных и осветленных участков кроющих волос
обусловливает наличие различных оттенков общего окраса стандартных нутрий. На
череве кроющие волосы окрашены светлее, чем на хребте. Пуховые волосы у зверей
коричневого цвета различной интенсивности и оттенков. Пуховой волос
характеризуется слабой извитостью, что может способствовать появлению
сваливания меха.
Черные нутрии - были выведены в Аргентине и в
1966 году завезены в нашу страну. У чистопородных черных нутрий ровная черная
окраска ости и темно-серая подпушь. Зонально окрашенные волосы встречаются в
виде небольших пучков за ушами. При скрещивании черных нутрий со стандартными
получаются щенки с однородным окрасом: чисто-черным или темно-коричневым - у
них нет зонально окрашенных волос на спине и боках. Однако с возрастом окраска
у потомства, как правило, меняется и приобретает зональный характер, ярко
выраженный в области головы и на боках. Таких нутрий называют черными
зональными.
Бежевые нутрии - завезены из Италии в 1958 году
вместе с перламутровыми и розовыми нутриями. Отличаются коричневым мехом с
дымчатым оттенком. Окраска зверей варьируется от светло-бежевой до
темно-бежевой с дымчато-серебристой вуалью, которую создает белый окрас
кончиков кроющих волос. Подпушь от светло-бежевого до коричневого цвета. Шкурки
пользуются постоянным спросом у населения.
Белые азербайджанские нутрии выведены в 1956
году. Характеризуются чисто белым цветом пуховых и кроющих волос. У некоторых
животных до 10% волосяного покрова может быть пигментировано - вокруг глаз,
ушей и у корня хвоста. Цвет пятен может быть любой: черный, стандартный,
пастелевый, золотистый, бежевый и т.п. Шкурки таких нутрий с пигментацией на
спине могут пользоваться повышенным спросом.
Белые итальянские нутрии завезены из Италии в 1958
году. У этих животных остевой волос и пух белого цвета, но, в отличие от белых
азербайджанских нутрий, с кремовым оттенком.
Перламутровые нутрии получены при скрещивании
бежевых и белых итальянских зверей. По окраске эти нутрии похожи на бежевую, но
более светлого тона. Для них типична серебристо-серая окраска меха с кремовым
оттенком. Ость зонально окрашена, подпушь голубовато-кремовая.
Серебристые нутрии являются помесями,
полученными от скрещивания самок стандартного типа с бежевыми и белыми итальянскими
самцами. Мех характеризуется общим темно-серым окрасом, более чистым, чем у
стандартных нутрий. Из шкурок серебристой нутрии получаются красивые шубы.
Золотистые нутрии завезены в 1960 году. Эти
звери характеризуются яркой желтой (золотистой) окраской, подпушь
светло-золотистая. На хребте окраска меха яркая, на череве - несколько светлее.
Пастелевые нутрии получены от скрещивания
чисто-черных нутрий с белыми итальянскими, перламутровыми и бежевыми. Общая
окраска шкурок коричневая, с колебаниями от светло-бежевой до шоколадной. Цвет
пуха и кроющих волос одинаков. Шкурки пользуются постоянным спросом, поэтому
пастелевые нутрии широко распространены в хозяйствах.
Лимонные нутрии окрашены в более светлый желтый
цвет, чем золотистые. Они получены при скрещивании золотистых зверей с белыми
итальянскими, перламутровыми и бежевыми нутриями.
В нашей стране путем селекции был создан майский
тип стандартных нутрий, приспособленных к содержанию в закрытых помещениях
(1988 г.), и крестовский тип пастелевых зверей, имеющих темно-шоколадную
окраску (2000 г.). [5, 11]
Можно предположить, что в стране, особенно в
южных регионах, нутрий разных редких типов разводят в личных хозяйствах. Однако
о существовании таких ферм и породном составе стад в них ни региональные организации,
ни Центр информационного обеспечения сведений не имеют.
.3 Товарные свойства шкурок нутрий
Из различных физико-механических свойств шкурок
пушного сырья наибольшее значение при определении их потребительной стоимости
имеют следующие:
Свойства волосяного покрова: высота, густота,
длина отдельных категорий волос, толщина отдельных категорий волос, мягкость
волосяного покрова, упругость, свойлачиваемость, прочность волос на разрыв,
блеск.
Свойства кожного покрова: толщина, прочность на
разрыв.
Свойства шкурки в целом: масса пушной шкурки,
площадь, теплозащитные свойства и носкость.
Свойства волосяного покрова
Высота волосяного покрова - кратчайшее
расстояние от кожного покрова до кончиков кроющих волос с учетом угла залегания
волоса в кожном покрове. Волосяной покров нутрий невысокий, прилегающий.
Показателем густоты волосяного покрова для
пушнины принято считать количество волос (шт.) на 1 см2. У животных, ведущих
полуводный образ жизни, как правило, волосяной покров на череве бывает более
густым, чем на хребте. Прямым подсчетом количества всех типов волос на единице
площади установлено, что на спинном участке насчитывается порядка 5,9 тыс., на
черевном - 14,0 тыс. волос, на боках - 12,5 тыс. волос.
Волосяной покров нутрий состоит из волос трех
типов: направляющих, остевых и пуховых. Волосы указанных типов различаются по
форме, длине и тонине, морфогистологическому строению. [10, 13]
Направляющие волосы - самые длинные из волос,
покрывающих тело нутрии. Их форма - ланцетовидная; длина на хребте - 41-70 мм,
тонина - 189-258 мкм. На поперечном срезе различают три слоя: кутикулярный,
корковый и сердцевинный. Остевые волосы также имеют ланцетовидную форму, но
уплощенную. У них хорошо выражена грана, утоненные шейка и основание волоса.
Располагаясь в несколько ярусов, остевые волосы хорошо защищают подпушь от
воздействия внешних факторов. Длина ости 20 - 37 мм, тонина - 39 - 211 мкм. На
поперечном срезе волос различают также три слоя. Пуховые волосы наиболее
короткие и тонкие. Составляют в общем количестве волос на шкурке 92-97%. Грана
у пуховых волос не выражена, стержень - извитой. Длина на хребтовой части
шкурки 15-26 мм, тонина - 12-15 мкм. Волосы в кожевой ткани нутрий
располагаются группами, по 20-150 штук. Поскольку процесс роста волос, особенно
у молодняка, идет непрерывно, в группах могут быть растущие волосы (с
присутствием сердцевинного слоя в прикорневой части) и закончившие рост (без
сердцевины в прикорневой части). Длина волос на различных топографических
участках шкурок нутрий неодинакова. Наиболее длинный волос располагается на
хребте, более низкий - на череве. По длине кроющих и пуховых волос площадь
шкурки можно подразделить на четыре зоны.
Таблица 2 - Длина волос на шкурках нутрии
|
Зоны
|
Длина,
мм
|
|
остевых
|
пуховых
|
|
Вдоль
хребта
|
58
|
16
|
|
На
спинном участке
|
44-48
|
10-12
|
|
На
боковых участках
|
30-44
|
10-12
|
|
На
череве
|
30
|
10
|
Длина волос нутрий находится в прямой
зависимости от возраста животных. [9]
Мягкость волосяного покрова - ощущение степени
упругости волосяного покрова при его сжатии. Волосяной покров нутрий состоит из
очень густого (особенно на череве), шелковистого пуха, прикрытого толстой,
длинной, грубой остью.
Упругость - свойство волос возвращаться после
сминания к своему первоначальному или близкому к нему состоянию. Остевые волосы
значительно более упруги, чем пуховые. Во время линьки - самая низкая
упругость. Чем меньше упругость волосяного покрова, тем легче он свойлачивается
(свойлачиваемость - свойство волос, перепутываясь друг с другом, образовывать
плотные войлокообразные массы, дефект - «свалянность волосяного покрова»).
Прочность волос на разрыв - способность
оказывать сопротивление действиям внешних сил, разрушающим их целостность или
изменяющим их форму. Предел прочности на разрыв определяется усилием, которое
нужно приложить для разрыва их стержня. Прочность волос в значительной степени
определяет носкость меховых изделий. Прочность на разрыв остевых и направляющих
волос обычно значительно превышает прочность волос пуха.
Окраска пушно-меховых полуфабрикатов зависит от
содержания в стержнях волос пигментов (красящих веществ). В настоящее время
разводят нутрий стандартной (дикой) и цветной форм окраски меха. В хозяйствах
нашей страны нутриеводы-любители разводят более 10 различных цветовых форм
нутрий. Развитию цветного нутриеводства способствовал спрос населения на
изделия из таких шкурок. На шкурках нутрий пятна иного цвета (пежины) являются
дефектом.
Блеск - это способность поверхности волосяного
покрова отражать падающие на него лучи света. Степень блеска зависит от
величины, формы и расположения чешуек кутикулы, а также от строения волосяного
покрова: остевые и направляющие волосы увеличивают блеск, пуховые волосы делают
волосяной покров матовым. Показателем качества шкурки нутрий служит выраженный
блеск шерсти. [10, 13]
Свойства кожного покрова
У взрослых нутрий в кожевой ткани различают
эпидермис с различным количеством слоев в зависимости от наличия или отсутствия
интенсивности закладки, роста и формирования новых волос. Количество этих слоев
может колебаться в пределах 2-5. В дерме различают хорошо выраженный
термостатический слой, пронизанный корнями волос, расположенных под углом
35-400, включающий горизонтально переплетенные коллагеновые, эластиновые и
ретикулиновые волокна, клеточные элементы, сальные и потовые железы. Толщина
этого слоя составляет от всей толщины кожевой ткани 70-90%. Несколько слабее
выражен сетчатый слой, в основном состоящий из плотно переплетенных
коллагеновых пучков петлистого строения. Наибольшего развития этот слой
достигает в период, предшествующий наиболее интенсивным периодам линьки
волосяного покрова (весна/осень). В данное время сетчатый слой может составлять
от общей толщины кожевой ткани 20-25%, во время закладки и роста новых волос -
12-15%. Под сетчатым слоем располагается подкожная жировая клетчатка. У
молодняка нутрий кожный покров отличается тем, что в нем совершенно не выражен
сетчатый слой, тонкие слабо переплетающиеся коллагеновые волокна, мелкие
сальные и потовые железы, корни волос верхушками луковиц лежат на поверхности
жировой клетчатки. [9]
Толщина кожного покрова зависит от
топографического участка, от времени добычи, пола и возраста, индивидуальных
особенностей зверька. Кожевая ткань шкурок нутрий средняя по толщине,
эластичная.
Кожа нутрий по толщине на разных топографических
участках неодинакова: наиболее толстая на хребте (от середины хребта до корня
хвоста), меньшей толщины - на боках, голове, душке и тонкая - на череве.
Глубина залегания растущих волос 800-850 мкм,
закончивших рост 350-400 мкм, при толщине кожевой ткани - 1100-1200 мкм.
Прочность кожного покрова на разрыв - определяет
сроки носки изготовленных из шкурок меховых изделий. Прочность кожевой ткани на
разрыв зависит от топографического участка на шкурке. Так, прочность продольных
ремешков на хребте равна 20,7, поперечных - 4,9 кг, на череве соответственно -
5,8 и 2,0 кг. [9, 14]
Свойства шкурок в целом
Размер шкурки определяется ее площадью. Площадь
шкурки зависит от пола и возраста животного, индивидуальных особенностей и
места обитания. Площадь шкурок зависит и от способа консервирования. При
пресно-сухом консервировании площадь шкурок уменьшается примерно на 10 %
площади в парном состоянии.
Площадь шкурок нутрии определяют путем умножения
результатов измерений длины от середины междуглазья до линии, соединяющей боковые
точки огузка, на удвоенную ширину посередине длины шкурки.
В сырье длина шкурок нутрий различного размера
колеблется в пределах 35-75 см, ширина - 25-53 см. Площадь колеблется в
пределах от 600 до 2000 см2. [9]
Масса шкурок зависит от толщины кожной ткани,
густоты и длины волос, площади шкурок, сезона добычи (или забоя) животных,
способов консервирования и других факторов.
Теплозащитные свойства, прежде всего, зависят от
воздуха, который находится между волосками шкурки и внутри волос в их
сердцевинных каналах, а также от плотности кожной ткани. Чем длиннее и гуще
волосяной покров и плотнее кожная ткань, тем выше теплозащитные свойства
шкурки. [10, 13]
У нутрий теплозащитные свойства меха зависят и
от возраста зверьков. У нутрий с вторичным волосяным покровом этот показатель
равен 0,418 Вт/м×к, в
7-месячном возрасте - 0,193, в 10-месячном - 0,282; у шкурок 1 сорта - 0,186,
второго - 0,140. [9]
Носкость шкурки определяется степенью
сопротивления ее волосяного покрова и кожевой ткани различным разрушающим воздействиям,
которые она испытывает в процессе эксплуатации. Носкость мехового изделия
определяет длительность его использования.
У нутрий носкость меха средняя. Если носкость
меха выдры принята за 100%, то носкость меха нутрии натуральной составляет 50%,
а щипаной - 25 %. По оценкам товароведов носкость меха нутрии равна 5 сезонам
(один сезон включает 4 месяца). [12]
Из сказанного выше видно, что все свойства
шкурок нутрии подвержены влиянию многих факторов: племенная работа, кормление,
содержание, возраст зверьков, сезон забоя и т.д. Поэтому важно нутриеводам
постоянно совершенствовать селекцию животных, соблюдать оптимальные сроки
забоя, улучшать первичную обработку сырья. Необходима стандартная оценка сырья
с учетом объективных показателей качества.
1.4 Сортировка шкурок нутрий
Шкурки нутрий сортируют по ГОСТ 2916-84 «Шкурки
нутрии невыделанные». Настоящий стандарт распространяется на невыделанные
шкурки нутрии клеточного разведения и добытые охотой.
Шкурки нутрии должны быть снять с тушек
«трубкой» с разрезом по огузку и по границе безволосой части лап и хвоста, с
сохранением головы. Шкурки должны быть очищены от прирезей мяса, хрящей,
сухожилий, от крови с кожевой ткани и волосяного покрова; обезжирены без
повреждения корней волос; оправлены на правилках без излишнего растяжения при
соотношении длины к ее ширине 3:1, законсервированы пресно-сухим способом и
высушены кожным покровом или волосом наружу (шкурки, поступающие от
специализированных зверосовхозов, должны быть высушены волосом наружу).
Шкурки нутрии в зависимости от цвета волосяного
покрова подразделяют на цветовые типы:
Черные шкурки должны иметь волосяной покров на
хребте черного или почти черного цвета, на череве от черного до
темно-коричневого цвета, пух - от темно-серого до темно-коричневого цвета.
Коричневые шкурки должны иметь волосяной покров
на хребте от серовато-коричневого до темно-коричневого цвета. На череве цвет
волос светлее, чем на хребте. Остевые волосы на хребте и боках имеют зональную
окраску, пуховые волосы коричневого цвета разной интенсивности.
Пастелевые шкурки должны иметь волосяной покров
чистого коричневого цвета разной интенсивности, пуховые волосы - от
светло-коричневого до коричневого цвета.
Белые шкурки - волосяной покров белого цвета.
Золотистые шкурки должны иметь волосяной покров
на хребте от оранжевого до светло-желтого цвета с золотистым оттенком, на
череве цвет волос светлее, чем на хребте, пуховые волосы - желтого цвета разной
интенсивности. Допускаются более темные вершины пуховых волос.
Перламутровые шкурки должны иметь волосяной
покров от светло-коричневого до бежевого цвета с осветленными вершинами кроющих
волос. На череве цвет волос светлее, чем на хребте, пуховые волосы - от
бежевого до почти белого цвета. Допускается желтоватый оттенок кроющих и пуховых
волос.
Шкурки нутрий в зависимости от качества
волосяного покрова подразделяют на сорта:сорт - Полноволосый, с блестящей
остью, густым пухом и хорошо опушенным черевомсорт - Менее полноволосый, с
недостаточно развившимися остью и пухом или менее густым волосяным покровом.
В зависимости от наличия пороков шкурки нутрии
подразделяют на группы дефектности в соответствии с требованиями, указанными в
табл. 3.
Таблица 3 - Группы дефектности для шкурок нутрии
|
Наименование
порока
|
Группа
|
|
первая
|
вторая
|
третья
|
четвертая
|
|
1
|
2
|
3
|
4
|
5
|
|
Разрывы
и швы общей длиной, см
|
До
5,1
|
5,1
- 10,0
|
10,1
- 25,0
|
>25,0
до однократной длины шкурки; шкурки, порванные поперек или с разрезом по
линии хребта
|
|
Дыры,
вытертые места, сеченность в.п., пятна иного цвета (пежины) общей площадью, см2
|
До
10,1
|
10,1
- 20,0
|
20,1
- 40,0
|
40,1
- 70,0
|
|
Сквозняк,
расположенные кучно закусы, свалянный волос общей площадью, см2
|
До
10,1
|
10,1
- 100,0
|
100,1
- 250,0
|
250,1
- 400,0
|
|
Плешины
общей площадью, см2
|
-
|
До
10,1
|
10,1
- 20,0
|
20,1
- 30,0
|
|
Отсутствие
частей шкурки
|
Вырезанная
нижняя часть черева до 5,1 см от линии между боковыми точками огузка
|
Головы.
Вырезанная нижняя часть черева 5,1 - 10,0 см от линии между боковыми точками
огузка
|
Головы
с шеей
|
-
|
Примечания:
. Шкурки с пежинами на голове, с заросшими или единичными
не заросшими закусами, с пороками на нижнем крае черева до 5,1 см, с разрезом
по средней линии черева относят в группу «первая».
. Пороки на голове и шее оценивают не выше
скидок, установленных за недостачу этих частей шкурки.
. При разных пороках, расположенных на одном
участке шкурки (порок на пороке), учитывается один наибольший порок.
Таблица 4 - Оценка качества шкурок нутрии в
процентах
|
Сорт
|
Группа
дефектности
|
|
первая
|
вторая
|
третья
|
четвертая
|
|
Первый
|
100,0
|
90,0
|
75,0
|
50,0
|
|
Второй
|
80,0
|
72,0
|
60,0
|
40,0
|
Шкурки нутрии плохо обезжиренные принимают со
скидкой 10% от оценки качества шкурок.
Шкурки нутрии с пороками, превышающими допуски
для «четвертой» группы, шкурки с вырезанным черевом более 10 см от линии между
боковыми точками огузка оценивают не выше 25% от оценки качества шкурок
соответствующего цвета, первого сорта и первой группы. Шкурки прелые, горелые,
поврежденные молью и кожеедом, с очень редким волосяным покровом, полуволосые,
шкурки детенышей с пухлявым волосяным покровом относят к нестандартным. [7]
Характеристика пороков
Качество шкурок зависит не только от их
естественных, природных свойств, но и от различных повреждений их волосяного
покрова и кожевой ткани. Все эти пороки снижают ценность заготовляемого пушного
сырья, затрудняют его переработку, ухудшают качество выпускаемых изделий.
Различают пороки прижизненные - возникшие на
шкурке еще при жизни животного, и посмертные - образующиеся в процессе добычи
зверя, либо при первичной обработке, хранении и транспортировании шкурок.
Прижизненные пороки:
Вытертое место - участок шкурки с частично или
полностью разрушенным волосяным покровом вследствие механического повреждения.
Закус - участок шкурки с повреждением кожевой
ткани и волосяного покрова вследствие укуса.
Пятна иного цвета (пежина) - участок шкурки,
имеющий четко выраженную, контрастную с основной, окраску волосяного покрова.
Свалянность волосяного покрова - спутанность
волос до образования войлокообразной массы, не поддающейся расчесыванию.
Сеченность волосяного покрова - облом вершин
кроющих волос.
Посмертные пороки:
Разрывы - линейные отверстия в кожевой ткани
шкурок без потери ее площади, возникающие обычно при сильном натяжении кожевой
ткани при съемке и правке шкурок.
Дыра - отверстие в кожевой тками с потерей
площади.
Плешина - участок шкурки с полностью выпавшим
волосяным покровом вследствие воздействия микроорганизмов на кожевую ткань.
Сквозняк - обнажение корней волос со стороны
кожевой ткани. Это происходит при неквалифицированном обезжиривании шкурки,
когда используют острый, глубоко срезающий мездру, инструмент, чем обнажают
корни волос, срезая их луковицы. [7]
Одной из причин появления таких пороков как
теклость волосяного покрова, прелины, плешины является нарушение режима сушки
сырья, особенно на правилках проволочного типа, в условиях, когда относительная
влажность воздуха составляет 20-40%, а температура поднимается до 40-500. При
этом сильно высыхает поверхность кожевой ткани, а внутренние слои остаются
влажными. Оптимальными для сушки шкурок нутрий можно считать температуру
27-300С, относительную влажность воздуха - 55-60%. При высоких температурах не
исключается также и возможность сваривания коллагена или ороговения. [9]
Совершенствуя методы съемки, обезжиривания,
правки, сушки шкурок, можно значительно повысить их качество.
1.5
Современное состояние отрасли, основные хозяйственно-полезные качества
нутрий
В целом по России на 1.07.06 г. (по итогам
всероссийской сельскохозяйственной переписи 2006 г.) поголовье нутрий
насчитывало 564,2 тыс. голов:
по Центральному федеральному округу - 4,6 тыс.
голов (Костромская область - 1,7, Белгородская область - 1,0 тыс. голов),
по Северо-Западному округу - 0,3 тыс. голов,
по Южному федеральному округу - 551 тыс. голов
(Краснодарский Край - 299, Ставропольский Край - 143,1, Ростовская область -
83,5 тыс. голов),
Приволжский федеральный округ - 7,9 тыс. голов
(Кировская область - 6,9 тыс. голов),
Уральский федеральный округ - 0,1 тыс. голов,
Сибирский федеральный округ - 0,3 тыс. голов,
Дальневосточный федеральный округ - 0,1 тыс.
голов. [2, 3]
На данном этапе состояние нутриеводства остается
тяжелым. Численность поголовья нутрий снижается (на 2008 год численность
поголовья самок основного стада в хозяйствах России составила 0,9 тыс. голов).
На данный момент нутрий разводят в индивидуальных хозяйствах и подсчет
поголовья произвести практически невозможно. [4, 6]
Основные хозяйственно-полезные качества нутрий,
которые могли бы обеспечить рентабельность отрасли - нутриеводства,
определяются ценностью получаемого от животных экологически чистого,
высококачественного и красивого пушно-мехового сырья, деликатесного
диетического лечебного мяса, а также значительной побочной продукции. В общей
выручке доля шкурки составляет 80-85%, мяса - 15-20%. [12]
Шкурки нутрии в настоящее время используют как в
натуральном виде, так и с применением различных обработок. Из них изготавливают
пальто, жакеты, мужские и женские воротники и головные уборы. Раскрой шкурок
производят по хребту, так как черево шкурки более ценное. Мех нутрии удобен для
обманщиков: щипаная нутрия (с удаленными остевыми волосами) очень похожа на
щипаную норку и бобра, поэтому ее зачастую предлагают под видом этих, более
дорогих мехов. [8, 12]
Мясо нутрий в ряде стран Европы и Америки давно
признано пищевым, целебным и ценится дороже говядины. От одной взрослой нутрии
получают товарную тушку массой 3…3,5 кг, а от 6-8-месячного молодняка - 2…2,5
кг. Убойный выход при этом равен 52-55%. Тушка отличается мясистостью - кости
вместе с головой составляют 12-15%, в то время как у свиней и крупного рогатого
скота - 18-20%. Энергетическая ценность 100 г мяса средней жирности равняется
203 Ккал (0,85 МДж). Полноценность белка в мясе нутрии по содержанию и
соотношению незаменимых аминокислот равна 81,5% (говядины - 80%). В мясе нутрии
сравнительно много небелковых азотистых веществ (4…5%), возбуждающих аппетит и
секрецию пищеварительных желез. Мясо имеет интенсивную красно-коричневую
окраску, так как содержит повышенное количество мышечного гемоглобина
(миоглобина), что свойственно полуводным животным - 800…1000 мг% против 150-200
мг% у сельскохозяйственных. Поэтому оно, в частности, полезно людям при анемии,
а также с заболеваниями почек, сахарным диабетом. [12, 14]
Жир нутрий содержит много непредельных жирных
кислот, в том числе незаменимых: линолевой и линоленовой, необходимых для
нормального функционирования организма человека. Доказано, что регулярное
употребление в пищу жира нутрий является профилактикой против легочных
заболеваний. Его усвояемость - 90-93%. [12, 14]
Побочная продукция нутриеводства также
направлена на повышение рентабельности производства. Так, навоз от животных
используется в дальнейшем по прямому назначению в виде удобрения. Экскременты
нутрий характеризуются очень высоким содержанием в них азота, что позволяет
значительно снизить нормы внесения органических удобрений на единицу площади
пахотных земель. Возможно использование жира, снятого со шкурок забитых зверей:
либо для производства косметических препаратов, либо для кормления животных.
Обрезки кожи с волосом, как отходы при обработке пушно-мехового сырья,
востребованы при изготовлении сувенирной галантереи.
Таким образом, очевидно, что нутриеводство -
почти безотходное производство, а вся получаемая в зверохозяйствах продукция
может давать дополнительный доход, способствуя повышению рентабельности
отрасли. [12]
2. Экспериментальная часть
.1 Объект исследования
нутрия шкурка покров товарный
Для выполнения экспериментальной части, целью
которой стало определение зависимости товарных свойств шкурок нутрий от
цветового типа, объектом исследования стали шкурки следующих цветов: коричневые
- в количестве 10 штук, пастелевые - в количестве 8 штук. Все шкурки
законсервированы пресно-сухим способом (что соответствует требованиям ГОСТ
2916-84 «Шкурки нутрии невыделанные»). Исследуемые шкурки нутрий являются
частью коллекции Кафедры товароведения и технологии сырья животного
происхождения им. С.А. Каспарьянца.
Основой исследования стало рассмотрение товарных
свойств шкурок нутрий на следующих топографических участках: хребет и черево.
2.2 Методы исследований
.2.1 Методы исследований товарных
свойств волосяного покрова
Высоту волосяного покрова определяют
миллиметровой линейкой как кратчайшее расстояние от кожного покрова до кончиков
кроющих волос с учетом угла залегания волоса в кожном покрове. [10]
Измерение длины волосяного покрова производится
путем точного промера длины волос разных категорий (направляющих, остевых и
пуховых), сбритых с разных участков шкурки (хребет, черево). Выборка с каждого
топографического участка волос каждой категории - 25 штук (малая выборка).
Волосы кладут на бумагу такого цвета, чтобы стержни волос были ясно видны. На
бумагу накладывается стекло. Затем препаровальными иглами каждый волос
распрямляют и измеряют миллиметровой линейкой (то есть, определяем истинную
длину).
Густоту волосяного покрова определяли методом
прямого подсчета волос на площади 0,25 см² и
последующим умножением на 4 для характеристики густоты на 1 см².
Для измерения толщины волос каждой категории
выполняется приготовление препаратов, для чего на предметное стекло помещают
нарезанные отрезки волоса, предметное стекло покрываем глицерином, сверху
накрываем покровным стеклом. Толщину направляющих и остевых волос измеряли в
гранне, толщину пуховых волос - посередине стержня. Прежде чем приступить к
измерению толщины волос, устанавливали величину (цену) одного деления
окулярного микрометра, которая составила 4,0 мкм.
Мягкость волосяного покрова выражают через
коэффициент мягкости - отношение толщины остевого волоса (мкм) к длине остевого
волоса (мм) с последующим умножением на 10-3.
Окраска и блеск волосяного покрова определяется
органолептически путем осмотра каждой шкурки. [10]
.2.2 Методы исследований товарных
свойств кожного покрова
Толщину кожного покрова шкурок определяли при
помощи толщиномера Мейснера на двух топографических участках - хребет и черево,
в миллиметрах.
.2.3 Методы исследований товарных
свойств шкурки в целом
Массу шкурок нутрий определяют на исправных
весах, результаты измерений приводятся в граммах. [10]
Площадь шкурок нутрии определяют путем умножения
результатов измерений длины от середины междуглазья до линии, соединяющей
боковые точки огузка, на удвоенную ширину посередине длины шкурки. Результаты
измерений приведены в см2. [7]
2.2.4 Метод статистической обработки
данных
Статистическая обработка данных необходима,
чтобы получить представление о целой выборке пушного сырья, о ее качестве и
возможности дальнейшей переработки промышленностью в том или ином направлении.
В процессе статистической обработки данных определяли следующие показатели:
Средняя арифметическая величина определяется по
формуле:

(1)
Среднее квадратическое отклонение определяем по
формуле:

(2)
Коэффициент вариации:

(3)
Средняя ошибка, характеризующая точность
измерений, определяется по формуле:

(4)
2.2.5 Сортировка шкурок нутрий
Сортировку шкурок нутрии осуществляли по ГОСТ
2916-84 «Шкурки нутрии невыделанные». На основании данного ГОСТа шкурки
подразделяли по цветовым типам, сортам и группам дефектности. Основные
положения данного документа приведены в пункте 1.5 данной курсовой работы.
2.3 Собственные исследования
.3.1 Измерение массы и площади
шкурок нутрии коричневой и пастелевой
Таблица 5 - Результаты измерений массы и площади
шкурок нутрий разных цветовых типов
|
№
п/п
|
Масса,
г
|
Площадь,
см2
|
|
Коричневые
шкурки
|
|
1
|
286
|
912
|
|
2
|
164
|
1120
|
|
3
|
232
|
950
|
|
4
|
248
|
950
|
|
5
|
260
|
988
|
|
6
|
172
|
1060
|
|
7
|
148
|
893
|
|
8
|
206
|
1239
|
|
9
|
168
|
1197
|
|
10
|
262
|
918
|
|
Итого
|
2146
|
10227
|
|
Пастелевые
шкурки
|
|
1
|
160
|
912
|
|
2
|
220
|
931
|
|
3
|
156
|
1000
|
|
4
|
144
|
864
|
|
5
|
190
|
912
|
|
6
|
182
|
988
|
158
|
931
|
|
8
|
194
|
950
|
|
Итого
|
1404
|
7488
|
Расчеты статистических показателей по массе
шкурок:
Средняя арифметическая величина массы шкуры, г
(формула 1):

г

г
Среднее квадратическое отклонение, г (формула
2):

г

г
Коэффициент вариации, % (формула 3):

%

%
Средняя ошибка, г (формула 4):

г

г
Расчеты статистических показателей по площади
шкур:
Средняя арифметическая величина площади шкуры,
см2 (формула 1):

см2

см2
Среднее квадратическое отклонение, см2 (формула
2):

см2

см2
Коэффициент вариации, % (формула 3):

%

%
Средняя ошибка, см2 (формула 4):

см2

см2
Таблица 6 - Масса и площадь шкурок нутрий
(шкурки коричневого цветового типа n=10; шкурки пастелевого цветового типа n=8)
|
Цветовой
тип
|
Масса,
г
|
Площадь,
см2
|
|
Хср
± m, г
|
δ,
г
|
C,
%
|
Хср
± m, см2
|
δ,
см2
|
C,
%
|
|
Коричневый
|
214,6±16,4
|
49,3
|
22,98
|
1022,7±
41,6
|
124,7
|
12,90
|
|
Пастелевый
|
175,5±9,6
|
25,3
|
14,44
|
936,0±16,5
|
43,7
|
4,67
|
Выводы: Средняя масса шкурок нутрий коричневого
цветового типа составила 214,6 ± 16,4 г. Величина среднего квадратического
отклонения, характеризующего отклонение массы от среднего значения, составила
±49,3 г; коэффициент вариации равен 22,98%. Эти данные свидетельствуют об
неуравненности исследованной выборки по массе.
Средняя масса шкурок нутрий пастелевого
цветового типа составила 175,5 ± 9,6 г. Величина среднего квадратического
отклонения составила ±25,3 г; коэффициент вариации равен 14,44 %. Эти данные
свидетельствуют о средней уравненности исследованной выборки по массе.
Средняя площадь коричневых шкурок нутрий 1022,7
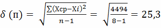
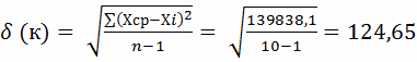
± 41,55 см2, величина среднего квадратического отклонения - 124,65 см2,
коэффициент вариации равен 12,9%, что говорит о средней уравненности выборки по
площади шкурок.
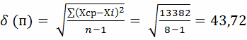
Средняя площадь пастелевых шкурок нутрий 936 ±
16,53 см2, величина среднего квадратического отклонения - 43,72 см2,
коэффициент вариации равен 4,67%, что говорит об уравненности исследуемой выборки
по площади шкурок. В целом можно сделать вывод о том, что шкурки нутрии
коричневого цветового типа (полученные от нутрий стандартной окраски) крупнее в
размерах, чем пастелевые шкурки нутрии. Это связано с тем, что в отношении
нутрий стандартного типа проведена более длительная селекционная работа в
направлении увеличения размеров получаемых от них шкурок.
2.3.2 Измерение показателей
волосяного покрова для шкурок нутрий
Таблица 7 - Результаты статистической обработки
высоты волосяного покрова на различных топографических участках (n=25)
|
Цветовой
тип нутрии
|
Топографический
участок
|
|
Хребет
|
Черево
|
|
Хср
± m, мм
|
δ,
мм
|
C,
%
|
Хср
± m, мм
|
δ,
мм
|
C,
%
|
|
Коричневая
|
10,1±
0,05
|
0,25
|
2,58
|
8,72±
0,17
|
0,84
|
9,66
|
|
Пастелевая
|
9,0±
1,15
|
0,76
|
8,48
|
8,12±
0,14
|
0,72
|
8,93
|
Выводы: Высота волосяного покрова на шкурках
коричневого цветового типа составила 10,1± 0,05 мм на хребте, 8,72± 0,17 мм на
череве; на шкурках пастелевого цветового типа - 9,0±1,15 мм и 8,12± 0,14 мм
соответственно. Коэффициенты вариации по показателю высоты волосяного покрова
на шкурках коричневого цветового типа составили - 2,58% на хребте, 9,66% - на
череве; на шкурках пастелевого типа - 8,48% и 8,93% соответственно. Из чего
следует, что исследуемый выборки уравнены по данному показателю. Высота
волосяного покрова на череве у обоих цветовых типов нутрий незначительно ниже,
чем на хребте.
Показатель высоты волосяного покрова у нутрий
пастелевого цветового типа ниже, чем у коричневых нутрий, что определяется
длиной волос, его составляющих.
Таблица 8 - Результаты статистической обработки
измерений длины волос разных категорий (n=25)
|
Цветовой
тип нутрии
|
Топограф.
участок
|
Длина
волос различных категорий
|
|
|
Направляющие
|
Остевые
|
Пуховые
|
|
|
Хср
± m, мм
|
δ,
мм
|
C,
%
|
Хср
± m, мм
|
δ,
мм
|
C,
%
|
Хср
± m, мм
|
δ,
мм
|
C,
%
|
|
Коричневая
|
Хребет
|
58,9±0,44
|
2,14
|
3,58
|
47,7±0,34
|
1,64
|
3,45
|
14,0±0,33
|
1,62
|
11,6
|
|
Черево
|
46,2±0,61
|
2,95
|
6,04
|
38,2±0,38
|
1,86
|
5,6
|
12,1±0,32
|
1,61
|
13,2
|
|
Пастелевая
|
Хребет
|
53,2±0,43
|
2,12
|
4,0
|
45,8±0,27
|
1,34
|
2,93
|
12,8±0,29
|
1,45
|
11,4
|
|
Черево
|
43,1±0,36
|
1,78
|
4,13
|
36,0±0,42
|
2,10
|
6,29
|
10,7±0,23
|
1,14
|
10,6
|
Выводы: Самый длинный волос на шкурках нутрий -
направляющий. Его длина на шкурках коричневого типа составила 58,9±0,44 мм на
хребте и 46,2±0,61 мм на череве, на шкурках пастелевого цветового типа -
53,2±0,43 мм и 43,1±0,36 мм соответственно. Промежуточное положение по данному
показателю занимает остевой волос, его длина на шкурках коричневого типа
составила - 47,7±0,34 мм на хребте и 38,2±0,38 на череве, на шкурках
пастелевого цветового типа - 45,8±0,27 мм и 36,0±0,42 мм соответственно. Самый
короткий волос пуховой, его длина на шкурках коричневого типа - 14,0±0,33 мм на
хребтовой части, 12,1±0,32 мм - на череве; на шкурках пастелевого типа -
12,8±0,29 мм и 10,7±0,23 мм соответственно.
Волосяной покров нутрий обоих цветовых типов
уравнен по длине направляющих и остевых волос, как на хребте, так и на череве;
по длине пуховых волос волосяной покров средней уравненности (коэффициент
вариации незначительно превышает 10%). Такой результат связан с тем, что длина
пуховых волос зависит и от степени извитости волоса. Самый длинный волосяной
покров на хребте, более низкий - на череве.
Длина волос различных категорий на шкурках
пастелевых нутрий несколько меньше, чем у коричневых нутрий.
Таблица 9 - Результаты статистической обработки
измерений толщины волос разных категорий (n=25)
|
Цветовой
тип нутрии
|
Топограф.
участок
|
Толщина
волос различных категорий
|
|
|
Направляющие
|
Остевые
|
Пуховые
|
|
|
Хср
± m, мкм
|
δ,
мкм
|
C,
%
|
Хср
± m, мкм
|
δ,
мкм
|
C,
%
|
Хср
± m, мкм
|
δ,
мкм
|
C,
%
|
|
Коричневая
|
Хребет
|
146,2±0,48
|
2,36
|
1,62
|
135,0±0,57
|
2,77
|
2,06
|
13,2±0,19
|
0,9
|
6,9
|
|
Черево
|
135,9±0,51
|
2,49
|
1,83
|
94,4±0,52
|
2,98
|
3,16
|
10,2±0,23
|
1,1
|
10,5
|
|
Пастелевая
|
Хребет
|
143,1±0,29
|
1,44
|
1,0
|
128,6±0,399
|
1,91
|
1,49
|
11,6±0,27
|
1,4
|
11,6
|
|
Черево
|
135,9±0,29
|
1,45
|
1,06
|
90,4±0,74
|
3,64
|
4,02
|
10,2±0,30
|
1,5
|
14,5
|
Выводы: Волосяной покров исследуемых шкурок
нутрий уравнен по толщине направляющих и остевых волос, средней уравненности по
толщине пуховых волос. Самый высокий показатель толщины - у направляющих волос,
он составил на шкурках коричневого типа 146,2±0,48 мкм на хребте и 135,9±0,51
мкм на череве; на шкурках пастелевого типа - 143,1±0,29 мкм и 135,9±0,29 мкм
соответственно. Незначительно тоньше остевой волос - на шкурках коричневого
типа - 135,0±0,57 мкм на хребте, 94,4±0,52 мкм на череве; на шкурках
пастелевого типа - 128,6±0,39 мкм и 90,4±0,74 мкм соответственно. Самый тонкий
и нежный волос - пуховой, его толщина составила 13,2±0,19 мкм на хребтовой
части и 10,2±0,23 мкм на череве шкурок коричневого типа, 11,6±0,27 мкм и
10,2±0,30 мкм на шкурках пастелевого типа. Кроме того, волосы всех категорий на
череве имеют меньшую толщину в сравнении с хребтом.
У пастелевых и коричневых нутрий показатели
толщины волос всех категорий отличаются незначительно, у пастелевых - волос
немного тоньше.
Таблица 10 - Результаты измерений густоты
волосяного покрова на различных топографических участках (n = 3)
|
Цветовой
тип нутрии
|
Густота
на топографических участках, шт./1 см2
|
|
Хребет
|
Черево
|
Бок
|
|
Коричневая
|
7000
|
14560
|
12440
|
|
Пастелевая
|
7200
|
15420
|
13000
|
Выводы: Волосяной покров у нутрий коричневого и
пастелевого цветовых типов наиболее густой на череве (14500-15500 шт./1 см2),
наиболее редкий - на хребтовой части (7000-7200 шт./1 см2), что связано с
полуводным образом жизни нутрий. Густота волосяного покрова у нутрий
пастелевого цветового типа выше в сравнении с показателями густоты коричневых
нутрий, но эти данные могут быть ошибочными в связи с тем, что на данный
показатель была исследована очень маленькая выборка (n = 3).
Таблица 11 - Результаты вычисления коэффициента
мягкости
|
Цветовой
тип нутрии
|
Коэффициент
мягкости, *10-3
|
|
Хребет
|
Черево
|
|
Коричневые
|
2,83
|
2,47
|
|
Пастелевые
|
2,80
|
2,51
|
Выводы: Коэффициент мягкости на хребтовой части
шкурок коричневого типа составил 2,83*10-3, на череве - 2,47*10-3; на шкурках
пастелевого типа - 2,80*10-3 на хребте, 2,51*10-3 на череве.
Цифра коэффициента мягкости волосяного покрова у
нутрий обоих цветовых типов на череве меньше, чем на хребтовой части, что
свидетельствует о том, что волос на данном топографическом участке мягче и
нежнее. Коэффициент мягкости у исследуемых цветовых типов нутрий приблизительно
одинаков, что связано с небольшими отличиями в толщине и длине остевого волоса
обоих типов.
.3.3 Измерение толщины кожевой ткани
шкурок нутрий разных цветовых типов
Таблица 12 - Результаты статистической обработки
данных по толщине кожевой ткани шкурок нутрии коричневой и пастелевой
|
Цветовой
тип нутрии
|
Топографический
участок
|
|
Хребет
|
Черево
|
|
Хср
± m, мм
|
δ,
мм
|
C,
%
|
Хср
± m, мм
|
δ,
мм
|
C,
%
|
|
Коричневая
|
1,25±0,05
|
0,14
|
11,47
|
0,85±0,04
|
0,11
|
12,71
|
|
Пастелевая
|
1,01±0,06
|
0,15
|
14,40
|
0,63±0,04
|
0,10
|
16,56
|
Выводы: Данные, приведенные в таблице 11,
указывают на то, что выборки из шкурок нутрий коричневого и пастелевого
цветовых типов - средней уравненности по толщине кожевой ткани. Причем
показатель толщины кожевой ткани на хребте выше, чем на череве.
Толщина кожевой ткани коричневых шкурок
(1,25±0,05 мм) превышает этот показатель для шкурок нутрий пастелевой окраски
(1,01±0,06 мм) на хребте, на череве (0,85±0,04 мм и 0,63±0,04 мм
соответственно). Это связано с тем, что в отношении коричневых нутрий ведется
более активная селекционная работа, направленная на улучшение товарных свойств
получаемого пушного сырья.
2.3.4 Сортировка невыделанных шкурок
нутрий
Таблица 13 - Итоги сортировки исследуемых шкурок
нутрии
|
№
п/п
|
Вид
|
Цветовой
тип
|
Сорт
|
Дефекты
|
Группа
деф-ти
|
Качество,
%
|
Кол-во
головок
|
|
1
|
Нутрия
|
Коричневая
|
2
|
Вытертое
место (10,1<S<20,0 см2)
|
2
|
62
(10% за плохо обезжир. шкурку)
|
0,62
|
|
2
|
|
Коричневая
|
1
|
Вытертое
место (S до 10,1 см2), разрыв (длина от 5,1 до 10,0 см)
|
3
|
65
(10% за плохо обезжир. шкурку)
|
0,65
|
|
3
|
|
Коричневая
|
1
|
-
|
1
|
100
|
1,0
|
|
4
|
|
Коричневая
|
1
|
Вытертое
место (10,1<S<20,0 см2)
|
2
|
90
|
0,9
|
|
5
|
|
Коричневая
|
2
|
-
|
1
|
80
|
0,8
|
|
6
|
|
Коричневая
|
1
|
Разрыв
(длина от 5,1 до 10,0 см), дыра (S до 10,1 см2)
|
3
|
75
|
0,75
|
|
7
|
|
Коричневая
|
2
|
Вытертое
место (10,1<S<20,0 см2)
|
2
|
72
|
0,72
|
|
8
|
|
Коричневая
|
2
|
Дыры
и плешина (10,1<S<20,0 см2)
|
3
|
60
|
0,6
|
|
9
|
|
Коричневая
|
2
|
Вытертое
место (S до 10,1 см2)
|
1
|
80
|
0,8
|
|
10
|
|
Коричневая
|
1
|
Вытертое
место (S до 10,1 см2)
|
1
|
90
(10% за плохо обезжир. шкурку)
|
0,9
|
|
ИТОГО
|
7,74
|
Нутрия
|
Пастелевая
|
1
|
-
|
1
|
100
|
1,0
|
|
2
|
|
Пастелевая
|
1
|
Разрыв
(длина от 5,1 до 10,0 см), вытертое место (S до 10,1 см2)
|
3
|
65
(10% за плохо обезжир. шкурку)
|
0,65
|
|
3
|
|
Пастелевая
|
2
|
Вытертое
место (S до 10,1 см2), дыры (10,1<S<20,0 см2)
|
3
|
60
|
0,6
|
|
4
|
|
Пастелевая
|
1
|
Вытертое
место (10,1<S<20,0 см2)
|
2
|
90
|
0,9
|
|
5
|
|
Пастелевая
|
1
|
Плешина
(S до 10,1 см2), легкая свалянность
|
2
|
90
|
0,9
|
|
6
|
|
Пастелевая
|
2
|
Сеченность
волосяного покрова (S до 10,1 см2)
|
1
|
70
(10% за плохо обезжир. шкурку)
|
0,7
|
|
7
|
|
Пастелевая
|
2
|
Вытертое
место (10,1<S<20,0 см2)
|
2
|
72
|
0,72
|
|
8
|
|
Пастелевая
|
1
|
-
|
1
|
100
|
1,0
|
|
ИТОГО
|
6,47
|
Выводы: Самым распространенным пороком по итогам
сортировки шкурок нутрии стал прижизненный порок «вытертое место». Также на
шкурках нутрий распространены пороки, возникающие при съемке шкурок - разрывы и
дыры, что говорит о некачественно проводимой первичной обработке.
На шкурках нутрии часто встречается и такой
порок как плохая обезжиренность, на который установлена скидка 10%, что также указывает
на низкий уровень первичной обработки.
Среди исследуемой выборки шкурок нутрии
коричневого типа 50% шкурок оказались первого сорта, 50% - второго сорта; среди
шкурок пастелевой нутрии: первого сорта - 63%, второго сорта - 27%.
% шкурок коричневой нутрии были отнесены к 1
группе дефектности, по 30% - ко 2 и 3 группам дефектности; по 37,5% шкурок
пастелевой нутрии отнесены к 1 и 2 группам дефектности, 25% - к 3 группе
дефектности.
«Пушная головка» - шкурка пушного зверя,
качество которой принято за 100%. Путем расчета количества головок
устанавливается стоимость за партию пушного сырья. Количество пушных головок по
выборке коричневых нутрий составило 7,74, а по выборке пастелевых нутрий -
6,47. Данные цифры говорят о среднем качестве данных выборок.
Выводы
На основании результатов, полученных в ходе
собственных исследований можно сделать следующие выводы:
Шкурки нутрии коричневого типа при средней массе
214,6 ± 16,4 г имеют площадь 1022,7 ± 41,55. Шкурки нутрии пастелевого типа
меньшего размера по сравнению со шкурками коричневого типа - площадь шкурок
меньше на 86,7 см2 (на 8,5%), масса - на 39,1 г (на 18%); при средней массе
175,5 ± 9,6 г их площадь составляет 936 ± 16,53 см2.
Исследуемая выборка коричневых шкурок нутрии не
уравнена по массе (22,98%), средней уравненности по показателю площади
(Сv=12,9%); выборка пастелевых шкурок уравнена по площади (4,67%), средней
уравненности по массе (Сv=14,44%). Показатели уравненности для выборки
пастелевых шкурок выше.
В целом высота волосяного покрова шкурок
пастелевого цветового типа меньше на 1,1 мм (10,1%) на хребтовой части, на 0,6
мм (6,9%) - на череве. Шкурки обоих цветовых типов уравнены по данному
показателю.
Показатели длины всех категорий волос на шкурках
нутрий коричневого типа выше, чем на шкурках пастелевых нутрий. Наибольшая
разница отмечена в длине направляющих волос, которые на шкурках коричневого
типа длиннее на 5,7 мм (9,7%) на хребтовой части и на 3,1 мм (6,7%), чем на
шкурках пастелевого типа. Наименьшая разница - в длине пуховых волос, составила
1,2 мм на хребте, 1,4 мм на череве. Разница в длине ости составила - 1,9 мм на
хребте, 2,2 мм на череве. Шкурки обоих цветовых типов уравнены по длине остевых
и направляющих волос, по длине пуховых волос - средней уравненности.
По толщине волоса на хребте шкурки обоих
цветовых типов отличаются незначительно (волос на пастелевых шкурках тоньше),
разница в толщине направляющего волоса составила 3,1 мкм, остевого - 6,4 мкм,
пухового - 1,6 мкм. По толщине волоса на череве показатели одинаковы (средняя
толщина направляющего волоса 135,9 мкм, пухового - 10,2 мкм) за исключением
ости (на шкурках пастелевого типа данный показатель ниже на 4 мкм). Волосяной
покров данных шкурок уравнен по толщине направляющих и остевых волос, средней
уравненности по толщине пуха.
Коэффициент мягкости на шкурках обоих цветовых
типов отличается незначительно; на шкурках коричневого типа составил на хребте
- 2,83*10-3, на череве - 2,47*10-3; на шкурках пастелевого типа 2,80*10-3 и
2,51*10-3 соответственно. Следовательно, волосяной покров нутрий мягче на
череве, так как ость на череве незначительно короче, чем на хребте, но гораздо
более тонкая и нежная.
Густота волосяного покрова на шкурках пастелевых
нутрий незначительно выше в сравнении с коричневыми шкурками, на 200 шт./1 см2
на хребте, на 860 шт./1 см2 на череве, на 560 шт./1 см2. Наиболее густой
волосяной покров у обоих цветовых типов шкурок на череве, менее густой - на
хребте, что связано с полуводным образом жизни.
Показатель толщины кожевой ткани на шкурках
пастелевого типа ниже на 0,24 мм на хребте и на 0,23 мм на череве. Коэффициент
вариации для всех измерений толщины кожного покрова превысил 10%, что говорит о
средней уравненности выборок по данному показателю.
Таким образом, можно сделать вывод о том, что
шкурки нутрии пастелевого и коричневого типов незначительно отличаются по своим
товарным свойствам. Шкурки пастелевых нутрий меньше по размеру, густота
волосяного покрова у них выше. Также шкурки пастелевых нутрий отличаются
большей мягкостью волосяного покрова на хребте, т.е. в целом волосяной покров
таких шкурок нежнее, чем у коричневых шкурок, но это может отрицательно
сказаться на носкости шкурок (так как ость тонкая, плохо предохраняет пуховой
волос от повреждений). Но пастелевые шкурки пользуются большИм спросом у
производителей готовых изделий, что связано с красивым, привлекательным окрасом
волосяного покрова, такие шкурки можно использовать в натуральном виде, без
окрашивания.
Качество выборок шкурок нутрий обоих цветовых
типов по результатам сортировки - среднее, так как количество головок составило
- 7,74 шт. для коричневых шкурок (из 10 шкурок), 6,47 шт. - для пастелевых
шкурок (из 8 шкурок). Процент шкурок первого сорта среди коричневых составил
50%, среди пастелевых - 63%.
% шкурок коричневой нутрии были отнесены к 1
группе дефектности, по 30% - ко 2 и 3 группам дефектности; по 37,5% шкурок
пастелевой нутрии отнесены к 1 и 2 группам дефектности, 25% - к 3 группе
дефектности
Самым распространенным дефектом по итогам
сортировки шкурок нутрии стал прижизненный порок «вытертое место», что может
быть связано с одной стороны с низким уровнем содержания нутрий в хозяйствах, а
с другой стороны данный порок наблюдается чаще всего у зверей с перезревшим
волосяным покровом и является одним из признаков весенней линьки. Также на
шкурках нутрий распространены пороки, возникающие при съемке шкурок - разрывы и
дыры; встречаются плохо обезжиренные шкурки. Это указывает на низкий уровень
первичной обработки.
Наличие дефектов на шкурках уменьшает полезную
площадь шкур, которая может быть использована промышленностью, снижается выход
готовой продукции, образуется большее количество отходов, переработка таких
шкур становится более трудоемкой.
Совершенствуя систему содержания и разведения
зверьков, методы съемки, обезжиривания, правки, сушки шкурок, можно значительно
повысить их качество.
Список использованной литературы
1. Александров
В.Н. Приусадебное хозяйство: кролики, нутрии / В.Н. Александров. - СПб.:
Агропромиздат, 1999. - 237 с.
2. Балакирев
Н.А. Состояние и перспективы развития нутриеводства России / Н.А. Балакирев //
Вестник РАСХН. - 2004. - №1. - с. 59-60.
. Балакирев
Н.А. Кризис клеточного пушного звероводства, причины его возникновения и пути
выхода / Н.А. Балакирев // Главный зоотехник. - 2011. - №1. - с. 47-50.
. Балакирев
Н.А. Состояние и перспективы клеточного пушного звероводства России / Н.А.
Балакирев // Кролиководство и звероводство. - 2011. - №3. - с. 15-17.
. Бондаренко
С.П. Выделка и изготовление изделий из шкурок нутрий и ондатр / С.П.
Бондаренко. - М.: АСТ, 2002. - 157 с.
. Гладилов
Ю.И. Сколько кроликов и нутрий в России? / Ю.И. Гладилов // Кролиководство и
звероводство. - 2010. - №1. - с. 14-15.
. ГОСТ
2916-84. Шкурки нутрии невыделанные. - М.: ИПК Издательство стандартов, 1997. -
7 с.
. Кладовщиков
В.Ф. Стимулировать развитие нутриеводства и кролиководства / В.Ф. Кладовщиков
// Кролиководство и звероводство. - 2002. - №3. - с. 23.
. Комарова
Л.Г. Товарные свойства шкурок нутрий / Л.Г. Комарова, З.Г. Гасанова //
Товароведение и технология сырья и продуктов животного происхождения. - 1997. -
с. 17-22.
. Кузнецов
Б.А. Основы товароведения пушно-мехового сырья / Б.А. Кузнецов. - М.:
Государственное Издательство технической и экономической литературы по вопросам
заготовок, 1952. - 507 с.
. Кузнецов
Г.А. Сохранить генофонд нутрий / Г.А. Кузнецов, Е.Г. Сергеев // Кролиководство
и звероводство. - 2003. - №2. - с. 11-12.
. Луппова
И.М. Биологические особенности и хозяйственно-полезные качества нутрий / И.М.
Луппова // Аграрная наука - сельскому хозяйству. - Барнаул: Алт. гос. аграр.
ун-т. - 2008. - с. 327-330.
. Переверзева
А.Д. Товароведение пушно-мехового сырья / А.Д. Переверзева. - М.: Экономика,
1982. - 240 с.
. Фирсова
Н.М. Выделка меха, овчин и кожи / Н.М. Фирсова. - Ростов-на-Дону: «Феникс»,
2007. - с. 95-111.
. Шевченко
А.А. Нутрии: биологические особенности, содержание, разведение, болезни и
лечение / А.А. Шевченко, Л.В. Шевченко. - М.: Аквариум, 2004. - 157 с.