Технологический расчет реакционного змеевика трубчатой печи радиантного типа

  • Вид работы:
    Курсовая работа (т)
  • Предмет:
    Другое
  • Язык:
    Русский
    ,
    Формат файла:
    MS Word
    679,15 Кб
  • Опубликовано:
    2012-09-14
Вы можете узнать стоимость помощи в написании студенческой работы.
Помощь в написании работы, которую точно примут!

Технологический расчет реакционного змеевика трубчатой печи радиантного типа

Оглавление

1. Описание технологической схемы установки

. Описание проектируемого аппарата

. Технологический расчёт аппарата и обоснование основных размеров

3.1 Исходные данные

3.2 Расчет процесса горения

3.3 Состав сырья и пирогаза

3.4 Конечная температура реакции

3.5 Тепловая нагрузка печи, ее к.п.д. и расход топлива

3.6 Определение температуры дымовых газов, покидающих радиантную камеру

3.7 Поверхность нагрева реакционного змеевика (экранных труб)

3.8 Время пребывания парогазовой смеси в реакционном змеевике

3.9 Потери напора в реакционном (радиантном) змеевике печи

3.10 Размер камеры радиации

Список используемой литературы

1. Описание технологической схемы установки

Пиролиз нефтяного сырья - процесс деструктивного превращения углеводородов нефти при высоких температурах (обычно выше 650-700°C) в газообразные (пирогаз) и жидкие (смола пиролиза) продукты.

С 50-х гг. XX в. пиролиз - это основной промышленный процесс, обеспечивающий крупнотоннажное производство этилена, пропилена, а также других мономеров и полупродуктов для химической промышленности (бутенов, бутадиена, циклопентадиена, бензола, толуола, ксилолов и др.).

Основным промышленным сырьем для процесса пиролиза являются газы нефтепереработки, бензиновые и газойлевые фракции нефти. Сырьевая база пиролиза определяется обычно структурой потребления нефтепродуктов.

Выход целевых продуктов пиролиза существенно зависит от углеводородного состава подвергаемого деструкции сырья. При пиролизе газов нефтепереработки состава C2-C4 и нормальных парафинов, содержащихся в бензиновых фракциях, образуется главным образом пирогаз. Пиролиз высококипящих нефтяных фракций (например, газойля) приводит к образованию большого количества смолы пиролиза, содержащей ароматические углеводороды (бензол, толуол, ксилолы, нафталин и др.), а также олефины C5 и выше, в том числе и циклические (например, циклопентадиен).

Условия проведения и химизм процесса

В промышленных условиях пиролиз углеводородов осуществляют при температурах 800-900°С и при давлениях, близких к атмосферному (на входе в пирозмеевик - 0,3 МПа, на выходе - 0,1 МПа избыточных). Время пребывания сырья в пирозмеевике составляет 0,1-0,5 сек. Большинство исследователей придерживаются теории цепного свободно-радикального механизма разложения при пиролизе в вышеуказанных условиях. Условно все реакции при пиролизе можно разделить на первичные и вторичные. Первичные реакции протекают с увеличением объёма реакционной массы. Это, в основном, реакции расщепления парафинов и нафтеновых углеводородов с образованием углеводородов с меньшей молекулярной массой. Вторичные реакции протекают, преимущественно, на поздних стадиях пиролиза и протекают они с уменьшением объёма реакционной массы. Это, в основном, реакции образования ароматических, полиядерных ароматических углеводородов в результате реакции конденсации/поликонденсации термически стабильных ароматических углеводородов и в результате реакций типа Дильса-Альдера. Также к вторичным реакциям можно отнести реакции образования различных твёрдых углеродистых соединений, которые в промышленности принято называть коксом. Однако, ещё раз следует подчеркнуть, что такое деление реакций на первичные и вторичные условно.

Для снижения скоростей вторичных реакций пиролиза используют разбавление сырья пиролиза водяным паром. В результате парциальное давление углеводородов снижается и, согласно принципу Ле-Шателье, снижение давления в зоне реакции будет способствовать протеканию реакций, идущих с увеличением объёма, то есть - первичных. Для этана, бутана, прямогонного бензина соотношение пара к сырью обычно составляет 0,3:1,0; 0,4:1,0; 0,5:1,0 соответственно.

Конструкция печей

В промышленности распространение получили трубчатые реакторы пиролиза. Печи пиролиза состоят из двух отсеков - радиантной и конвекционной. Именно в радиантной секции находятся трубчатые реакторы пиролиза (пирозмеевики), обогреваемые теплом сгорания топливного газа на горелках этой секции. Следует отметить, что обогреваются пирозмеевики не пламенем горелок, а радиацией (в смысле просто излучения, а не гамма-излучения) тепла от внутренней кладки радиантной секции печи, по которому «размазывается» пламя горелок. В конвекционной части печи происходит предварительный нагрев сырья, водяного пара разбавления до температуры начала пиролиза (600-650°С) конвективным переносом тепла с дымовыми газами из радиантной секции. Для возможности более точной регулировки температуры в обеих секциях на выходе из печи установлен вытяжной вентилятор с шибером для регулирования скорости движения дымовых газов. Кроме нагрева сырья и пара разбавления, в конвекционной части происходит нагрев котловой питательной воды, которая используется для охлаждения продуктов пиролиза на выходе из печи - в закалочно-испарительных аппаратах. Полученный насыщенный пар используется для получения пара высокого давления, который в свою очередь используется для вращения паровой турбины компрессора пирогаза. В последних моделях печей пиролиза в конвекционную часть внесли модуль перегрева насыщенного пара до необходимой температуры (550°C). В итоге КПД использования тепла в последних моделях печей пиролиза составляет 91 - 93%.

2. Описание проектируемого аппарата

Теперь более подробно о трубчатых реакторах пиролиза - пирозмеевиках. Для повышения селективности процесса и выходов продуктов при пиролизе время пребывания сырья в реакционной зоне необходимо сокращать, а температуру повышать. По такому пути и развивалось изменение этих параметров на промышленных печах пиролиза. На данный момент время контакта на современных печах составляет порядка 0,2 сек., а температура пиролиза достигает 870-900°С. При этом, встает вопрос - как так быстро нагреть (0,2 сек.) паросырьевой поток от 600°C до температуры пиролиза. Необходимо учитывать предельно допустимую температуру современных хромникелевых сплавов, из которых изготавливаются змеевики, и резкое повышение коксообразования на стенках этих сплавов при повышении температур. Не увеличивая градиент температур между стенкой пирозмеевика и паросырьевым потоком, быстрый нагрев можно обеспечить увеличив удельную поверхность пирозмеевика, то есть поверхности на единицу объёма паросырьевого потока. Большинство фирм разработчиков печей пиролиза пошли по пути конструктивного выполнения пирозмеевиков ветвящимися с переменным диаметром труб. Так, если изначально пирозмеевики представляли собой длинную трубу постоянного диаметра, согнутой на равные части (в змеевик) для уменьшения конструкционных размеров печи, то теперь пирозмеевики изготавливаются из большого количества входных труб (10-20) малого диаметра, которые объединяются, и, в итоге, на выходе змеевик состоит из 1-2 трубы значительно большого диаметра. В таких пирозмеевиках достигается высокая теплонапряженность на начальном участке и низкая - на конце, где температура стенки играет высокую роль в процессе коксообразования.

Первоначально пирозмеевики в радиантной секции находились в горизонтальном положении, время контакта в таких печах составляло не меньше 1 сек, температура пиролиза - не выше 800°C. Переход с горизонтальных на вертикальные свободно висящие трубы радиантного пирозмеевика позволило использовать более жаропрочные, хрупкие материалы пирозмеевиков, что и привело к появлению печей с высокотемпературным режимом и с коротким временем пребывания потока в пирозмеевиках.

Рис. 1. Схема трубчатой печи радиантного типа

3. Технологический расчёт аппарата и обоснование основных размеров

.1 Исходные данные

Количество и состав исходного сырья (газа) и состав продуктов пиролиза (пирогаза) приведены в таблице 1.

Таблица 1

Компоненты

Состав, мол.%


сырье - пропановая фракция

пирогаз

Н2

1,2

11,2

СН4

4,5

37,2

С2Н2

-

0,3

С2Н4

5,1

29,3

С2Н6

17,2

8,2

С3Н6

11,5

7,1

С3Н8

54,2

3,8

С4

6,3

0,8

С5+

-

2,1

Сумма

100,0

100,0


Температура сырья на входе в печь Т1 =308°С; количество водяного пара, добавляемого к исходному сырью перед его подачей в печь Z=2300 кг/ч (23 масс. % на сырье); производительность печи G=10000 кг/ч.

Таблица 2

Состав топливного газа

Компонент

Количество, %об

СН4

99

С2Н6

0,2

С3Н8

0,1

н-С4Н10

0,2

CO2

0,1

N2

0,4

Плотность газа при н.у. ρ=0,715 кг/м3

Коэффициент избытка воздуха α=1,07

3.2 Расчет процесса горения

Определим низшую теплоту сгорания топлива (в кДж/м3) по формуле:

рн = 360,33∙СН4+ 590,4∙С2Н4 + 631,8∙С2Н6 + 868,8∙С3Н6 + 913,8∙С3Н8 +

,81∙изо-С4Н10 + 1195∙н-С4Н10 + 1146∙С4Н8 + 1460,22∙С5Н12 +

,2∙Н2

где СН4, С2Н4 и т.д. - содержание соответствующих компонентов в топливе, %об.

Получим:

рн =360,33*99+631,8*0,2+913,8*0,1+1195*0,2 = 36129,41 кДж/м3

Или

Qрн  кДж/кг - массовая теплота сгорания.

Пересчитаем состав топлива в массовые проценты и результаты сведем в таблицу 3.

Таблица 3

Компоненты

Молекулярная масса Мi

Мольная (объемная) доля, ri

Mi∙ri

%мас gi

CH4

16

0,99

18,840

97,68

C2H6

30

0,002

0,060

0,37

C3H8

44

0,001

0,044

0,27

н-C4H10

58

0,002

0,226

0,72

CO2

44

0,001

0,044

0,27

N2

28

0,004

0,112

0,69

Cумма

-

1,000

16,216

100,00


Определим элементарный состав топлива в массовых процентах. Содержание углерода в любом i-м компоненте топлива находим по соотношению:

Сi = ,

где ni - число атомов углерода в данном компоненте топлива.

Содержание углерода:


Содержание водорода:


где  - число атомов водорода в данном компоненте.

Содержание кислорода:

O =

где P - число атомов кислорода в молекуле CO2.

Содержание азота:

N =

Проверка:

С + H + O + N = 74

+24,67+0,2+0,69 = 100,00 масс. %

Определим теоретическое количество воздуха, необходимого для сжигания 1 кг газа, по формуле:

L0 =

Для печей с излучающими стенками коэффициент избытка воздуха α=1,03ч1,07. Принимаем α=1,07. Тогда действительное количество воздуха:

LД=α L0 = 1,07∙17,21=18,42 кг/кг

или

м3/кг

где ρв=1,293 кг/м3 - плотность воздуха при нормальных условиях (273 К и 0,1∙106 Па).

Определим количество продуктов сгорания, образующихся при сжигании 1 кг топлива:

 

 кг/кг

 кг/кг

=0,23L0(α - 1) = 0,23∙17,21∙(1,07-1) = 0,28 кг/кг

 = 0,77 L0 α+0,01N = 0,77∙17,21∙1,07 + 0,01∙0,69 = 14,19 кг/кг

Суммарное количество продуктов сгорания:

Σ mi = 2,73+2,22+0,28+14,19=19,42 кг/кг

Проверка:

Σ mi = 1+ αL0 = 1+1,07∙17,21=19,418 кг/кг

Содержанием влаги в воздухе пренебрегаем.

Найдем объемное количество продуктов сгорания (в м3) на 1 кг топлива (при нормальных условиях):

м3/кг

м3/кг

м3/кг

м3/кг

Суммарный объем продуктов сгорания:

Σ Vi = 1,39+2,76+0,19+11,35=15,70 м3/кг

Плотность продуктов сгорания при 273 К и 0,1∙106 Па:

ρ0 = = 3

Определим энтальпию продуктов сгорания на 1кг топлива при различных температурах по уравнению:

qT = (T - 273)( )

где Т - температура продуктов сгорания, К;

теплоемкости продуктов сгорания, определяемые из таблицы 4:

Таблица 4

Средние массовые теплоемкости газов при постоянном давлении

Компонент

300 К

500 К

700 К

1100 К

1500 К

1900 К

СО2

2,264

2,515

2,706

2,979

3,159

3,284

H2О

4,136

4,219

4,342

4,628

4,927

5,199

O2

0,254

0,26

0,268

0,288

0,298

0,299

N2

14,626

14,703

14,898

15,446

16,004

16,432


Найдем для примера величину q500:

q500 = (500 - 273)(2,73∙2,515 + 2,22∙4,219 + 0,28∙0,260 + 14,19∙14,703) =

,29 кДж/кг

Результаты расчетов занесены в таблицу 5.

Таблица 5

T, K

300

500

700

1100

1500

1900

qT, кДж/кг

574,57

4925,29

9485,84

19298,01

29917,16

41023,04


По данным таблицы строим график q - T

Рис.2. Энтальпия продуктов сгорания - температура.

3.3 Состав сырья и пирогаза

Для последующих расчетов необходимо иметь характеристики сырья и газа. Они рассчитаны и приведены в таблице 6 и 7.

Таблица 6

Сырье - пропановая фракция

Компоненты сырья

Н2

СН4

С2Н4

С2Н6

С3Н6

С3Н8

С4

Сумма

Молекулярная масса Мi

2

16

28

30

42

44

58

-

Плотность ρi, кг/м3

0,09

0,717

1,26

1,342

1,915

1,967

2,593

-

Мольная доля С'i

0,006

0,061

0,043

0,182

0,006

0,601

0,011

1

Мi∙С'i

0,012

0,976

1,204

5,46

4,032

26,446

0,638

38,766

Массовая доля, Сi=

0,000310

0,0252

0,0311

0,140845

0,104009

0,682144

0,01645

1,0000

Плотность сырья ρi∙С'i

0,0000279

0,01805

0,03913

0,18901

0,19918

1,34178

0,04267

1,8299

Gi=10000С'i кг/ч

3

252

311

1408

1040

6821

165

10000

G'i= Gi/Мi кмоль/ч

1,55

15,74

11

46,95

24,76

155,03

2,04

257,96


Из таблицы 6 имеем: молекулярная масса сырья Мс =31,19; плотность сырья ρс = 1,8299 кг/м3.

Таблица 7

Продукты пиролиза (пирогаз)

Компонент

Мольная доля, X'i %об

Mi

Плотность, кг/м3

Mi∙X'i

Масс. доля

% мас

Xi, кг/м3

gi, кг/ч

g'i, кмоль/ч

Всего продуктов пиролиза, кмоль/кмоль сырья

Н2

15

2

0,09

0,3

0,0127

0,001

127,09

63,54

0,2463

СН4

29,9

16

0,717

4,784

0,2027

20,27

0,145

2026,60

126,66

0,4910

С2Н2

0,7

26

1,162

0,182

0,0077

0,77

0,009

77,10

2,97

0,0115

С2Н4

29,4

28

1,26

8,232

0,3487

34,87

0,439

3487,25

124,54

0,4828

С2Н6

9,7

30

1,34

2,91

0,1233

12,33

0,165

1232,74

41,09

0,1593

С3Н6

8,9

42

1,915

3,738

0,1583

15,83

0,303

1583,50

37,70

0,1462

С3Н8

3,9

44

1,967

1,716

0,0727

7,27

0,143

726,93

16,52

0,0640

С4

0,4

58

2,593

0,232

0,0098

0,98

0,025

98,28

1,69

0,0066

С5+

2,1

72

3,22

1,512

0,0641

6,41

0,206

640,52

8,90

0,0345

100

-

-

23,606

1,000

100,000

1,438

10000,000

423,62

1,6422


Из таблицы 7:молекулярная масса пирогаза Мх = 23,606; плотность пирогаза ρх = 1,438 кг/м3.

Согласно заданию, пиролиз сырья осуществляется с добавкой 23 масс. % или 2300 кг/ч водяного пара. В таблице 9 дается состав парогазовой смеси при входе ее в змеевик печи (сырье и водяной пар) и на выходе из змеевика (пирогаз и водяной пар).

По данным таблицы 9 найдем:

молекулярная масса парогазовой смеси при входе в змеевик печи

Мвх =

молекулярная масса парогазовой смеси на выходе из змеевика печи

Мвых =

пиролиз трубчатый реактор змеевик

3.4 Конечная температура реакции

Конечную температуру реакции, или температуру пирогаза на выходе из змеевика печи, найдем по формуле линейной интерполяции:

Т=Т2 x2 + T3x3’ + T3x3 + T4x4

где Т2, T3 и T4 - конечная температура реакции при пиролизе углеводородов

С2Н6, С3Н6, С3Н8 и С4Н10 в чистом виде, К; x2 ,x3’ , x3 и x4 - содержание углеводородов С2Н6, С3Н6, С3Н8 и С4Н10 в сырье в расчете только на их смесь, масс. доли.

Конечная температура процесса связана с оптимальным временем контакта формулами Шмидта[2. с. 41,43]:

при пиролизе этана без выделения углерода


при пиролизе пропилена, пропана и бутана без выделения углерода


где  и  - оптимальное время контакта, с.

Пиролизу подвергается смесь углеводородов, поэтому общее время τобщ пребывания газовой смеси в зоне реакции для всех углеводородов будет одинаковым. Общее время пребывания газовой смеси в зоне реакции связано с оптимальным временем [2, c.58]:

Сведения о величине общего времени  пребывания газов в змеевиках трубчатых печей пиролиза приведены в таблице 3.5.[1,с.206]. Сырье обогащено пропаном, поэтому примем по данным табл.3.5. величину общего времени пребывания 0,7 с. Приняв кратность превышения общего времени  над оптимальным временем  равной 2,1, найдем:


Используя величину =0,54 с в формулах Шмидта


найдем, что

Расчет содержания углеводородов С2Н6, С3Н6, С3Н8 и С4Н10 в их смеси в сырье сделан в таблице 8.

Таблица 8

Компоненты

Количество Gi, кг/ч

Массовая доля xi =

С2Н6

1408

0,1493

С3Н6

1040

0,1102

С3Н8

6821

0,7230

С4

165

0,0174

Сумма

9435

1,0000


Подставив числовые значения величин в формулу для определения конечной температуры пирогаза на выходе из змеевика печи, получим:

T=1098*0,493+1032*0,1102+1032*0,7230+1032*0,0174 = 1042 К

Таблица 9

Компонент

Парогазовая смесь на входе в печь

Парогазовая смесь на выходе из печи


Количество

Доля

Количество

Доля


кг/ч

кмоль/ч

массовая

мольная

Молек. масса

кг/ч

кмоль/ч

массовая

мольная

Молек. масса

Н2

3,10

1,55

0,0003

0,0040

2

127,09

63,54

0,0103

0,1152

2

СН4

251,77

15,74

0,0205

0,0408

16

2026,60

126,66

0,1648

0,2297

16

С2Н4

310,58

11,09

0,0253

0,0288

28

3487,25

124,54

0,2835

0,2259

28

С2Н6

1408,45

46,96

0,1145

0,1217

30

1232,74

41,09

0,1002

0,0745

30

С3Н6

1040,09

24,76

0,0846

0,0642

42

1583,50

37,70

0,1287

0,0684

42

С3Н8

6821,44

155,03

0,5546

0,4019

44

726,93

16,52

0,0591

0,0300

44

С4

164,58

2,84

0,0134

0,0074

58

98,28

1,69

0,0080

0,0031

58

Н2О

2300

127,78

0,1870

0,3313

18

2300,00

127,78

0,1870

0,2317

18

С2Н2

-

-

-

-

26

77,10

2,97

0,0063

0,0054

26

С5

-

-

-

-

72

640,52

8,90

0,0521

0,0161

72

Сумма

12300,00

385,74

1,0000

1,0000

-

12300,00

551,40

1,0000

1,0000

-


Таблица 10

Комп.

Т1 = 308

Тн = 873

Т = 1042


мас. доля

qi, кДж/кг

qi*Xi

мас. доля

qi, кДж/кг

qi*Xi

мас. доля

qi, кДж/кг

qi*Xi

H2

0,0003

502,00

0,1263

0,0003

8750,00

2,202

0,0103

11650,00

120,370

CH4

0,0205

80,40

1,6457

0,0205

1897,00

38,829

0,1648

2743,00

451,949

C2H4

0,0253

57,40

1,4494

0,0253

1452,00

36,664

0,2835

2080,00

589,714

C2H6

0,1145

64,50

7,3858

0,1145

1690,00

193,519

0,1002

2453,00

245,846

C3H6

0,0846

57,00

4,8199

0,0846

122,696

0,1287

2092,00

269,323

C3H8

0,5546

62,80

34,8282

0,5546

1658,00

919,508

0,0591

2400,00

141,841

C4

0,0134

62,00

0,8296

0,0134

1647,00

22,037

0,0080

2370,00

18,937

H2O

0,1870

65,80

12,3041

0,1870

1206,00

225,512

0,1870

1640,00

306,667

C5

0,0000

62,00

0,0000

0,0000

1638,00

0,000

0,0521

2353,00

122,531

C2H2

0,0000

62,00

0,0000

0,0000

1283,00

0,000

0,0063

1764,00

11,057

Cумма

1,0000


63,389

1,0000


1560,968

1,0000


2278,235



3.5 Тепловая нагрузка печи, ее к.п.д. и расход топлива

Полезное тепло печи равно:

Qполезн = Q1 + Qp

где Q1 - расход тепла на нагревание смеси газов в реакционном змеевике, кВт; Qp - расход тепла на реакцию, кВт.

Температура сырья перед реакционным змеевиком должна быть ниже той, при которой начинается реакция пиролиза [2, с. 35]. Согласно литературным данным, некаталитическое превращение пропилена в этилен начинается при 883 К [4, с.18], а пропана в этилен - при 923 К [2,с.43]. Поэтому в нашем расчете примем температуру входа сырья в реакционный змеевик Тн = 873К.

Количество тепла, затрачиваемого на нагревание парогазовой смеси (сырье и водяной пар) от Т1 = 308 К до Тн = 873К, найдем по формуле:

Q1 = (G + Z)(q873 - q308)

где G=ΣGi = 10000 кг/ч - количество сырья; Z=2300 кг/ч - количество водяного пара; q873 ,q308 - энтальпии парогазовой смеси соответственно при Тн = 873К и Т1 = 308 К, кДж/кг.

Результаты расчета энтальпий сведены в таблицу 10, из которой следует, что q873 = 1560,968 кДж/кг и q308 = 63,389 кДж/кг.

Ввиду небольшого давления в змеевике печи его влияние на этальпию не учитывается.

Получим:

Q1 = (10000+2300)(1560,968-63,389) = 18420224,23 кДж/ч = 5116,7 кВт.

Тепло Q1 вычислено с некоторым избытком, так как начальная температура перегретого водяного пара, подаваемого в змеевик печи, значительно выше начальной температуры (Т1=308 К) сырья.

Расход тепла на реакцию и нагревание в реакционном змеевике, или количество радиантного тепла печи, определим по формуле:

Qp = Qп + Q2

где Qп - расход тепла на реакцию пиролиза, кВт; Q2 - расход тепла на нагревание парогазовой смеси от Тн = 873 К (сырье и водяной пар) до Т = 1061К (пирогаз и водяной пар), кВт.

Расход тепла на реакцию пиролиза:

Qп = ΔH ΣG’i

где ΔH - тепловой эффект реакции, кДж/кмоль сырья; Σ G’i=257,96 кмоль/ч - часовое количество молей сырья.

Тепловой эффект реакции найдем по уравнению:

ΔH = H2 - H1

где H1 и H2 - соответственно теплоты образования исходного сырья и пирогаза, кДж/моль.

Теплоты образования H1 и H2 можно определить путем суммирования парциальных теплот образования компонентов соответственно сырья и пирогаза при конечной температуре Т реакции.

При температуре Т = 1061К теплоты образования компонентов сырья и пирогаза и расчет значений H1 и H2 приведены в таблице 11.

Таблица 11

Компонент

Теплота образования ΔHf, кДж/моль

Сырье

Пирогаз



мол. доля

Xi'∙ΔHf

C'i выход, кмоль/кмоль сырья

C'i∙ΔHf

H2

0

0,006

0,00

0,2463

0,00

CH4

-90280

0,061

-5507,08

0,4910

-44329,35

C2H2

223000

0

0,00

0,0115

2563,49

C2H4

38080

0,043

1637,44

0,4828

18385,39

C2H6

-106500

0,182

-19383,00

0,1593

-16964,85

C3H6

-428

0,096

-41,09

0,1462

-62,56

C3H8

-130000

0,601

-78130,00

0,0640

-8326,00

C4

-156600

0,011

-1722,60

0,0066

-1028,68

C5

-181300

0,000

0,00

0,0345

-6252,38

Сумма

-

1,000

-103146,33

1,6422

-56014,94




Н1


Н2


Теплота реакции:

ΔH = H2 - H1 = -56014,94 - (-103146,33) = 47131,39 кДж/моль сырья

Расход тепла на реакцию пиролиза:

Qп = ΔH G’i =47131,39*257,96 = 12157919,96 кДж/ч = 3377,20 кВт

Количество тепла, которое затрачивается на нагревание парогазовой смеси от от Тн = 873 К (сырье и водяной пар) до Т = 1061 К (пирогаз и водяной пар):

Q2 = (G + Z)(q1061 - q873) = (10000+2300)(2278,235 - 1560,968) =

= 8822376,174 кДж/ч = 2450,7 кВт

Величина q1061 = 2278,235 кДж/кг взята из табл. 10.

Подставляя числовые значения величин в формулу для расчета количества радиантного тепла печи, получим:

Qp = 3377,20+2450,7 = 5827,9 кВт

Полезное тепло печи:

Qполезн = 5116,7+5827,9 = 10944,6 кВт

Потери тепла печью в окружающую среду q1 примем равными 7% от рабочей теплоты сгорания топлива Qрн, в том числе, в камере радиации 5 %, в камере конвекции 2%.

Примем температуру уходящих из печи дымовых газов Тух = 673 К (с последующим их охлаждением в котле-утилизаторе). Тогда по графику q - Т (рис.2) найдем их энтальпию: q2 = 9100 кДж/кг.

Теперь найдем к.п.д. печи:


Расход топлива:

B = = кг/ч

3.6 Определение температуры дымовых газов, покидающих радиантную камеру

Из уравнения теплового баланса топки:

Qp = B ( - )

где  - к.п.д. топки, равный  = 1 - 0,05= 0,95) найдем энтальпию уходящих из нее дымовых газов:

 27826 кДж/кг

По графику q - Т этой энтальпии на рис.2 соответствует температура Tп = 1421 К.

3.7 Поверхность нагрева реакционного змеевика (экранных труб)

Определим поверхность нагрева реакционного змеевика по формуле:


где  - средняя теплонапряженность поверхности нагрева экранных труб. кВт/м2.

Величина средней теплонапряженности поверхности экранных реакционных труб в печах современных конструкций принимается равной 34,7 - 37,2 кВт/м2 .

Считая, что  = 34,2 кВт/м2 , получим:

 м2

Принимая диаметр труб dн = 0,10 м и толщину стенок 0,008 м, находим общую рабочую длину труб:

Lp = = м

Число параллельных потоков m сырья в печи не рекомендуется принимать больше 3. Для проектируемой печи принято m=3. Рабочая длина труб в одном потоке:

L’p = =

Выбираем рабочую длину одной трубы lт = 13,5 м. тогда число труб в одном потоке реакционного змеевика составит:

N’p = =

При полной длине одной трубы l’т = 13 м общая длина труб в одном потоке:

L’’p = N’p l’т=1315=195 м.

3.8 Время пребывания парогазовой смеси в реакционном змеевике

Определим время пребывания смеси в реакционном змеевике по уравнению:

 

Где  - средняя линейная скорость газа в реакционном змеевике, м/с.

Для определения величины сделаем предварительные вычисления.

Массовая скорость парогазовой смеси в реакционном змеевике:

кг/(м2с)

На основании литературных данных [2, с.57] перепад давления ΔPp в реакционном (радиантном) змеевике равен 245000-343000 Па.

Давление Pк на выходе из реактора в большинстве случаев равно 127000-196000 Па.

Примем ΔPp = 343000 Па и Pк = 179000 Па. Тогда давление в начале змеевика будет равно:

Pн = Pк + ΔPp = 179000+343000=522000 Па.

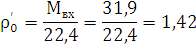
Плотность парогазовой смеси в начале реакционного змеевика:

а) при нормальных условиях


где  - средняя молекулярная масса парогазовой смеси на входе в змеевик печи (в начале реакционного змеевика она будет такой же, поскольку реакция пиролиза еще не началась).

б) при


Плотность парогазовой смеси в конце реакционного змеевика:

а) при нормальных условиях


где  - средняя молекулярная масса парогазовой смеси на выходе из реакционного змеевика.

б) при


Средняя плотность смеси в реакционном змеевике:


Линейная скорость парогазовой смеси:

а) в начале реакционного змеевика


б) в конце реакционного змеевика


в) средняя скорость


Подставив в формулу числовые значения величин, получим:


Полученная величина не превышает ранее принятого значения , поэтому пересчета не делаем.

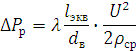
3.9 Потери напора в реакционном (радиантном) змеевике печи

Выше была принята величина потерь напора в реакционном змеевике печи  Па. Проверим правильность принятия величины , вычислив ее значение по формуле:


где λ - коэффициент гидравлического сопротивления; - эквивалентная длина труб одного потока радиантного змеевика, м.

Для определения величины коэффициента гидравлического сопротивления подсчитаем числовое значение критерия Рейнольдса:


где  - кинетическая вязкость парогазовой смеси в реакционном змеевике, .

Предварительно определим необходимые для расчета  среднюю температуру парогазовой смеси в реакционном змеевике:


и среднюю молекулярную массу смеси углеводородных газов:

Кинематическая вязкость газов и водяного пара при 967 К:


Среднее содержание водяного пара в парогазовой смеси:


Тогда кинематическая вязкость парогазовой смеси в реакционном змеевике:


Критерий Рейнольдса:


При  и относительной шероховатости , коэффициент гидравлического сопротивления .

Определим эквивалентную длину труб одного потока радиантного змеевика:


где ψ- коэффициент, зависящий от типа соединения труб. Принимаем . Тогда


Подставив в формулу числовые значения величин, получим:


Полученная величина  мало отличается от ранее принятой величины , поэтому повторного расчета не делаем.

3.10 Размер камеры радиации

Выбранные трубы диаметром 1008 мм с полезной длиной  (полная длина трубы с учетом заделки концов в трубные двойники равна 13 м).

Число радиантных труб:


Принимаем печь беспламенного горения с двухрядным экраном двухстороннего облучения, с горизонтальным шахматным расположением труб и одной верхней конвекционной секцией.

Принимаем шаг размещения экранных труб . Тогда расстояние между вертикальными рядами радиантных труб:


Расстояние от излучающих стен до трубного экрана должно быть от 0,6 до 1,0 м. Принимает это расстояние . В каждом вертикальном ряду экрана размещено по 18 труб. Тогда высота радиантной камеры составит:


где  - число труб в одном вертикальном ряду;  - расстояние от нижней и верхней труб вертикального ряда соответственно до пола и потолка печи.

Подставив числовые значения величин, получим:


Ширина радиантной камеры печи:


Объем камеры радиации:


Теплонапряжение топочного объема печи:


Для обеспечения равномерного обогрева каждой трубы экрана по окружности и по длине принимаем для проектируемой печи газовые горелки ВНИИНефтемаша типа ГБП2а теплопроизводительностью .

Количество горелок:


Принимаем для каждой из двух излучающих стен топки по 98 горелок: 11 горелок по длине излучающей стены и 7 горелок по высоте.

Так как размер горелки 0,50,5 м, то площадь каждой излучающей стены печи:


а двух стен



Список используемой литературы

1. Кузнецов А.А., Кагерманов С.М., Судаков Е.Н. Расчеты процессов и аппаратов нефтеперерабатывающей промышленности. Изд. 2 -е, пер. и доп. Л., «Химия», 1974 - стр.199-213, 159-162.

2.       Клименко А.П. Получение этилена из нефти и газа, М., «Высшая школа», 1962 - стр.51,63.

.        Масальский К.Е., Годик В.М. Пиролизные установки. М., «Химия», 1968 - стр.90.

Похожие работы на - Технологический расчет реакционного змеевика трубчатой печи радиантного типа

 

Не нашли материал для своей работы?
Поможем написать уникальную работу
Без плагиата!
Без нейросетей!