Моделирование БИХ-фильтра
Министерство
образования и науки
Евразийский
национальный университет им.Л.Н.Гумилева
Физико-технический
факультет
Кафедра
радиотехники, электроники и телекоммуникации
КОНТРОЛЬНАЯ
РАБОТА
Тема:
«Моделирование БИХ-фильтра»
Проверила: Қабылбекова У.
М,
доцент, к.т.н
Выполнила: Токтагулова Д.С,
группа РЭТ-45
Астана,
2012г
Проектирование цифровых (БИХ)
фильтров
Цифровые системы - это системы с цифровыми
сигналами на входе и выходе. Их ядром обычно является ЦВМ. Человечество создало
мало объектов, имеющих цифровую природу, поэтому общий термин цифровая система
применяется редко. Гораздо чаще встречаются термины цифровой фильтр или система
цифрового управления, которые ярко отражают основную область применения этих
систем. Нередко систему цифрового управления, так же называют цифровым
фильтром. Итак, цифровой фильтр - это дискретно-временная система, выходной,
сигнал которой является модифицированной версией входного сигнала.
Фильтры являются основой для большинства
приложений обработки сигналов. Типичное назначение - это извлечение или вырезка
области спектра входного сигнала или определенной частоты. Используемые для
кондиционирования сигналов фильтры нередко называются частотно-селектирующими,
поскольку обычно разрабатываются на основе требований к частотной
характеристике.
Понятие о разностном уравнении (РУ)
цифровой фильтр сигнал импульсный
Цифровые фильтры, в силу дискретной природы ЦВМ,
принимаются сигналы к обработке только в дискретные моменты времени. Информация
о промежуточных значениях сигнала теряется. Таким образом, обрабатываемая
цифровым фильтром входная непрерывная функция становится решетчатой.
Аналогом первой производной для решетчатой
функции является обратная разность:
С f[n] = f[n] - f[n-1]
Аналогов второй - вторая обратная разность:
Аналогом ДУ для цифрового фильтра является
уравнение в конечных разностях или разностное уравнение (РУ). Как и непрерывные
системы, цифровые фильтры могут быть описаны совокупностью РУ, или одним,
решенным относительно требуемой координаты. В общем случае, цифровой фильтр
имеющий один вход и один выход описывается РУ:
(1)
где у(к) - отсчеты на выходе
фильтра, х(к) - входные отсчеты, bm
и am
- коэффициенты числителя и знаменателя передаточной характеристики фильтра
соответственно. Также мы говорили о том, что если все коэффициенты am
кроме a0
равны нулю, то такой фильтр называется КИХ-фильтром, а если хотя бы один
коэффициент am
помимо a0
отличен от нуля, то такой фильтр называется БИХ-фильтр.
Основные обозначения
Согласно выражению (1), сигнал на выходе фильтра
зависит от задержанного входного сигнала, а также от предыдущих отсчетов на
выходе, поэтому для реализации фильтра нам потребуются линии задержки.
Вспомним, что согласно z-преобразованию,
задержка на один отсчет соответствует умножению образа на z-1.
Также нам потребуются умножители на постоянные коэффициенты am
и bm и сумматоры. На
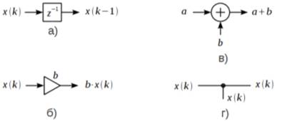
рисунке 1 показаны обозначения основных блоков для построения цифрового
фильтра.
Рисунок 1: Обозначения блоков цифрового фильтра
На рисунке 1 а) обозначена линия задержки, 1 б)
умножитель на константу, 1 в) сумматор и 1 г) разветвление.
Фильтр с бесконечной импульсной
характеристикой
Фильтр с бесконечной импульсной
характеристикой
(Рекурсивный фильтр, БИХ-фильтр) или IIR-фильтр (IIR сокр. от
infinite impulse response - бесконечная импульсная характеристика) - линейный
электронный фильтр
<#"580440.files/image003.gif">
где
порядок входного сигнала,
-
коэффициенты входного сигнала,
- порядок обратной связи,
-
коэффициенты обратной связи,
- входной, а
- выходной
сигналы. Более компактная запись разностного уравнения:
Для того, чтобы найти ядро фильтра,
положим
где
- дельта-функция
<#"580440.files/image013.gif">
Z-преобразование импульсной
переходной функции даёт передаточную функцию БИХ-фильтра:
Устойчивость
Об устойчивости фильтра с
бесконечной импульсной характеристикой судят по его передаточной функции. Для
дискретного фильтра необходимо и достаточно, чтобы все полюса его передаточной
функции по модулю были меньше единицы (т.е. лежали внутри единичного круга на
z-плоскости <#"580440.files/image015.gif">
то соотношение между входом и
выходом такой системы должно удовлетворять разностному уравнению:
Это уравнение может быть записано
непосредственно из выражения для передаточной функции, таким образом форму
построения цепи, соответствующей этому уравнению, называют прямой формой 1.
<#"580440.files/image018.gif">
которая и реализована структурой,
показанной на рисунке.
В дискретных системах с постоянными
параметрами соотношение между входом и выходом не зависит от порядка каскадного
соединения блоков. Из этого свойства вытекает вторая прямая форма построения
БИХ-фильтра. Если сначала реализовать полюсы H(z) соответствующие правой части
структурной схемы верхнего рисунка, которая имеет передаточную функцию 1/A(z),
а после - нули передаточной функцией B(z), то получим структуру, показанную на
рисунке 2, которая соответствует системе уравнений:
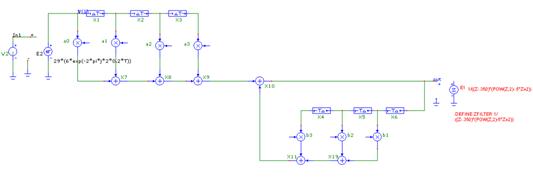
Моделирование БИХ-фильтра
Рис 1. Схема БИХ-фильтра
Рис 2. Установка анализа
переходных процессов
Рис 3. Анализ переходных
процессов
Рис 4. Схема Z
-
фильтра
Рис 6. Анализ
переходных процессов БИХ-фильтра
Рис 5. Анализ
переходных процессов БИХ-фильтра
Рис 6. Анализ
переходных процессов БИХ-фильтра
Определение реальной и мнимой
части передаточной функции фильтра
Математический расчет
Значения реальной и мнимой частей
комплексного коэффициента передачи:
|
f
|
1000
|
4000
|
7000
|
10000
|
13000
|
16000
|
19000
|
20000
|
|
Re
|
1,0002000400
|
1,0002000400
|
1,0002000400
|
1,0002000400
|
1,0002000400
|
1,0002000400
|
1,0002000400
|
|
Jm
|
0,0000031854
|
0,0000007963
|
0,0000004551
|
0,0000003185
|
0,0000002450
|
0,0000001991
|
0,0000001677
|
0,0000001593
|
