Антенная система базовой станции третьего поколения

  • Вид работы:
    Курсовая работа (т)
  • Предмет:
    Информатика, ВТ, телекоммуникации
  • Язык:
    Русский
    ,
    Формат файла:
    MS Word
    418,4 Кб
  • Опубликовано:
    2013-01-01
Вы можете узнать стоимость помощи в написании студенческой работы.
Помощь в написании работы, которую точно примут!

Антенная система базовой станции третьего поколения

Реферат

Записка содержит страниц рукописного текста шрифтом TimesNewRoman№ 14 через 1,5 интервала, 11 рисунков, 4 наименования источников информации.

В работе были использованы пакеты программ HFSSAnsoft, MathCAD.

В работе произведен анализ технического задания и согласно требованиям разработано антенное устройство. В результате анализа возможных решений выбраны необходимые геометрические размеры, а так же произведен расчет электрических характеристик.

Антенная система базовой станции сети третьего поколения содержит вертикальную антенную решетку из пяти излучателей Вивальди, систему возбуждения излучателей на трех частотах, систему цифрового управления ДН.

Содержание

1.Краткое описание и область применения устройства

.Общие сведения о расчете излучателя и его параметрах

.1 Расчет диаграммы направленности антенны и оптимизация параметров излучателя при помощи HFSS

2.2 Расчет диаграммы направленности приближенным методом

.3 Синтез антенной системы

. Система возбуждения излучателей

Заключение

Список использованных источников

1.Краткое описание и область применения устройства

В настоящее время появилось большое количество различных систем подвижной связи: сотовые системы для автомобилистов, системы персонального вызова, системы бесшнурового телефона для локального использования. Необходимость существенного расширения функциональных возможностей систем подвижной связи диктует требования к характеристикам антенн. Этим и обусловлен поиск путей создания антенных систем базовых станций сотовой связи, отвечающим требованиям стандарта 3G. Все это стимулирует появление на рынке серии антенн базовых станций сотовой связи с различными характеристиками. Разные условия распространения радиоволн в городе и сельской местности, рельефы местности и трафики загрузки, плотность размещения базовых станций и дальность действия одной соты - все эти факторы отражаются на характеристиках антенн: характеристиках направленности, поляризационных характеристиках, необходимом усилении и массогабаритных характеристиках. Обеспечение надежности сотовой связи, устранение всякого рода помех, искажений, явлений эха и т.д., требует соответствующих изменений в характеристиках антенн базовых станций.

Основным элементом антенной системы базовой станции является излучатель Вивальди, построенный на основе расширяющейся щелевой линии, представляющий собой диэлектрическую подложку покрытую металлической фольгой (рисунок 1).

Рисунок 1. Излучатель Вивальди.

Для регулировки ширины диаграммы направленности в плоскости Н (в горизонтальной плоскости) в конструкции антенны может быть применен экран. Общий вид антенны с экраном показан на рисунке 2.

Рисунок 2. Общий вид излучателя Вивальди с экраном.

Возбуждение излучателя осуществляется с помощью полосковой линии из идеального проводника, нанесенного на диэлектрическую подложку

2. Общие сведения о расчете излучателя и его параметрах

Обслуживание антенными системами третьего поколения ведутся в трех частотных диапазонах (824-960 МГц,1880-1930 МГц, 1920-2170 МГц). Антенна должна иметь коаксиальный выход с волновым сопротивлением 50 Ом при коэффициенте стоячей волны не хуже 1,5.

Излучатель антенной системы базовой станции является важнейшим её элементом, определяющим характеристики системы в целом. Он должен удовлетворять следующим основным требованиям:

.        Иметь диаграмму направленности необходимой ширины в горизонтальной плоскости, обеспечивающую надлежащее покрытие зоны облучения минимальный уровень боковых лепестков.

.        Иметь минимальные размеры.

.        Иметь требуемую диапазонность.

.        Иметь небольшой вес и достаточную механическую прочность креплений.

Исходя из этих требований, будем определять конструкцию облучателя. Требование 4 мы уже выполнили, выбрав излучатель Вивальди.

Обслуживание антенными системами третьего поколения ведутся в трех частотных диапазонах (824-960 МГц,1880-1930 МГц, 1920-2170 МГц). Ширина диаграммы направленности в горизонтальной плоскости составляет 600, во всех трех частотных диапазонах.

Длина антенны L выбирается из условия, что , где λ - длинна волны. Изменяющаяся часть раскрыва является дугой окружности радиуса R=150 (мм).

.1 Расчет диаграммы направленности антенны при помощи HFSS

Для широкополосных антенных и волноводных устройств с преимущественно трехмерными сложными конструкциями, целесообразно специальные программыдляих электродинамического моделирования. В данной работе была использована программа HFSSAnsoft.

Электродинамическое моделирование в HFSSосновано на использовании метода конечных элементов. Решение граничной задачи ищется в частотной области.

Проведенный процесс проектирования с помощью HFSSвключил в себя следующие шаги:

.        Создание модели анализируемой структуры, в том числе:

создание трехмерной графической модели структуры (рисунок 3);

Задание параметров материалов из которых состоит структура.

2.       Определение электродинамических параметров структуры, включающее:

задание граничных условий на поверхностях, формирующих анализируемый объект;

определение и калибровка портов;

задание параметров решения.

.        Электродинамический анализ исследуемого объекта, в том числе:

анализ объекта в полосе частот;

параметрический анализ объекта;

параметрическая оптимизация объекта.

.        Визуализация результатов электродинамического анализа.

Рисунок 3. Трехмерная графическая модель анализируемой структуры в среде HFSS.

Проведя параметрическую оптимизацию излучателя и экрана, получим их размеры, приведенные в таблице 1. Изображение излучателя приведено на рисунке 4.

Рисунок 4. Схематичное изображение излучателя и экраны на основе симметричной щелевой линии.

излучатель антенный частота управление

Таблица 1.

Параметр

AАl

АА2

ИВ

СС

ДL

РН

RRx

фa

b

cc

Величина (мм)

115

118

33

1156

1100

1150

1138

2132

236


Согласование антенны с питающей полосковой линией в трех диапазонах частот определяется зависимость коэффициента стоячей волны по напряжению на входе антенны от частоты. Зависимость приведена на рисунке 5.

Рисунок 5. Зависимость коэффициента стоячей волны по напряжению от частоты.

На рисунке 6 приведена диаграмма направленности в H-плоскости для излучателя Вивальди с экраном, после выполнения параметрической оптимизации.

0,7=93,20                                          0,7=90,40

УБЛ=-11.9 (дБ) УБЛ=-9,2 (дБ)

а) б)

ϴ0,7=92,10

УБЛ=-13,6 (дБ)

в)

Рисунок 6. Диаграмма направленности излучателя с экраном в H-плоскости на частотах: а) f=0,9 (ГГц), б) 1,8 (ГГц), в) 2,1 (ГГц).

Исходя из полученных диаграмм направленности, можно сделать вывод, что четыре такие антенны позволят перекрыть зону обслуживания базовой антенной станции.

.2 Расчет диаграммы направленности приближенным методом

Построение строгих электродинамических моделей антенн, подобных исследуемой в общем случае является сложной задачей. Однако, если положить, что в направляющей структуре распространяется только один тип волны, что справедливо для неизменяющегося поперечного сечения щели, то в этом случае можно использовать подход для расчета параметров симметричной щелевой линии. В данном случае изменение поперечного сечения антенны является главным, поэтому была произведена его регуляризация для конечного числа участков , что позволило применить для них известные модельные представления и по их суммарному вкладу рассчитать диаграмму направленности всей антенны.

Направляющая структура антенны, состоящая из участков регулярных щелевых антенн с постоянной шириной раскрыва приведена на рисунке 7. Для такой ступенчатой аппроксимации нерегулярной структуры предполагается, что шаг увеличения ширины щели много меньше четверти длины волны излучения:

,

Где  - ширина щели n-го регулярного участка направляющей структуры антенны, λ0 - длина волны электромагнитных колебаний на входе антенны.

При исследовании данной антенны длина регулярных участков была принята равной .

Рисунок 7. Аппроксимация расширяющейся направляющей структуры антенны регулярными участками.

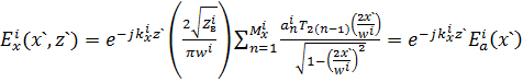
Поперечная компонента электромагнитного поля для i-го регулярного участка антенны будет определяться следующим выражением:

,

где.

Здесь x`, z` - текущие координаты поля,w-ширина щели соответствующего участка антенны; - волновой вектор вдоль оси x;-амплитуды базисных функций для соответствующих участков антенны; T-полином Чебышева; М - количество гармоник для полинома Чебышева.

Результирующее поле в дальней зоне будет определяться суммарным вкладом в излучение , вносимым каждым регулярным участком:

,

где, -вклад n-го регулярного участка направляющей структуры антенны в поле дальней зоны.

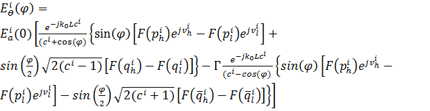
Расчетный формулы для нахождения электрической составляющей напряженности магнитного поля в H- и Е-плоскостях в данном случае будут иметь вид соотвественно:

;

 ,

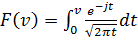
где Г - гамма функция, и верхняя и нижняя координаты i-го участка; F(*) -интеграл Френеля, определяемый соотношением:

,

первый множитель, определяемый выражением:

,

где  - функция Бесселя.

Остальные компоненты определяются выражениями:

;

;

;

;

;


где λ` - длина волны в пределах соответствующего регулярного участка антенны.

Рассчитанная по выше приведенной формуле диаграмма направленности в E-плоскости приведена на рисунке 8.

Рисунок 8. Диаграммы направленности рассчитанные:

приближенным методом, в HFSSAnsoft.

Расчет производился для одиночного излучателя без отражателя.

График показывает хорошее совпадение теоретического расчета и компьютерного моделирования.

.3 Синтез антенной системы

Решение задачи синтеза антенной системы состоит в определении координат размещения элементов, а та же амплитуд фаз и токов(полей) возбуждения элементов, формирующих заданное распределение поля излучения системы в дальней зоне.

Рассмотрим метод парциальных диаграмм для синтеза диаграммы направленности антенной решетки, состоящей из 5 элементов.

Возбуждение излучателей будем считать синфазным. Тогда для амплитудной диаграммы направленности (рисунок 9) можно записать выражение:

,

где - диаграмма направленности составляющего излучателя, N-количество элементов в решетке, d - расстояние между соседними элементами.

Рисунок 9. Диаграмма направленности пятиэлементной решетки.

.4 Система возбуждения излучателей

Система возбуждения одного излучателя на трех частотах с использованием разделительных фильтров представлена на рисунке 10. Питание излучателя осуществляется при помощи коаксиального кабеля или при помощи ветвящейся схемы из полосковых линий.

Рисунок 10. Система возбуждения одного излучателя на трех частотах с использованием разделительных фильтров.

На рисунке 11 приведена схема возбуждения вертикальной решетки из излучателей Вивальди для формирования управляемой вертикальной диаграммы направленности на трех частотах. Такая схема позволят построить фазируемую антенную решетку, а так же адаптивную антенную систему с цифровыми методами управления диаграммой направленности.

Рисунок 11. Схема возбуждения вертикальной решетки излучателей Вивальди.

Заключение

Рассмотрен приближенный метод расчета широкополосных излучателей, обеспечивающий допустимое изменение ширины диаграммы направленности в горизонтальной плоскости.

Разработана электродинамическая модель широкополосного излучателя. Получены частотные характеристики и характеристики направленности излучателя в трех частотных диапазонах.

Проведено сравнение результатов метода расчета приближенным методом и при помощи компьютерной модели.

Показан метод синтеза линейной антенной решетки и приведена диаграмма направленности для пятиэлементной решетки, на основе излучателя Вивальди.

Список использованных источников

1.       Тей За У Антенные системы базовых станций сотовой связи третьего поколения. -МАИ, 2009.- 108с.

.        А.А. Фролов, С.В. Гирич Моделирование характеристик антенн СВЧ-диапазона. - Известия Волгоградского Государственного Технического Университета, 4 выпуск, 2008. - 124с.

.        Банков С.Е., Курушин А.А. Проектирование СВЧ устройств и антенн с AnsoftHFSS.-М.: 2009. - 736с.

.        Г.И. Веселов Микроэлектронные устройства СВЧ.-М.: Изд-во Высшая школа,1988. - 281с.

Похожие работы на - Антенная система базовой станции третьего поколения

 

Не нашли материал для своей работы?
Поможем написать уникальную работу
Без плагиата!
Без нейросетей!