И.А. Гончаров и его 'Обыкновенная история'
КУРСОВАЯ
РАБОТА
по
дисциплине «Таможенная статистика»
на
тему
Анализ
динамики поступления в федеральный бюджет НДС и акцизов, взимаемых при ввозе
товаров на таможенную территорию Российской Федерации
Люберцы
СОДЕРЖАНИЕ
ВВЕДЕНИЕ
ГЛАВА 1. СУЩНОСТЬ НАЛОГА НА ДОБАВЛЕННУЮ
СТОИМОСТЬ, ЕГО МЕСТО В ДОХОДНОЙ ЧАСТИ ФЕДЕРАЛЬНОГО БЮДЖЕТА И СИСТЕМЕ ТАМОЖЕННЫХ
ПЛАТЕЖЕЙ
1
Анализ
роли налога на добавленную стоимость в системе таможенных платежей
2
Исследование
динамики структурных изменений в системе таможенных платежей
ГЛАВА 2. АНАЛИЗ ДИНАМИКИ ПОСТУПЛЕНИЙ НАЛОГА НА
ДОБАВЛЕННУЮ СТОИМОСТЬ
1
Предварительный
анализ имеющейся информации
2
Моделирование
развития исследуемого показателя
3
Расчет
сезонной компоненты и аналитическое описание тренда
4
Определение
качества модели
5
Построение
прогноза
6
Построение
доверительных интервалов
ЗАКЛЮЧЕНИЕ
СПИСОК ИСПОЛЬЗОВАННЫХ ИСТОЧНИКОВ
ВВЕДЕНИЕ
налог добавленная
стоимость таможенная статистика
Данная курсовая работа
посвящена изучению структуры и динамики поступлений доходов федерального
бюджета от взимания налога на добавленную стоимость (НДС) с применением приемов
и методов таможенной статистики.
Актуальность данной темы
определяется все большим вниманием со стороны Правительства к вопросам
администрирования НДС и увеличению значимости роли таможенных органов в связи с
этим. Налог на добавленную стоимость имеет свою историю в системе налогового
права России и на сегодняшний день играет важную роль при формировании доходов
федерального бюджета.
Предметом исследования являются
закономерности, определяющие особенности изменения поступлений от взимания НДС
с ввозимых товаров в части доходов федерального бюджета и системе таможенных
платежей.
Особенностью данной работы
является параллельность освещения методологических подходов к исследованию
данной темы с применением их для анализа конкретных значений. Объединение
теории и практики, на наш взгляд, позволит более эффективно добиться выполнения
поставленной цели работы.
Цель данной работы - выявить
основные закономерности изменения поступлений доходов от взимания НДС в системе
федерального бюджета и таможенных платежей.
Для реализации данной цели
необходимо последовательно добиться реализации следующих задач:
определить сущность и роль
налога на добавленную стоимость в условиях современной налоговой системы в
части наполнения федерального бюджета и как составляющего элемента системы
таможенных платежей;
·
более
подробно исследовать систему таможенных платежей в динамике и на текущем этапе
развития России и определить в ней место НДС;
·
проанализировать
динамику поступлений денежных средств от взимания НДС на товары, ввозимые на
территорию Российской Федерации за 2007-2009.
- смоделировать развитие
поступлений от НДС, определить качествомодели и применить ее для прогноза на
следующий год.
Объектом исследования являются
финансовые потоки от взимания НДС в федеральном масштабе и в системе таможенных
платежей.
Информационной основой
проводимого исследования послужили данные о запланированных объемах взимания
НДС с ввозимых товаров, зафиксированные в Законах РФ о федеральных бюджетах за
2000 - 2009 гг.
В ходе исследования были
использованы инструменты статистического анализа, встроенные в Пакет анализа Microsoft
Excel.
Результаты, полученные в ходе
выполнения данной работы, представляют определенный интерес для планирования
деятельности таможенных органов и прогнозирования доходов федерального бюджета.
1. СУЩНОСТЬ НАЛОГА НА
ДОБАВЛЕННУЮ СТОИМОСТЬ, ЕГО МЕСТО В ДОХОДНОЙ ЧАСТИ ФЕДЕРАЛЬНОГО БЮДЖЕТА И
СИСТЕМЕ ТАМОЖЕННЫХ ПЛАТЕЖЕЙ
1.1 Анализ места налога на
добавленную стоимость в системе таможенных платежей
Налог на добавленную стоимость
представляет собой форму изъятия в бюджет части добавленной стоимости,
создаваемой на всех стадиях производства и определяемой как разница между
стоимостью реализованных товаров, работ и услуг и стоимостью материальных
затрат, отнесенных на издержки производства и обращения.
Впервые налог на добавленную
стоимость был применен в Германии. Инициатором его введения был Вильгельм фон
Сименс, который называл его «облагороженным налогом с оборота». В международной
практике НДС стал известен со второй половины 50-х годов прошлого века. В
настоящее время этот налог применяется более чем в 90 государствах, как
правило, эти государства строят свое налогообложение на косвенных налогах.
В России налог на добавленную
стоимость заменил налог с оборота и налог с продаж и был введен с 1 января 1992
года Законом РФ от 06.12.1991 № 1992-1 «О налоге на добавленную стоимость» и
взимался по ставке 28% с товаров, производимых на таможенной территории России.
Закон РФ от 16.07.1992 № 3317-1
«О внесении изменений и дополнений в налоговую системы России» устанавливает
ставки НДС в размере 10% для продовольственных (кроме подакцизных) товаров и
товаров для детей и 20% для остальных товаров (включая подакцизные
продовольственные товары). Закон РФ от 22.12.1992 № 4178-1 «О внесении
изменений и дополнений в отдельные законы Российской Федерации о алогах»
расширяет круг объектов рассматриваемого налога и включает в него «товары,
ввозимые на территорию РФ, в соответствии с таможенными режимами,
установленными таможенным законодательством Российской Федерации», тем самым,
включая НДС в состав таможенных платежей. 19 июля 2000 года Государственная
Дума принимает «Налоговый кодекс Российской Федерации», 21 глава, которого и
регулирует сегодня отношения, возникающие по поводу взимания, исчисления и
применения ставок налога на добавленную стоимость. На настоящий момент
налогообложение производится по налоговым ставкам 0, 10 и 18 процентов.
Для более подробного и полного
анализа места НДС в структуре доходов федерального бюджета представляется
целесообразным сначала рассмотреть место данного налога в структуре таможенных
платежей, а затем, через роль таможенных платежей в составе доходов
федерального бюджета выявить положение НДС на уровне федерального бюджета в
общем.
Структуру таможенных платежей
определяет Таможенный кодекс в ст. 318: «К таможенным платежам относятся:
·
ввозная
таможенная пошлина;
·
вывозная
таможенная пошлина;
·
налог
на добавленную стоимость, взимаемый при ввозе товаров на таможенную территорию
Российской Федерации;
·
акциз,
взимаемый при ввозе товаров на таможенную территорию;
·
таможенные
сборы».5
В состав таможенных платежей
входят пять структурных элементов. Рассмотрим место налога на добавленную
стоимость в этой системе.
Возьмем для анализа ряд
распределения по видам таможенных платежей за текущий 2009 год
(запланированный):
Таблица 1.1 Таможенные платежи
в 2009 г., млн. руб.
|
Ввозная
пошлина
|
Вывозная
пошлина
|
Таможенные
сборы
|
НДС
|
Акциз
|
Всего
таможенных платежей
|
|
310
593,10
|
1
297 250,20
|
19
418,70
|
510
621,20
|
21
661,40
|
2
159 544,60
|
В 2009 году запланированные
доходы Федерального бюджета составляют 5 046 058,50 млн. руб.
Доля таможенных платежей
составляет 42,8%. Для сравнения следует сказать, что в странах с развитой
рыночной экономикой (США, государства ЕС) доля таможенных платежей в структуре
доходов бюджета значительно ниже и находится на уровне 15-20%. Это не связано с
более низким качеством работы таможенных служб данных государств, а объясняется
другой структурой доходов бюджета. Система налогообложения в развитых
государствах построена иначе, чем в России, и доли поступлений от других
источников финансирования доходов бюджета таковы, что таможенные платежи
составляют менее ¼ всех
доходов.
Для более наглядного описания
структуры таможенных платежей представим рассматриваемый ряд распределения в
относительных величинах: в удельных весах (процентах). Удельные веса элементов
структуры таможенных платежей представлены в табл. 1.2.
Таблица 1.2 Структура
таможенных платежей в 2009 году, %
|
Ввозная
пошлина
|
Вывозная
пошлина
|
Таможенные
сборы
|
НДС
|
Акциз
|
Всего
таможенных платежей
|
|
14,38
|
60,07
|
0,90
|
23,64
|
1,00
|
100,00
|
Такое представление позволяет
определить вклад каждого вида платежей в общий объем поступлений таможенных
платежей в 2009 году: наибольший вклад в сумму таможенных платежей вносит
вывозная таможенная пошлина, далее следует НДС и ввозная таможенная пошлина.
Данную ситуацию можно считать типичной для страны, в экономике которой еще пока
преобладает сырьевой экспорт. Практически 75% доходов федерального бюджета
обусловлены поступлениями от нефтегазового сектора экономики.
Распределение долей среди
элементов таможенных платежей только подтверждает это наблюдение. Львиная доля
уплаченной вывозной таможенной пошлины относится к платежам за вывоз сырой
нефти, газа и другой продукции нефтегазового сектора. Другое дело - НДС, он
взимается таможенными органами при ввозе товаров, произведенных вне таможенной
территории России. При ввозе товаров на таможенную территорию Российской
Федерации налоговая база определяется как сумма:
·
таможенной
стоимости этих товаров;
·
подлежащей
уплате таможенной пошлины;
·
подлежащих
уплате акцизов (по подакцизным товарам).
Таким образом, налоговая база
налога на добавленную стоимость увеличивается на величину начисленной
таможенной пошлины и акциза (для подакцизных товаров), тем самым, увеличивая
сумму самого налога.
Для большей наглядности
представим структуру таможенных платежей на круговой секторной диаграмме (рис.
1.1). Итак, из проведенного анализа видно, что в рассматриваемом 2009 году
сумма поступлений от взимания НДС формирует около четверти всей суммы
таможенных платежей, занимая второе место после вывозных таможенных пошлин. Как
мы выяснили, такое положение вещей в рассматриваемой ситуации логично и
обоснованно, исходя из особенностей расчета налоговой базы данного налога.
Рис. 1.1 Структура таможенных
платежей в 2009 году
В структуре доходов
федерального бюджета в целом удельный вес поступлений от НДС составляет 10.12%,
что представляется весьма существенным. Таким образом, следует еще раз
подчеркнуть важность и необходимость эффективной работы таможенных органов по
администрированию НДС, взимаемому при ввозе товаров на таможенную территорию
России.
.2 Исследование динамики
структурных изменений в системе таможенных платежей
Особый интерес при анализе
места НДС в системе таможенных платежей и доходов федерального бюджета
представляет собой исследование структурных изменений в системе таможенных
платежей за ряд лет. Рассмотрим изменения структуры таможенных платежей за 2007
-2009 годы (табл. 1.3).
Таблица 1.3 Динамика таможенных
платежей за 2007 - 2009 гг., млн. руб.
|
Год
|
Квартал
|
Ввозная
пошлина
|
Вывозная
пошлина
|
Таможенные
сборы
|
НДС
|
Акциз
|
Всего
таможенных платежей
|
|
2007
|
I
|
46561,31
|
146575,17
|
6561,84
|
71839,52
|
1251,80
|
272789,64
|
|
|
II
|
51800,66
|
163068,68
|
7300,22
|
79923,32
|
1392,66
|
303485,55
|
|
|
III
|
52420,05
|
165018,51
|
7387,51
|
80878,98
|
1409,32
|
307114,36
|
|
|
IV
|
52007,19
|
163718,84
|
7329,33
|
80241,98
|
1398,22
|
304695.55
|
|
2008
|
I
|
60915,63
|
303960,88
|
4436,44
|
98218,91
|
4033,78
|
471565,64
|
|
|
II
|
67770,21
|
338164,36
|
4935,65
|
109271,09
|
4487,69
|
524629,00
|
|
|
III
|
68580,55
|
342207,83
|
4994,67
|
110577,65
|
4541,35
|
530902,05
|
|
|
IV
|
68040,41
|
339512,63
|
4955,33
|
109706,75
|
4505,58
|
526720,71
|
|
2009
|
I
|
71313,56
|
297854,43
|
4458,62
|
117240,91
|
4973,55
|
495841,08
|
|
II
|
79338,19
|
331370,78
|
4960,33
|
130433,55
|
5533,21
|
551636,05
|
|
III
|
80286,84
|
335333,02
|
5019,64
|
131993,16
|
5599,37
|
558232,03
|
|
IV
|
79654,51
|
332691,96
|
4980,11
|
130953,59
|
5555,27
|
553835,44
|
Изменение объемов поступлений
по видам платежей иллюстрируется прямоугольной диаграммой (рис. 1.2).
Рис. 1.2 Динамика таможенных
платежей по видам платежей
Диаграмма свидетельствует о
росте совокупного объема таможенных платежей, при этом рост элементов структуры
не одинаков. Наглядная динамика по каждому элементу структуры иллюстрируется
линейной диаграммой (рис. 1.3).
Рис. 1.3. Динамика элементов
структуры таможенных платежей
Как видим, каждый элемент
структуры растет согласно собственной закономерности, в результате чего
изменяются удельные веса элементов в суммарном объеме таможенных платежей.
Более динамично растут суммы
начисленных вывозных таможенных пошлин, что вызвано, прежде всего,
стремительной восходящей динамикой цен на нефть за рассматриваемый период.
Соответственно выросли и удельные веса данного элемента структуры таможенных
платежей. Поступления от взимания НДС растут менее динамично, что
обуславливается отсутствием в их структуре настолько яркой ценовой составляющей
(как в случае с товарами нефтегазового сектора) и ростом совокупного объема
внешней торговли. Данный рост отражает изменения удельных весов НДС в структуре
таможенных платежей (табл. 1.4).
Таблица 1.4 Динамика структуры
таможенных платежей за 2007 - 2009 гг., %
|
Год
|
Квартал
|
Ввозная
пошлина
|
Вывозная
пошлина
|
Таможенные
сборы
|
НДС
|
Акциз
|
Всего
таможенных платежей
|
|
2007
|
I
|
17,07
|
52,23
|
2,41
|
27,84
|
0,46
|
100
|
|
|
II
|
14,70
|
53,85
|
3,40
|
27,59
|
0,46
|
100
|
|
|
III
|
16,34
|
55,30
|
2,41
|
25,50
|
0,46
|
100
|
|
|
IV
|
15,87
|
54,07
|
2,20
|
27,40
|
0,46
|
100
|
|
2008
|
I
|
12,30
|
62,30
|
1,20
|
22,70
|
1,50
|
100
|
|
|
II
|
13,80
|
64,50
|
1,10
|
19,30
|
1,30
|
100
|
|
|
III
|
12,95
|
62,90
|
1,05
|
22,40
|
0,70
|
100
|
|
|
IV
|
11,10
|
65,70
|
1,10
|
20,30
|
1,80
|
100
|
|
2009
|
I
|
14,38
|
59,60
|
1,50
|
24,12
|
0,40
|
100
|
|
|
II
|
15,00
|
59,80
|
0,70
|
23,00
|
1,50
|
100
|
|
|
III
|
14,20
|
60,00
|
2,30
|
23,30
|
0,20
|
100
|
|
|
IV
|
14,38
|
60,07
|
0,90
|
23,64
|
1,00
|
100
|
Для того, чтобы
проанализировать изменение удельных весов элементов в сравнении со значениями
предыдущих периодов, применим методику анализа с использованием цепных
показателей структурных сдвигов.
Рассчитаем показатели
структурных различий для каждого момента наблюдений, принимая за сравниваемую
структуру ряд распределения в текущий момент наблюдения, а за базисную - в
предшествующий. Для количественной оценки структурных различий рассчитаем
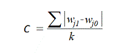
средний линейный показатель структурных различий с:
где wj0
- доля j-ro
варианта признака в базисном ряду распределения;
wj1
- доля j-ro
варианта признака в сравниваемом ряду распределения;
к - число вариантов признака.
Цепные показатели структурных
сдвигов сцеп показывают, на сколько в среднем отличается удельный
вес одного структурного элемента в текущий момент наблюдения по сравнению с
предыдущим. Расчет цепных показателей структурных сдвигов представлен в табл.
1.5.
Таблица 1.5 Расчет цепных
коэффициентов структурных сдвигов
|
Год
|
Квартал
|
Ввозная
пошлина
|
Вывозная
пошлина
|
Таможенные
сборы
|
НДС
|
Акциз
|
цеп
|
о
цеп
|
Шщп
|
|
2005
|
I
|
-
|
-
|
-
|
-
|
-
|
-
|
-
|
-
|
|
|
II
|
-2,37
|
1,62
|
0,99
|
-0,24
|
0,00
|
1,05
|
-
|
-
|
|
|
III
|
1,64
|
1,45
|
-0,99
|
-2,09
|
1,23
|
0,43
|
0,57
|
|
|
IV
|
-0,47
|
-1,23
|
-0,21
|
1,90
|
0,00
|
0,76
|
1,12
|
0,30
|
|
2006
|
I
|
-3,57
|
8,23
|
-1,00
|
-4,70
|
1,04
|
3,71
|
0,72
|
0,49
|
|
|
II
|
1,50
|
2,20
|
-0,10
|
-3,40
|
-0,20
|
1,48
|
0,81
|
0,65
|
|
|
III
|
-0,85
|
-1,60
|
-0,05
|
3,10
|
-0,60
|
1,24
|
0,37
|
0,23
|
|
|
IV
|
-1,85
|
2,80
|
0,05
|
-2,10
|
1,10
|
1,58
|
0,08
|
0,03
|
|
2007
|
I
|
3,28
|
-6,10
|
0,40
|
3,82
|
-1,40
|
3,00
|
0,13
|
0,17
|
|
|
II
|
0,62
|
0,20
|
-0,80
|
-1,12
|
1,10
|
0,77
|
0,04
|
0,05
|
|
|
III
|
-0,80
|
0,20
|
1,60
|
0,30
|
-1,30
|
0,84
|
0,07
|
0,12
|
|
|
IV
|
0,18
|
0,07
|
-1,40
|
0,34
|
0,80
|
0,56
|
0,43
|
0,57
|
Цепные показатели структурных
сдвигов не превышают значения 2%, что свидетельствует о незначительности
структурных сдвигов в системе таможенных платежей за рассматриваемый период.
Внимание привлекают значения сцеп первых кварталов трех
рассматриваемых лет, которые превышают 2% и находятся на уровне 3%. Объяснить
данную ситуацию можно, на наш взгляд, тем что таможенные органы при взимании
таможенных платежей во многом опираются на плановые задания, которые от года к
году растут достаточно стремительно. Нельзя не учитывать уже упоминавшуюся роль
динамики вывозных таможенных пошлин, зависящих от резких колебаний цен на
энергоносители.
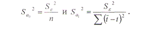
Средняя величина показателя
структурных сдвигов сср вычисляется как средняя арифметическая из сцеп:
где п - число моментов
наблюдения (в нашем случае 12 по числу кварталов).
сср для нашего
случая составляет 1,47%, то есть за один квартал удельный вес одного
структурного элемента изменялся в среднем на 1,47%.
Для того, чтобы выявить
направленность изменения структурных сдвигов. Рассчитаем для этого цепной
коэффициент монотонности тцеп :
где gцеп
рассчитывается так же, как сцеп, но только для тех элементов,
изменение удельных весов которых сохранило направление по сравнению с
предыдущим периодом (табл. 1.5).
Проведенный анализ показывает,
что в структуре происходят незначительные изменения внутри рассматриваемых
периодов в разрезе лет. Налицо рост общей суммы таможенных платежей, однако
удельные веса элементов внутри каждого года меняются незначительно.
ГЛАВА 2. АНАЛИЗ ДИНАМИКИ
ПОСТУПЛЕНИЙ НАЛОГА НА ДОБАВЛЕННУЮ СТОИМОСТЬ
.1 Предварительный анализ
имеющейся информации
В качестве исходного временного
ряда используем квартальные данные об объеме поступлений налога на добавленную
стоимость в 2007 - 2009 гг., зафиксированных в соответствующих нормативных
правовых актах - всего 12 кварталов (табл.2.1, рис.1).
Рис. 2.1. Поквартальные данные
о начислении НДС за 2005-2007 гг.
Рассмотрим имеющийся временной
ряд с точки зрения требований к исходной информации. Исходные данные
удовлетворяют требованиям объективности и сопоставимости: они рассчитаны с
использованием одной методики и в отношении одного объекта. С требованием
полноты исходные данные также согласуются: в рассматриваемом ряду нет
пропущенных значений. Относительно однородности и устойчивости ряда можно
сказать, что развитие достаточно однородно: нет ни взломов тенденции, ни
аномальных наблюдений. На графике прослеживается явный рост, сезонные колебания
визуально заметны, но подлежат дальнейшему исследованию. Динамические
характеристики рассматриваемого показателя рассчитываются по формулам:
Таблица 2.1 Формулы для расчета
динамических характеристик
Их значения приведены в таблице
2.2.
Таблица 2.2 Исходные данные и
динамические характеристики
|
t, квартал
|
yt ндс, млн.
руб.
|
Прирост
|
Темп
роста
|
Темп
прироста
|
|
|
|
базисный
|
цепной
|
базисный
|
цепной
|
базисный
|
цепной
|
|
1
|
70469,76
|
-
|
-
|
-
|
-
|
-
|
-
|
|
2
|
78553,56
|
8083,81
|
8083,81
|
111,47
|
111,47
|
11,47
|
11,47
|
|
3
|
80130,24
|
1576,68
|
9660,48
|
102,01
|
113,71
|
2,01
|
13,71
|
|
4
|
83730,24
|
3600,00
|
13260,48
|
104,49
|
118,82
|
4,49
|
18,82
|
|
5
|
96649,19
|
12918,95
|
26179,43
|
115,43
|
137,15
|
15,43
|
37,15
|
|
6
|
106849,2
|
10200,00
|
36379,43
|
110,55
|
151,62
|
10,55
|
51,62
|
|
7
|
111426,8
|
4577,65
|
40957,08
|
104,28
|
158,12
|
4,28
|
58,12
|
|
8
|
112849,2
|
1422,35
|
42379,43
|
101,28
|
160,14
|
1,28
|
60,14
|
|
9
|
119018,6
|
6169,43
|
48548,86
|
105,47
|
168,89
|
5,47
|
68,89
|
|
10
|
128418,6
|
9400,00
|
57948,86
|
107,90
|
182,23
|
7,90
|
82,23
|
|
11
|
132111,8
|
3693,16
|
61642,01
|
102,88
|
187,47
|
2,88
|
87,47
|
|
12
|
131072,2
|
-1039,57
|
60602,45
|
99,21
|
186,00
|
-0,79
|
86,00
|
Наряду с графиком, расчетные
данные не только подтверждают восходящую тенденцию исследуемого показателя, но
и количественно оценивают ее. В среднем за квартал поступления в бюджет по
статье «НДС» увеличиваются на 5509,31 млн. руб. (средний прирост), средний темп
роста больше 100% и равен 105,80%, средний темп прироста равен 5,80%, все это
свидетельствует об активном росте рассматриваемого показателя.
2.2 Моделирование развития
исследуемого показателя
Целью исследования является
выявление и моделирование основных закономерностей развития и построение
прогноза. Для изучения имеющейся совокупности применим основные подходы к
анализу временных рядов.
Ряд поквартальных значений
поступлений от взимания НДС за 2007 -2009 гг. относится к категории
нестационарных временных рядов, т.к. колебания происходят относительно среднего
уровня, который со временем изменяется под влиянием различных факторов.
Из рисунка 2.1 видно, что среди
факторов, формирующих рассматриваемый ряд, присутствует основная тенденция
(тренд), некоторая сезонная компонента и случайная составляющая, обуславливающая
стохастическую природу временного ряда.
Для того чтобы охарактеризовать
временной ряд, рассчитаем его математического ожидание и дисперсию, которые
равны соответственно т=104273,28; σ2
= 441012697,05.
При изучении имеющегося
временного ряда будем применять аддитивную модель его структуры, т.к. из
рисунка 2.1 видно, что размах сезонных колебаний со временем практически не
изменяется.
Аддитивная модель включает в
себя сумму: у = Т + S + Е, где у
- это значение уровня ряда, Т - тренд (основная тенденция), S
- сезонная компонента, Е - случайная компонента (случайные остатки).
Алгоритм построения аддитивной
модели таков:
1.
Визуальный
анализ данных (рис. 2.1).
2.
Расчет
сезонной компоненты:
·
расчет
скользящих средних;
·
центрирование
скользящих средних;
·
определение
сезонной компоненты путем вычитания из уровней ряда значений центрированной
скользящей средней за соответствующий период времени;
·
корректировка
средних значений сезонной компоненты.
3. Аналитическое описание
тренда:
·
десезонолизация
данных путем вычитания из всех уровней ряда соответствующих значений
скорректированной сезонной компоненты;
·
построение
модели тренда на основе десезонолизированных данных.
3.
Определение
качества модели и расчет ошибок.
4.
Построение
прогноза с учетом сезонных колебаний:
·
расчет
прогнозного значения на основе модели тренда;
·
корректировка
прогноза с учетом сезонной компоненты.
Для определения тенденции
воспользуемся расчетом ряда скользящих средних с интервалом усреднения равным 4
(по числу кварталов).
В результате укрупнения
интервалов, колебания абсолютных значений уровней временного ряда взаимно
погашаются в средней величине уровня ряда, и закономерность (тренд) выступает
более четко.
При величине интервала
усреднения = 4 (четная величина) необходимо произвести центрирование скользящей
средней.
Результаты расчетов
представлены в таблице 2.3 и на рисунке 2.2.
Таблица 2.3Расчет элементов
модели временного ряда
|
t
|
yt, НДС,
млн. руб.
|
Скользящая
средняя
|
Центрированная
скользящая средняя (Т)
|
Сезонная
компонента (S+E)
|
Десезонолизированные
данные (Т+Е)
|
Случайная
Компонента (Е)
|
|
1
|
70469,76
|
-
|
-
|
-
|
-
|
-
|
|
2
|
78553,56
|
78220,95
|
-
|
-
|
-
|
-
|
|
3
|
80130,24
|
84765,81
|
81493,38
|
-
1 363,14
|
79
887,93
|
-
1 605,45
|
|
4
|
83730,24
|
91839,71
|
88302,76
|
-
4 572,52
|
87
127,62
|
-
1 175,14
|
|
5
|
96649,19
|
99663,86
|
95751,79
|
897,40
|
96
867,79
|
1
116,01
|
|
6
|
106849,2
|
106943,60
|
103303,73
|
3
545,46
|
103
475,51
|
171,78
|
|
7
|
111426,8
|
112535,96
|
109739,78
|
1
687,06
|
111
184,53
|
1
444,75
|
|
8
|
112849,2
|
117928,31
|
115232,13
|
-
2 382,95
|
116
246,57
|
1
014,43
|
|
9
|
119018,6
|
123099,55
|
120513,93
|
-
1 495,32
|
119
237,22
|
-1
276,71
|
|
10
|
128418,6
|
127655,30
|
125377,42
|
3
041,19
|
125
044,94
|
-332,48
|
|
11
|
132111,8
|
-
|
-
|
-
|
-
|
-
|
|
12
|
131072,2
|
-
|
-
|
-
|
-
|
-
|
Рис. 2.2. Основная тенденция
исследуемого ряда
Применение скользящей средней
для определения тренда является наименее сложным методом решения данного
вопроса, который позволяет избавиться от необходимости решения вопросов,
возникающих при применении аналитических методов, таких как моделирование
тренда с помощью построения кривой тенденции по уравнению регрессии.
Необходимо понимать, что
соединение точек значений скользящей средней для соответствующих уровней ряда
производится только ради удобства визуального их представления. Для расчета
уравнения кривой, их соединяющей будут применены методы регрессионного анализа,
но на более позднем этапе исследования.
.2.1 Расчет сезонной компоненты
и аналитическое описание тренда
На следующем этапе исследования
необходимо выделить сезонную компоненту из представленного ряда. Для выделения
периодической составляющей необходимо из соответствующих уровней исходного ряда
у = Т + S + Е вычесть
значения рассчитанного тренда (Т).
Уровни полученного ряда следует
сгруппировать по четырем кварталам и рассчитать среднее значение сезонной
компоненты (таблица 2.4).
Таблица 2.4.Расчет средних
значений сезонной экспоненты
|
Год
|
Квартал
1
|
Квартал
2
|
Квартал
4
|
|
2005
|
-
|
-
|
-1363,1392
|
-4572,520854
|
|
2006
|
897,3986903
|
3545,455325
|
1687,06094
|
-2382,94803
|
|
2007
|
-1495,316223
|
3041,190407
|
-
|
-
|
|
Среднее
значение сезонной компоненты
|
-298,9587661
|
3293,322866
|
161,960863
|
-3477,734442
|
|
Скорректированное
значение сезонной компоненты
|
-218,6063961
|
3373,675236
|
242,313233
|
-3397,382072
|
Скорректировать средние
значения сезонной компоненты следует таким образом, чтобы их сумма была равна
0. Для выполнения данной операции был использован инструмент Microsoft
Excel «Поиск решения».
Для получения
десезонолизированного ряда необходимо из исходных значения ряда у = Т + S
+ Е вычесть скорректированную сезонную компоненту S.
В целях определения качества модели необходимо рассчитать случайную компоненту,
для этого из десезонолизированных значений ряда вычитают значения рассчитанного
тренда (Т). Полученные значения Е представлены на рисунке 2.3.
Рис. 2.3. Распределение
значений E
Видно, что значения случайной
компоненты лежат вокруг нуля, это положительно характеризует форму ее распределения
для качества модели, т.к., приближаясь к нулю, роль этого элемента
нейтрализуется. Разброс значений по обе стороны от нулевого значения
подчеркивает случайность распределения ошибок, что также важно для качества
модели.
Для дальнейшего анализа качества
модели аналитически опишем тренд, рассчитанный с использованием центрированных
скользящих средних. Для определения параметров уравнения регрессии используем
метод наименьших квадратов и инструмент «Регрессия» пакета анализа Microsoft
Excel. В результате
использования данного инструментария получаем уравнение y(t)
= 63710,94 + 6346,68 • t.
Формальный подход к оценке качества модели позволяет определить соответствие
модели моделируемому процессу (адекватность) и степень близости ее к
фактическим данным (точность). Оба эти свойства определяются на основе анализа
ряда остатков е. Результаты расчета остатков представлены в таблице 2.5.
2.2.2 Определение качества
модели
Более глубокое определение
качества модели включает в себя проверку адекватности и точности.
Проверка адекватности
заключается в определении наличия или отсутствия систематической ошибки. Модель
считается адекватной, если ряд ее остатков удовлетворяет требованиям нулевого
среднего и случайности.
Таблица 2.5 Ряд остатков
линейной модели
|
t
|
Т
|
Трасч
|
ε
|
εt
-Me
|
|
1
|
-
|
-
|
-
|
-
|
|
2
|
-
|
-
|
-
|
-
|
|
3
|
81493,38
|
82750,98
|
-1257,60
|
-1252,75
|
|
4
|
88302,76
|
89097,66
|
-794,90
|
-790,05
|
|
5
|
95751,79
|
95444,34
|
307,44
|
312,29
|
|
6
|
103303,73
|
101791,02
|
1512,71
|
1517,55
|
|
7
|
109739,78
|
108137,71
|
1602,07
|
1606,92
|
|
8
|
115232,13
|
114484,39
|
747,75
|
752,59
|
|
9
|
120513,93
|
120831,07
|
-317,14
|
-312,29
|
|
10
|
125377,42
|
127177,75
|
-1800,33
|
-1795,48
|
Проверка свойства нулевого
среднего заключается в расчете среднего значения ряда остатков . Если оно
близко к нулю, то модель не содержит постоянной систематической ошибки и
адекватна по критерию нулевого среднего. В нашем случае е = 0.
Проверка случайности ряда
остатков производится по методу серий. Серией называется последовательность
расположенных подряд значений ряда остатков, для которых разность εt
-Me имеет один и тот
же знак. Если модель хорошая, то она часто пересекает линию графика исходных
данных и тогда серий много, а их длина невелика. Для использования критерия
серий по ряду остатков вычисляются медиана Me,
ряд разностей, подсчитывается число серий N и длина максимальной из них L;
полученные значения сравнивают с критическими. Для нашего случая ряд содержит 8
наблюдений, критические значения равны:
Для того,
чтобы признать модель адекватной по этому критерию необходимо, чтобы
выполнялась системе неравенств:
Для нашей модели медиана равна
-4,85, отклонения от медианы представлены в таблице 2.5. Для рассматриваемой
модели количество серий = 3, длина максимальной = 4. Оба неравенства в системе
выполняются, следовательно, делаем вывод об адекватности модели по критерию
случайности.
По совокупности обоих критериев
делается вывод о принципиальной возможности использования модели: модель может
быть принята для использовании в анализе и прогнозировании. Таким образом,
можно сделать вывод, что рассматриваемая модель может быть рекомендована к
использованию.
Для того чтобы охарактеризовать
точность модели, рассчитаем некоторые показатели.
Максимальная ошибка εmax
соответствует максимальному отклонению
расчетных значений от
фактических, в нашем случае она равна -1800,33.
Средняя абсолютная ошибка. Для
ряда остатков модели она равна 1042,49 или в процентах к среднему значению ряда
- 0,99%.
Остаточная дисперсия Sε2
=
1382968,99
Среднеквадратическая ошибка Sε=1175,99
Среднеквадратическая ошибка
является наиболее часто используемой характеристикой точности. Ее значение
всегда немного выше значения средней абсолютной ошибки, но они имеют схожий
смысл - характеризуют среднюю удаленность расчетных значений модели от фактических
исходных данных. Обычно, точность модели признается удовлетворительной, если Sε
и еа6с не превышают 5% от среднего значения показателя Т.
Как видим, рассматриваемая
модель вполне удовлетворяет требования критериев точности.
.2.3 Построение прогноза
Исходные данные в исследуемом
временном ряду охватывают три года, следовательно, максимально возможная
глубина прогнозирования составляет один год.
Для того, чтобы рассчитать
прогнозные значения 2011 год, необходимо продлить тренд на следующие 4 квартала
(13, 14, 15 и 16). Для этого используем полученное уравнение регрессии,
описывающее тренд: y(t)
= 63710,94 + 6346,68 • t.
Результаты расчетов представлены в таблице 2.6.
Таблица 2.6 Прогнозирование НДС
на 2011 год
|
t
|
Т
прогнозный
|
Учет
сезонности
|
|
13
|
146217,80
|
145999,1887
|
|
14
|
152564,48
|
155938,1518
|
|
15
|
158911,16
|
159153,4712
|
|
16
|
165257,84
|
161860,4574
|
Продлив тренд на прогнозируемые
кварталы необходимо учесть сезонные колебания, для этого к каждому значению
спрогнозированного уровня поступлений от НДС необходимо прибавить
соответствующее значение скорректированной сезонной компоненты (табл. 2.4).
Результаты прогноза
представлены на рисунке 2.4.
Сумма спрогнозированных
поступлений от взимания НДС составила 622951,269 млн. руб. или 89,99% от
запланированных в Проекте Закона РФ «О федеральном бюджете на 2011 год»
693062,40 млн. руб.
Рис. 2.4. Прогноз поступлений
от НДС на 2011 год
2.2.4 Построение доверительных
интервалов
В результате воздействия
случайных и не учтенных в модели факторов, наш точечный прогноз может не
соответствовать истинному значению уроню ряда. Чтобы учесть в прогнозе влияние
случайности, помимо точечного строится также интервальный прогноз. В нем
отклонение от закономерности в результате случайных воздействий определяется
границами доверительных интервалов.
Доверительными интервалом
называется такой интервал, в который с заданной степенью вероятности попадут
истинные значения показателя при условии, что закономерности, отраженные в
модели, не противоречат развитию, как в периоде наблюдения, так и в периоде
упреждения прогноза.
При построении доверительных
интервалов необходимо определить, из чего складываются возможные ошибки
моделирования и прогнозирования. При условии, что модель адекватна, и возможные
ошибки носят случайный характер, следует различать два основных источника ошибок:
ошибки аппроксимации; ошибки оценок параметров модели. Наличие первого типа
ошибок очевидно. Величина ошибок аппроксимации характеризуется остаточной
дисперсией или среднеквадратической ошибкой. Распределение этих ошибок для
адекватной модели нормально (это одно из условий адекватности).
Ошибки оценок параметров
моделей обусловлены тем, что их параметры, фиксированные в модели как
однозначные, в действительности являются случайными нормально распределенными
величинами, так как они оцениваются на основе фактических данных, в которых
присутствуют как закономерная, так и случайная составляющие. Средние значения
этих оценок соответствуют истинным значениям параметров, а их дисперсии зависят
от остаточной дисперсии модели, числа наблюдений и вида модели.
Так, для линейной модели ошибки
оценок параметров а0 и а1 соответственно характеризуются
дисперсиями:
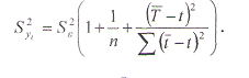
Отсюда общая дисперсия ошибок
отклонений истинных значений от расчетных может быть определена как:
Для нашей модели дисперсия
ошибки прогноза при прогнозировании на 13 квартал (Г=13):
Соответственно,
среднеквадратическая ошибка:
Размах доверительного интервала
рассчитывается следующим образом:
где ta(n)
- значение t-критерия Стьюдента
при заданном уровне вероятности (0,95) и числе наблюдение
Рассчитанные значения для Г=13,
14, 15 и 16 (табл. 2.7).
Таблица 2.7 Расчет
доверительных интервалов
|
t
|
S2yt
|
Syt
|
и
|
|
13
|
1770461
|
1330,587
|
3068,34
|
|
14
|
1690896
|
1300,344
|
2998,602
|
|
15
|
1650438
|
1284,694
|
2962,511
|
|
16
|
1626596
|
1275,381
|
2941,035
|
Итак, для нашей модели при
вероятности 0,95 доверительные интервалы имеют границы:
y13=145999,1887+(-)
3068,34
y14=155938,1518+(-)
2998,602
y15=159153,4712+(-)
2962,511
y16=161860,4574+(-)
2941,035.
ЗАКЛЮЧЕНИЕ
На основании проведенного
исследования можно сделать следующие выводы:
Таможенная статистика обладает
широким и доступным инструментарием для анализа структуры и динамики
экономических показателей.
Поступления от взимания НДС с
ввозимых товаров в доходную часть федерального бюджета возможны благодаря
выполнению таможенными органами работы налоговых органов по администрированию
данного налога.
Поступления от взимания НДС с
ввозимых товаров на протяжении последних лет имели разный удельный вес в
системе таможенных платежей и доходной части федерального бюджета, однако
всегда играли важную фискальную роль.
Доля НДС в системе таможенных
платежей за исследованный период менялась незначительно, однако абсолютные
значения данного показателя устойчиво росли.
При применении методов анализа
временных рядов выяснилось, что для описания поступлений от НДС с ввозимых
товаров возможно использование аддитивной модели структуры ряда, т.к. величина
сезонных колебаний, в среднем, постоянна.
Расчет характеристик качества
используемой модели показал высокие значения и свидетельствует об удачном
применении имеющихся инструментов анализа.
Спрогнозированные значения
поступлений от НДС с ввозимых товаров на 2011 год практически повторяют сумму,
представленную в Проекте Закона РФ «О федеральном бюджете на 2011год».
СПИСОК ИСПОЛЬЗОВАННЫХ
ИСТОЧНИКОВ
1. Таможенный кодекс Таможенного
союза.
2. Налоговый кодекс Российской
Федерации.
. Федеральный закон «О
федеральном бюджете на 2008 год» от
29.12.2007 № 186-ФЗ // Собрание
законодательства РФ, № 52, 29.12.2006, ст.5038
3. Федеральный закон «О федеральном
бюджете на 2009 год» от
26.12.2008 № 189-ФЗ // Парламентская газета, №
233, 30.12.2008;
4 Федеральный закон «О федеральном
бюджете на 2010год» от
23.12.2009 № 173-ФЗ // Собрание законодательства
РФ, № 52, 27.12.2009, ст.5277;
6.
Закон
Российской Федерации от 22.12.1993 № 4178-1 «О внесении изменений и дополнений
в отдельные законы Российской Федерации о налогах» // «Российская газета».
7.
Закон
Российской Федерации от 06.12.1991 № 1992-1 «О налоге на добавленную стоимость»
// «Ведомости СНД и ВС РСФСР», 26.12.1991, № 52, ст. 1871
8.
Таможенная
статистика: Учебное пособие: Вып. 2. - М.: РИО РТА, 1997.
9.
Гусаров
В.М. Статистика: Учеб. пособие для вузов. - М.: ЮНИТИ-ДАНА.
10.
Статистика:
учебник для студентов ВУЗов, обучающихся по специальностям экономики и
управления (080100). Гриф МО РФ, 2008 г